Experimental Study on Runoff and Sediment Production of the Fully Weathered Granite Backfill Slope under Heavy Rain in Longling, Yunnan Province
Abstract
1. Introduction
2. Geological and Meteorological Characteristics of the Study Area
3. Materials and Methods
3.1. Test Materials
3.2. Test Design
3.3. Index Observation and Calculation
- (1)
- When runoff was initially generated (T0), this unit refers to the time from the start of rainfall until the slope stabilizes the runoff generation. The unit of measurement is s.
- (2)
- Runoff rate (N) and sediment yield rate (M) are the runoff (mL/s) and sediment yield amount (g/s), respectively. They can be calculated as follows:
4. Results
4.1. Initial Flow-Producing Time
4.2. Characterization of Slope Runoff Changes under Intermittent Rainfall Conditions
4.2.1. Characterization of Total Runoff under Intermittent Rainfall Conditions
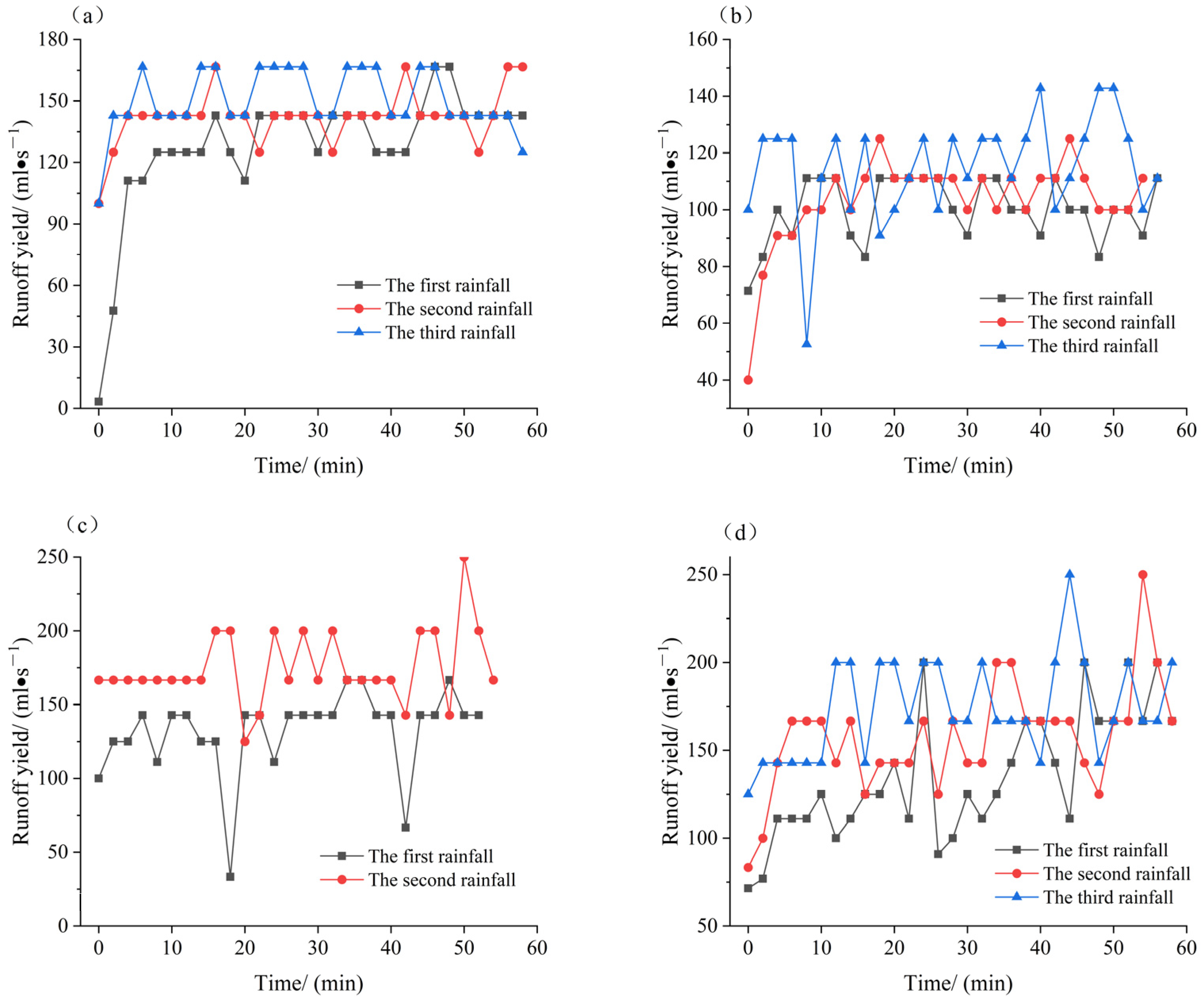
4.2.2. Characteristics of Changes in Yield Rate for Different Rainfall Events on the Same Slope
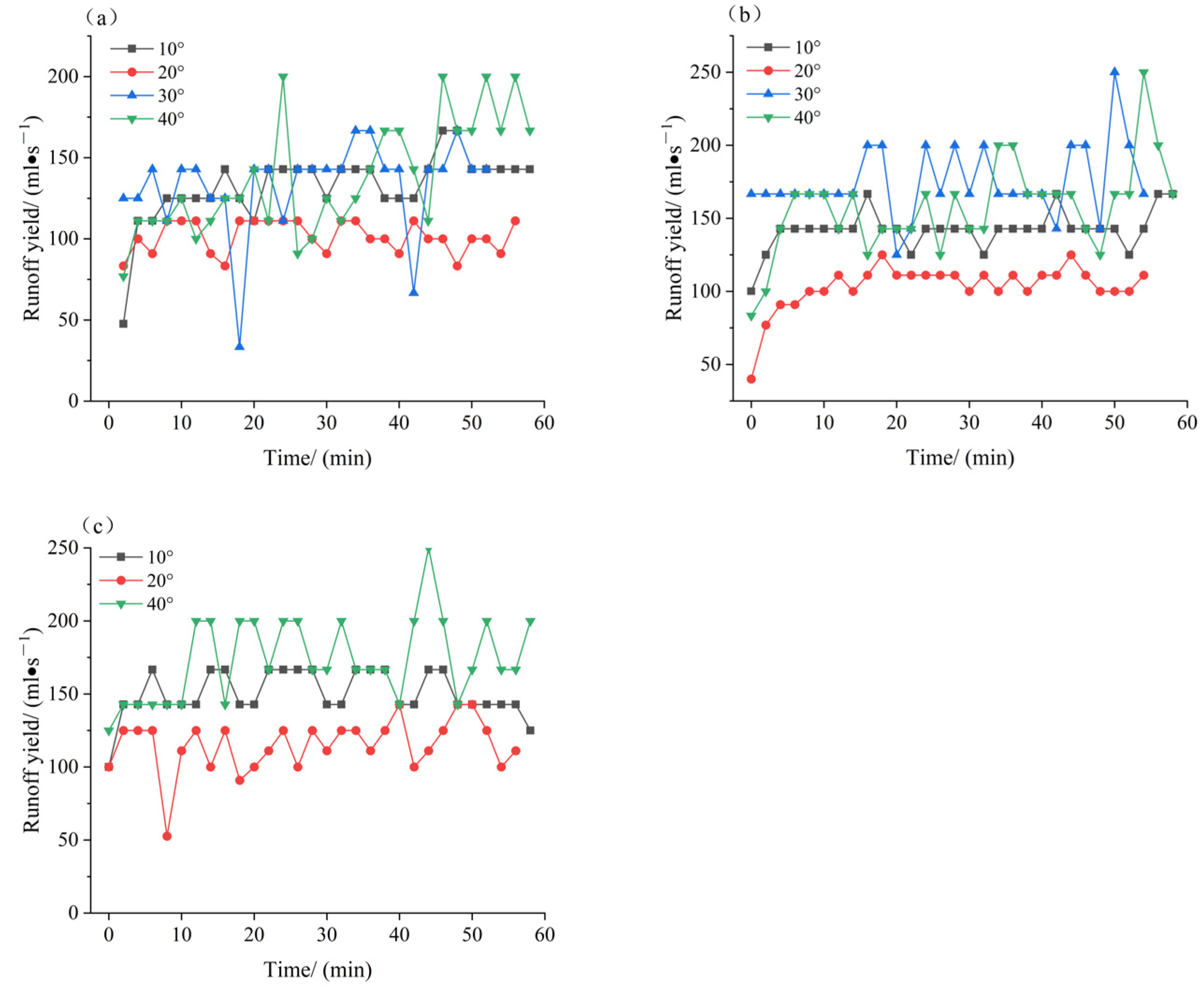
4.2.3. Characteristics of Changes in Flow Production Rates for the Same Rainfall Event at Different Slopes
4.3. Characteristics of Changes in Sediment Production under Intermittent Rainfall Conditions
4.3.1. Characteristics of Total Sand Production under Intermittent Rainfall Conditions
4.3.2. Characteristics of Changes in Sand Production Rates for Different Rainfall Events on the Same Slope
4.3.3. Characteristics of Changes in Sand Production Rates for the Same Rainfall Event at Different Slopes
4.4. Characteristics of Changes in Slope Erosion under Intermittent Rainfall Conditions
5. Discussion
5.1. Influence of Rainfall Events and Slope on Runoff Formation Mechanisms
5.2. Influence of Rainfall Events and Slope Gradient on Sand Production Mechanisms on Slopes
5.3. Analysis of Slope Scour Damage Process
- (1)
- Raindrop spallation stage: Raindrops generated by the rainfall generator land on the slope surface, imparting kinetic energy. The impact on the surface soil results in the spattering damage of soil particles. This process unfolds in stages: dry soil spattering, wet soil spattering, and mud spattering. The dispersed soil contributes to the formation of surface pores, leading to the blockage of junctions on the slope panel. This impedes rainfall infiltration, creating conditions conducive to runoff from the slope surface. In varied slope conditions, the distance from the raindrop generator increases with height at each point on the slope. This results in an elevation in the kinetic energy of falling raindrops, intensifying splash erosion, particularly at the foot of the slope.
- (2)
- Runoff erosion stage: Following the onset of slope runoff, it uniformly transports fine granular material with limited scouring resistance from the slope surface, creating several erosion pits. As the rainfall persists, rainwater diversion will give rise to the formation of several fine gullies on the slope, with the foot of the slope being the initial site to develop and take shape. The subsequent concentration of surface runoff into the fine gullies, coupled with the potent downcutting effect, gradually transforms these fine gullies into incised gully erosion. The greater the slope, the quicker the formation of runoff, leading to heightened gravitational potential energy. This increased energy accelerates the erosion of the slope, facilitating the rapid formation of gullies and exacerbating soil erosion damage.
- (3)
- Collapse damage stage: This stage is primarily manifested in the collapse of cut ditches. Firstly, the ditch head soil body is affected by numerous tensile fissures, leading to the step-by-step occurrence of soil damage with a gradual recession. Secondly, the cessation of rainfall results in water loss in the ditch, causing a collapse due to the lack of water flow to support the ditch wall. The severity of collapse damage increases with a steeper slope.
6. Conclusions
- (1)
- In this paper, a comprehensive analysis of multiple rainfall datasets reveals a consistent pattern in the relationship between slope characteristics and runoff dynamics, and the runoff on the slope increases with an increase in rainfall events, according to the study of multiple rainfall datasets in this work. On the other hand, for identical rainfall events on different slopes, the flow production rates remain relatively stable, with minor variations at 10° and 20° slopes, while showing significant fluctuations at 30° and 40° slopes.
- (2)
- The cumulative sand production across various slopes indicates a positive correlation between the slope magnitude and sand yield. Specifically, there is a quantitative increase in sand production after 20° slopes, highlighting the more pronounced impact of the slope on the runoff volume in sand production. The mean sand production rates during diverse rainfall events on the same slope remain generally stable at 10° inclination but exhibit oscillations on 20°, 30°, and 40° slopes, with more significant fluctuations observed at steeper inclinations. Notably, the sand production rate does not demonstrate a linear correlation with the slope gradient during the same rainfall event. Instead, the oscillatory changes in the sand production rate are attributed to variations in slope morphology influenced by gravitational and hydraulic forces.
- (3)
- The test findings delineate the stages of slope erosion, encompassing raindrop splash erosion, runoff erosion, and slump damage. The sequence of slope degradation unfolds chronologically at the toe, middle, and crest of the slope. Larger slopes exhibit more severe degrees of slope damage, leading to more extensive progression through the erosion stages.
Author Contributions
Funding
Institutional Review Board Statement
Informed Consent Statement
Data Availability Statement
Acknowledgments
Conflicts of Interest
References
- Shi, Z.; Liu, Q.; Zhang, H.; Wang, L.; Huang, X.; Fang, N.; Yue, Z. Study on Soil Erosion and Conservation in the Past 10 Years: Progress and Prospects. Acta Pedol. Sin. 2020, 57, 1117–1127. [Google Scholar]
- Liu, D.; She, D.; Yu, S.; Shao, G.; Chen, D. Rainfall Intensity and Slope Gradient Effects on Sediment Losses and Splash from a Saline–Sodic Soil under Coastal Reclamation. Catena 2015, 128, 54–62. [Google Scholar] [CrossRef]
- Chen, J.; Xiao, H.B.; Li, Z.; Liu, C.; Ning, K.; Tang, C. How Effective are Soil and Water Conservation Measures (SWCMs) in Reducing Soil and Water Losses in the Red Soil Hilly Region of China? A Meta-Analysis of Field Plot Data. Sci. Total Environ. 2020, 735, 139517. [Google Scholar] [CrossRef]
- Yan, X. Experimental Study on Soil Erosion by Different Slope under Simulated Rainfall Condition. Shanxi Hydrotech. 2020, 1, 41–44. [Google Scholar]
- Su, Y.; Zhang, Y.; Wang, H.; Lei, N.; Li, P.; Wang, J. Interactive Effects of Rainfall Intensity and Initial Thaw Depth on Slope Erosion. Sustainability 2022, 14, 3172. [Google Scholar] [CrossRef]
- Li, G.; Zheng, F.; Lu, J.; An, J. Effects of Rainfall and Topographyon Soil Erosion Processes of Black Soil Hillslope. Trans. Chin. Soc. Agric. Mach. 2015, 46, 147–154. [Google Scholar]
- Liang, Y.; Jiao, J.; Dang, W.; Cao, W. The Thresholds of Sediment-Generating Rainfall from Hillslope to Watershed Scales in the Loess Plateau, China. Water 2019, 11, 2392. [Google Scholar] [CrossRef]
- He, J.; Cai, Q.; Liu, S. Effects of Slope Gradient on Slope Runoff and Sediment Yield under Different Single Rainfall Conditions. Chin. J. Appl. Ecol. 2012, 23, 1263–1268. [Google Scholar]
- Shen, H.; Zheng, F.; Wen, L.; Han, Y.; Hu, W. Impacts of Rainfall Intensity and Slope Gradient on Rill Erosion Processes at Loessial Hillslope. Soil Tillage Res. 2016, 155, 429–436. [Google Scholar] [CrossRef]
- Fu, S.; Liu, B.; Liu, H.; Xu, L. The Effect of Slope on Interrill Erosion at Short Slopes. Catena 2011, 84, 29–34. [Google Scholar] [CrossRef]
- Komatsu, Y.; Kato, H.; Zhu, B.; Wang, T.; Yang, F.; Rakwal, R.; Onda, Y. Effects of Slope Gradient on Runoff from Bare-Fallow Purple Soil in China under Natural Rainfall Conditions. J. Mt. Sci. 2018, 15, 738–751. [Google Scholar] [CrossRef]
- Qian, F.; Dong, L.; Liu, J.; Sun, B.; Liu, H.; Huang, J.; Li, H. Equations for Predicting Interrill Erosion on Steep Slopes in the Three Gorges Reservoir, China. J. Hydrol. Hydromech. 2020, 68, 51–59. [Google Scholar]
- Chen, Z.; Zhu, B.; Tang, J.; Liu, X. Influence of Slope Gradient on Soil Erosion in the Hilly Area of Purple Soil under Natural Rainfall. Pearl River 2016, 37, 29–33. [Google Scholar]
- Sun, W.; Shao, Q.; Liu, J. Assessing the Effects of Land Use and Topography on Soil Erosion on the Loess Plateau in China. Catena 2014, 121, 151–163. [Google Scholar] [CrossRef]
- Peng, Y.; Zhou, B.; Chen, X.; Tang, X.; Tao, W.; Wang, Q. Study on the Mechanism of Soil, Water and Nutrient Loess Slope under Interval Rain Events. J. Soil Water Conserv. 2018, 32, 54–60. [Google Scholar]
- Luo, B.; Zhang, Y.; Zhang, Z.; Ni, S.; Zhang, X.; Wang, G. Application of laser scanning and photogrammetry in the evolution process of slope erosion. Trans. Chin. Soc. Agric. Eng. 2022, 38, 101–109. [Google Scholar]
- Tian, H.; Kong, Z. Influence of Rainfall Intensity and Slope on the Slope Erosion of Longling Completely Weathered Granite. Appl. Sci. 2023, 13, 5295. [Google Scholar] [CrossRef]
- Zhao, Z.; Tang, Y.; Feng, F.; Li, Z.; Xu, Y.; Hong, B.; Feng, W. Characteristics and Mechanisms of Large-Scale Old Landslides and Landslide Dams in the Loess Plateau—A Case Study from Daning County, Shanxi Province, China. Heliyon 2023, 9, e19910. [Google Scholar] [CrossRef] [PubMed]
- Li, X.; Wang, C.; Che, Y. Charcteristics of Rill Erosion on Sail Excavation Slope under Different Rainfall Conditions. J. Subtrop. Resour. Environ. 2023, 18, 78–85. [Google Scholar]
- Xu, X.; Liu, Q.; Zhang, H. Effects of Rainfall Type and Slope on Runoff and Sediment Yield in Brown Soil Furrow System. J. Soil Water Conserv. 2020, 34, 56–62. [Google Scholar]
- Su, Y.; Li, P.; Ren, Z.; Xiao, L.; Wang, T.; Zhang, J.; Liu, Z. Effect of Slope Gradient on the Process of Runoff and Sediment Yield and Water-Sediment Relation on the Loess slope. Res. Soil Water Conserv. 2020, 27, 118–122. [Google Scholar]
- Zhang, H.; Zheng, F. Effect of slope Gradients on Erosion from a Red Soil Hillslope under Different Rainfall Intensity. J. Soil Water Conserv. 2011, 25, 40–43. [Google Scholar]
- Defersha, M.B.; Melesse, A.M. Effect of Rainfall Intensity, Slope and Antecedent Moisture Content on Sediment Concentration and Sediment Enrichment Ratio. Catena 2011, 90, 47–52. [Google Scholar] [CrossRef]
- El Kateb, H.; Zhang, H.; Zhang, P.; Mosandl, R. Soil Erosion and Surface Runoff on Different Vegetation Covers and Slope Gradients: A Field Experiment in Southern Shaanxi Province, China. Catena 2013, 105, 1–10. [Google Scholar] [CrossRef]
- Mandal, D.; Chandrakala, M.; Alam, N.M.; Roy, T.; Mandal, U. Assessment of Soil Quality and Productivity in Different Phases of Soil Erosion with the Focus on Land Degradation Neutrality in Tropical Humid Region of India. Catena 2021, 204, 105440. [Google Scholar] [CrossRef]
- Wei, X.; Bi, H.; Huo, Y. Comparative Analysis of the Features of Runoff and Sediment Yield on the Different Soil Slopes. J. Soil Water Conserv. 2016, 30, 44–48. [Google Scholar]
- Zhao, Q.; Li, D.; Zhuo, M.; Guo, T.; Liao, Y.; Xie, Z. Effects of Rainfall Intensity and Slope Gradient on Erosion Characteristics of the Red Soil Slope. Stoch. Environ. Res. Risk Assess. 2015, 29, 609–621. [Google Scholar] [CrossRef]
- Yang, H.; Wei, C.; Sun, G.; Tao, X.; Wang, Y.; Xing, W. Responses of Soil and Ammonia Nitrogen Loss Rates to Hydraulic Parameters under Different Slope Gradients and Rainfall Intensities. Water 2024, 16, 230. [Google Scholar] [CrossRef]
- Wu, L.; Peng, M.; Qiao, S.; Ma, X.Y. Effects of Rainfall Intensity and Slope Gradient on Runoff and Sediment Yield Characteristics of Bare Loess Soil. Environ. Sci. Pollut. Res. 2018, 25, 3480–3487. [Google Scholar] [CrossRef] [PubMed]
- Zhang, H.; Li, Y.; Yan, Y.; Kong, Z.; Ge, H.; Liu, Z.; Yuan, Q. Ecological Protection Measures of Completely Weathered Granite Backfill Slope under Different Slope Conditions. J. Soil Water Conserv. 2022, 36, 156–162. [Google Scholar]
- Ge, H.; Fang, Y.; Zhao, F.; Kong, Z.; Dai, G.; Zhang, Y. Numerical Modeling of Erosion Process of Backfill Soil in Pipe Trench of Longling Section of Sino-Burmese Oil and Gas Pipeline. Yangtze River 2021, 52, 122–127. [Google Scholar]
- Deng, L.; Zhang, L.; Fan, X.; Wu, Y.; Sun, T.; Fei, K. Characteristics of Runoff and Sediment Yield under Different Rainfall Intensities and Slope Gradients in Erosive Weathered Granite Area. Trans. Chin. Soc. Agric. Eng. 2018, 34, 143–150. [Google Scholar]
- Xu, J.; Wang, Q.; Deng, Y.; Wan, Y.; Liu, D.; Ding, S. Study on Characteristics of Erosion Surface on Weathered Granite Soil Based on Three-dimensional Laser Scanning Technology. J. Soil Water Conserv. 2016, 30, 14–19. [Google Scholar]
- Deng, L.; Zhang, L.; Sun, T.; Fei, K.; Fan, X.; Wu, Y.; Ni, L.; Sun, R. Simulation Study on Runoff Processes and Erosion Rate on the Weathered Granite Slope in Southern China. J. Soil Water Conserv. 2020, 34, 35–41. [Google Scholar]
- Deng, L.; Zhang, L.; Wu, Y.; Fan, X.; Sun, T.; Fei, K. Characteristics of Rainfall Runoff and Hydrological Dynamics on the Erosive Weathered Granite Slope. J. Soil Water Conserv. 2018, 32, 67–73. [Google Scholar]
- Liu, H.; Yu, P.; Lu, H.; Xie, Y.; Wang, Z.; Hao, S.; Liu, H.; Fu, Y. Experimental Study on Disaster Mechanism of Completely Weathered Granite Landslide Induced by Extreme Rainfall. Geoenviron. Disasters 2023, 10, 5. [Google Scholar] [CrossRef]
- Yu, P.; Liu, H.; Yu, H.; Xie, Y.; Yu, Y.; Zhu, C.; Dong, J.; Guan, Y. Study on Fluid–Solid Coupling Numerical Simulation and Early Warning of Weathered Granite Landslides Induced by Extreme Rainfall. Sustainability 2023, 15, 11738. [Google Scholar] [CrossRef]
- Renard, K.; Foster, G.; Weesies, G.; Porter, J. RUSLE: Revised universal soil loss equation. Soil Water Conserv. 1991, 46, 30–33. [Google Scholar]
- Liu, B.; Xie, Y.; Zhang, K. Soil Erosion Prediction Model; China Science and Technology Press: Beijing, China, 2001. [Google Scholar]
- Wu, Q.; Zhao, X.; Liu, B. Soil Erosion Prediciton on Slope Cultivated Landsin South Part of Loess Plateau. J. Soil Eros. Soil Water Conserv. 1998, 4, 36–40. [Google Scholar]
- Sun, L.; Zhou, J.L.; Cai, Q.; Liu, S.; Xiao, J. Comparing Surface Erosion Processes in Four Soils from the Loess Plateau under Extreme Rainfall Events. Int. Soil Water Conserv. Res. 2021, 9, 520–531. [Google Scholar] [CrossRef]
- Han, J.; Ge, W.; Hei, Z.; Cong, C.; Ma, C.; Xie, M.; Liu, B.; Feng, W.; Wang, F.; Jiao, J. Agricultural land Use and Management Weaken the Soil Erosion Induced by Extreme Rainstorms. Agric. Ecosyst. Environ. 2020, 301, 107047. [Google Scholar] [CrossRef]
- Ke, Q.; Zhang, K. Patterns of Runoff and Erosion on Bare Slopes in Different Climate Zones. Catena 2021, 198, 105069. [Google Scholar] [CrossRef]
- Xie, S.; Mo, M.; Tu, A.; Liu, Y. Characteristics of vertical runoff output on red-soil slope under natural rainfall conditions. Trans. Chin. Soc. Agric. Eng. 2014, 30, 132–138. [Google Scholar]
- Chen, X.; Yang, J.; Tang, C.; Zheng, T.; Li, L. Effects of Rainfall Intensity and Slope on Surface and Subsurface Runoff in Red Soil Slope Farmland. Trans. Chin. Soc. Agric. Eng. 2017, 33, 141–146. [Google Scholar]
- Chen, Z.; Liu, X.; Zhu, B. Runoff Estimation in Hillslope Cropland of Purple Soil Based on SCS-CN Model. Trans. Chin. Soc. Agric. Eng. 2014, 30, 72–81. [Google Scholar]
- Hernandez, M.; Nearing, M.A.; Al-Hamdan, O.Z.; Pierson, F.B.; Armendariz, G.; Weltz, M.A.; Spaeth, K.E.; Holifield Collins, C.D. The Rangeland Hydrology and Erosion Model: A Dynamic Approach for Predicting Soil Loss on Rangelands. Water Resour. Res. 2017, 53, 9368–9391. [Google Scholar] [CrossRef]
- Choi, K.; Arnhold, S.; Huwe, B.; Reineking, B. Daily Based Morgan-Morgan-Finney (DMMF) Model: A Spatially Distributed Conceptual Soil Erosion Model to Simulate Complex Soil Surface Configurations. Water 2017, 9, 278. [Google Scholar] [CrossRef]
- Wang, B.; Xiao, S.; Zhang, G.; Yang, J.; Zhang, L. Study on Runoff and Sediment Yield Characteristics under Different Land Uses in Red Soil Area of South China. Trans. Chin. Soc. Agric. Eng. 2012, 28, 239–243. [Google Scholar]
- Zhang, Q.; Lv, X.; Ni, Y.; Ma, L. Slope Runoff Process and Regulation Threshold under the Dual Effects of Rainfall and Vegetation in Loess Hilly and Gully Region. Sustainability 2023, 15, 7582. [Google Scholar] [CrossRef]
- Zheng, F.; Bian, F.; Lu, J.; Qin, C.; Xu, X. Effects of Rainfall Patterns on Hillslope Erosion with Longitudinal Ridge in Typical Black Soil Region of Northeast China. Trans. Chin. Soc. Agric. Mach. 2016, 47, 90–97. [Google Scholar]
- Chen, S.; Zha, X. Evaluation of Soil Erosion Vulnerability in the Zhuxiwatershed, Fujian Province, China. Nat. Hazards 2016, 82, 1589–1607. [Google Scholar] [CrossRef]
- Xie, M.; Hong, D.; Fu, J.; Zhang, Z.; Zheng, C.; Zhang, P. Characteristics of Nitrate Nitrogen Transport of Purple Sloped soils in Resopnse to Single and Intermittent Rainfalls. J. Soil Water Conserv. 2022, 36, 24–29. [Google Scholar]
- Shi, P.; Chiahue, D.Y.; Zhang, P. Effect of lntermittent Rainfall on Size Distribution and Phosphorus, Copper and Zinc Enrichment of Soil Aggregates. Acta Pedol. Sin. 2021, 58, 948–956. [Google Scholar]
- Wen, Y.; Gao, P.; Mu, X.; Li, M.; Su, Y.; Wang, H. Experimental Study on Landslides in Terraced Fields in the Chinese Loessial Region under Extreme Rainfall. Water 2021, 13, 270. [Google Scholar] [CrossRef]
- Patriche, C.V.; Roșca, B.; Pîrnău, R.G.; Vasiliniuc, I.; Irimia, L.M. Simulation of Rainfall Erosivity Dynamics in Romania under Climate Change Scenarios. Sustainability 2023, 15, 1469. [Google Scholar] [CrossRef]
- Jeong, S.; Lee, K.; Kim, J.; Kim, Y. Analysis of Rainfall-Induced Landslide on Unsaturated Soil Slopes. Sustainability 2017, 9, 1280. [Google Scholar] [CrossRef]
- Martin, K.; Santhi, K.; Marco, Z.; Albert, N. Experimental Study of Site-Specific Soil Water Content and Rainfall Inducing Shallow Landslides: Case of Gakenke District, Rwanda. Geofluids 2021, 18, 7194988. [Google Scholar]
- Dan, C.; Liu, G.; Zhao, Y.; Shu, C.; Shen, E.; Liu, C.; Tan, Q.; Zhang, Q.; Guo, Z.; Zhang, Y. The Effects of Typical Grass Cover Combined with Biocrusts on Slope Hydrology and Soil Erosion during Rainstorms on the Loess Plateau of China: An Experimental Study. Hydrol. Process. 2023, 37, e14794. [Google Scholar] [CrossRef]












| Size range | <0.075 mm | 0.075–0.25 mm | 0.25–2 mm | >2 mm |
| Mass percentage % | 1.13 | 24.76 | 41.16 | 32.95 |
Disclaimer/Publisher’s Note: The statements, opinions and data contained in all publications are solely those of the individual author(s) and contributor(s) and not of MDPI and/or the editor(s). MDPI and/or the editor(s) disclaim responsibility for any injury to people or property resulting from any ideas, methods, instructions or products referred to in the content. |
© 2024 by the authors. Licensee MDPI, Basel, Switzerland. This article is an open access article distributed under the terms and conditions of the Creative Commons Attribution (CC BY) license (https://creativecommons.org/licenses/by/4.0/).
Share and Cite
Gao, K.; Kong, Z.; Li, Y.; Zhao, F.; Cai, B.; Shi, D.; Wang, R. Experimental Study on Runoff and Sediment Production of the Fully Weathered Granite Backfill Slope under Heavy Rain in Longling, Yunnan Province. Sustainability 2024, 16, 1454. https://doi.org/10.3390/su16041454
Gao K, Kong Z, Li Y, Zhao F, Cai B, Shi D, Wang R. Experimental Study on Runoff and Sediment Production of the Fully Weathered Granite Backfill Slope under Heavy Rain in Longling, Yunnan Province. Sustainability. 2024; 16(4):1454. https://doi.org/10.3390/su16041454
Chicago/Turabian StyleGao, Kai, Zhigang Kong, Yanqing Li, Fei Zhao, Baoxin Cai, Dehua Shi, and Ren Wang. 2024. "Experimental Study on Runoff and Sediment Production of the Fully Weathered Granite Backfill Slope under Heavy Rain in Longling, Yunnan Province" Sustainability 16, no. 4: 1454. https://doi.org/10.3390/su16041454
APA StyleGao, K., Kong, Z., Li, Y., Zhao, F., Cai, B., Shi, D., & Wang, R. (2024). Experimental Study on Runoff and Sediment Production of the Fully Weathered Granite Backfill Slope under Heavy Rain in Longling, Yunnan Province. Sustainability, 16(4), 1454. https://doi.org/10.3390/su16041454
