Can Digital Transformation Promote Service Innovation Performance of Construction Enterprises? The Mediating Role of Dual Innovation
Abstract
1. Introduction
2. Literature Review
2.1. Digital Transformation
2.2. Dual Innovation
2.3. Service Innovation Performance
3. Research Hypothesis
3.1. Relationship between DIT and SIP
3.2. Relationship between DIT and DI
3.3. Relationship between DI and SIP
3.4. Mediating Effect of DI
4. Research Methods
4.1. Questionnaire Design
4.2. Sample and Data Collection
4.3. Statistical Technique
5. Results
5.1. Reliability Testing
5.2. Validity Testing
5.3. Correlation Analysis
5.4. Hypothesis Testing
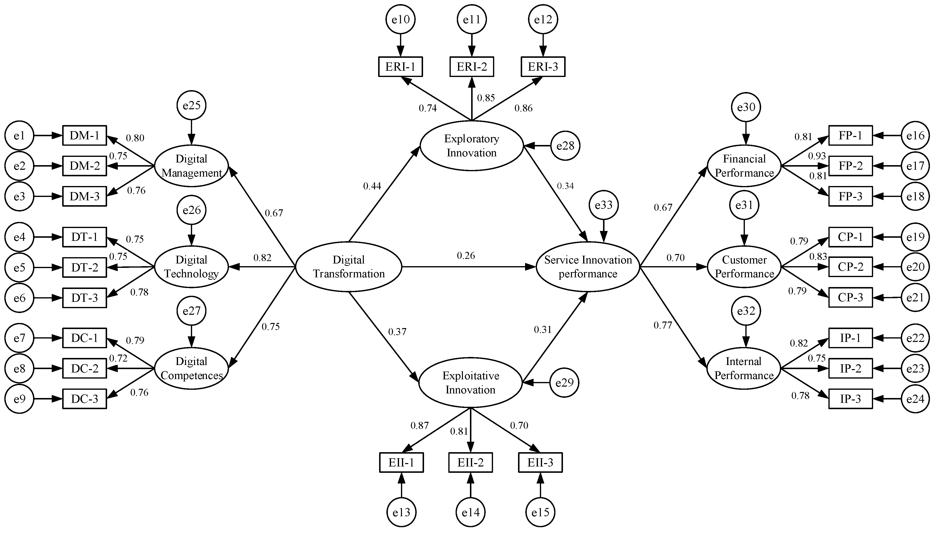
5.4.1. Path Analysis
5.4.2. Testing of Mediating Effect
6. Discussion
7. Conclusions
7.1. Key Findings
7.2. Management Enlightenment
7.3. Limitations and Future Prospects
Author Contributions
Funding
Institutional Review Board Statement
Informed Consent Statement
Data Availability Statement
Conflicts of Interest
References
- You, Z.; Wu, C. A framework for data-driven informatization of the construction company. Adv. Eng. Inform. 2019, 39, 269–277. [Google Scholar] [CrossRef]
- Yang, S.; Su, Y.; Wang, W.; Hua, K. Research on developers’ green procurement behavior based on the theory of planned behavior. Sustainability 2019, 11, 2949. [Google Scholar] [CrossRef]
- Liu, D.; Wang, H.; Zhong, B.; Ding, L. Servitization in construction and its transformation pathway: A value-adding perspective. Engineering 2022, 19, 166–179. [Google Scholar] [CrossRef]
- Ghansah, F.A.; Lu, W. Responses to the COVID-19 pandemic in the construction industry: A literature review of academic research. Constr. Manag. Econ. 2023, 41, 781–803. [Google Scholar] [CrossRef]
- Meng, J.; Hao, Z.; Yang, J.; Hong, Y. How does digital transformation affect organisational sustainable performance: The mediating roles of supply chain agility and integration. Int. J. Logist. Res. Appl. 2023, 1–26. [Google Scholar] [CrossRef]
- Ernstsen, S.N.; Whyte, J.; Thuesen, C.; Maier, A. How innovation champions frame the future: Three visions for digital transformation of construction. J. Constr. Eng. Manag. 2021, 147, 05020022. [Google Scholar] [CrossRef]
- Tang, X.; Wang, M.; Li, H. Understanding the effects of service innovation capability on firm performance in AEC industry: Mediating role of business model. Eng. Constr. Archit. Manag. 2023. [Google Scholar] [CrossRef]
- Craveiro, F.; Duarte, J.P.; Bartolo, H.; Bartolo, P.J. Additive manufacturing as an enabling technology for digital construction: A perspective on Construction 4.0. Autom. Constr. 2019, 103, 251–267. [Google Scholar] [CrossRef]
- Guo, L.; Xu, L. The effects of digital transformation on firm performance: Evidence from China’s manufacturing sector. Sustainability 2021, 13, 12844. [Google Scholar] [CrossRef]
- Alkaraan, F.; Albitar, K.; Hussainey, K.; Venkatesh, V.G. Corporate transformation toward Industry 4.0 and financial performance: The influence of environmental, social, and governance (ESG). Technol. Forecast. Soc. Chang. 2022, 175, 121423. [Google Scholar] [CrossRef]
- Svahn, F.; Mathiassen, L.; Lindgren, R. Embracing digital innovation in incumbent firms. MIS Q. 2017, 41, 239–254. [Google Scholar] [CrossRef]
- Chu, Y.; Chi, M.; Wang, W.; Luo, B. The impact of information technology capabilities of manufacturing enterprises on innovation performance: Evidences from SEM and fsQCA. Sustainability 2019, 11, 5946. [Google Scholar] [CrossRef]
- Mauerhoefer, T.; Strese, S.; Brettel, M. The impact of information technology on new product development performance. J. Prod. Innov. Manag. 2017, 34, 719–738. [Google Scholar] [CrossRef]
- Liu, J.; Yang, Y. Improving high-tech enterprises’ new product development performance through digital transformation: A configurational analysis based on fuzzy-set qualitative comparative analysis (fsQCA). Manag. Decis. Econ. 2023, 44, 3878–3892. [Google Scholar] [CrossRef]
- Ferreira, J.J.; Fernandes, C.I.; Ferreira, F.A. To be or not to be digital, that is the question: Firm innovation and performance. J. Bus. Res. 2019, 101, 583–590. [Google Scholar] [CrossRef]
- Agarwal, R.; Chandrasekaran, S.; Sridhar, M. Imagining Construction’s Digital Future; McKinsey & Company: Chicago, IL, USA, 2016; p. 24. [Google Scholar]
- Warner, K.S.; Wäger, M. Building dynamic capabilities for digital transformation: An ongoing process of strategic renewal. Long Range Plan. 2019, 52, 326–349. [Google Scholar] [CrossRef]
- Ilvonen, I.; Thalmann, S.; Manhart, M.; Sillaber, C. Reconciling digital transformation and knowledge protection: A research agenda. Knowl. Manag. Res. Pract. 2018, 16, 235–244. [Google Scholar] [CrossRef]
- Vial, G. Understanding digital transformation: A review and a research agenda. J. Strateg. Inf. Syst. 2019, 28, 118–144. [Google Scholar] [CrossRef]
- Gong, C.; Ribiere, V. Developing a unified definition of digital transformation. Technovation 2021, 102, 102217. [Google Scholar] [CrossRef]
- Isaev, E.A.; Korovkina, N.L.; Tabakova, M.S. Evaluation of the readiness of a company’s IT department for digital business transformation. Bus. Inform. 2018, 2, 55–64. [Google Scholar] [CrossRef]
- Chanias, S.; Hess, T. How digital are we? Maturity models for the assessment of a company’s status in the digital transformation. Manag. Rep./Inst. Wirtsch. Neue Medien. 2016, 2, 1–14. [Google Scholar]
- Westerman, G.; Tannou, M.; Bonnet, D.; Ferraris, P.; McAfee, A. The Digital Advantage: How Digital Leaders Outperform Their Peers in Every Industry; MITSloan Management and Capgemini Consulting: Cambridge, MA, USA, 2012; Volume 2, pp. 2–23. [Google Scholar]
- Colli, M.; Berger, U.; Bockholt, M.; Madsen, O.; Møller, C.; Wæhrens, B.V. A maturity assessment approach for conceiving context-specific roadmaps in the Industry 4.0 era. Annu. Rev. Control 2019, 48, 165–177. [Google Scholar] [CrossRef]
- Zouari, D.; Ruel, S.; Viale, L. Does digitalising the supply chain contribute to its resilience? Int. J. Phys. Distrib. Logist. Manag. 2020, 51, 149–180. [Google Scholar] [CrossRef]
- Benner, M.J.; Tushman, M.L. Exploitation, exploration, and process management: The productivity dilemma revisited. Acad. Manag. Rev. 2003, 28, 238–256. [Google Scholar] [CrossRef]
- Zhang, J.; Long, J.; von Schaewen, A.M.E. How does digital transformation improve organizational resilience?—Findings from PLS-SEM and fsQCA. Sustainability 2021, 13, 11487. [Google Scholar] [CrossRef]
- Limaj, E.; Bernroider, E.W. The roles of absorptive capacity and cultural balance for exploratory and exploitative innovation in SMEs. J. Bus. Res. 2019, 94, 137–153. [Google Scholar] [CrossRef]
- Choi, T.; Chandler, S.M. Exploration, exploitation, and public sector innovation: An organizational learning perspective for the public sector. Hum. Serv. Organ. Manag. Leadersh. Gov. 2015, 39, 139–151. [Google Scholar] [CrossRef]
- Yang, T.; Cui, Y.; Li, R. Exploitation or Exploration? Managerial Myopia, Economic Policy Uncertainty and Ambidextrous Innovation Investment. Sustainability 2023, 15, 7173. [Google Scholar] [CrossRef]
- Li, R.; Peng, C.; Koo, B.; Zhang, G.; Yang, H. Obtaining sustainable competitive advantage through collaborative dual innovation: Empirical analysis based on mature enterprises in eastern China. Technol. Anal. Strateg. Manag. 2021, 33, 685–699. [Google Scholar] [CrossRef]
- He, Z.L.; Wong, P.K. Exploration vs. exploitation: An empirical test of the ambidexterity hypothesis. Organ. Sci. 2004, 15, 481–494. [Google Scholar] [CrossRef]
- Yang, Z.; Zhou, X.; Zhang, P. Discipline versus passion: Collectivism, centralization, and ambidextrous innovation. Asia Pac. J. Manag. 2015, 32, 745–769. [Google Scholar] [CrossRef]
- Jansen, J.J.P.; Kostopoulos, K.C.; Mihalache, O.R.; Papalexandris, A. A socio-psychological perspective on team ambidexterity: The contingency role of supportive leadership behaviours. J. Manag. Stud. 2016, 53, 939–965. [Google Scholar] [CrossRef]
- Li, C.R.; Liu, Y.Y.; Lin, C.J.; Ma, H.J. Top management team diversity, ambidextrous innovation and the mediating effect of top team decision-making processes. Ind. Innov. 2016, 23, 260–275. [Google Scholar] [CrossRef]
- Cao, Q.; Gedajlovic, E.; Zhang, H. Unpacking organizational ambidexterity: Dimensions, contingencies, and synergistic effects. Organ. Sci. 2009, 20, 781–796. [Google Scholar] [CrossRef]
- Zhang, Z.; Wang, X.; Chun, D. The effect of knowledge sharing on ambidextrous innovation: Triadic intellectual capital as a mediator. J. Open Innov. Technol. Mark. Complex. 2022, 8, 25. [Google Scholar] [CrossRef]
- Betz, F. Managing Technology: Competing through New Ventures, Innovation, and Corporate Research; Prentice-Hall: Englewood Cliffs, NJ, USA, 1987. [Google Scholar]
- Menor, L.J.; Roth, A.V. New service development competence and performance: An empirical investigation in retail banking. Prod. Oper. Manag. 2008, 17, 267–284. [Google Scholar] [CrossRef]
- Gustafsson, A.; Snyder, H.; Witell, L. Service innovation: A new conceptualization and path forward. J. Serv. Res. 2020, 23, 111–115. [Google Scholar] [CrossRef]
- Den Hertog, P.; Van der Aa, W.; De Jong, M.W. Capabilities for managing service innovation: Towards a conceptual framework. J. Serv. Manag. 2010, 21, 490–514. [Google Scholar] [CrossRef]
- Mennens, K.; Van Gils, A.; Odekerken-Schröder, G.; Letterie, W. Exploring antecedents of service innovation performance in manufacturing SMEs. Int. Small Bus. J. 2018, 36, 500–520. [Google Scholar] [CrossRef]
- Sun, M.; Zhao, X. Influence of Organizational Ambidextrous Culture in Manufacturing Enterprises on Service Innovation Performance. Sustainability 2023, 15, 14969. [Google Scholar] [CrossRef]
- Avlonitis, G.J.; Papastathopoulou, P.G.; Gounaris, S.P. An empirically-based typology of product innovativeness for new financial services: Success and failure scenarios. J. Prod. Innov. Manag. Int. Publ. Prod. Dev. Manag. Assoc. 2001, 18, 324–342. [Google Scholar] [CrossRef]
- Storey, C.; Kelly, D. Measuring the performance of new service development activities. Serv. Ind. J. 2001, 21, 71–90. [Google Scholar] [CrossRef]
- Hsueh, J.T.; Lin, N.P.; Li, H.C. The effects of network embeddedness on service innovation performance. Serv. Ind. J. 2010, 30, 1723–1736. [Google Scholar] [CrossRef]
- Barney, J. Firm Resources and Sustained Competitive Advantage. J. Manag. 1991, 17, 99–120. [Google Scholar] [CrossRef]
- Li, M.; Jia, S. Resource orchestration for innovation: The dual role of information technology. Technol. Anal. Strateg. Manag. 2018, 30, 1136–1147. [Google Scholar] [CrossRef]
- Abou-Foul, M.; Ruiz-Alba, J.L.; Soares, A. The impact of digitalization and servitization on the financial performance of a firm: An empirical analysis. Prod. Plan. Control 2021, 32, 975–989. [Google Scholar] [CrossRef]
- Haug, A.; Adsbøll Wickstrøm, K.; Stentoft, J.; Philipsen, K. The impact of information technology on product innovation in SMEs: The role of technological orientation. J. Small Bus. Manag. 2023, 61, 384–410. [Google Scholar] [CrossRef]
- Yang, M.; Wang, J.; Zhang, X. Boundary-spanning search and sustainable competitive advantage: The mediating roles of exploratory and exploitative innovations. J. Bus. Res. 2021, 127, 290–299. [Google Scholar] [CrossRef]
- Rialti, R.; Marzi, G.; Silic, M.; Ciappei, C. Ambidextrous organization and agility in big data era: The role of business process management systems. Bus. Process Manag. J. 2018, 24, 1091–1109. [Google Scholar] [CrossRef]
- Scuotto, V.; Arrigo, E.; Candelo, E.; Nicotra, M. Ambidextrous innovation orientation effected by the digital transformation: A quantitative research on fashion SMEs. Bus. Process Manag. J. 2020, 26, 1121–1140. [Google Scholar] [CrossRef]
- Wang, J.J.; Shi, W.; Lin, Y.; Yang, X. Relational ties, innovation, and performance: A tale of two pathways. Ind. Mark. Manag. 2020, 89, 28–39. [Google Scholar] [CrossRef]
- Wang, Y.; Sun, H.; Jia, T.; Chen, J. The impact of buyer-supplier interaction on ambidextrous innovation and business performance: The moderating role of competitive environment. Int. J. Logist. Manag. 2021, 32, 673–695. [Google Scholar] [CrossRef]
- Osiyevskyy, O.; Shirokova, G.; Ritala, P. Exploration and exploitation in crisis environment: Implications for level and variability of firm performance. J. Bus. Res. 2020, 114, 227–239. [Google Scholar] [CrossRef] [PubMed]
- Su, X.; Zeng, W.; Zheng, M.; Jiang, X.; Lin, W.; Xu, A. Big data analytics capabilities and organizational performance: The mediating effect of dual innovations. Eur. J. Innov. Manag. 2022, 25, 1142–1160. [Google Scholar] [CrossRef]
- Jansen, J.J.; Van Den Bosch, F.A.; Volberda, H.W. Exploratory innovation, exploitative innovation, and performance: Effects of organizational antecedents and environmental moderators. Manag. Sci. 2006, 52, 1661–1674. [Google Scholar] [CrossRef]
- Duodu, B.; Rowlinson, S. Intellectual capital for exploratory and exploitative innovation: Exploring linear and quadratic effects in construction contractor firms. J. Intellect. Cap. 2019, 20, 382–405. [Google Scholar] [CrossRef]
- Hilman, H.; Kaliappen, N. Innovation strategies and performance: Are they truly linked? World J. Entrep. Manag. Sustain. Dev. 2015, 11, 48–63. [Google Scholar] [CrossRef]
- Deng, L.; Yang, M.; Marcoulides, K.M. Structural equation modeling with many variables: A systematic review of issues and developments. Front. Psychol. 2018, 9, 580. [Google Scholar] [CrossRef] [PubMed]
- Bagozzi, R.P.; Yi, Y. On the evaluation of structural equation models. J. Acad. Mark. Sci. 1988, 16, 74–94. [Google Scholar] [CrossRef]
- Bagozzi, R.P.; Fornell, C.; Larcker, D.F. Canonical correlation analysis as a special case of a structural relations model. Multivar. Behav. Res. 1981, 16, 437–454. [Google Scholar] [CrossRef]
- Kline, B.R. Software programs for structural equation modeling: Amos, EQS, and LISREL. J. Psychoeduc. Assess. 1998, 16, 343–364. [Google Scholar] [CrossRef]
- Brown, J.D. Likert items and scales of measurement. Statistics 2011, 15, 10–14. [Google Scholar]
- Hair, J.F.; Sarstedt, M.; Ringle, C.M.; Gudergan, S.P. Advanced Issues in Partial Least Squares Structural Equation Modeling; Sage Publications: Thousand Oaks, CA, USA, 2018. [Google Scholar]
- Mia, M.M.; Majri, Y.; Rahman, I.K.A. Covariance based-structural equation modeling (CB-SEM) using AMOS in management research. J. Bus. Manag. 2019, 21, 56–61. [Google Scholar]
- Sidhu, A.; Bhalla, P.; Zafar, S. Mediating effect and review of its statistical measures. Empir. Econ. Lett. 2021, 20, 29–40. [Google Scholar]


| Constructs | Items |
|---|---|
| DIT | Group 1: Digital Management |
| DM-1 The leadership of the enterprise places significant emphasis on DIT | |
| DM-2 Enterprise has clear DIT strategy plans and understands its implementation steps and paths | |
| DM-3 Enterprise has invested a large amount of funds in digital construction | |
| Group 2: Digital Technology | |
| DT-1 Enterprise is able to independently build or introduce an online digital platform that can monitor project implementation in real time, thereby achieving visual management of projects | |
| DT-2 Enterprise is able to apply highly automated construction equipment and building robots in construction projects, thereby achieving effective human–machine cooperation | |
| DT-3 Enterprise can utilize digital technology to provide new solutions for construction projects to meet the needs of customers | |
| Group 3: Digital Competences | |
| DC-1 Enterprise can use digital platforms to coordinate information on personnel assessment, material allocation, safety management, and other aspects, thereby optimizing resource allocation, managing construction sites effectively, and minimizing resource waste | |
| DC-2 Enterprise can leverage online digital platforms to achieve internal information sharing and enhance internal cooperation capabilities | |
| DC-3 Enterprise provides regular training for its employees to cultivate their digital thinking, overall planning ability, and operational skills of digital platforms | |
| DI | Group 4: Exploratory Innovation |
| ERI-1 Enterprise regularly carries out comprehensive innovations in the production methods of construction projects or services | |
| ERI-2 Enterprise is brave enough to increase the variety of new construction projects or services | |
| ERI-3 Enterprise will attempt to grow into hitherto untouched market areas | |
| Group 5: Exploitative Innovation | |
| EII-1 Enterprise strives to improve the quality of existing construction projects or services | |
| EII-2 Enterprise endeavors to improve the adaptability of existing construction projects or services | |
| EII-3 Enterprise is committed to both consolidating and expanding its existing market size | |
| SIP | Group 6: Financial Performance |
| FP-1 Enterprise reduces project costs by developing new services or improving existing services | |
| FP-2 Enterprise brings profits to projects by developing new services or improving existing services | |
| FP-3 Enterprise increases investment return of projects by developing new services or improving existing services | |
| Group 7: Customer Performance | |
| CP-1 Enterprise boosts its market share by developing new services or improving existing services | |
| CP-2 Enterprise enhances owner satisfaction by developing new services or improving existing services | |
| CP-3 Enterprise establishes a good market image by developing new services or improving existing services | |
| Group 8: Internal Performance | |
| IP-1 Enterprise improves its operation efficiency by developing new services or improving existing services | |
| IP-2 Enterprise optimizes its internal workflows by developing new services or improving existing services | |
| IP-3 The enterprise enhances its overall development potential by developing new services or improving existing services |
| Parameter | Category | Total | Frequency (%) |
|---|---|---|---|
| Years of establishment | 5 years and below | 63 | 21.65 |
| 6–10 years | 41 | 14.09 | |
| 11–15 years | 40 | 13.74 | |
| 16 years and above | 147 | 50.52 | |
| Employee size | Fewer than 100 people | 21 | 7.22 |
| 100–1000 people | 141 | 48.45 | |
| 1001–2000 people | 40 | 13.75 | |
| 2001–3000 people | 6 | 2.06 | |
| More than 3000 people | 83 | 28.52 | |
| Status of ownership | State-owned enterprises | 231 | 79.38 |
| Private enterprises | 51 | 17.53 | |
| Other | 9 | 3.09 |
| Variable | Items | Factor Loading | AVE | CR | Cronbach’s α |
|---|---|---|---|---|---|
| Digital Management | DM-1 | 0.800 | 0.589 | 0.811 | 0.808 |
| DM-2 | 0.747 | ||||
| DM-3 | 0.755 | ||||
| Digital Technology | DT-1 | 0.755 | 0.577 | 0.804 | 0.802 |
| DT-2 | 0.747 | ||||
| DT-3 | 0.777 | ||||
| Digital Competences | DC-1 | 0.793 | 0.578 | 0.804 | 0.802 |
| DC-2 | 0.723 | ||||
| DC-3 | 0.764 | ||||
| Exploratory Innovation | ERI-1 | 0.737 | 0.667 | 0.857 | 0.854 |
| ERI-2 | 0.854 | ||||
| ERI-3 | 0.853 | ||||
| Exploitative Innovation | EII-1 | 0.873 | 0.631 | 0.836 | 0.826 |
| EII-2 | 0.801 | ||||
| EII-3 | 0.700 | ||||
| Financial Performance | FP-1 | 0.809 | 0.727 | 0.888 | 0.884 |
| FP-2 | 0.928 | ||||
| FP-3 | 0.816 | ||||
| Customer Performance | CP-1 | 0.792 | 0.648 | 0.847 | 0.842 |
| CP-2 | 0.829 | ||||
| CP-3 | 0.794 | ||||
| Internal Performance | IP-1 | 0.825 | 0.618 | 0.829 | 0.827 |
| IP-2 | 0.750 | ||||
| IP-3 | 0.781 |
| Variable | Mean | SD | DIT | ERI | EII | SIP |
|---|---|---|---|---|---|---|
| DIT | 4.156 | 0.530 | 0.754 | |||
| ERI | 4.140 | 0.719 | 0.321 ** | 0.817 | ||
| EII | 4.179 | 0.639 | 0.238 ** | 0.272 ** | 0.794 | |
| SIP | 4.208 | 0.579 | 0.356 ** | 0.434 ** | 0.390 ** | 0.719 |
| Hypothesis | Path | Estimate | S.E. | C.R. | p | Result |
|---|---|---|---|---|---|---|
| H1 | DIT → SIP | 0.257 | 0.109 | 2.689 | ** | Pass |
| H2a | DIT → ERI | 0.438 | 0.135 | 5.115 | *** | Pass |
| H2b | DIT → EII | 0.370 | 0.122 | 4.559 | *** | Pass |
| H3a | ERI → SIP | 0.340 | 0.060 | 4.082 | *** | Pass |
| H3b | EII → SIP | 0.307 | 0.059 | 3.925 | *** | Pass |
| Hypothesis | Path | Effect Value | Bias-Corrected 95% CI | |
|---|---|---|---|---|
| Lower | Upper | |||
| H1 | DIT → SIP | 0.257 | 0.073 | 0.489 |
| H4a | DIT → ERI → SIP | 0.149 | 0.055 | 0.276 |
| H4b | DIT → EII → SIP | 0.114 | 0.031 | 0.217 |
Disclaimer/Publisher’s Note: The statements, opinions and data contained in all publications are solely those of the individual author(s) and contributor(s) and not of MDPI and/or the editor(s). MDPI and/or the editor(s) disclaim responsibility for any injury to people or property resulting from any ideas, methods, instructions or products referred to in the content. |
© 2024 by the authors. Licensee MDPI, Basel, Switzerland. This article is an open access article distributed under the terms and conditions of the Creative Commons Attribution (CC BY) license (https://creativecommons.org/licenses/by/4.0/).
Share and Cite
Zhang, B.; Mei, Y.; Xiong, Y.; Liu, Y. Can Digital Transformation Promote Service Innovation Performance of Construction Enterprises? The Mediating Role of Dual Innovation. Sustainability 2024, 16, 1176. https://doi.org/10.3390/su16031176
Zhang B, Mei Y, Xiong Y, Liu Y. Can Digital Transformation Promote Service Innovation Performance of Construction Enterprises? The Mediating Role of Dual Innovation. Sustainability. 2024; 16(3):1176. https://doi.org/10.3390/su16031176
Chicago/Turabian StyleZhang, Beibei, Yang Mei, Yuxin Xiong, and Yan Liu. 2024. "Can Digital Transformation Promote Service Innovation Performance of Construction Enterprises? The Mediating Role of Dual Innovation" Sustainability 16, no. 3: 1176. https://doi.org/10.3390/su16031176
APA StyleZhang, B., Mei, Y., Xiong, Y., & Liu, Y. (2024). Can Digital Transformation Promote Service Innovation Performance of Construction Enterprises? The Mediating Role of Dual Innovation. Sustainability, 16(3), 1176. https://doi.org/10.3390/su16031176
