Investigating the Technical Reuse Potential of Crystalline Photovoltaic Modules with Regard to a Recycling Alternative
Abstract
1. Introduction
2. Materials and Methods
2.1. Module Sample
2.2. Condition Testing with Sun Simulator (1) and Electroluminescence Test (2): Short-Term Measurements under Laboratory Conditions
2.3. Visual Inspection with Digital Camera (3) and Thermal Imaging Camera (4): Long-Term Measurements under Real Conditions
- delamination, browning, yellowing and bubble formation in module front;
- broken regions, cracks and the discoloring of antireflection coating in module cells;
- the burning and oxidization of metallization;
- the bending, breakage, scratching and misalignment of module frames;
- delamination, yellowing, scratching, burning and bubble formation in module back;
- the corrosion, oxidation and looseness of junction box;
- the brittleness, detachment and exposure of electric components in connectors and/or wires [9].
2.4. Characteristic Measurements (5): Long-Term Measurement under Real Conditions
3. Results
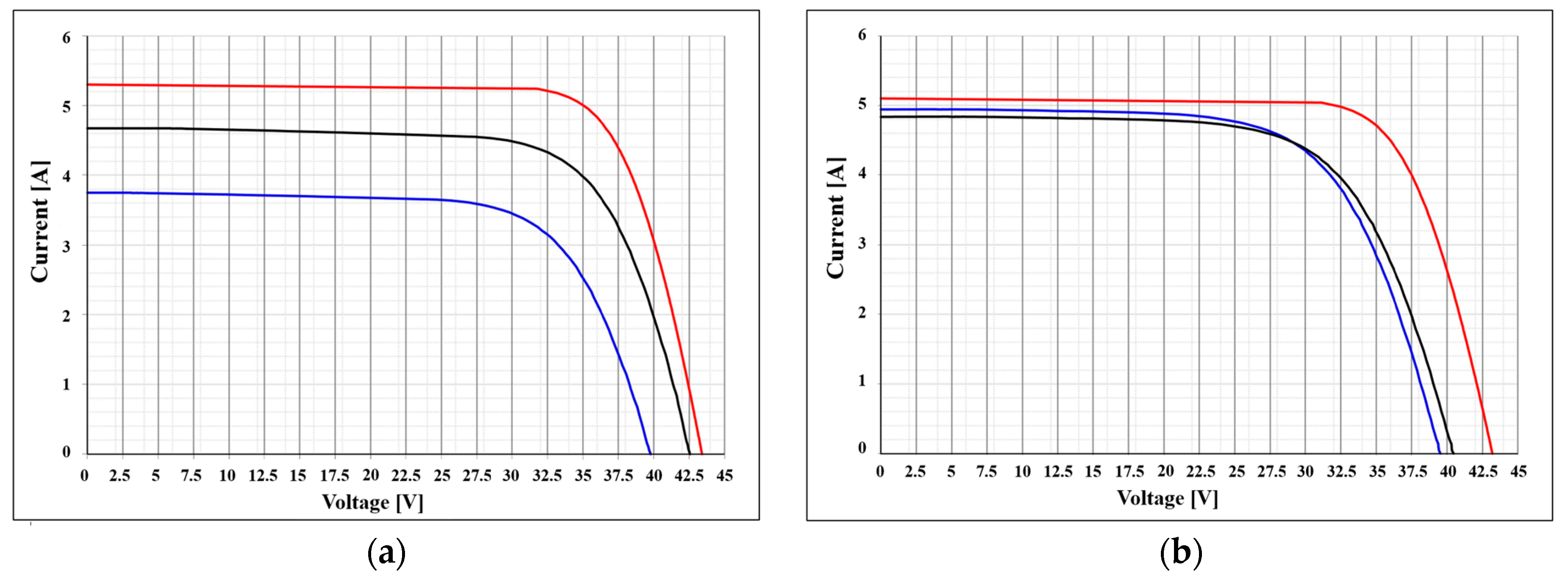
3.1. Condition Testing with Sun Simulator (1) and Electroluminescence Test (2)
3.2. Visual Inspection with Digital Camera (3) and Thermal Imaging Camera (4)
3.3. Characteristic Measurements (5)
4. Discussion
5. Conclusions
Author Contributions
Funding
Institutional Review Board Statement
Informed Consent Statement
Data Availability Statement
Acknowledgments
Conflicts of Interest
Appendix A
| Type | Serial Number |
|---|---|
| TSM-245PC05 | 4120210300062 * |
| TSM-245PC05 | 5120213003149 * |
| TSM-245PC05 | 5120213003847 * |
| TSM-245PC05 | 5120213004347 * |
| TSM-245PC05 | 6120217400416 |
| TSM-245PC05 | 6120217500072 |
| TSM-245PC05 | 6120217500329 * |
| TSM-245PC05 | 6120217500405 |
| TSM-245PC05 | 6120217500420 |
| TSM-245PC05 | 6120217500442 * |
| TSM-245PC05 | 6120217500504 |
| TSM-245PC05 | 6120217500531 |
| TSM-245PC05 | 6120217500582 |
| PW-1650 | 01 * |
| PW-1650 | 02 * |
| PW-1650 | 03 * |
Appendix B





References
- Tsanakas, J.A.; Heide, A.; Radavičius, T.; Denafas, J.; Lemaire, E.; Wang, K.; Poortmans, J.; Voroshazi, E. Towards a circular supply chain for PV modules: Review of today’s challenges in PV recycling, refurbishment and re-certification. Prog. Photovolt. Res. Appl. 2020, 28, 454–464. [Google Scholar] [CrossRef]
- Schnatmann, A.K.; Schoden, F.; Schwenzfeier-Hellkamp, E. Sustainable PV Module Design—Review of State-of-the-Art Encapsulation Methods. Sustainability 2022, 14, 9971. [Google Scholar] [CrossRef]
- Schoden, F.; Schnatmann, A.K.; Davies, E.; Diederich, D.; Storck, J.L.; Knefelkamp, D.; Blachowicz, T.; Schwenzfeier-Hellkamp, E. Investigating the Recycling Potential of Glass Based Dye-Sensitized Solar Cells-Melting Experiment. Materials 2021, 14, 6622. [Google Scholar] [CrossRef] [PubMed]
- Ellen Macarthur Foundation. The Circular Economy in Detail. Available online: https://ellenmacarthurfoundation.org/the-circular-economy-in-detail-deep-dive (accessed on 28 June 2023).
- Osann, I.; Mattheis, H. Workbook Circular Economy: Developing Innovations-Shaping Transformation: With Methods, Tools and Checklists! Hanser eLibrary: Munich, Germany, 2021. (In German) [Google Scholar]
- Kirchherr, J.; Reike, D.; Hekkert, M. Conceptualizing the circular economy: An analysis of 114 definitions. Resour. Conserv. Recycl. 2017, 127, 221–232. [Google Scholar] [CrossRef]
- Uwe Handmann, W.I.; RETHINK. Impulses for Circular Value Creation/Enabling the Circular Economy. 2022. Available online: www.prosperkolleg.ruhr (accessed on 28 June 2023). (In German).
- Zhao, Y.; Pohl, O.; Bhatt, A.I.; Collis, G.E.; Mahon, P.J.; Rüther, T.; Hollenkamp, A.F. A Review on Battery Market Trends, Second-Life Reuse, and Recycling. Sustain. Chem. 2021, 2, 167–205. [Google Scholar] [CrossRef]
- Waqar Akram, M.; Li, G.; Jin, Y.; Chen, X. Failures of Photovoltaic modules and their Detection: A Review. Appl. Energy 2022, 313, 118822. [Google Scholar] [CrossRef]
- Aghaei, M.; Fairbrother, A.; Gok, A.; Ahmad, S.; Kazim, S.; Lobato, K.; Oreski, G.; Reinders, A.; Schmitz, J.; Theelen, M.; et al. Review of degradation and failure phenomena in photovoltaic modules. Renew. Sustain. Energy Rev. 2022, 159, 112160. [Google Scholar] [CrossRef]
- 2nd Life Solar GmbH & Co., KG. 2ndlifesolar. Available online: https://2ndlifesolar.de/ (accessed on 31 July 2023).
- pvXchange Trading GmbH. Pvxchange—Photovoltaic Distribution. Available online: https://www.pvxchange.com/ (accessed on 31 July 2023).
- SecondSol GmbH. SecondSol—The Photovoltaic Marketplace. Available online: https://www.secondsol.com/ (accessed on 31 July 2023).
- Rinovasol Global Services B., V. Rinovasol Global O and M GmbH. Available online: https://www.rinovasol.de/ (accessed on 31 July 2023).
- solar-pur, AG. solar-pur AG|Photovoltaics & Electrical Engineering. Available online: https://www.solar-pur.de/ (accessed on 31 July 2023). (In German).
- Reiling GmbH & Co., KG.; Materials Management. Recycling. Available online: https://www.reiling.de/ (accessed on 28 June 2023).
- German Environmental Aid, e.V. Strengthening the Circular Economy in the Solar Industry-Using Old Photovoltaic Modules to Protect the Climate and Resources: White Paper on Strengthening the Reuse and Recycling of Photovoltaic Modules. 2021. Available online: https://www.duh.de/projekte/pv-recycling/ (accessed on 10 December 2023). (In German).
- Franco, M.A.; Groesser, S.N. A Systematic Literature Review of the Solar Photovoltaic Value Chain for a Circular Economy. Sustainability 2021, 13, 9615. [Google Scholar] [CrossRef]
- Trina Solar Ltd. TSM-PC05—The Universal Module-Datasheet. 2013. Available online: https://static.trinasolar.com/sites/default/files/TSM_PC05_datasheet_EN.pdf (accessed on 30 November 2023).
- Photowatt International S., A. PW1650-12/24 V High Efficiency Photovoltaic Module–Jbox. 2003. Available online: https://reenergyhub.com/files/hersteller/Photowatt/pdf/Photowatt_PW1650_24V_155-175_12V_155-175_EN.pdf (accessed on 30 November 2023).
- MBJ Solutions GmbH. Product Portfolio-MBJ Solutions GmbH. Available online: https://www.mbj-solutions.com/produktportfolio-mbj-solutions (accessed on 30 November 2023). (In German).
- IEC 60904-9:2020; Photovoltaic Devices—Part 9: Classification of Solar Simulator Characteristics. International Electrotechnical Commission: Geneva, Switzerland, 2020.
- IEC 60891:2021; Photovoltaic Devices—Procedures for Temperature and Irradiance Corrections to Measured I-V Characteristics. International Electrotechnical Commission: Geneva, Switzerland, 2021.
- FLIR Systems, Inc. Technical Data FLIR E50; FLIR Systems, Inc.: Wilsonville, OR, USA, 2012. [Google Scholar]
- TRITEC International, AG. Simple and Quick Performance Check of Installed Solar Modules; TRITEC International AG: Bottmingen, Switzerland, 2011. [Google Scholar]
- Mertens, K. Photovoltaics: Textbook on Basics, Technology and Practice; Carl Hanser Verlag GmbH & Co. KG: Munich, Germany, 2020. (In German) [Google Scholar]
- Jordan, D.C.; Kurtz, S.R. Photovoltaic Degradation Rates—An Analytical Review. Prog. Photovolt. Res. Appl. 2013, 21, 12–29. [Google Scholar] [CrossRef]
- Kahoul, N.; Chenni, R.; Cheghib, H.; Mekhilef, S. Evaluating the reliability of crystalline silicon photovoltaic modules in harsh environment. Renew. Energy 2017, 109, 66–72. [Google Scholar] [CrossRef]
- Lillo-Sánchez, L.; López-Lara, G.; Vera-Medina, J.; Pérez-Aparicio, E.; Lillo-Bravo, I. Degradation analysis of photovoltaic modules after operating for 22 years. A case study with comparisons. Sol. Energy 2021, 222, 84–94. [Google Scholar] [CrossRef]










| Characteristic | TSM-245PC05 [19] | PW-1650 [20] |
|---|---|---|
| Producer | Trina Solar | Photowatt |
| Cell type | Polycrystalline | Polycrystalline |
| Module structure | Front glass—back sheet | Front glass—back sheet |
| Nominal power (PMPP) | 245 W | 165 W |
| Nominal voltage (UMPP) | 30.2 V | 34.4 V |
| Nominal current (IMPP) | 8.13 A | 4.8 A |
| Open circuit voltage (OCV) | 37.5 V | 43.2 V |
| Short circuit current (SCC) | 8.68 A | 5.1 A |
| Module efficiency | 15.0% | 15.0% |
| Temperature coefficient: | ||
| SCC | 0.047%/K | 0.027%/K |
| OCV | −0.32%/K | −0.36%/K |
| PMPP | −0.43%/K | −0.43%/K |
| Power warranty | Linear degradation of 0.8%/year | Linear degradation of 0.8%/year |
| Estimated age at the start of the condition testing | About 10 years | About 20 years |
| Guaranteed power at the start of the condition testing (Power loss) | 225.4 W (8%) | 138.6 W (16%) |
| Module Designation | Sun Simulator (1) | EL Test (2) | |||
|---|---|---|---|---|---|
| PMPP (W)/Loss (%) | SCC (A)/Loss (%) | OCV (V)/Loss (%) | FF (%) | Critical; Uncritical; Inconspicuous (Cells) | |
| 4120210300062 | 241.3/1.5 | 8.63/0.58 | 36.92/1.55 | 75.7 | 0; 2; 58 |
| 5120213003149 | 239.6/2.2 | 8.48/2.3 | 36.91/1.57 | 76.5 | 3; 3; 54 |
| 5120213003847 | 242.1/1.2 | 8.67/0.12 | 36.81/1.84 | 75.9 | 0; 3; 57 |
| 5120213004347 | 240.6/1.8 | 8.64/0.46 | 36.74/2.03 | 75.8 | 3; 1; 56 |
| 6120217400416 | 241.3/1.5 | 8.66/0.23 | 36.75/2.00 | 75.8 | 0; 0; 60 |
| 6120217500072 | 244.3/0.3 | 8.70/-0.23 | 36.81/1.84 | 76.3 | 1; 6; 53 |
| 6120217500329 | 238.0/2.9 | 8.64/0.46 | 36.83/1.79 | 74.8 | 1; 3; 56 |
| 6120217500405 | 238.2/2.8 | 8.56/1.38 | 36.63/2.32 | 75.9 | 1; 4; 55 |
| 6120217500420 | 243.2/0.7 | 8.62/0.69 | 36.83/1.79 | 76.7 | 1; 2; 57 |
| 6120217500442 | 240.4/1.9 | 8.66/0.23 | 36.73/2.05 | 75.6 | 0; 0; 60 |
| 6120217500504 | 241.6/1.4 | 8.64/0.46 | 36.75/2.00 | 76.1 | 0; 0; 60 |
| 6120217500531 | 243.7/0.6 | 8.62/0.69 | 36.82/1.81 | 76.8 | 1; 3; 56 |
| 6120217500582 | 244.5/0.2 | 8.68/0.00 | 36.83/1.79 | 76.5 | 0; 0; 60 |
Disclaimer/Publisher’s Note: The statements, opinions and data contained in all publications are solely those of the individual author(s) and contributor(s) and not of MDPI and/or the editor(s). MDPI and/or the editor(s) disclaim responsibility for any injury to people or property resulting from any ideas, methods, instructions or products referred to in the content. |
© 2024 by the authors. Licensee MDPI, Basel, Switzerland. This article is an open access article distributed under the terms and conditions of the Creative Commons Attribution (CC BY) license (https://creativecommons.org/licenses/by/4.0/).
Share and Cite
Schnatmann, A.K.; Reimers, T.; Hüdepohl, E.; Umlauf, J.; Kleinebekel, P.; Schoden, F.; Schwenzfeier-Hellkamp, E. Investigating the Technical Reuse Potential of Crystalline Photovoltaic Modules with Regard to a Recycling Alternative. Sustainability 2024, 16, 958. https://doi.org/10.3390/su16030958
Schnatmann AK, Reimers T, Hüdepohl E, Umlauf J, Kleinebekel P, Schoden F, Schwenzfeier-Hellkamp E. Investigating the Technical Reuse Potential of Crystalline Photovoltaic Modules with Regard to a Recycling Alternative. Sustainability. 2024; 16(3):958. https://doi.org/10.3390/su16030958
Chicago/Turabian StyleSchnatmann, Anna Katharina, Tobi Reimers, Erik Hüdepohl, Jonah Umlauf, Pia Kleinebekel, Fabian Schoden, and Eva Schwenzfeier-Hellkamp. 2024. "Investigating the Technical Reuse Potential of Crystalline Photovoltaic Modules with Regard to a Recycling Alternative" Sustainability 16, no. 3: 958. https://doi.org/10.3390/su16030958
APA StyleSchnatmann, A. K., Reimers, T., Hüdepohl, E., Umlauf, J., Kleinebekel, P., Schoden, F., & Schwenzfeier-Hellkamp, E. (2024). Investigating the Technical Reuse Potential of Crystalline Photovoltaic Modules with Regard to a Recycling Alternative. Sustainability, 16(3), 958. https://doi.org/10.3390/su16030958
