Quantifying Sectoral Carbon Footprints in Türkiye’s Largest Metropolitan Cities: A Monte Carlo Simulation Approach
Abstract
1. Introduction
2. Literature Review on Carbon Footprint
3. Material and Methods
3.1. Study Areas
3.2. Emissions Inventory Method
3.3. Greenhouse Gas Emission from the Energy Sector
3.3.1. Greenhouse Gas Emissions from Stationary Combustion
3.3.2. Greenhouse Gas Emissions from Mobile Combustion
Greenhouse Gas Emissions from Road Transport
Greenhouse Gas Emissions from Civil Aviation
Greenhouse Gas Emissions from Railway Transport
Greenhouse Gas Emissions from Water-Borne Transportation
3.4. Greenhouse Gas Emissions from Agriculture, Forestry and Other Land Use
3.4.1. Methane Emission from Enteric Fermentation
3.4.2. Total Carbon Accumulation in Forest Land
| Tree Type | D | BEF | R | CFB | CFDW | CDL | CS |
|---|---|---|---|---|---|---|---|
| coniferous-productive | 0.446 | 1.212 | 0.29 | 0.51 | 0.47 | 7.46 | 76.56 |
| coniferous-degraded | 0.446 | 1.212 | 0.40 | 0.51 | 0.47 | 1.86 | 19.14 |
| broadleaved-productive | 0.541 | 1.310 | 0.24 | 0.48 | 0.47 | 3.75 | 84.82 |
| broadleaved-degraded | 0.541 | 1.310 | 0.46 | 0.48 | 0.47 | 0.93 | 21.20 |
3.5. Emissions from the Waste Sector
3.5.1. Emissions from Solid Waste Disposal
3.5.2. Methane Emission from Biological Treatment of Solid Waste
3.6. Monte Carlo Simulation Method
4. Results and Discussion
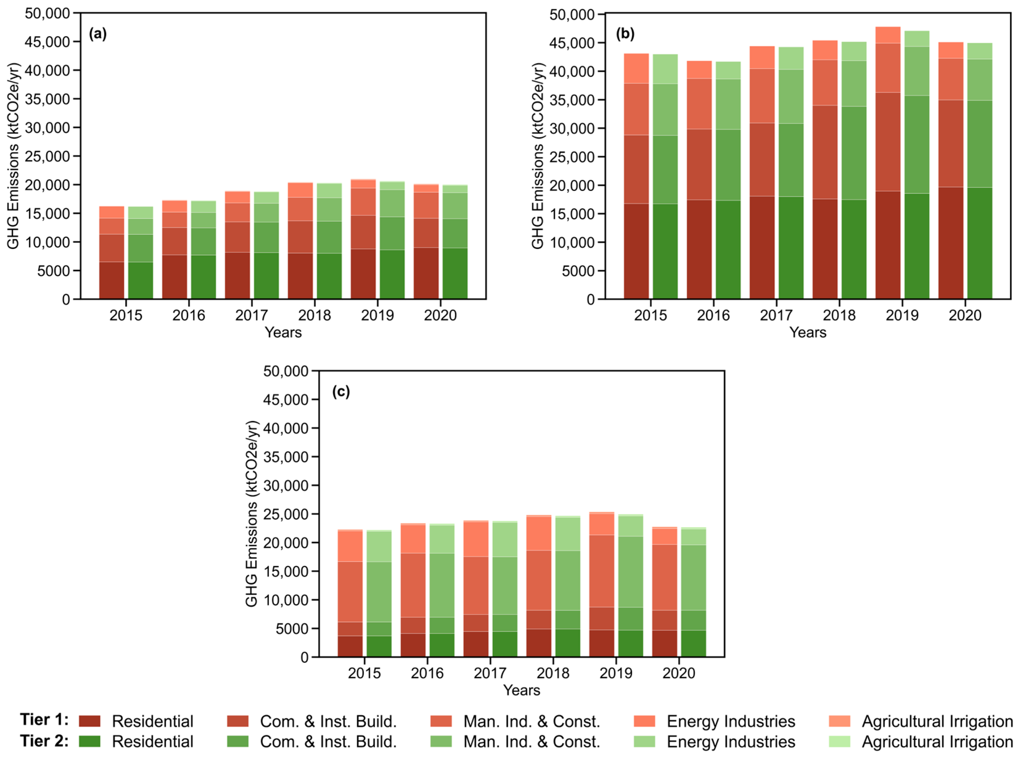
4.1. Amount of Greenhouse Gas Emissions from Stationary Combustion

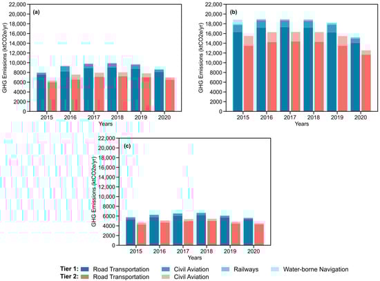
4.2. Amount of Greenhouse Gas Emissions from Mobile Combustion
4.3. Amount of Greenhouse Gas Emissions from Enteric Fermentation
4.4. Amount of Carbon Accumulation in the Forest Land
4.5. Amount of Greenhouse Gas Emissions from Waste Sector
4.6. City-Based Comparisons
4.7. Monte Carlo Simulation
5. Conclusions
Supplementary Materials
Author Contributions
Funding
Institutional Review Board Statement
Informed Consent Statement
Data Availability Statement
Conflicts of Interest
References
- Rahman, M.I. Climate change: A theoretical review. Interdiscip. Descr. Complex Syst. 2023, 11, 1–13. [Google Scholar] [CrossRef]
- Fanelli, C. Climate Change: ‘The Greatest Challenge of Our Time’. Altern. Routes A J. Crit. Soc. Res. 2014, 25, 15–31. [Google Scholar]
- Hasbach, P.H. Therapy in the face of climate change. Ecopsychology 2015, 7, 205–210. [Google Scholar] [CrossRef]
- Cianconi, P.; Betrò, S.; Janiri, L. The impact of climate change on mental health: A Systematic Descriptive Review. Front. Psychiatry 2020, 11, 74. [Google Scholar] [CrossRef]
- Dodman, D. Blaming cities for climate change? an analysis of urban greenhouse gas emissions inventories. Environ. Urban. 2009, 21, 185–201. [Google Scholar] [CrossRef]
- Satterthwaite, D. The implications of population growth and urbanization for climate change. Environ. Urban. 2009, 21, 545–567. [Google Scholar] [CrossRef]
- Madlener, R.; Sunak, Y. Impacts of urbanization on urban structures and energy demand: What can we learn for urban energy planning and urbanization management? Sustain. Cities Soc. 2011, 1, 45–53. [Google Scholar] [CrossRef]
- Solecki, W.; Seto, K.C.; Marcotullio, P.J. It’s time for an urbanization science. Environ. Sci. Policy Sustain. Dev. 2013, 55, 12–17. [Google Scholar] [CrossRef]
- Lamb, W.F.; Creutzig, F.; Callaghan, M.W.; Minx, J.C. Learning about urban climate solutions from case studies. Nat. Clim. Chang. 2019, 9, 279–287. [Google Scholar] [CrossRef]
- Bhardwaj, G.; Esch, T.; Lall, S.V.; Marconcini, M.; Soppelsa, M.E.; Wahba, S. Cities, Crowding, and the Coronavirus: Predicting Contagion Risk Hotspots; World Bank: Washington, DC, USA, 2020. [Google Scholar] [CrossRef]
- Nieuwenhuijsen, M.J. Urban and Transport Planning Pathways to Carbon Neutral, livable and healthy cities; a review of the current evidence. Environ. Int. 2020, 140, 105661. [Google Scholar] [CrossRef]
- UN DESA. Available online: https://population.un.org/wup/default.aspx?aspxerrorpath=/wup/index.htm (accessed on 25 January 2023).
- Wang, Q.; Su, M.; Li, R.; Ponce, P. The effects of energy prices, urbanization and economic growth on energy consumption per capita in 186 countries. J. Clean. Prod. 2019, 225, 1017–1032. [Google Scholar] [CrossRef]
- Liang, W.; Yang, M. Urbanization, economic growth and environmental pollution: Evidence from China. Sustain. Comput. Inform. Syst. 2019, 21, 1–9. [Google Scholar] [CrossRef]
- Chen, Z.; Avraamidou, S.; Liu, P.; Pistikopoulos, E.N. Optimal design of Integrated Urban Energy System under uncertainty and Sustainability Requirements. Comput. Aided Chem. Eng. 2020, 48, 1423–1428. [Google Scholar] [CrossRef]
- IEA. Available online: https://iea.blob.core.windows.net/assets/89d1f68c-f4bf-4597-805f-901cfa6ce889/weo2008.pdf (accessed on 13 February 2023).
- Sovacool, B.K.; Brown, M.A. Twelve metropolitan carbon footprints: A preliminary comparative global assessment. Energy Policy 2010, 38, 4856–4869. [Google Scholar] [CrossRef]
- Kober, T.; Schiffer, H.W.; Densing, M.; Panos, E. Global Energy Perspectives to 2060—WEC’s World Energy scenarios 2019. Energy Strategy Rev. 2020, 31, 100523. [Google Scholar] [CrossRef]
- UN HABITAT. Available online: https://unhabitat.org/topic/urban-energy (accessed on 30 January 2023).
- Liu, Y.; Gao, C.; Lu, Y. The impact of urbanization on GHG emissions in China: The role of population density. J. Clean. Prod. 2017, 157, 299–309. [Google Scholar] [CrossRef]
- Driga, A.M.; Drigas, A.S. Climate change 101: How everyday activities contribute to the ever-growing issue. Int. J. Recent Contrib. Eng. Sci. IT IJES 2019, 7, 22. [Google Scholar] [CrossRef]
- Siddik, M.A.; Islam, M.T.; Zaman, A.K.M.M.; Hasan, M.M. Current status and correlation of fossil fuels consumption and greenhouse gas emissions. Int. J. Energy Environ. Econ. Hauppauge 2020, 28, 103–118. [Google Scholar]
- Atmaca, A.; Atmaca, N. Carbon footprint assessment of residential buildings, a review and a case study in Turkey. J. Clean. Prod. 2022, 340, 130691. [Google Scholar] [CrossRef]
- Wigley, T.M. The pre-industrial carbon dioxide level. Clim. Chang. 1983, 5, 315–320. [Google Scholar] [CrossRef]
- Neftel, A.; Moor, E.; Oeschger, H.; Stauffer, B. Evidence from polar ice cores for the increase in atmospheric CO2 in the past two centuries. Nature 1985, 315, 45–47. [Google Scholar] [CrossRef]
- NASA. Available online: https://climate.nasa.gov/vital-signs/carbon-dioxide/ (accessed on 22 February 2023).
- IPCC. Climate Change 2022: Mitigation of Climate Change. Contribution of Working Group III to the Sixth Assessment Report of the Intergovernmental Panel on Climate Change; Cambridge University Press: Cambridge, UK; New York, NY, USA, 2022. [Google Scholar]
- Gurney, K.R.; Romero-Lankao, P.; Seto, K.C.; Hutyra, L.R.; Duren, R.; Kennedy, C.; Grimm, N.B.; Ehleringer, J.R.; Marcotullio, P.; Hughes, S.; et al. Climate change: Track urban emissions on a human scale. Nature 2015, 525, 179–181. [Google Scholar] [CrossRef] [PubMed]
- Jacobs, J. The Economy of Cities; Vintage Books: New York, NY, USA, 1969. [Google Scholar]
- Özsoy, C.E. Düşük karbon ekonomisi ve Türkiye’nin karbon ayak izi. Hak İş Uluslararası Emek Ve Toplum Derg. 2015, 4, 198–215. [Google Scholar]
- Wiedmann, T.O.; Minx, J.C. A Definition of Carbon Footprint, Ecological Economics Research Trends; Pertsova, C.C., Ed.; Nova Science Publishers: Hauppauge, NY, USA, 2008; pp. 1–11. [Google Scholar]
- Chen, R.; Zhang, R.; Han, H. Where has carbon footprint research gone? Ecol. Indic. 2021, 120, 106882. [Google Scholar] [CrossRef]
- Peters, G.P. Carbon footprints and embodied carbon at multiple scales. Curr. Opin. Environ. Sustain. 2010, 2, 245–250. [Google Scholar] [CrossRef]
- Plassmann, K.; Edwards-Jones, G. Carbon Footprinting and Carbon Labelling of Food Products; Environmental Assessment and Management in the Food Industry; Woodhead Publishing: Cambridge, UK, 2010; pp. 272–296. [Google Scholar]
- Pandey, D.; Agrawal, M. Carbon footprint estimation in the agriculture sector. Assess. Carbon Footpr. Differ. Ind. Sect. 2014, 1, 25–47. [Google Scholar] [CrossRef]
- Akyol, M.; Uçar, E. Carbon footprint forecasting using time series data mining methods: The case of Turkey. Environ. Sci. Pollut. Res. 2021, 28, 38552–38562. [Google Scholar] [CrossRef] [PubMed]
- Paravantis, J.A.; Tasios, P.D.; Dourmas, V.; Andreakos, G.; Velaoras, K.; Kontoulis, N.; Mihalakakou, P. A regression analysis of the carbon footprint of megacities. Sustainability 2021, 13, 1379. [Google Scholar] [CrossRef]
- Hachaichi, M.; Baouni, T. Virtual carbon emissions in the big cities of middle-income countries. Urban Clim. 2021, 40, 100986. [Google Scholar] [CrossRef]
- Baynes, T.M.; Wiedmann, T. General approaches for assessing urban environmental sustainability. Curr. Opin. Environ. Sustain. 2012, 4, 458–464. [Google Scholar] [CrossRef]
- Ramachandra, T.V.; Aithal, B.H.; Sreejith, K. GHG footprint of major cities in India. Renew. Sustain. Energy Rev. 2015, 44, 473–495. [Google Scholar] [CrossRef]
- Banerjee, A.; Jhariya, M.K.; Raj, A.; Yadav, D.K.; Khan, N.; Meena, R.S. Energy and climate footprint towards the environmental sustainability. In Agroecological Footprints Management for Sustainable Food System; Springer: Singapore, 2020; pp. 415–443. [Google Scholar] [CrossRef]
- Ramaswami, A.; Hillman, T.; Janson, B.; Reiner, M.; Thomas, G. A demand-centered, hybrid life-cycle methodology for city-scale greenhouse gas inventories. Environ. Sci. Technol. 2008, 42, 6455–6461. [Google Scholar] [CrossRef]
- Carloni, F.; Green, V. Managing Greenhouse Gas Emissions in Cities: The Role of Inventories and Mitigation Action Planning. Creating Low Carbon Cities; Springer: Cham, Switzerland, 2017; pp. 129–143. [Google Scholar] [CrossRef]
- Lombardi, M.; Laiola, E.; Tricase, C.; Rana, R. Assessing the urban carbon footprint: An overview. Environ. Impact Assess. Rev. 2017, 66, 43–52. [Google Scholar] [CrossRef]
- Ohnishi, S.; Dong, H.; Geng, Y.; Fujii, M.; Fujita, T. A comprehensive evaluation on industrial & urban symbiosis by combining MFA, carbon footprint and emergy methods—Case of Kawasaki, Japan. Ecol. Indic. 2017, 73, 513–524. [Google Scholar] [CrossRef]
- Balouktsi, M. Carbon metrics for cities: Production and consumption implications for policies. Build. Cities 2020, 1, 233–259. [Google Scholar] [CrossRef]
- ICLEI. Available online: https://e-lib.iclei.org/wp-content/uploads/2016/03/IEAP_October2010_Color.pdf (accessed on 22 February 2023).
- Bertoldi, P.; Bornás Cayuela, D.; Monni, S.; Piers de Raveschoot, R. Guidebook “How to Develop a Sustaınable Energy Action Plan (SEAP)”; EUR 24360 EN; Publication Office of the European Union: Luxembourg. Available online: https://publications.jrc.ec.europa.eu/repository/handle/JRC57789 (accessed on 13 March 2023).
- UN-HABITAT & World Bank. Available online: https://www.citiesalliance.org/sites/default/files/CA_Images/GHG%20Global%20Standard%20-%20Version%20June%202010.pdf (accessed on 28 March 2023).
- BSI. Available online: https://shop.bsigroup.com/products/specification-for-the-assessment-of-greenhouse-gas-emissions-of-a-city-direct-plus-supply-chain-and-consumption-basedmethodologies/standard/ (accessed on 13 March 2023).
- WRI; C40; ICLEI. Available online: https://www.wri.org/research/global-protocol-community-scale-greenhouse-gas-emission-inventories (accessed on 6 March 2023).
- Wiedmann, T. A review of recent multi-region input–output models used for consumption-based emission and resource accounting. Ecol. Econ. 2009, 69, 211–222. [Google Scholar] [CrossRef]
- Steininger, K.; Lininger, C.; Droege, S.; Roser, D.; Tomlinson, L.; Meyer, L. Justice and cost effectiveness of consumption-based versus production-based approaches in the case of unilateral climate policies. Glob. Environ. Change 2014, 24, 75–87. [Google Scholar] [CrossRef]
- EPA. Available online: https://www.epa.gov/ghgemissions/inventory-us-greenhouse-gas-emissions-and-sinks-1990-2014 (accessed on 6 March 2023).
- Işık, Ş. Türkiye’de kentleşme ve kentleşme modelleri. Aegean Geogr. J. 2005, 14, 57–71. [Google Scholar]
- The World Bank. Available online: https://data.worldbank.org/indicator/SP.POP.TOTL?locations=TR (accessed on 3 February 2003).
- MENR. Available online: http://www.worldenergy.org.tr (accessed on 5 February 2023).
- BP. Available online: https://www.bp.com/content/dam/bp/business-sites/en/global/corporate/pdfs/energy-economics/statistical-review/bp-stats-review-2022-full-report.pdf (accessed on 5 February 2023).
- Sahin, A.D. A review of research and development of wind energy in Turkey. Clean 2008, 36, 734–742. [Google Scholar] [CrossRef]
- Kennedy, C.A.; Stewart, I.; Facchini, A.; Cersosimo, I.; Mele, R.; Chen, B.; Uda, M.; Kansal, A.; Chiu, A.; Kim, K.; et al. Energy and material flows of megacities. Proc. Natl. Acad. Sci. USA 2015, 112, 5985–5990. [Google Scholar] [CrossRef]
- Bulut, U.; Muratoglu, G. Renewable energy in Turkey: Great potential, low but increasing utilization, and an empirical analysis on renewable energy-growth nexus. Energy Policy 2018, 123, 240–250. [Google Scholar] [CrossRef]
- Kayişoğlu, B.; Diken, B. Türkiye’de yenilenebilir enerji kullanımının mevcut durumu ve sorunları. J. Agric. Mach. Sci. 2019, 15, 61–65. [Google Scholar]
- GCA. Available online: http://www.globalcarbonatlas.org/en/CO2-emissions (accessed on 16 February 2023).
- TSI. Available online: https://www.tuik.gov.tr/ (accessed on 20 March 2023).
- UN. Available online: https://unfccc.int/documents/627743 (accessed on 3 February 2023).
- GCoM. Available online: https://www.globalcovenantofmayors.org/what-is-our-mission/ (accessed on 4 February 2023).
- C40 Cities. Available online: https://www.c40.org/cities/ (accessed on 4 February 2003).
- Arora, T.; Reddy, C.S.; Sharma, R.; Kilaparthi, S.D.; Gupta, L. Greenhouse gas emissions of Delhi, India: A trend analysis of sources and sinks for 2017–2021. Urban Clim. 2023, 51, 101634. [Google Scholar] [CrossRef]
- World Population Review. Available online: https://worldpopulationreview.com/world-cities (accessed on 5 February 2023).
- Hertwich, E.G.; Peters, G.P. Carbon footprint of nations: A global, trade-linked analysis. Environ. Sci. Technol. 2009, 43, 6414–6420. [Google Scholar] [CrossRef] [PubMed]
- Peters, G.P.; Minx, J.C.; Weber, C.L.; Edenhofer, O. Growth in emission transfers via international trade from 1990 to 2008. Proc. Natl. Acad. Sci. USA 2011, 108, 8903–8908. [Google Scholar] [CrossRef] [PubMed]
- Desjardins, R.; Worth, D.; Vergé, X.; Maxime, D.; Dyer, J.; Cerkowniak, D. Carbon footprint of beef cattle. Sustainability 2012, 4, 3279–3301. [Google Scholar] [CrossRef]
- Miehe, R.; Scheumann, R.; Jones, C.M.; Kammen, D.M.; Finkbeiner, M. Regional Carbon Footprints of households: A German case study. Environ. Dev. Sustain. 2015, 18, 577–591. [Google Scholar] [CrossRef]
- López, L.A.; Arce, G.; Morenate, M.; Monsalve, F. Assessing the inequality of Spanish households through the carbon footprint: The 21st Century great recession effect. J. Ind. Ecol. 2016, 20, 571–581. [Google Scholar] [CrossRef]
- Reisinger, A.; Ledgard, S.F.; Falconer, S.J. Sensitivity of the carbon footprint of New Zealand milk to greenhouse gas metrics. Ecol. Indic. 2017, 81, 74–82. [Google Scholar] [CrossRef]
- Jamshidi, A.; Kurumisawa, K.; Nawa, T.; Mao, J.; Li, B. Characterization of effects of thermal property of aggregate on the carbon footprint of asphalt industries in China. J. Traffic Transp. Eng. Engl. Ed. 2017, 4, 118–130. [Google Scholar] [CrossRef]
- Aguilera, E.; Guzmán, G.I.; González de Molina, M.; Soto, D.; Infante-Amate, J. From animals to machines. The impact of mechanization on the carbon footprint of traction in Spanish agriculture: 1900–2014. J. Clean. Prod. 2019, 221, 295–305. [Google Scholar] [CrossRef]
- López, L.A.; Arce, G.; Serrano, M. Extreme inequality and carbon footprint of Spanish households. In Carbon Footprints; Springer: Singapore, 2019; pp. 35–53. [Google Scholar] [CrossRef]
- Anwar, A.; Younis, M.; Ullah, I. Impact of urbanization and economic growth on CO2 Emission: A case of Far East Asian countries. Int. J. Environ. Res. Public Health 2020, 17, 2531. [Google Scholar] [CrossRef]
- Zib, L.; Byrne, D.M.; Marston, L.T.; Chini, C.M. Operational carbon footprint of the U.S. water and wastewater sector’s energy consumption. J. Clean. Prod. 2021, 321, 128815. [Google Scholar] [CrossRef]
- Minx, J.; Baiocchi, G.; Wiedmann, T.; Barrett, J.; Creutzig, F.; Feng, K.; Förster, M.; Pichler, P.P.; Weisz, H.; Hubacek, K. Carbon footprints of cities and other human settlements in the UK. Environ. Res. Lett. 2013, 8, 035039. [Google Scholar] [CrossRef]
- Zhao, R.; Huang, X.; Liu, Y.; Zhong, T.; Ding, M.; Chuai, X. Urban carbon footprint and carbon cycle pressure: The case study of Nanjing. J. Geogr. Sci. 2013, 24, 159–176. [Google Scholar] [CrossRef]
- Dasgupta, A. Available online: https://www.wri.org/insights/cop-21-opportunity-put-cities-squarely-climate-agenda (accessed on 20 February 2023).
- Chavez, A.; Sperling, J. Key drivers and trends of urban greenhouse gas emissions. In Creating Low Carbon Cities; Springer: Cham, Switzerland, 2017; pp. 157–168. [Google Scholar] [CrossRef]
- Fry, J.; Lenzen, M.; Jin, Y.; Wakiyama, T.; Baynes, T.; Wiedmann, T.; Malik, A.; Chen, G.; Wang, Y.; Geschke, A.; et al. Assessing carbon footprints of cities under limited information. J. Clean. Prod. 2018, 176, 1254–1270. [Google Scholar] [CrossRef]
- Moran, D.; Kanemoto, K.; Jiborn, M.; Wood, R.; Többen, J.; Seto, K.C. Carbon footprints of 13000 cities. Environ. Res. Lett. 2018, 13, 064041. [Google Scholar] [CrossRef]
- Ottelin, J.; Heinonen, J.; Junnila, S. Carbon footprint trends of metropolitan residents in Finland: How strong mitigation policies affect different urban zones. J. Clean. Prod. 2018, 170, 1523–1535. [Google Scholar] [CrossRef]
- Lee, J.; Taherzadeh, O.; Kanemoto, K. The scale and drivers of carbon footprints in households, cities and regions across India. Glob. Environ. Chang. 2021, 66, 102205. [Google Scholar] [CrossRef]
- Sun, X.; Mi, Z.; Sudmant, A.; Coffman, D.M.; Yang, P.; Wood, R. Using crowdsourced data to estimate the carbon footprints of global cities. Adv. Appl. Energy 2022, 8, 100111. [Google Scholar] [CrossRef]
- Scopus. Available online: https://www.scopus.com/search/form.uri?display=basic (accessed on 20 February 2023).
- Pang, M.; Meirelles, J.; Moreau, V.; Binder, C. Urban carbon footprints: A consumption-based approach for Swiss households. Environ. Res. Commun. 2019, 2, 011003. [Google Scholar] [CrossRef]
- Gill, B.; Moeller, S. GHG Emissions and the Rural-Urban Divide. A Carbon Footprint Analysis Based on the German Official Income and Expenditure Survey. Ecol. Econ. 2018, 145, 160–169. [Google Scholar] [CrossRef]
- Baiocchi, G.; Minx, J.; Hubacek, K. The Impact of Social Factors and Consumer Behavior on Carbon Dioxide Emissions in the United Kingdom. J. Ind. Ecol. 2010, 14, 50–72. [Google Scholar] [CrossRef]
- Druckman, A.; Jackson, T. The carbon footprint of UK households 1990–2004: A socio-economically disaggregated, quasi-multi-regional input–output model. Ecol. Econ. 2009, 68, 2066–2077. [Google Scholar] [CrossRef]
- Brown, M.A.; Southworth, F.; Sarzynski, A. Shrinking the Carbon Footprint of Metropolitan America; Brookings: Washington, DC, USA, 2008. [Google Scholar]
- Argun, M.E.; Ergüç, R.; Sarı, Y. Konya/Selçuklu ilçesi karbon ayak izinin belirlenmesi. Selcuk Univ. J. Eng. Sci. Technol. 2019, 7, 287–297. [Google Scholar] [CrossRef]
- Singh, S.; Kennedy, C. Estimating future energy use and CO2 emissions of the world’s cities. Environ. Pollut. 2015, 203, 271–278. [Google Scholar] [CrossRef] [PubMed]
- Rybski, D.; Reusser, D.; Winz, A.; Fichtner, C.; Sterzel, T.; Kropp, J. Cities as nuclei of sustainability? Environ. Plan. B Urban Anal. City Sci. 2016, 44, 425–440. [Google Scholar] [CrossRef]
- Wiedmann, T.O.; Chen, G.; Barrett, J. The concept of city carbon maps: A case study of Melbourne, Australia. J. Ind. Ecol. 2016, 20, 676–691. [Google Scholar] [CrossRef]
- Chen, G.; Wiedmann, T.; Hadjikakou, M.; Rowley, H. City Carbon Footprint Networks. Energies 2016, 9, 602. [Google Scholar] [CrossRef]
- Kennedy, C.; Steinberger, J.; Gasson, B.; Hansen, Y.; Hillman, T.; Havránek, M.; Pataki, D.; Phdungsilp, A.; Ramaswami, A.; Mendez, G.V. Greenhouse Gas Emissions from Global Cities. Environ. Sci. Technol. 2009, 43, 7297–7302. [Google Scholar] [CrossRef]
- Ottelin, J.; Heinonen, J.; Nässén, J.; Junnila, S. Household carbon footprint patterns by the degree of urbanisation in Europe. Environ. Res. Lett. 2019, 14, 114016. [Google Scholar] [CrossRef]
- Chen, C.; Liu, G.; Meng, F.; Hao, Y.; Zhang, Y.; Casazza, M. Energy consumption and carbon footprint accounting of urban and rural residents in Beijing through Consumer Lifestyle Approach. Ecol. Indic. 2019, 98, 575–586. [Google Scholar] [CrossRef]
- Connolly, M.; Shan, Y.; Bruckner, B.; Li, R.; Hubacek, K. Urban and rural carbon footprints in developing countries. Environ. Res. Lett. 2022, 17, 084005. [Google Scholar] [CrossRef]
- Bhoyar, S.P.; Dusad, S.; Shrivastava, R.; Mishra, S.; Gupta, N.; Rao, A.B. Understanding the Impact of Lifestyle on Individual Carbon-footprint. Procedia—Soc. Behav. Sci. 2014, 133, 47–60. [Google Scholar] [CrossRef]
- Wei, T.; Wu, J.; Chen, S. Keeping track of greenhouse gas emission reduction progress and targets in 167 cities worldwide. Front. Sustain. Cities 2021, 3, 696381. [Google Scholar] [CrossRef]
- Bozdag, A. Local-based mapping of carbon footprint variation in Turkey using artificial neural networks. Arab. J. Geosci. 2021, 14, 481. [Google Scholar] [CrossRef]
- Kırbaş, İ.; Kocakulak, T. Burdur İli karbon ayak izinin belirlenmesi. J. Sci. Eng. 2022, 24, 317–327. [Google Scholar] [CrossRef]
- The Governorship of Ankara. Ankara. Available online: http://www.ankara.gov.tr/ilcelerimiz (accessed on 13 March 2023).
- Meteorological Servise. Available online: https://www.mgm.gov.tr (accessed on 3 April 2023).
- The Governorship of Istanbul. Available online: http://www.istanbul.gov.tr/ilcelerimiz (accessed on 17 March 2023).
- The Governorship of Izmir. Izmir. Available online: http://www.izmir.gov.tr/ilcelerimiz (accessed on 17 March 2023).
- IPCC. IPCC Guidelines for National Greenhouse Gas Inventories; IGES: Kanagawa, Japan, 2006. [Google Scholar]
- Li, J.; Li, S. Energy investment, economic growth and carbon emissions in China—Empirical analysis based on Spatial Durbin model. Energy Policy 2020, 140, 111425. [Google Scholar] [CrossRef]
- Brander, M.; Sood, A.; Wylie, C.; Haughton, A.; Lovell, J. Electricity-Specific Emission Factors for Grid Electricity. Ecometrica. 2011. Available online: https://ecometrica.com/assets/Electricity-specific-emission-factors-for-grid-electricity.pdf (accessed on 20 March 2023).
- KMM. Kocaeli Green House Gas Inventory and Climate Change Action Plan; Resources, Environment, Climate (REC) Türkiye: Ankara, Turkey; Available online: https://rec.org.tr/2018/09/18/kocaeli-iklim-degisikligi-eylem-plani/ (accessed on 20 March 2023).
- MENR. Available online: https://enerji.gov.tr/evced-cevre-ve-iklim-turkiye-ulusal-elektrik-sebekesi-emisyon-faktoru (accessed on 20 March 2023).
- Pekin, M.A. Ulaştırma Sektöründen Kaynaklanan Sera Gazı Emisyonları. Master’s Thesis, Istanbul Technical University, Istanbul, Turkey, 2006. [Google Scholar]
- IPCC. Available online: https://www.ipcc-nggip.iges.or.jp/EFDB/main.php (accessed on 22 March 2023).
- IPCC. Revised 1996 IPCC Guidelines for National Greenhouse Gas Inventories; IPCC/OECD/IEA: Paris, France, 1997; Volume 2–3. [Google Scholar]
- Çetinoğlu, H.; Dalyancı, L. Cumhuriyetin 100. yılında Türkiye’de demiryolu ulaşımı. J. Interdiscip. Innov. Stud. 2021, 1, 42–53. [Google Scholar]
- Koday, Z.; Koday, S.; Kaymaz, Ç.K. Dünyadaki bazı önemli boğazlar ile kanalların coğrafi özellikleri ve jeopolitik önemleri. J. Grad. Sch. Soc. Sci. 2017, 21, 879–910. [Google Scholar]
- IPCC. Good Practice Guidance for Land Use, Land-Use Change and Forestry; IGES: Kanagawa, Japan, 2003; Chapter 3. [Google Scholar]
- Tolunay, D. Türkiye’de Ağaç Servetinden Bitkisel Kütle Ve Karbon Miktarlarının Hesaplamasında Kullanılabilecek Katsayılar. In Ormancılıkta Sektörel Planlamanın 50; Yılı Uluslararası Sempozyumu Bildiriler: Antalya, Türkiye, 2013. [Google Scholar]
- Ministry of Agriculture and Forestry. Available online: https://www.ogm.gov.tr/tr/e-kutuphane/mevzuat/tebligler (accessed on 20 March 2023).
- FRA. Global Forest Resources Assessment 2010—Country Report—Turkey; FRA: Roma, Italy, 2010. [Google Scholar]
- Tolunay, D.; Çömez, A. Türkiye Ormanlarında Toprak Ve Ölü Örtüde Depolanmış Organik Karbon Miktarları, In Hava Kirliliği Ve Kontrolü Ulusal Sempozyumu Bildiriler; İstanbul Üniversitesi: Hatay, Turkey, 2008; pp. 750–765. [Google Scholar]
- EPA. Available online: https://www.epa.gov/air-emissions-factors-and-quantification/greenhouse-gas-emissions-estimation-methodologies-biogenic (accessed on 29 March 2023).
- CFR. Available online: https://www.ecfr.gov/current/title-40/chapter-I/subchapter-C/part-98 (accessed on 29 March 2023).
- Baştan Töke, L. Kompost Ve Biyogaz Tesislerinde Veri Zarflama Analizi Ile Etkinlik Ölçümü. Master’s Thesis, Necmettin Erbakan University, Konya, Turkey, 2020. [Google Scholar]
- Öztürk, İ.; Koyuncu, İ.; Yangın Gömeç, Ç.; Karpuzcu, M.E.; Erşahin, M.E.; Timur, H.; Özgün, H.; Dereli, R.K.; Koşkan, U.; Gülhan, H.; et al. Atıksu Mühendisliği; İSKİ: Istanbul, Turkey, 2017. [Google Scholar]
- Muralidhar, K. Monte Carlo Simulation. In Encyclopedia of Information Systems; Bidgoli, H., Ed.; Elsevier: New York, NY, USA, 2003; pp. 193–201. [Google Scholar]
- Gentle, J.E. Computational Statistics. In International Encyclopedia of Education, 3rd ed.; Elsevier: Oxford, UK, 2010; pp. 93–97. [Google Scholar]
- Johansen, A.M. Monte Carlo Methods. In International Encyclopedia of Education, 3rd ed.; Elsevier: Oxford, UK, 2010; pp. 296–303. [Google Scholar]
- Ruan, K. Chapter 4—Cyber Risk Measurement in the Hyperconnected World. In Digital Asset Valuation and Cyber Risk Measurement; Academic Press: Cambridge, MA, USA, 2019; pp. 75–86. [Google Scholar]
- Kissell, R.; Poserina, J. Advanced math and statistics. In Optimal Sports Math, Statistics, and Fantasy; Academic Press: Cambridge, MA, USA, 2017; pp. 103–135. [Google Scholar] [CrossRef]
- EMRA. Available online: https://www.epdk.gov.tr/ (accessed on 3 April 2023).
- Yakut, S.E. Ankara, İstanbul ve İzmir Illerine Ait Karbon Ayak Izi Hesaplaması ve Monte Carlo Simülasyonu ile Belirsizlik Analizi. Master’s Thesis, Istanbul Technical University, Istanbul, Turkey, 2022. [Google Scholar]
- IZCC. Available online: https://www.izto.org.tr/en (accessed on 3 April 2023).
- TUSIAD. Available online: https://tusiad.org/tr/basin-bultenleri/item/10586-covid-19-krizinin-i-sletmeler-uzerindeki-etkilerinin-anket-sonuclari-aciklandi (accessed on 3 April 2023).
- TCDD. Available online: https://www.tcdd.gov.tr/ (accessed on 6 April 2023).
- Tekemen Altıntaş, E. XIX. Yüzyılın son çeyreğinde Ankara’da demiryolu ulaşımı. Ank. Hacı Bayram Veli Üniversitesi Edeb. Fakültesi Derg. 2021, 1, 21–32. [Google Scholar]
- MEUCC. Available online: https://ced.csb.gov.tr/en (accessed on 6 April 2023).










| Equation | Explanation of Parameters in Equation | Equation Number |
|---|---|---|
| is the total amount of emissions according to fuel and GHG (t), is the amount of fuel burned (t), is the fuel’s net calorific value (TJ kt−1), is the assumed EF of GHGs according to fuel type (t GHG TJ−1) | (1) | |
| is the heat output, is the electricity output, is the total efficiency of output, is the efficiency of heat plant, is the efficiency of electricity plant | (2) | |
| is the fuel consumed (FC) amount for different fuels (kt), is the number of vehicles, is the traveled by different vehicle types (km). represents the amount of FC per 100 km (L 100km−1), and is the density values of different fuels (kg L−1) | (3) | |
| As subscript consideration ‘’, ‘’, ‘’ represents the type of fuel used by the vehicle, type of vehicle, the emission control technology, respectively | (4) | |
| expresses the ratio of the number of vehicles to the total number of vehicles according to vehicle and fuel type | (5) | |
| expresses the way traveled with different vehicle and fuel types in one year (vehicle-km) | (6) | |
| is the emission amount at landing and landing/taking off cycle (LTO), is the emission amount at cruise | (7) | |
| is the EF belonging to LTO | (8) | |
| is the FC at LTO | (9) | |
| is the FC at LTO and cruise, is the EF belonging to cruise | (10) | |
| and are the number of passengers transported within the city and country, respectively. and are the amount of cargo transported within the city and country, respectively | (11) | |
| and expresses the length of non-electrified railway in the city and country (km). | (12) |
| Fuel Type | Gasoline (Engine, Aviation, Jet) | Diesel | Fuel Oil | Natural Gas | Liquefied Petroleum Gas (LPG) | Jet Kerosene | Anthracite |
|---|---|---|---|---|---|---|---|
| NCV | 44.3 | 43 | 40.4 | 48 | 47.3 | 44.1 | 26.7 |
| EF | 69,300–70,000 | 74,100 | 77,400 | 56,100 | 63,100 | 71,500 | 98,300 |
| Fuel Type | 2020 | 2019 | 2018 | 2017 | 2016 | 2015 |
|---|---|---|---|---|---|---|
| Diesel | 72,280 | 72,280 | 72,280 | 72,280 | 73,430 | 73,430 |
| Natural gas | 53,670 | 53,670 | 55,250 | 55,620 | 56,060 | 55,090 |
| Coal | 98,100 | 98,100 | 99,430 | 98,080 | 96,650 | 99,270 |
| Years | CO2 | CH4 | N2O | CO2e |
|---|---|---|---|---|
| 2020 | 0.722469 | 0.00025 | 0.00416 | 0.72688 |
| 2019 | 0.793630 | 0.00025 | 0.00407 | 0.79795 |
| 2018 | 0.710062 | 0.00023 | 0.00420 | 0.71450 |
| 2017 | 0.676377 | 0.00024 | 0.00565 | 0.68227 |
| 2016 | 0.711725 | 0.00026 | 0.00580 | 0.71779 |
| 2015 | 0.689520 | 0.00026 | 0.00557 | 0.69535 |
| Carbon Pool | Tree Type | Productive Forest | Degraded Forest |
|---|---|---|---|
| AGB | Coniferous | VO × D × BEF | VO× D × BEF |
| Broadleaved | VO × D × BEF | VO× D × BEF | |
| BGB | Coniferous | AGB × R | AGB × R |
| Broadleaved | AGB × R | AGB × R | |
| ∆CAGB | Coniferous | AGB × CFB | AGB × CFB |
| Broadleaved | AGB × CFB | AGB × CFB | |
| ∆CBGB | Coniferous | BGB × CFB | BGB × CFB |
| Broadleaved | BGB × CFB | BGB × CFB | |
| DWC | Coniferous | AGB × 0.01 × CFDW | AGB × 0.01 × CFDW |
| Broadleaved | AGB × 0.01 × CFDW | AGB × 0.01 × CFDW | |
| DLC | Coniferous | F1 × CDL | F3 × CDL |
| Broadleaved | F2 × CDL | F4 × CDL | |
| Organic carbon in soil | Coniferous | F1 × CS | F3 × CS |
| Broadleaved | F2 × CS | F4 × CS | |
| Total Carbon | ∆CAGB + ∆CBGB + DWC + DLC + Organic carbon in soil | ||
| Equation | Explanation of Parameters in Equation | Equation Number |
|---|---|---|
| , , ,, , are the percentage of food (15%), garden waste, and other plant residues (20%), paper (40%), wood (43%), textiles (24%), and industrial waste (15%) in MSW | (14) | |
| is an EF that represents the amount of CH4 generated per ton of solid waste, is a CH4 correction factor dependent on the type of SWD site, is the fraction of DOC ultimately decomposed, is the fraction of CH4 in the landfill gas, 16/12 is the stoichiometric ratio between CH4 and carbon | (15) | |
| is the total CH4 emissions produced (Mt yr−1), , is the mass of solid waste sent to the landfill in the inventory year (Mt yr−1), , is the CH4 recovery rate in the landfill, and , is the oxidation factor | (16) | |
| is the amount of recovered CH4 (Mt yr−1), is the efficiency of landfill gas collection (%) | (17) | |
| is the amount of recovered CO2 (Mt yr−1), 44/16 the stoichiometric ratio between CH4 and CO2 | (18) | |
| , which denotes the amount of CO2 generated from the recovery system and the destruction device, and is the destruction efficiency | (19) | |
| is the amount of unrecovered CO2 emissions in the equation (Mt yr−1) | (20) | |
| is the amount of unburned CH4 emissions (tCO2e yr−1) in the portion of recovered CH4 that is not sent to destruction | (21) | |
| is CH4 emissions that are not collected from the surface of the landfill and not oxidized to CO2 (tCO2e yr−1) | (22) |
| Carbon Pool | Tree Type | Ankara (2010) | Istanbul (2011) | Izmir (2010) | |||
|---|---|---|---|---|---|---|---|
| Productive Forest | Degraded Forest | Productive Forest | Degraded Forest | Productive Forest | Degraded Forest | ||
| AGB | Coniferous | 12,702,414.1 | 256,806.6 | 3,103,465.3 | 0 | 25,626,067.6 | 453,909.1 |
| Broadleaved | 740,069.2 | 362,480.3 | 5,800,504.3 | 87,357.7 | 651,523.5 | 914,367.7 | |
| BGB | Coniferous | 3,683,700.1 | 102,722.6 | 900,004.9 | 0 | 7,431,559.6 | 181,563.6 |
| Broadleaved | 177,616.6 | 166,740.9 | 1,392,121.0 | 40,184.6 | 156,365.6 | 420,609.2 | |
| ∆CAGB | Coniferous | 6,478,231.2 | 130,971.4 | 1,582,767.3 | 0 | 13,069,294.5 | 231,493.6 |
| Broadleaved | 355,233.2 | 173,990.5 | 2,784,242.1 | 41,931.7 | 312,731.3 | 438,896.5 | |
| ∆CBGB | Coniferous | 1,878,687.0 | 52,388.5 | 459,002.5 | 0 | 3,790,095.4 | 92,597.5 |
| Broadleaved | 85,256.0 | 80,035.6 | 668,218.1 | 19,288.6 | 75,055.5 | 201,892.4 | |
| DWC | Coniferous | 59,701.3 | 1207.0 | 14,586.3 | 0 | 120,442.5 | 2133.4 |
| Broadleaved | 3478.3 | 1703.7 | 27,262.4 | 410.6 | 3062.2 | 4297.5 | |
| DLC | Coniferous | 1,275,153.1 | 137,228.2 | 362,310.2 | 0 | 1,298,563.9 | 121,996.3 |
| Broadleaved | 135,907.3 | 108,275.6 | 661,484.8 | 14,215.1 | 116,279.1 | 189,580.1 | |
| Organic carbon in soil | Coniferous | 13,086,558.1 | 1,412,122.4 | 3,718,293.3 | 0 | 13,326,817.0 | 1,255,381.8 |
| Broadleaved | 3,074,041.8 | 2,468,218.5 | 14,961,904.6 | 324,042 | 2,630,078.9 | 5,576,992.6 | |
| Total Carbon | 30,998,388.8 | 25,639,959.4 | 41,602,300.1 | ||||
| Years | Ankara | Istanbul | Izmir | |||
|---|---|---|---|---|---|---|
| Total Carbon | Annual Stored Carbon | Total Carbon | Annual Stored Carbon | Total Carbon | Annual Stored Carbon | |
| 2020 | 37,409,350.9 | 260,065.9 | 27,958,836.1 | 253,345.4 | 49,217,307.3 | 905,359.3 |
| 2019 | 37,149,285.0 | 260,065.9 | 27,705,490.7 | 330,895.0 | 48,311,948.1 | 905,359.3 |
| 2018 | 36,889,219.1 | 338,271.6 | 27,374,595.7 | 330,895.0 | 47,406,588.8 | 635,747.2 |
| 2017 | 36,629,153.3 | 338,271.6 | 27,043,700.7 | 330,895.0 | 46,770,841.6 | 635,747.2 |
| 2016 | 36,369,087.4 | 338,271.6 | 26,712,805.8 | 188,827.7 | 46,135,094.4 | 635,747.2 |
| 2015 | 35,874,404.3 | 1,451,961.2 | 26,523,978.1 | 188,827.7 | 45,499,347.2 | 1,059,413.8 |
| 2014 | 35,614,338.4 | 1,451,961.2 | 26,335,150.3 | 188,827.7 | 44,439,933.4 | 1,059,413.8 |
| 2013 | 35,354,272.6 | 1,451,961.2 | 26,146,543.9 | 253,292.3 | 43,380,519.7 | 1,059,413.8 |
| 2012 | 31,518,520.6 | 260,065.9 | 25,893,251.6 | 253,292.3 | 42,321,105.9 | 359,402.9 |
| 2011 | 31,258,454.7 | 260,065.9 | 25,639,959.4 | 41,961,703.0 | 359,402.9 | |
| 2010 | 30,998,388.8 | 41,602,300.1 | ||||
| Years | CH4 | N2O | Total |
|---|---|---|---|
| 2020 | 12.16 | 6.90 | 19.06 |
| 2019 | 11.50 | 6.53 | 18.03 |
| 2018 | 13.53 | 7.69 | 21.22 |
| 2017 | 8.99 | 5.10 | 14.09 |
| 2016 | 14.25 | 8.09 | 22.34 |
| 2015 | 14.35 | 8.15 | 22.5 |
Disclaimer/Publisher’s Note: The statements, opinions and data contained in all publications are solely those of the individual author(s) and contributor(s) and not of MDPI and/or the editor(s). MDPI and/or the editor(s) disclaim responsibility for any injury to people or property resulting from any ideas, methods, instructions or products referred to in the content. |
© 2024 by the authors. Licensee MDPI, Basel, Switzerland. This article is an open access article distributed under the terms and conditions of the Creative Commons Attribution (CC BY) license (https://creativecommons.org/licenses/by/4.0/).
Share and Cite
Yakut Şevik, S.E.; Şahin, A.D. Quantifying Sectoral Carbon Footprints in Türkiye’s Largest Metropolitan Cities: A Monte Carlo Simulation Approach. Sustainability 2024, 16, 1730. https://doi.org/10.3390/su16051730
Yakut Şevik SE, Şahin AD. Quantifying Sectoral Carbon Footprints in Türkiye’s Largest Metropolitan Cities: A Monte Carlo Simulation Approach. Sustainability. 2024; 16(5):1730. https://doi.org/10.3390/su16051730
Chicago/Turabian StyleYakut Şevik, Sena Ecem, and Ahmet Duran Şahin. 2024. "Quantifying Sectoral Carbon Footprints in Türkiye’s Largest Metropolitan Cities: A Monte Carlo Simulation Approach" Sustainability 16, no. 5: 1730. https://doi.org/10.3390/su16051730
APA StyleYakut Şevik, S. E., & Şahin, A. D. (2024). Quantifying Sectoral Carbon Footprints in Türkiye’s Largest Metropolitan Cities: A Monte Carlo Simulation Approach. Sustainability, 16(5), 1730. https://doi.org/10.3390/su16051730
