3.2. Range Analysis
The range analysis method (R method), also known as intuitive analysis, is commonly used in the analysis of orthogonal tests, and the content of the method is shown in
Figure 4.
represents the experimental data metrics corresponding to the level, m, of the element in column j, and is the mean value of . The level of excellence of factor j can be determined by the magnitude of , and the optimal combination of the experiment as a whole is determined based on the optimal level among the factors.
represents the extreme deviation of the element in column
j. The formula is shown in (2).
In this paper, the R method is used to analyze the softening point, elongation, needle penetration, 135 °C rotational viscosity, and storage stability in the conventional physical experimental data in the orthogonal experimental table to study the primary and secondary orders of the influences of four factors, namely, furfural extract oil, DCP, sulfur, and KH-550 (denoted as A, B, C, and D), on the performance of modified composite asphalt and to determine the optimal level and ratio. The range analysis is shown in
Table 7,
Table 8,
Table 9,
Table 10 and
Table 11.
An analysis of the data showed that the effects of the four additives on the softening point at 135 °C, penetration, and rotational viscosity of DR/EVACMA were in the order of A > C> B > D; the effects of elongation were in the order of A > C> D > B; and the effects of storage stability were in the order of A > B > C > D. The R value of the furfural extract oil, which was affected by A, was at least twice as much as that of the other three additives. This indicates that furfural extract is the most important factor affecting the physical properties of DR/EVACMA among the four additives.
Studies have shown that when there are not enough light components in the asphalt to completely dissolve the modifier, the force between the two is weakened. FEO, as an additive to asphalt, contains a large number of aromatic hydrocarbons that are structurally similar to asphalt and are not reactive with each other. Adding modifiers to asphalt can supplement the light component, which is the colloid to restore the equilibrium state. Avoiding modifier agglomeration and asphalt hardening leads to performance degradation and a viscosity increase [
22].
Studies have shown that both sulfur and peroxide (DCP) can effectively co-crosslink rubber and polymers [
23,
24]. Sulfur is mainly formed through crosslinking reactions between chain segments and chemical reactions with rubber macromolecules located in the dominant position of the compound to form single or multiple sulfur bonds. On the other hand, DCPs are formed mainly through reactions between free radicals and double bonds, substituting one hydrogen atom in the upper layer to form chain segment free radicals that can react with each other [
25]. This crosslinking of different reaction sites results in the formation of an interlocking network structure, which improves the physical properties of modified bitumen [
26]. The crosslinking process of EVA is dominated by DCP, and sulfur is not directly involved in the vulcanization of EVA [
26,
27]. The tertiary carbon attached to the acetate group of EVA is preferentially captured by free radicals generated by the thermal decomposition of DCP, and then macromolecular free radicals are formed, which polymerize with the polymer chains and form a crosslinked network structure between the chains [
28]. As shown in
Figure 3, the contents of sulfur and DCP in DR/EVACMA are positively correlated with the high-temperature performance when the FEO content is certain, which may be related to the degree of crosslinking of DR/EVACMA by both sulfur and DCP. The formation of crosslinked networks results in a more compact molecular structure, which increases the intermolecular forces and reduces the fluidity of the asphalt, which, in turn, enhances the resistance to deformation. A proper crosslinking structure also improves the storage stability of the material [
29,
30,
31]. Studies have shown that appropriate crosslinking can improve the mechanical properties of EVA, but when the degree of crosslinking is too large, the polymer molecular chain breaks, and the strength decreases [
21].
KH-550, the ethoxy functional group, reacts with the surface-active groups of carbon black in rubber powder to form chemical bonds, which effectively improves the dispersion stability of carbon black in the asphalt matrix and its adhesion with rubber. At the same time, the formation of hydrogen bonds with the hydroxyl groups in the asphalt enhances the interfacial force between the rubber and the asphalt and improves the compatibility between the two [
32,
33]. Some studies have shown that silane coupling agents have a certain number of polar groups in addition to -Si-O- groups, which can enhance the polarity of EVA through chemical reactions, thereby increasing the bonding force of EVA to asphalt. However, it is worth noting that Wu et al. believe that silane coupling agents, such as KH-550 and KH-560, have strong reactivity with DCP [
21], and they also consider that there is a competitive relationship between the coupling reaction and crosslinking reaction of the materials in asphalt, though the strength of the reaction is not yet clear. To avoid the above problems, this study adopts the method of adding KH-550 and DCP separately.
Based on the scope analysis, the roles of the four additives were synthesized. It is considered that the silane coupling agent plays more of an auxiliary role. FEO dissolves the modifier completely in asphalt, which is conducive to improving the compatibility; KH-550 binds the surface of the modifier with asphalt, and secondly, crosslinking occurs in the modifier that is uniformly dispersed in the asphalt by sulfur and DCP to form a perfect three-dimensional network structure. Combined with the physical property graph and polarity analysis, the optimal ratio of DR/EVACMA additives in this study is the fourth orthogonal test: 3% FEO, 0.15% DCP, 0.16% sulfur, and 0.25% KH-550.
3.3. Temperature Sweep
The asphalt rutting coefficient (G*/sinδ) is used in the SHRP specification to describe the rutting resistance of asphalt binders. In
Figure 5a, the G* of the modified asphalt is much larger than that of the base asphalt, which indicates that the composite-modified asphalt with the addition of gum powder and EVA has an improved rigidity, resulting in better rutting resistance [
7]. Meanwhile, the G* gradually decreases with an increasing temperature, indicating that the bearing capacity of asphalt is negatively correlated with temperature. However, it is worth noting that there are differences in the size of the G* of asphalt, which, intuitively, may be directly related to the content of FEO, with a higher G* for asphalt Samples 1, 2, and 3, which have the smallest amounts of FEO. One explanation is that FEO maintains the colloidal equilibrium of the asphalt, allowing the modifier to dissolve effectively and completely in the asphalt, but the significantly lower G* values for asphalt Samples 7, 8, and 9 are thought to be due to the excessive softening of the FEO, which leads to the softening of the asphalt and a large reduction in the resistance to load deformation.
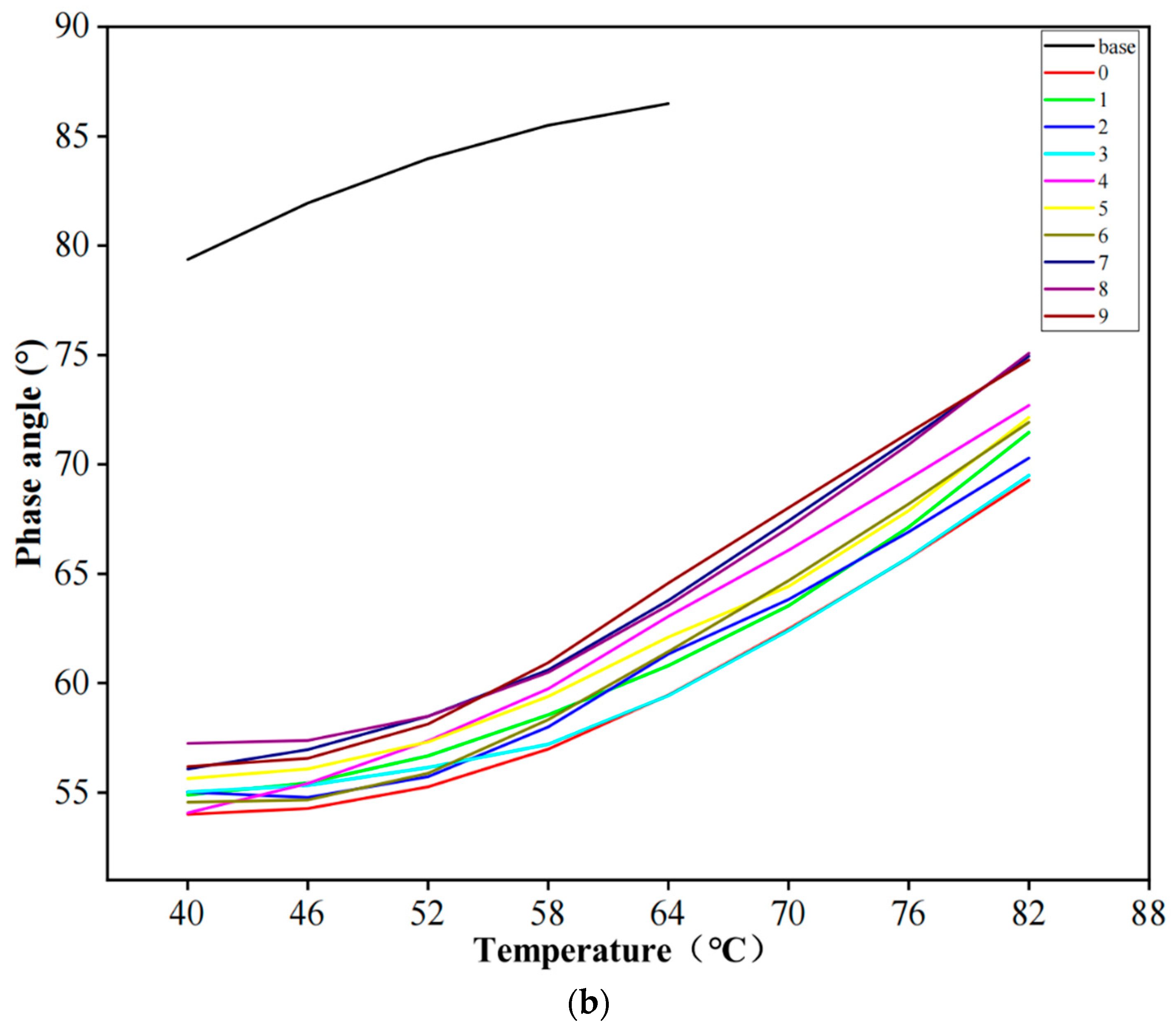
The phase angle (δ) is the coefficient of proportionality between the viscous and elastic components of an asphalt material and decreases with an increasing temperature. The matrix asphalt itself is a viscoelastic material, and in
Figure 5b, with the addition of DRP and EVA, the phase angle of asphalt decreases dramatically, which originates from the elastic effect brought by the modifiers to the asphalt. After the addition of additives, the phase angle has a small tendency to increase, considering that FEO is a viscous component, but FEO also promotes the modifier to dissolve in the asphalt, so that DCP and sulfur can effectively crosslink, forming a crosslinked network structure, and at the same time, KH-550 also ensures that there is effective dispersion of the modifier and the bonding between the modifier and the asphalt. However, when the temperature increases, the phase angle of DR/EVACMA with 3.4% FEO has the largest slope change, and it cannot maintain good elastic recovery ability, which may be due to the addition of too much FEO, leading to the over-saturation of colloidal equilibrium within the asphalt, and the viscous component is too much.
According to the SHRP specification, the G*/sinδ is derived from the G*, which represents the rutting resistance coefficient of asphalt binder. In
Figure 6, the magnitude of the G*/sinδ for different binders is in the following order: matrix-modified asphalt (0) > orthogonal test group (1–9) > matrix asphalt. When the amount of composite modifier incorporated is too large, the light component content of asphalt is not enough to dissolve completely, the asphalt macromolecule content increases, and the viscosity increases. The addition of FEO will bring its colloid into equilibrium and produce a softening effect, which will reduce the rutting resistance of unfilled asphalt. However, it is worth noting that sulfur and diisopropylbenzene peroxide improve the rutting resistance of asphalt by inducing crosslinking reactions in the asphalt. Therefore, the combined effect of these two actions needs to be analyzed experimentally. It is worth noting that the higher the FEO dosage, the smaller the G*/sinδ, and this type of binder is more prone to rutting at high temperatures. At the same FEO level, the sulfur content is proportional to the G*/sinδ, which indicates that sulfur has a positive effect on the high temperature performance of rubber asphalt. With the increase in FEO, the difference in the G*/sinδ of the binder in the same group becomes larger, which may be due to the fact that the softening effect of FEO on the binder is larger than the crosslinking effect. Therefore, it is very important to choose the appropriate filler ratio to obtain asphalt with excellent rutting resistance.
3.4. Results of LAS Experimental Tests
Based on the continuous viscoelastic damage model (VECD),
Figure 7 shows the fatigue life of different bitumen at strain levels of 2.5% and 5%. In general, the fatigue life decreases with increasing strain levels. It is noteworthy that the additive-free asphalt (0) has the smallest fatigue life, which may be attributed to the fact that EVA and DRP do not form a proper crosslinked network structure in the bitumen, resulting in insufficient stiffness and ductility and weak resistance to fatigue damage [
17]. By adding FEO to asphalt and changing the ratio of the four components, the rubber powder and EVA in the asphalt completely absorbed, dissolved, and dispersed uniformly, avoiding the phenomenon of lumps and agglomerates. This effect also promotes DCP and sulfur in the asphalt in line with the modifier to ensure a good crosslinking effect, involving the formation of a crosslinked mesh structure, thus improving the fatigue resistance. A silane coupling agent, KH-550, increases the degree of adhesion between the modifier and asphalt through coupling and also improves the fatigue resistance of asphalt to a certain extent. Interestingly, the fatigue performance of FEO-enhanced binders is not absolute, as can be clearly seen in
Figure 7, where the fatigue life of asphalt modified with 3.4% FEO is less than about half of the fatigue life of asphalt modified with 2.6% FEO. In conclusion, FEO is mainly an aromatic component in MA, and its excessive content will cause the excessive softening of asphalt, reducing the deformation resistance and negatively affecting the fatigue performance.
3.5. Results of Multi-Stress Creep Recovery Tests
In order to better evaluate the high-temperature performance of DR/EVACMA under traffic loading conditions, the unrecoverable creep elasticity (Jnr) and creep recovery (R) at creep stress levels of 0.1 kPa and 3.2 kPa were measured using MSCR simulation experiments as an evaluation index.
Figure 8a,b show that the J
nr0.1 value of the modified bitumen is about 40/1 times that of the matrix bitumen, and the J
nr3.2 value is about 10 times that of the matrix bitumen compared to the matrix bitumen. In a further step, the J
nr0.1, J
nr3.2, R
0.1, and R
3.2 values of the orthogonal test group were also reduced and increased to different degrees compared to the additive-free asphalt (0). It is shown that the conformed modified asphalt after filler has more significant high-temperature characteristics and elastic behavior.
Research has shown that using carbon black in rubber has a positive effect on the aging performance of asphalt under thermal and photo-oxidizing conditions, which improves asphalt’s high-temperature deformation resistance and elastic recovery [
34]. When rubber is incorporated into asphalt, carbon black is released and free from asphalt, and KH-550 connects it to asphalt in the form of a “bridge” to increase adhesion and dispersion and prevent buildup. As the stress level increases, the R of the modified asphalt decreases and the J
nr increases, indicating that the internal structure of the asphalt is damaged to a certain extent under high stress. Unlike the no-filler group (0), J
nr and R are better in the orthotropic group. However, there is a difference in the variation of Jnr and R of asphalt. A certain pattern can also be seen in
Figure 8a,b, where the difference in the variation of J
nr and R of asphalt is the largest when the DCP content is 0.35% (the value of Sample 3 does not fluctuate significantly). Combined with the storage stability charts of conventional physical properties, it can be seen that the most severe segregation occurs in Samples 3, 6, and 9. When the contents of sulfur and the lightweight component reach certain amounts, the high DCP content leads to the crosslinking of the EVA network, the structure is more compact, the original crosslinking moderate and flexible polymer chain are elongated, the EVA molecular structure is destroyed, and the molecular chain has different degrees of fracture and cannot effectively provide better elasticity and recovery performance; at the same time, due to the DCP crosslinking of the C-C bond, the sulfur crosslinking of the flexible system produced by the C-S and S-S bond is shorter and more rigid. Therefore, proper DCP and sulfur crosslinking can provide good deformation resistance and elastic recovery for modified bitumen [
26].
It is worth noting that the Jnr and R of the composite-modified asphalt with different additive ratios may also be related to the amount of FEO added, and in the figure, there is a tendency for Jnr to increase and for R to decrease as the amount of added FEO increases. This is because the higher the content of lightweight components in asphalt, the more obvious the lubrication between rubber molecules. Under the action of external forces, it may cause greater plastic deformation, reduce the deformation resistance, and reduce the elastic recovery.
3.6. Results of FTIR Spectroscopy Tests
Figure 9 shows the infrared spectra of three different asphalts (matrix asphalt, additive-free asphalt (0), and DR/EVACMA (4)) in the wavelength range of 400 cm
−1 to 4000 cm
−1.
Firstly, the two typical peaks at 2850 cm
−1 and 2920 cm
−1 are caused by saturated hydrocarbon (C-H) and its derivative vibrations of bitumen. In contrast to the matrix asphalt, the infrared wave peaks at 1250 cm
−1 and 1730 cm
−1 for both modified asphalts, caused by C-H and C=O vibrations, respectively, proved that EVA chemically reacted when blended with asphalt [
7]. Meanwhile, the IR peaks at 1591 cm
−1 and 1450 cm
−1 were similar for the three binders, indicating that the desulfurized rubber powder was mainly physically dissolved with asphalt. However, some studies have shown some chemical reactions between the rubber powder and asphalt at 1030 cm
−1, as the strength of the sulfoxide group (S=O) increases with the increase in rubber powder, which is manifested as a decrease in transmittance, which is reflected in the figure [
35]. Most notably, there is a difference in the wave peaks at 720 cm
−1 between the three binders, which is due to C-S bond oscillations. It can be concluded from the study that the addition of modifiers increases the relative concentration of C-S in the binder, and with the addition of sulfur, monosulfur or polysulfur bonds are formed, which confirms the participation of sulfur in the chemical reaction of asphalt [
36]. It is interesting to note that the IR light absorption of the hydroxyl group (-OH) at 3350 cm
−1 is significantly lower than that of the unfilled binder, which may be attributed to the chemical reaction between the added silane coupling agent KH-550 and the hydroxyl group (-OH) in DR/EVACMA [
37]. Meanwhile, FEO does not react chemically with bitumen because of its similar composition. The positions of the major groups in the FTIR spectrum are shown in
Table 12.