Next Article in Journal
Ecological Zoning Study on the Coupling of Land Use Intensity and Landscape Ecological Risk in Western Jilin: A Production–Living–Ecological Space Perspective
Previous Article in Journal
The Management of Harmful Emissions from Heavy-Duty Transport Towards Sustainable Development
Previous Article in Special Issue
Cycling into Sustainability: Lessons from the Netherlands for Slovenia’s E-Bike Adoption
 
 
Font Type:
Arial Georgia Verdana
Font Size:
Aa Aa Aa
Line Spacing:
Column Width:
Background:
Article

Inclusive and Sustainable Supply Chain Strategies in Live E-Commerce: The Role of Influencer Marketing and Spillover Effects

School of Management Science and Engineering, Nanjing University of Information Science & Technology, Nanjing 210044, China
*
Author to whom correspondence should be addressed.
Sustainability 2024, 16(24), 10985; https://doi.org/10.3390/su162410985
Submission received: 10 October 2024 / Revised: 12 December 2024 / Accepted: 12 December 2024 / Published: 14 December 2024
(This article belongs to the Special Issue Inclusive and Sustainable Marketing and Business Performance)

Abstract

Live e-commerce has proliferated as a new business model in recent years. Live-streaming channel selection strategies and behavioral decisions are critical considerations for retailers to enhance business performance by increasing engagement and profitability. This study introduces the spillover effect between influencer and self-live-streaming channels, offering new theoretical insights into sustainable supply chain management from multichannel retailing, game theory, and spillover effects for channel selection and pricing, optimizing dual-channel tactics for inclusive marketing, and challenging pricing and channel effectiveness beliefs. Hence, inclusive and sustainable business practices in live e-commerce have been examined, focusing on dual-digital-channel strategies involving influencer marketing and self-live-streaming. This paper investigates three digital supply chain structures for sustainability, which are based on influencer characteristics: the single digital channel ( S ) , the dual-digital-channel structure without spillover effect ( D N ), and the dual-digital-channel structure with spillover effect ( D S ). This study employs Stackelberg game models to analyze behavioral, pricing, and channel preferences, and it also extends the model to offline channels. This study finds that (a) influencer effort affects influencer live-streaming pricing, which may not always be cheaper than self-streaming digital channels; (b) commission rates significantly impact influencer pricing strategies, leading retailers to use skimming and penetration pricing strategies when commission rates are low and high; and (c) retailers may develop influencer live-streaming channels if the cross-price coefficient is medium and low but prefer it when the coefficient and spillover impact are large. By analyzing how these digital channels contribute to societal sustainability through reduced environmental impact and enhanced social inclusion, this research highlights key marketing decisions that optimize business performance and social responsibility in the digital economy. It offers live e-commerce managers strategic channel selection, pricing, and sustainability advice and recommendations for future empirical validation to enhance practical applicability.

1. Introduction

Live-streaming e-commerce pressures firms to embrace sustainable and inclusive supply chain practices. Multichannel commerce, influencer marketing, and spillover effects theories inform digital supply chain decision-making. The dual-channel approach allows researchers to study how commission rates and spillover effects affect pricing strategies and behavioral decisions in influencer and self-live-streaming channels. Live e-commerce has grown rapidly in recent years, and numerous retailers are now operating on live e-commerce platforms. A growing number of online retailers are launching live-streaming e-commerce digital channels to attract consumers. E-commerce platforms, including Taobao, Jingdong, and Amazon, have launched live broadcasts to promote products. Contrary to traditional online shopping, live-streaming allows the consumer to experience a multisensory experience through a highly visual interface. Secondly, consumers can view product information in an all-around manner without clipping. A constant influx of live-streaming users and potential consumers support the sustainable growth of live-streaming e-commerce resulting in reduced environmental impact.
Livestreaming has grown worldwide, but its popularity in China provides a great environment for examining these trends. Taobao and Jingdong have changed digital commerce through influencers, lowering environmental footprints and improving social inclusion. Even though it is widely used, problems persist with channel selection, pricing, and using the spillover effect to balance profitability and sustainability. This paper develops a theoretical model based on multichannel retailing and game theory to fill this gap and provide actionable insights into digital supply chain management.
As of December 2023, there were 766 million or 70.2% of urban Chinese Internet users of the national total, according to CNNIC [1]. Live streaming has boosted the Chinese economy and is popular among retailers and consumers. The popularity of live-streaming e-commerce has surged thanks to the increase in influencer marketing, which plays a key role in inclusive marketing strategies that utilize digital platforms to connect with audiences effectively. Influencers now play a vital part in driving consumer interaction and endorsing products on digital platforms, which plays a critical role in digital transformation for sustainability [2,3]. For retailers, there are two types of live-streaming digital channels available: self-live-streaming and influencer live-streaming. Influencers like Addison Rae Easterling and Jiaqi Li have rapidly accumulated numerous fans online, driving viewing counts and customer loyalty. Consequently, some retailers have engaged influencers to promote their products, in addition to managing self-live-streaming. As an example, Charli D’Amelio became the most prominent creator on TikTok in 2020. It has a long-standing relationship with Dunkin’ (the world’s leading coffee and baked goods chain). Additionally, Dunkin’ has its own Facebook store cast featuring live food preparation and sales promotion. Another example is Jiaqi Li, who held several live-streaming e-commerce events between 2017 and 2022, generating huge sales for several companies. Several brands, including Huaxizi, Olay, and L’Oreal, have live-streaming rooms on Taobao, Jingdong, and other places. Additionally, Givenchy, Armani, Dior, and other major brands utilize two live-streaming digital channels simultaneously to enhance conversions.
However, some stores opt for self-streaming or working with influencers. Niche retailers are an example of those who have effectively used self-streaming to drive sales gaining a share of their income without depending on influencer collaborations. A few shop owners mention that the expense of hiring influencers can be a barrier to making self-live-streaming a choice, for managing marketing costs. Big-name companies, like the ones found on platforms such as Tmall, have expressed intentions to prioritize their store broadcasts more heavily in the future. The use of influencers in these scenarios is typically reserved for promoting products or significant marketing activities to boost consumer engagement and implement cost sales tactics over a longer period.
Influencer live streaming differs from self-live-streaming in three main ways. First, influencers have numerous followers. They usually have a high turnover. Second, influencers have bargaining power. The selling prices are up to them. In addition, influencers can request a pit fee. Influencers for live-streaming are not always advantageous to retailers, even if they drive demand. Sometimes, retailers have lost money following trends blindly. Two factors may explain this: First, the conversion rate is too low, or the share is too high, so sales are insufficient to cover marketing costs. Second, live marketing has a certain degree of closure (specific period, specific live room). Unless retailers follow up, influencers cannot bring significant spillover effects, even leading to channel conflicts. Thus, influencer live-streaming is not a viable strategy for all retailers, and the benefits need to be carefully weighed.
Game theory is excellent for understanding strategic decision-making in complex systems like digital supply chain platforms and networks. Ref. [4] shows how game theory can model competitive behaviors in digital ecosystems and promote sustainability through digital transformation, whereas [5] highlights game theory’s application in promoting sustainability through digital transformation of supply chains. However, game-theoretical approaches to dual-channel live-streaming e-commerce systems, especially in cases of influencer marketing spillover effects, have received little attention. This study uses game theory to evaluate retailers’ and influencers’ strategic interactions in dual-channel supply chains. Commission rates, spillover effects, and channel competition affect decision-making and sustainable corporate success, which advances theory and practice.
Given these different attitudes and realities, it is necessary to ask when and how retailers should introduce influencer live-streaming. Accordingly, we focus on the influencer characteristics in the context of digital dual channels to analyze the impact of key parameters. Then, we explore retailers’ channel introduction strategies. It provides some interesting theoretical and practical insights into sustainable supply chain management.
In this paper, we explore the following questions:
(i)
Do important parameters such as commission rates influence digital supply chain members’ behavior, price decisions, and coordination?
(ii)
How do spillover effects interact with other factors to affect digital supply chain behaviors, price decisions, and equilibrium profits?
(iii)
When does a retailer decide to add an influencer live-streaming channel?
Key literature gaps are addressed by these proposed questions. Influencer marketing and digital channels have been studied individually (e.g., pricing strategies or multichannel dynamics), but their interaction in live e-commerce supply chains has not. The addition of spillover effects in dual-channel setups provides a new theoretical perspective on influencer and self-live-streaming channel synergy. This paper creates a theoretical framework for strategic decision-making in this quickly changing industry to fill these gaps.
To better study these issues, we construct a dual-digital-channel demand function that incorporates both professional and emotional input from influencers. Then, we introduce a fixed remuneration coefficient and commission rate coefficient to construct the profit function.
Scenario S describes a retailer that sells only through self-live-streaming. When an influencer is introduced, Stackelberg models construct two scenarios: with or without a spillover effect. Next, we analyze the master–slave game between the retailer and the influencer. Subsequently, retailer pricing decisions and channel introduction strategies are analyzed and evaluated. Furthermore, the model is extended on the scenario DS. We examine retailer channel choice strategies and decisions regarding different power structures and traditional offline stores. The results indicate that the influencer live-streaming channel is priced differently according to the influencer’s effort, and it is not consistently the cheapest. So, this disproves the common belief that “goods are cheaper when influencers promote them”. Channel pricing strategies are greatly impacted by commission rates if spillover effects extend. For low commissions, the retailer adopts a skimming pricing strategy; otherwise, penetration pricing is selected. Moreover, we discovered an interesting finding that retailers are likely to add influencer live-streaming digital channels when the cross-price coefficient and spillover effect are high. It is contrary to traditional beliefs.
In this paper, we mainly examine retailer pricing decisions and channel introduction strategies. Unlike the prior literature, we explore channel competition under different power structures. We also study retailers’ pricing strategies and channel preferences in the presence of traditional offline channels. In addition, we introduce and simulate the spillover effect between influencer and self-live-streaming channels, unlike earlier studies that focused on isolated digital channel topologies or influencer marketing economics. This new integration explains how influencers might indirectly boost stores’ self-streaming efforts, optimizing dual-channel tactics. Our findings also challenge pricing and channel effectiveness beliefs and propose options for balancing profitability and sustainability.
The emergence of streamed online shopping signifies more than a changeover of customer interaction; it also opens doors to environmentally friendly business practices and innovations. Using platforms enables retailers to minimize dependency on physical/brick-and-mortar stores, which results in a reduction in carbon emissions and fosters the development of adaptable and sustainable supply chains. This research adds to the expanding pool of knowledge on live-streaming e-commerce by investigating the role played by live-streamed content and influencer marketing techniques in promoting eco-friendly consumer habits and strengthening digital supply chain robustness. Thus, this paper contributes to the dialog on sustainable marketing by investigating how influencer spillover effects in dual-digital-channel e-commerce can foster both economic and societal sustainability.
The remaining sections are organized as follows: Section 2 reviews the relevant literature. Section 3 describes and constructs three different digital supply chain models. Section 4 explores the equilibrium solutions for scenarios S , D N , and D S and analyzes the effects of the parameters. In Section 5, preferences for retailer channel selection are discussed. Section 6 extends the discussion by changing the game’s order and examining the issue of a traditional offline channel. Section 7 discusses the study results. In Section 8, we conclude the paper.

2. Literature Review

Multichannel retailing and spillover effects literature [6,7] helps explain live-streaming e-commerce channel strategies. However, merging influencer features with dual-channel dynamics has received little attention, which this study addresses through a Stackelberg game-theoretical approach. Inclusive marketing strategies, which promote products to diverse consumer groups, are increasingly seen as essential for achieving long-term business performance [8]. Sustainable business performance now hinges on the integration of digital technologies that reduce environmental impact while addressing the growing consumer demand for inclusivity and societal responsibility [9].
This paper focuses on the selection of live models for retailers. We investigate three streams of literature: (i) Multichannel retailing. (ii) Spillover effects on live-streaming e-commerce. (iii) Influencer marketing.

2.1. Sustainability Impacts

The link between sustainability and online shopping has become increasingly important lately. Research shows that online platforms can improve the business performance of sustainable supply chains by cutting down on emissions from transportation and decreasing the requirement for facilities [10,11]. Specifically incorporating influencer marketing into shopping sites can encourage conscious consumer behaviors by raising awareness about sustainable products [12,13].
This study expands on these discoveries by exploring the dual-digital-channel setup of self-streams and influencer streams, within live-streaming e-commerce environments to investigate how these approaches can contribute to achieving lasting sustainability objectives within the marketplace.

2.2. Multichannel Retailing or Game Theory Applications in Supply Chains

From the perspective of the consumer, the decision to make a purchase can be influenced by channel characteristics, price, and other factors [6,14,15]. Ref. [6] introduced extra value and preference value to study sellers’ decision-making processes when choosing live-streaming digital channels. As they pointed out, an anchor with high ability does not guarantee high returns. As [14] reported, when market share is small, mixed strategies are the dominant strategy for all parties to the game. Furthermore, channel strategies affect retailers’ and manufacturers’ pricing strategies, which in turn affect revenue profiles [16,17,18]. According to [16], manufacturers maximize revenue through multichannel sales strategies. As [17] found, when the cost gap is small, retailers are best off pursuing multichannel strategies.
Additionally, some scholars have studied the interaction between offline channels and live-streaming digital channels in multichannel retailing [19,20,21,22]. Under a dual-digital-channel structure, ref. [19] investigated live-streaming models. As live-streaming e-commerce grows, more and more retailers are establishing online channels for their business. Several studies analyzed retailers’/manufacturers’ channel selection strategies by introducing live-streaming digital channels in conjunction with traditional channels [20,21,22,23]. Ref. [24] investigated the reference effect of the official price to explore the impact on price decisions. Their conclusion was counterintuitive: manufacturers should set a higher official selling price despite intense downstream competition. Additionally, the official price affects the objectives of both parties. For example, direct sales should focus more on brand promotion, while retail should emphasize merchandise. Ref. [25] studied how retail costs affect channel preferences. They demonstrated that manufacturers’ optimal channel structure is not always advantageous to consumers.
Game theory is commonly used to evaluate supply chain and digital platform strategic interactions. Ref. [4] used game theory to study Google’s information dissemination strategy, emphasizing competitive behaviors in digital ecosystems. Ref. [5] showed how digitalization balances profitability and sustainability to alter green supply chains in a two-stage evolutionary game model. We use spillover effects in game-theoretical models to address price and channel strategies in live-streaming e-commerce, building on prior works.
This study examines retailers’ pricing decisions and whether to develop an influencer live-streaming channel. Unlike previous studies, we also examine channel competition under different power structures. Furthermore, we investigate retailers’ pricing strategies and channel preferences when offline channels are available.
In addition, this study presents a previously unaddressed finding. We refine the concept of how commission rates influence channel strategy, as explored by [24], suggesting that medium commission rates can maximize profits when spillover effects are high.

2.3. Spillover Effects on Live-Streaming E-Commerce

Furthermore, this study deals with spillover effects. Taking the spillover effect as a significant factor, its magnitude and direction can impact behavioral decisions differently [26,27,28,29]. The impact of interactions across platforms—like shifting from online to offline or the digital ripple effects—plays a key role in shaping consumer actions and guiding retailers’ channel strategies [30]. This study expands on these findings by examining how influencer live-streaming influences self-streaming digital channels within live-streaming e-commerce. In terms of direction, spillover effects can be divided into two categories: online–offline spillover effects and showroom effects. In response to the rise of live-streaming e-commerce, many retailers have begun to transition and explore live-streaming digital channels. In [10], cross-channel spillovers are used to study manufacturer/retailer channel preferences. Ref. [7] explored retailers’ strategies for implementing third-party platforms under spillover effects.
In addition, the showroom effect has a substantial impact on channel preferences and behavioral decisions of game players [31,32,33]. The showroom effect was used to study physical store response strategies [31]. In analyzing pricing decisions and service efforts, ref. [32] proposed a dual-digital-channel model that incorporates showroom effects. Ref. [33] constructed a dual-digital-channel model based on the Hotelling model. In their study, physical stores could overcome showroom effects by using a branding strategy. Ref. [34] studied the free-rider effect to understand how consumers influence manufacturers’ channel selection.
Previously, more literature has been concerned with online–offline spillovers or showroom effects. The key contribution of this paper is the introduction of a spillover effect between influencer live-streaming and self-live-streaming. It presents a new perspective on the current live-streaming e-commerce supply chain. Ref. [7] focused on online–offline interactions. This study builds on the concept of dual-channel digital marketing strategies and thus provides a richer understanding of the effects on pricing, demand, and profitability.

2.4. Influencer Marketing

The role of streamers in branding and merchandising is vital to the live-streaming e-commerce supply chain. As live-streaming e-commerce has developed, influencer marketing has gradually become popular [2]. Influencers, according to [35], play a crucial role in promoting products and services. They believe that different streamers need to correspond to different products and services. Thus, many scholars have studied the impact of influencers on consumers’ purchasing intentions [36,37,38,39]. The degree of consumer willingness to purchase is strongly influenced by the level of influencer effort [36] and the degree of social identity [37]. In addition to influencer characteristics, information disclosure [40] and product consistency [41] have also been found to affect purchaser decisions.
Beyond individual performance, influencer marketing is also affected by user groups and sponsors [12,42,43,44]. Verbal expression and emotional expression are important factors in increasing consumer attention [42]. Streamer originality, consumer size, and sponsor support all positively correlate with business performance and marketing effectiveness [12]. Moreover, some scholars studied the live-streaming of influencers as a live channel and studied channel strategy. Ref. [45] examined the strategic issues when introducing influencers. Ref. [46] performed a modeling analysis of the live channel selections of the brand manufacturers. In their study, the more sensitive consumers are to live-streaming, the more likely manufacturers are to introduce special live-streaming digital channels. Similarly, ref. [19] examined manufacturers’ preferences for live-streaming. Their findings indicate that higher sales occurred after introducing a live-streaming channel.
Previous studies have tended to oxygenize influencer characteristics or study only one endogenous factor. In our study, influencers’ emotional and professional inputs are both internalized, which is more in accord with reality.

2.5. Comparison with Existing Literature

Our findings support earlier research that digital channels considerably impact supply chain pricing and behavior [14,17]. Unlike prior studies, we integrate the spillover impact, showing its importance in retailer profits and sustainability. Refs. [6,19] examined channel competition, but our study addresses how spillover effects affect dual-channel performance.
Additionally, our results challenge conventional beliefs in influencer marketing literature [12], particularly the assumption that influencer channels always result in lower consumer prices. Our findings show that commission rates and spillover effects significantly alter this dynamic, leading to scenarios where self-live-streaming channels are more cost-effective.
As mentioned in [35], our approach improves multichannel strategy knowledge by adding emotional and professional influencer input and assessing pricing strategies across power structures, a novel contribution to live-streaming e-commerce literature.

2.6. Industry Context: The Live-Streaming E-Commerce Boom in China

China leads live-streaming e-commerce, with Taobao and Jingdong changing product marketing and sales. This rapid growth offers a unique opportunity to study how dual-channel strategies and influencer marketing support sustainable and inclusive supply chains. This study offers insights into emerging and established digital economies by studying practices in this dynamic industry.

3. Model

The dual-digital-channel model employed in this study could be further extended to evaluate how inclusive marketing strategies, such as targeting underrepresented communities through live e-commerce, can enhance both social inclusion and business sustainability.

3.1. Model Assumption

We examined three different digital supply chain structures, assuming that the retailer initially marketed through self-live-streaming. It is now possible for the retailer to introduce another sales channel: the influencer live-streaming channel. Consumers are assumed to be able to purchase one unit of goods at a time through a single channel. Influencer popularity promotes brand exposure, leading consumers to pay attention, understand, and purchase. This effect is commonly referred to as a positive spillover effect in inclusive marketing and business performance. The positive spillover effect makes consumers more willing to buy, increasing demand for the self-live-streaming channel. On the contrary, influencers may also fail to generate significant spillovers for a variety of reasons. It may even create competition between digital channels. The decision sequence is depicted in Figure 1.
Scenario S is a single digital supply chain structure. The retailer only sells goods through the self-live-streaming channel and decides the selling price p 0 . As well as a fixed salary F , the store streamer will also receive a unit commission α for each unit of goods, which is presumed to be exogenous.
In both D N and D S scenarios, the retailer sells products via self-live-streaming and influencer live-streaming digital channels. In these two scenarios, a Stackelberg game is played between the retailer and the influencer. The retailer, as the leader of the game, first decides on selling prices p 1 and p 2 . Then, the influencer decides on professional and emotional investment efforts m and g. In scenario D N , the store streamer’s and the influencer’s revenue are still composed of fixed salary and commission. While the influencer has invested efforts, certain effort costs will inevitably be generated. In the literature of previous scholars, this effort/cost is manifested in a quadratic form: m i 2 2 , g i 2 2 [47]. A key difference between the scenario D S and D N is that the spillover effect in D S represents the impact of influencer live-streaming on self-live-streaming. The models assume that β ,   μ ,   τ , are exogenous. The parameters used in this paper are shown in Table 1.
This study discusses decision-making strategies within dual-digital-channel setups and also considers how these methods can be applied to promote sustainability objectives well [48,49]. By integrating measures pertaining to energy usage levels efficiency of logistics operations and consumer demand for items into the model a broader perspective on the role of live-streamed e-commerce in fostering sustainable practices within the digital supply chain could be achieved [50,51,52]. In versions of this model, potential investigations may revolve around examining how resilient dual-digital-channel supply chains are in managing risks linked to disturbances and scarcity of resources [53,54,55].

3.2. Model Construction

This part gives the model under scenarios S ,   D N ,   D S , respectively.
For simplicity, each retailer employs one store streamer and one influencer at a time. Each consumer buys just one unit of products at a time. Furthermore, assume that the marginal cost at the time of production of the good is constant and zero [47,53].

3.2.1. Scenario S

In scenario S , the digital supply chain is composed of a retailer and a store streamer. The retailer sets the price p 0 , and the store operator sells the goods, earning a commission and a fixed salary. Assuming that the initial market demand share is 1, we have the following demand function:
D 0 = 1 p 0
The retailer’s profit is solely determined by the channel’s demand, price difference, and remuneration of the streamer. The retailer’s profit function can be expressed as follows:
π R S = ( p 0 α ) D 0 F

3.2.2. Scenario D N

In scenario D N , a retailer, a store streamer, and an influencer are involved in the digital supply chain. In this scenario, it is assumed that there is no spillover effect. Cross-price effects exist between channels. The demand function of the self-live-streaming channel is as follows:
D 1 D N = a p 1 + γ p 2
is the cross-price sensitivity coefficient γ ( 0,1 ) .
Assume that influencers’ professional and emotional investment efforts are linearly related to channel demand. The demand function of the influencer live-streaming channel is as follows:
D 2 D N = 1 a p 2 + γ p 1 + m + g
where 1 indicates the initial market share, while α indicates the initial market demand share occupied by the self-live-streaming channel.
Assume that the retailer’s profit is based solely on the differences in price and demand between the two channels, as well as the salary paid to the streamers. Excluding wholesale costs, customer conversion costs, and storage costs. The retailer’s profit function is as follows:
π R D N = ( p 1 α ) D 1 + ( p 2 β ) D 2 F Q
The most common fee model for influencers is “pit fee + commission”. Slot fees can be viewed as service and commodity listing fees. Upon receiving a slot fee from the retailer, the influencer displays and publicizes the commodity in his or her live-streaming room. In combination with the charging model, the influencer’s income structure is assumed to be “pit fee + commission”. Moreover, live broadcasts incur certain costs due to professional and emotional efforts. In previous literature, the service effort cost function was defined as a quadratic function. Anchors’ profit functions are as follows:
π I D N = β D 2 + Q m 2 2 g 2 2
π S D N = α D 1 + F

3.2.3. Scenario D S

In scenario D S , the digital supply chain structure is consistent with Section 3.2.2. The difference is that in this model there is an assumption that there is a spillover effect between channels. Thus, the demand function for self-live-streaming can be expressed as follows:
D 1 D S = a p 1 + γ p 2 + η τ
As in Section 3.2.2, the influencer live-streaming channel has the following demand function:
D 2 D S = 1 a p 2 + γ p 1 + m + g
This model adds a third benefit to the fixed fee and unit commissions: the spillover effect reward μ τ , μ ( 0,1 ) . μ is the compensation coefficient of the spillover effect, which is an exogenous variable. For example, a revision to TikTok’s policy in 2023 allows influencers to earn between 0–5% more upon completion of a task. This is in addition to pit fees and commissions. Retailer, influencer, and anchor profit functions are as follows:
π R D S = ( p 1 α ) D 1 + ( p 2 β ) D 2 F Q μ τ
π I D S = β D 2 + Q + μ τ m 2 2 g 2 2
π S D S = α D 1 + F

4. Equilibrium Analysis

4.1. Scenario S

Proposition 1.
The equilibrium pricing, channel equilibrium demand of the channel, and the equilibrium profit are as follows:
p 0 * = 1 + α 2
D 0 * = 1 α 2
π R S * = 1 4 ( 4 F + ( 1 + α ) 2 )
Based on the equilibrium solution results, the price of the self-live-streaming channel increases with α. On the contrary, there is the opposite trend in demand and retail profits. It is suggested that retailers who motivate store streamers to advertise and expand product awareness cannot improve earnings permanently, regardless of commission increases. Consequently, retailers must increase the price to protect capital, resulting in lower demand. To increase product visibility and demand, the retailer should examine whether to employ influencers.

4.2. Scenario D N

In this scenario, the retailer introduces an influencer live-streaming channel to sell goods. Stackelberg is played between them. As the leader of the game, the retailer sets the price on the two channels and the influencer determines the level of professional and emotional investment. The two sides make dynamic decisions to maximize their returns.
Proposition 2.
Equilibrium pricing, input effort, demand, and income are as follows.
p 1 D N * = γ + a ( 1 + 2 β + γ ) + α ( 1 + 2 β + γ 2 ) 2 ( 1 + 2 β + γ 2 )
p 2 D N * = 1 + a + 2 β 2 a γ + β ( 1 + γ 2 ) 2 ( 1 + 2 β + γ 2 )
m D N * = g D N * = β ( 1 + a + 2 β 2 a γ + β ( 1 + γ 2 ) ) 2 ( 1 + 2 β + γ 2 )
D 1 D N * = 1 2 ( a α + β γ )
D 2 D N * = 1 2 ( 1 a β + 2 β 2 + α γ )
π R D N * = ( p 1 D N * α ) D 1 D N * + ( p 2 D N * β ) D 2 D N * F Q
π I D N * = Q + β ( 1 a β + 2 β 2 + α γ ) ( 1 + a + 2 β 2 a γ + β ( 1 + γ 2 ) ) 4 ( 1 + 2 β + γ 2 ) β 2 ( 1 + a + 2 β 2 a γ + β ( 1 + γ 2 ) ) 2 4 ( 1 + 2 β + γ 2 ) 2
Lemma 1.
p 1 D N * β > 0 ,   p 2 D N * β > 0 , m D N * β = g D N * β > 0 , D 1 D N * β > 0 ; When 0 < β < 1 4 , D 2 D N * β < 0 ; when 1 4 < β < 1 , D 2 D N * β > 0 .
Lemma 1 is shown in Figure 2, Figure 3 and Figure 4. Higher commission rates encourage influencers to work harder professionally and emotionally, creating demand for self-live-streaming channels. However, the influencer channel demand is U-shaped, suggesting commission rates must be calibrated to match channel performance.
The results show that the equilibrium price of an influencer live-streaming channel is not always cheaper. Hence, this point disproves the traditional belief that “influencers carry cheaper commodities”. When it is low, retailers will use a low-price strategy to attract consumers to influencer live-streaming rooms, thus increasing demand. Due to the low commission rate, the influencer limits his or her actions. Hence, although the influencer live-streaming channel is currently at a low price, equilibrium demand indicates a downward trend. For profit, the retailer gradually increases the equilibrium selling price for both channels to encourage the influencer to exert more effort in business performance and inclusive marketing. The increased commission rate β motivates the influencer, leading to significant increases in professional and emotional investment. Therefore, the demand for D2 has also experienced significant sustainable growth. For example, several TikTok retailers claim that their ROI (return on investment) has dropped from 1:1.5 to 1:1.8. Consumers are more likely to be motivated by “content” and make impulse purchases. Therefore, it is difficult to repurchase multiple times, and attracting new customers is necessary. Therefore, influencers must be motivated to put in greater efforts, but business costs are also higher. Naturally, these high costs are reflected in the selling price.
Although promotion becomes more effective as the number increases, this can incur high costs. Furthermore, it can increase competition between inter-channel channels, affecting a retailer’s dominance. Hence, retailers must formulate a reasonable commission rate to stimulate influencers, while maintaining a balanced demand difference between channels to minimize profits.
Lemma 2.
(i) 
When 0 < γ < γ 1 , p 1 D N * γ < 0 ; when γ 1 < γ < 1 , p 1 D N * γ > 0 ; when 0 < γ < γ 2 , p 2 D N * γ < 0 ; when γ 2 < γ < 1 ,   p 2 D N * γ > 0 . ( 0 < γ 2 < γ 1 < 1 )
(ii) 
When 0 < γ < γ 3 ,   m D N * γ = g D N * γ < 0 ; when γ 3 < γ < 1 ,   m D N * γ = g D N * γ > 0 .
(iii) 
D 1 D N * γ > 0 , D 2 D N * γ > 0 .
Lemma 2 is shown in Figure 5, Figure 6 and Figure 7. As the cross-price sensitivity coefficient increases, the equilibrium selling prices first decrease then rise. The influencer’s input effort also decreases first and then increases. The equilibrium demand of the two channels increases monotonically as the number of channels increases.
When it is low, customers are less sensitive to the price of goods. With a low-price strategy, the retailer can enhance influencer live-streaming demand and benefit consumers. The influencer, however, reduces their effort at this point to reduce revenue loss. As an example, some retailers sell standardized products (such as toilet paper, garbage bags, and other everyday necessities). They often use pricing strategies such as ladder pricing in the influencer live-streaming room, encouraging consumers to purchase, and attracting attention. Typically, these items are sold solely to attract traffic, and the commission rate is not very high. To maximize their interests, influencers do not invest all of their efforts in promotion.
A high value of γ indicates that customers are more sensitive to price changes. To ease competition between channels, retailers will raise the equilibrium price for influencer live-streaming and gradually approach the equilibrium price for self-live-streaming. Due to previous low prices, consumers are unsatisfied with the current price, even though influencer live-streaming is slightly cheaper than self-live-streaming. Therefore, the influencer live-streaming channel has low demand. Thus, the influencer strives to increase investment levels to increase sales and stimulate consumer purchases.

4.3. Scenario D S

Under scenario D S , the retailer still sells products through dual digital channels. Unlike scenario D N , this scenario considers the positive spillover effect of the influencer live-streaming channel on the self-live-streaming channel. The spillover effect is one of the significant factors affecting retailers’ decisions.
Proposition 3.
Equilibrium channel pricing, equilibrium input effort, equilibrium demand, and equilibrium income are as follows.
p 1 D S * = a + α 2 a β 2 α β + γ a γ α γ 2 + η τ 2 β η τ 2 4 β 2 γ 2 p 2 D S * = 1 a + β 2 β 2 + a γ β γ 2 + γ η τ 2 4 β 2 γ 2 m D S * = g D S * = β ( 1 + β 2 β 2 + a ( 1 + γ ) β γ 2 + γ η τ ) 2 ( 1 + 2 β + γ 2 ) D 1 D S * = 1 2 ( a α + β γ + η τ ) D 2 D S * = 1 2 ( 1 a β + 2 β 2 + α γ ) π R D S * = ( p 1 D S * α ) D 1 D S * + ( p 2 D S * β ) D 2 D S * F Q μ τ π I D S * = Q + μ τ + β ( 1 a β + 2 β 2 + α γ ) ( 1 + a + 2 β 2 a γ + β ( 1 + γ 2 ) γ η τ ) 4 ( 1 + 2 β + γ 2 ) β 2 ( 1 + β 2 β 2 + a ( 1 + γ ) β γ 2 + γ η τ ) 2 4 ( 1 + 2 β + γ 2 ) 2
Lemma 3.
(i) 
When 1 2 ( 1 γ 2 ) < β < 1 2 , p 1 D S * τ < 0 , when 1 2 < β < 1 , p 1 D S * τ > 0 . When 0 < β < 1 2 ( 1 γ 2 ) , p 2 D S * τ > 0 ,
When 1 2 ( 1 γ 2 ) < β < 1 , p 2 D S * τ < 0 .
(ii) 
When 0 < β < 1 2 ( 1 γ 2 ) , m D S * τ = m D S * τ > 0 , when 1 2 ( 1 γ 2 ) < β < 1 , m D S * τ = m D S * τ < 0 .
(iii) 
D 1 D S * τ > 0 , D 2 D S * τ = 0 .
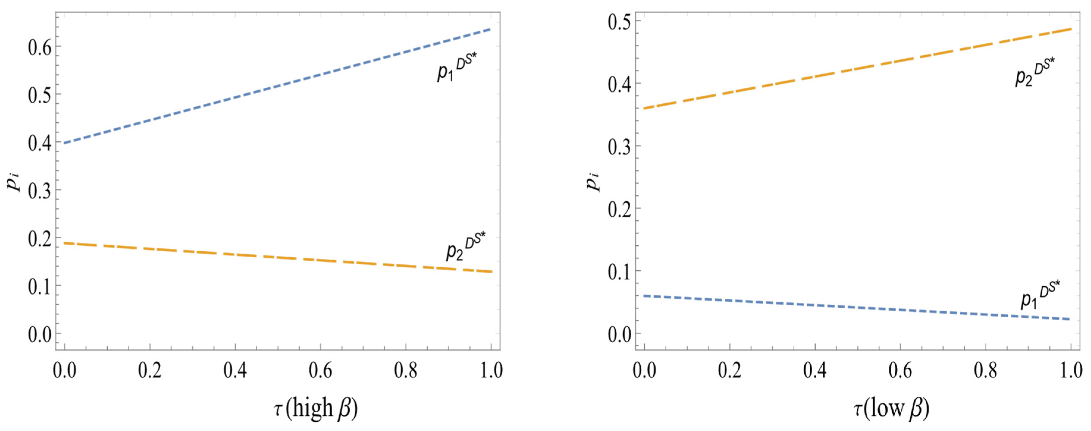
Lemma 3 (i) is illustrated in Figure 8. When the commission rate β is high, the price of the self-live-streaming channel increases monotonously, and the price of the influencer live-streaming channel decreases monotonously. The result, however, is completely reversed when β is small. When it is high, D 2 D S * β > 0 , the demand for self-live-streaming digital channels rises rapidly. To maintain a dominant position in the game, the retailer lowers p 1 D S * to reduce competition between channels. Lemma 3 (iii) shows that the demand for the self-live-streaming channel increases monotonically with the increase in τ , thereby allowing retailers to raise p 1 D S * to increase profits. Due to the lower selling price for the influencer live-streaming channel, the influencer reduces effort to minimize loss, despite the higher commission rate at this point. This is in accordance with the conclusion of Lemma 3 (ii). As an example, some retailers sell nonstandard products (such as clothing and beauty products) to increase their profits, so they must pay influencers higher commissions. When an influencer introduces a number of potential consumers to the self-live-streaming room, the retailer will raise the channel price to maximize profit.
As the value is low, the retailer will raise p 2 D S * to increase unit profit, encouraging the influencer to increase investment. To benefit consumers and meet the retailer’s sales target of a low-profit margin and rapid sales, the retailer reduces p 1 D S * . Due to the increase in p 2 D S * , although D 2 D S * β > 0 , demand is reduced. Consequently, the influencer should make more effort to expand publicity and strive to increase product popularity. In this way, consumers are more likely to enter the live-streaming room, observe, and learn about the relevant products, thereby stimulating potential demand.
Lemma 4.
(i) 
When 1 2 ( 1 γ 2 ) < β < 1 2 , as the spillover effect increases, π R D S *   first increases and then decreases, when 1 2 < β < 1 , the change in π R D S * is the opposite.
(ii) 
When 0 < τ < τ 1 , π I D S * τ > 0 , when τ 1 < τ < 1 , π I D S * τ < 0 .
Lemma 4 is illustrated in Figure 9, Figure 10 and Figure 11. From Lemma 3, the monotonically decreases with increasing τ when the commission rate is low, while p 2 D S * is true. And there is an increase in demand for self-live-streaming. Consequently, when τ is low, the rise in D 1 D S * can compensate for the loss of revenue due to the price decrease, increasing the retailer’s revenue. In other words, adopting the strategy of small profits and quick sales at this time could produce higher profits for the retailer. Since it has increased, the influencer income has also increased. When it is high, it decreases with the increase in τ . While the demand for self-live-streaming is still increasing, the increased demand cannot compensate for the loss of income caused by the continuous decrease in price at this time. In the meantime, as a result of the low commission rate and the low level of effort required, the demand for self-live-streaming digital channels is slowly increasing. As a result, the total revenue of the retailer is declining. So, the retailer cannot solely benefit consumers but rather raise the commission rate to encourage the influencer to expand their advertising.
When β is high, Lemma 3 shows that p 1 D S * monotonically increases with the increase of τ , while p 2 D S * is the opposite. And the demand for both channels shows an upward trend. When it is low, retailers’ total revenue is on a downward trend due to the lower selling price. Despite an increase in demand, the lower price cannot compensate for the revenue loss. However, as the market continues to grow, the demand for the channel increases because the influencer introduces products to consumers and promotes a strong shopping experience. Therefore, the total revenue is rising as demand increases, which can compensate for lower prices. Since the influencer is investing more time and effort, the cost increases and the increase in sales commission cannot offset the loss caused by the increase in costs. Thus, the influencer’s overall revenue is declining. The result is that high commission rates do not necessarily increase the influencer’s total revenue. For example, in 2020, the Oushang company contracted with Simba, an influential figure, to promote and sell massage chairs. Despite higher sales, agent commissions and pit fees were high, and live-streaming rooms required the lowest price, resulting in sales not covering these costs. For the company, this resulted in a substantial loss of money during the three-month contract period. Although a high commission rate can stimulate an influencer’s enthusiasm, it also represents a significant cost to the retailer. According to Figure 10, the higher the commission rate, the greater the spillover effect, while at the same time, the retailer’s income generally declines. As such, retailers should establish a reasonable commission rate to maintain their income and ease competition between channels.
Three scenarios are examined in this equilibrium analysis of live-streaming e-commerce pricing, demand, and profit. Self-live-streaming sellers must balance price hikes against declining demand in Scenario S. Commission rates and effort levels affect price and channel performance in Scenario D N ’s influencer channel. Higher commission rates boost influencer investment but raise costs, demanding strategic balance. Scenario D S shows spillover effects boost self-live-streaming demand but diminish revenues at high commission rates. The findings stress balancing commission rates and using spillover effects to maximize profitability and minimize channel conflicts.

5. Channel Preference

In this section, we examine the channel preferences of the retailer. The channel preferences of the retailer may be affected in different ways by changes in the spillover effect and commission rate. We summarize the retailer’s channel preferences in Lemmas 5 and 6.

5.1. Retailer’s Channel Preference Without Spillover Effect

Lemma 5.
When the cross-price sensitivity coefficient is not too high and the commission rate is medium, the retailer is prone to introduce the influencer live-streaming channel.
Figure 12 illustrates Lemma 5. From Lemma 2, when the cross-price sensitivity coefficient is medium, the channel’s retailer will reduce the selling price to improve demand for both channels. The strategy of selling goods with thin margins is not only beneficial to consumers but also increases demand. The increase in demand may compensate for the income loss resulting from a price decrease. In addition, the total income will cover the influencer’s commission costs. Therefore, the retailer is willing to use influencers to promote and sell its products under these circumstances. A good example is the Three Squirrels snack market, which invited well-known actors and influencers to promote its products as it entered the live-streaming e-commerce market. In addition to depressing the sales price on major live-streaming platforms, they also tried to establish a strong personality, gain consumer trust, and introduce branded products to stimulate consumption.
In contrast, when the cross-price sensitivity coefficient is high, consumers tend to be more sensitive to products. To mitigate inter-channel competition, retailers raise the selling price of the influencer live-streaming channel and gradually approach that of the self-live-streaming channel. At this time, consumers are more sensitive to price fluctuations. Though the influencer live-streaming channel sells cheaper than the self-live-streaming channel, the previous impression of low prices has left consumers unsatisfied with the current price. Thus, influencer live-streaming digital channels experience lower demand. Consequently, the influencer seeks to improve his or her own investment level to stimulate consumers’ purchases and increase sales. The retailer may increase the unit commission rate to encourage the influencer to increase his or her investment efforts. It is, however, unfavorable for the retailer when the commission rate is high. Consequently, the retailer would be more inclined to operate and manage self-live-streaming in this case. This explains why FILA’s Tmall flagship pays close attention to daily self-live-streaming. Influencers will be specifically invited to cooperate only with the most significant inclusive marketing nodes, involving upcoming products, and explosive models to enhance business performance.

5.2. Retailer Channel Preference with Spillover Effect

Lemma 6.
When the cross-price coefficient is medium and the commission rate is low, retailers are willing to introduce the influencer live-streaming channel regardless of the spillover effect. Retailers also tend to introduce the influencer live-streaming channel in situations of high cross-price coefficients and high spillover effects.
Lemma 6 is depicted in Figure 13, Figure 14 and Figure 15. From Lemma 3, the selling price of self-live-streaming digital channels monotonically increases with spillover effects when the commission rate is high. For influencer live-streaming digital channels, the situation is reversed. When the commission rate β is high, D 2 D S * β > 0 , the demand for influencer live-streaming digital channels increases rapidly. To reduce the competition between channels and maintain a dominant position in the game, the retailer reduces the equilibrium price of the influencer live-streaming channel. With the increase in the spillover effect, the demand for the self-live-streaming channel increases monotonically. Thus, the retailer tends to raise the equilibrium price of the self-live-streaming channel. Furthermore, the influencer live-streaming channel has a lower price due to the high price sensitivity of consumers. Although the unit commission rate at this time is high, the influencer remains committed to reducing his or her input level to reduce the loss caused by the lower price. In this case, the retailer cannot have a better effect on the product advertising by signing up with the influencer. As a result, the retailer is not willing to introduce an influencer live-streaming channel. This may also explain why some jewelry retailers are reluctant to introduce the influencer live-streaming channel in real life. In contrast, they are more focused on running their live-streaming channel and physical store.
A low commission rate and a medium price sensitivity coefficient will encourage retailers to introduce influencer live-streaming digital channels regardless of spillover effects. It is consistent with Lemma 5. When the commission rate is low and the price sensitivity is high, retailers increase the selling price of the influencer live-streaming channel to raise unit profits and incentivize influencers to contribute more. For self-live-streaming digital channels, retailers lower the price to benefit consumers and achieve the sales goal of small profits and speedy sales. As a result of higher selling prices, the influencer live-streaming channel has experienced a slight increase in demand despite D 2 D S * β > 0 . Influencers devote greater effort to enhancing publicity efforts to enhance product visibility. It aims to attract consumers to view the live broadcast to learn more about the relevant products, thus stimulating their desire to purchase them. The influencer-live channel has a large spillover effect on the self-live channel in this instance. By doing so, it attracts potential consumers to the self-live-streaming channel. Consequently, in that case, despite consumers being more price-sensitive, the influencer’s star effect and traffic effect produce a higher channel demand. Combined with the increased channel sales price, this creates higher overall revenue than without influencers. This explains the pricing situation for Jiaqi Li’s live broadcast as well. Even if the price is not the cheapest on the whole network, there may be a significant spillover effect. In this way, more potential consumers will be attracted to self-live-streaming digital channels, and the revenue will be enhanced simultaneously.
This section examines commission rates, price sensitivity, and spillover effects on store choices for influencer live-streaming channels. When cross-price sensitivity is medium and commission rates are moderate, retailers prefer influencer channels without spillover effects because higher demand offsets lower margins. However, high price sensitivity lowers demand, favoring self-streaming. Spillover effects boost self-streaming demand for stores when commission rates are low or medium, encouraging influencer cooperation. High commission rates reduce profits despite rising demand. The findings show how to calibrate price, commissions, and spillover effects to optimize channel performance, and consumer sensitivity and profitability.

6. Extensions

6.1. Decision Order Change and Decision Making

There is a situation in live-streaming e-commerce where the influencers give priority to decision-making and formulate the pricing of direct broadcast rooms. Thus, based on the Section 3.2.3 model, we modify the decision order and decision variables. We explore the effects of spillover effects, and commission rates, on digital supply chain members’ behavior decisions, and price decisions. Also, how do channel preferences affect each other differently?
Proposition 4.
The equilibrium channel pricing, each equilibrium input effort, and equilibrium demand are as follows.
p 1 D S * = a + α β γ + η τ γ ( 2 + a ( 2 + γ ) + α γ β γ 2 + γ η τ ) 2 ( 1 + β + γ 2 ) p 2 D S * = 2 + a ( 2 + γ ) + α γ β γ 2 + γ η τ 4 ( 1 + β + γ 2 ) m D S * = g D S * = β ( 2 a ( 2 + γ ) α γ + β γ 2 γ η τ ) 4 ( 1 + β + γ 2 ) D 1 D S * = 1 2 ( a α + β γ + η τ ) D 2 D S * = ( 1 + γ 2 ) ( 2 + a ( 2 + γ ) + α γ β γ 2 + γ η τ ) 4 ( 1 + β + γ 2 )
Lemma 7.
(i) 
When 0 < β < 1 γ 2 , p 1 D S * τ > 0 , p 2 D S * τ > 0 .
(ii) 
When 0 < β < 1 2 ( 1 γ 2 ) , m D S * τ = m D S * τ > 0 .
(iii) 
τ ( 0,1 ) , D 1 D S * τ > 0 . When 0 < β < 1 2 ( 1 γ 2 ) , τ ( 0,1 ) , D 2 D S * τ > 0 .
Figure 16 and Figure 17 illustrate Lemma 7. With a low commission rate, the influencer will choose the penetration pricing strategy, whereas the retailer will choose the skimming pricing strategy. With the increase of τ , the equilibrium price of both increases. As the number of channels increases, the demands of both channels increase, which is contrary to Lemma 3. The influencer, who is the dominant player in the game when the commission rate is low, gives priority to developing penetration pricing strategies when the commission rate is low. By providing low-price strategies, consumers will be enticed to watch and understand commodity information in the broadcast room, resulting in increased demand for the commodities. During this time, due to the influencer advertisement and promotion of the products, brand awareness has increased, resulting in potential customers utilizing the self-live-streaming room. Therefore, demand for the self-live-streaming channel increases, and the retailer decides to raise the price to expand the profit margin.
Furthermore, the analysis reveals that when 1 γ 2 < β < 1 2 ( 2 γ 2 ) , that is, when the commission rate is high, p 1 D S * < 0 , and p 2 D S * < 0 . In this situation, the retailer and the influencer cannot form an employment contract. It relates to the dominant order of the game. In Lemma 3, the retailer is the game’s principal player. The retailer can protect his interests by increasing the influencer’s channel price if the influencer’s commission rate is high. However, in Lemma 7, the influencer is the key player and has considerable bargaining power. To maximize his or her profits, the influencer will lower the price of goods to stimulate the surge in demand; unfortunately, this will result in losses for retailers. Therefore, if the influencer has the right to negotiate and his/her commission rate exceeds a certain threshold, the retailer will not be inclined to introduce the influencer. Therefore, this explains why the company suffered serious losses following the signing of Simba, a well-known influencer.
Lemma 8.
When 0 < β < 1 2 ( 1 γ 2 ) , both the retailer and the influencer are willing to lead the game.
Lemma 8 is illustrated in Figure 18. The retailer is more likely to choose to become the leader of the game when the commission rate is low. In Lemma 3 it was shown that if the commission rate is modest, the retailer can raise the unit profit of the influencer live-streaming channel by increasing the selling price. However, the self-live-streaming channel has reduced prices to benefit consumers and achieve the goal of small profits but quick returns. Despite the increase in the price of influencer live-streaming, although D 2 D S * β > 0 , the increase in demand is reduced. Influencers will strive to enhance the publicity and visibility of the goods, which will attract consumers to notice and understand the products and generate demand from potential consumers. If the event that the channel increases, it can compensate for the loss caused by the decline in demand, resulting in an increase in total revenue for the retailer. As for the influencer, under the combined influence of a decrease in channel demand sustainable growth and an improvement in effort level, revenue declines. Therefore, the low commission rate and the retailer’s dominant position in the game are unfavorable to the influencer.
When the commission rate is modest, the influencer also prefers to become the game leader. According to Lemma 7, when the commission rate is modest, the influencer will adopt a penetration pricing strategy. With the low-price strategy, consumers are enthused to enter the live broadcast room to view and learn more about the products. Using a low-price strategy, the influencer can induce demand, resulting in a significant increase in the demand for commodities at live broadcasts. Consequently, the increase in demand will be sufficient to compensate for the income loss resulting from the low price. It is the mastery of bargaining power in advance that creates an advantage for the influencer. The retailer, however, cannot compensate for revenue losses attributable to lower prices on the influencer live-streaming channel, although prices in the self-live-streaming channel have risen. Thus, when the commission rate is low and the influencer is dominated by the game party, it adversely affects the retailer’s earnings.

6.2. Consider Traditional Offline Channels

In this section, it is assumed that the retailer has a traditional offline channel and a self-live-streaming channel. Based on two channels, we investigate how spillover effects affect digital supply chain members’ behavioral and pricing decisions. Additionally, we investigated whether retailers should launch an influencer live-streaming channel. Superscript “ T S I ” represents a three-channel structure (i.e., the introduction of the influencer), whereas Superscript “ T S ” represents a dual-digital-channel structure (i.e., without the introduction of the influencer).
The demand functions under the multichannel structure are: D T T S I = a p T + η τ , D 1 T S I = a p 1 + η τ , D 2 T S I = a p 2 + m + g . α is the potential market demand. To simplify the calculation, this part assumes that the price of the goods in each channel is the same, that is, assume p T = p 1 = p 2 . The revenue function is π R T S I = p 1 D T + ( p 1 α ) D 1 + ( p 1 β ) D 2 F Q μ τ , the revenue function of the influencer is π I T S I = β D 2 + Q + μ τ m 2 / 2 g 2 / 2 . The demand functions under the dual-digital-channel structure are: D T T S = a p T , D 1 T S = a p 1 , the retailer revenue function is π R T S = p T D T + ( p 1 α ) D 1 F .
Proposition 5.
In the three-channel structure, each equilibrium input effort, equilibrium demand, and equilibrium income are as follows:
p T T S I * = p 1 T S I * = p 2 T S I * = a ( 9 + 2 β ) + ( 3 + β ) ( α + β + 2 η τ ) 2 ( 9 + 5 β ) m T S I * = β ( 9 a + 2 ( α + β + 2 η τ ) ) 2 ( 9 + 5 β ) D T T S I * = D 1 T S I * = 1 6 ( 3 a α β + 4 η τ + β ( 9 a + 2 ( α + β + 2 η τ ) ) 9 + 5 β ) D 2 T S I * = a ( 9 + 10 β ) + ( 3 + 5 β ) ( α + β + 2 η τ ) 2 ( 9 + 5 β )
Lemma 9.
(i) 
τ ( 0,1 ) , p T T S I * τ = p 1 T S I * τ = p 2 T S I * τ > 0 , m T S I * τ = g T S I * τ > 0 .
(ii) 
τ 0,1 ,   D T T S I * τ = D 1 T S I * τ > 0 . When 0 < β < 3 5 , D 2 T S I * τ < 0 , 3 5 < β < 1 , D 2 T S I * τ > 0 .
(iii) 
τ 1 ( 0,1 ) , when   τ ( 0 , τ 1 ) , π R T S I * τ < 0 . When τ ( τ 1 , 1 ) , π R T S I * τ > 0 .   τ 2 0,1 , when τ ( 0 , τ 2 ) , π R T S I * τ > 0 , when τ τ 1 , 1   , π R T S I * τ < 0 .
Lemma 9 is illustrated in Figure 19, Figure 20 and Figure 21. Contrary to the conclusion of Lemma 3, when a retailer sells goods through three channels, the prices are the same, and all increase as the spillover effect increases. Additionally, when commission rates are low, the spillover effect increases, causing the demand for influencer live-streaming digital channels to decrease. In contrast, high commission rates result in the opposite effect. Furthermore, with the increase in spillover effect, retail income is also different from that in Lemma 3. It initially decreases and then increases. The reason is that when channel pricing is consistent, competition among channels is reduced to some degree. Influencers can increase demand for the other two channels when the spillover effect is small. To motivate the influencer to promote the product better, the retailer increases the influencer’s commission. Due to the low spillover effect at this time and the price increase, the demand for influencer live-streaming has decreased. The retailer’s income is declining at this time. As the spillover effect increases, regardless of the influencer commission, the increase in offline and self-live-streaming demand can offset the loss of higher commission rates or reduced demand for influencer live-streaming. Therefore, when the spillover effect exceeds a certain threshold, the retailer’s income shows an upward trend. In contrast to the retailer, the influencer’s revenue has changed in the opposite direction. If the spillover effect is low, the retailer gives a higher commission to expand market demand. Despite lower demand in the channel, higher commissions can compensate for revenue loss, so total revenue increases. However, if the spillover effect is high, rising prices or demand may not be able to offset the cost of input, reducing the overall return. Moreover, this explains why, in real life, when most influencers sell goods through live-streaming, they usually drive traffic for a short period to maximize their profitability.
Lemma 10.
When the commission rate is not high, retailers are willing to introduce the influencer live-streaming channel regardless of the size of the spillover effect. The medium commission rate and high spillover effect also motivate retailers to introduce influencer live-streaming.
Lemma 10 is illustrated in Figure 22. According to Lemma 9, a retailer can increase the profit margin by increasing all prices when the commission rate is low, provided that the spillover effect is present. Although retailer revenue is squeezed by the increase in commission rates, revenue is still higher than without the influencer live-streaming channel. In this case, the retailer is also willing to introduce influencer marketing. A similar practice is observed by some retailers in reality who operate offline channels, as well as self-live-streaming digital channels, such as Suning, the domestic beauty brand Huaxizi, etc. Upon signing the agreement with the influencer, income has increased significantly.
The study results indicate that incorporating a live-streaming channel with influencers could boost consumer interest and lessen the requirement for physical stores in line, with sustainability objectives on a scale. Businesses have the opportunity to partner strategically with influencers to endorse eco-friendly products and broaden the inclusive marketing outreach of eco-friendly business performance by increasing engagement and profitability. By utilizing platforms and streamlining logistics processes to cut down on energy usage and environmental impact retailers can work towards reducing their carbon footprint. Moreover, the capacity to draw in customers via tailored influencer initiatives encourages consumer habits by endorsing friendly products in a more effective and captivating way.
Under several game scenarios and offline channels, in this section, we examine decision-making dynamics and spillover and commission rates. Influencers use penetration pricing at low commission rates to boost demand, but excessive commission rates can hurt retailers. Adding offline channels reveals that spillover effects affect pricing, demand, and income. Influencer collaborations are useful due to low commission rates and substantial spillover benefits, but expensive costs may restrict profitability. Strategic influencer collaborations improve eco-friendly product promotion, aligning with sustainability goals while increasing engagement, minimizing environmental impact, and increasing revenue.

7. Results

7.1. Scenario Analysis

Retailers using self-live-streaming platforms must balance price increases against demand elasticity to stay profitable in Scenario S . In scenarios D N and D S , influencer channels change the dynamic, with spillover effects affecting channel interactions and pricing tactics. Table 2 summarizes key results for each scenario.

7.2. Impact of Commission Rates on Equilibrium Pricing

Our data shows that commission rates considerably impact equilibrium pricing and influencer effort. Moderate commission rates let retailers utilize influencers without overspending, while high commission rates might cause channel conflicts and lower profit.

7.3. Spillover Effects

Scenario D S shows that spillover effects boost demand for self-live-streaming channels, especially at medium-to-high commission rates. However, overusing spillover effects without pricing adjustments might reduce profitability.

7.4. Implications for Managers

These implications present practical, actionable insights to managers, addressing a critical gap in the literature that this study addresses.

7.4.1. Impact

Balancing commission rates and utilizing spillover effects are key to sustainable growth. Retailers should maximize influencer and self-live-streaming channel synergies and carefully manage pricing strategies to avoid channel conflicts.

7.4.2. Channel Strategy

Managers should consider their target audience, commission rates, and spillover effects before introducing influencer live-streaming channels. Dual-channel methods can boost sales and brand visibility with modest commission rates and high spillover. Blindly embracing influencer methods without considering their compatibility with corporate goals could result in excessive costs and channel conflicts.

7.4.3. Pricing Decisions

Retailers should use channel-specific dynamic pricing. For instance, skimming pricing works best for influencer channels with modest commission rates and strong spillover effects. Use penetration pricing in self-live-streaming channels to boost demand and market share during high commission rates.

7.4.4. Leveraging Spillover Effects

By connecting influencer marketing and self-live-streaming goals, managers can maximize dual-channel synergy. Sustainable growth can be achieved by employing influencers for high-impact marketing and establishing devoted audiences in self-live channels.

7.4.5. Resource Allocation

Build a strong in-house live-streaming team by training shop streamers. This eliminates long-term dependence on influencers and improves brand messaging and consumer interaction.

7.4.6. Sustainability and Inclusivity

Managers should promote eco-friendly and inclusive products through influencer marketing. Promoting sustainability can attract socially conscious consumers and follow global ethical purchase trends.
This section highlights the results of pricing, commission rates, and spillover effects in live-streaming e-commerce. Scenario analysis shows that self-live-streaming is cost-efficient, although influencers can boost demand but require careful commission rate and spillover management. High commission rates risk channel conflicts and lower revenue, whereas moderate rates optimize influencer efforts. Spillover effects increase self-channel demand but reduce returns if overdone. Managerial consequences include commission rate balance, spillover synergies, and customized pricing. Retailers could train in-house teams to limit influencer use, promote eco-friendly products, and match marketing with sustainability and inclusion goals.

8. Conclusions

In the era of digital e-commerce, the use of digital platforms plays a critical role in digital transformation for sustainability, reducing physical resources, and promoting eco-friendly practices. Live streaming has become increasingly popular among both retailers and consumers. Live-streaming digital channels are available to retailers in two types: self-streaming and influencer-streaming. By considering the characteristics of the influencer, we construct the digital supply chain structure in three scenarios.
In this paper, we constructed three different digital supply chain structures for sustainability based on influencer characteristics: single digital channel ( S ), dual-digital-channel structure without spillover effect ( D N ), and dual-digital-channel structure with spillover effect ( D S ). Stackelberg game models were constructed to study behavioral decisions, pricing decisions, and channel preferences. Additionally, we extended the model to analyze decision-making and channel preferences under different power structures and when considering an offline channel. This paper draws the following conclusions: Firstly, influencer live-streaming pricing is affected by the influencer’s effort and is not always cheaper than self-streaming digital channels. Secondly, when a spillover effect occurs, the influencer live-streaming pricing strategy is highly influenced by commission rates. Retailers implement a skimming price strategy when commission rates are modest. Otherwise, a penetration pricing strategy is adopted. However, the self-live-streaming channel is the opposite. In addition, the extension of the analysis indicates that both the influencer and the retailer tend to possess bargaining power under low commission rates. Last but not least, there is an interesting conclusion regarding channel introduction strategies: retailers may be willing to launch an influencer live-streaming channel if the cross-price coefficient is medium and the commission rate is low. It is still preferred by retailers when the cross-price coefficient and spillover effect are high.
The interaction between the retailer and the influencer is investigated. We solve and analyze the equilibrium decision, and profit, and explore the retailer’s channel introduction strategy. This paper provides some theoretical insight into managing the live-streaming e-commerce supply chain. It also offers new research perspectives that can help retailers select channels more effectively and maintain stable business models over time. Overall, the findings suggest that incorporating influencer marketing not only drives immediate sales but also contributes to long-term sustainable business performance by promoting socially inclusive products and reaching previously untapped markets.
For each scenario, we derive the equilibrium price decision, input effort, demand, and profit for the retailer and influencer. In addition, we discuss the results of the game and channel introduction strategies under different power structures, as well as when an offline store is considered. In scenario D N , we find that the equilibrium selling price for the influencer live-streaming channel depends on the influencer’s effort. However, this price is not consistently cheaper than the self-streaming channel. This point overturns the traditional perception that “the influencer carries the goods for cheaper”. Additionally, commission rates strongly influence channel pricing strategies when spillover effects are present. For influencer live-streaming, the retailer will adopt a skimming pricing strategy with low commission rates. Otherwise, a penetration pricing strategy will be applied. In contrast, the self-live-streaming room is the opposite. For a medium commission rate, retailer earnings are favorable due to the increased spillover effect. In terms of channel strategy introduction, we find an interesting conclusion: When cross-price coefficients and commission rates are medium, retailers will introduce influencer live-streaming digital channels regardless of spillover effect size. This strategy is still preferred by retailers when cross-price correlations and spillover effects are high. It contradicts traditional points of view. Furthermore, the extended analysis reveals that influencers with bargaining power can make a profit even if their commission rate is modest. as well as retailers. Thus, profits will fluctuate on prior dominance. As an offline channel exists, a high commission rate given to the influencer will result in a higher selling price, lowering sales for the influencer’s live-streaming channel. It damages the influencer’s profit. Thus, an appropriate commission rate is an essential element of successful business practices. According to [33], the impact of spillover effects on commerce can greatly affect decisions in the sustainable supply chain realm such as pricing strategies and allocation of demand. The study’s results indicate business performance where the establishment of an influencer’s live-streaming channel can boost demand in self-streaming digital channels through spillover effects for enhanced business performance and sustainable growth.
This paper provides some management information for retailers considering the implementation of a live-streaming sales strategy. First, as rational players, retailers should consider whether their original business model needs to be supplemented by an influencer live-streaming channel. It is not always beneficial to launch an influencer live-streaming channel. Retail channel introduction strategies are affected by commission rates, price sensitivity coefficients, and spillover effects. An economic benefit can be derived from the introduction of influencer live-streaming if the commission is medium, and consumers are not price-sensitive. Therefore, it may be a wise idea for retailers selling daily necessities to collaborate with influencers to promote their products efficiently. Additionally, retailers can also benefit from adding a new channel when the spillover effect and cross-price sensitivity coefficient are high. Therefore, if the commission rate is reasonable, retailers (such as those selling beauty products) can consider working with influencers with large followings and high conversion rates to expand their market. In contrast, if the influencer live-streaming channel is launched blindly, it could produce lower economic returns.
In addition, we also provide some conducive insights concerning live-streaming e-commerce supply chain management. For long-term development, retailers should refrain from relying on the concept of “lowest price” as a selling point when using influencer marketing. The focus of their company is on the introduction of high-quality products. Ensure multidimensional improvement of “sales, market share, and brand awareness”. Secondly, when spillover effects exist, commission rates significantly influence pricing strategies. The retailer should use a skimming pricing strategy in the influencer live-streaming room when commission rates are modest. Otherwise, a penetration pricing strategy should be adopted. However, the self-live-streaming room pricing is the opposite. When commission rates are modest, retailers can amplify their revenue margins by skimming pricing, leveraging influencers’ huge-volume effects. When the commission rate is high, retailers prefer a penetration pricing strategy to increase brand awareness and expand the consumer market rapidly. However, this move is not without risk. The higher the commission paid to the influencer, the more detrimental it is to the retailer. It has been observed that influencers’ emotional and professional efforts are positively correlated with commission rates. However, their benefits do not change in a positive proportion with respect to the commission rate. Thus, retailers should set a reasonable commission rate for influencers when signing up. Reasonable commission rates can motivate influencers. In addition, it protects retailer revenues directly and indirectly mitigates channel conflicts and competition. Third, retailers can forge relationships with popular and skilled influencers at the pre-development stage. Profits and sales can improve in some circumstances. Then, the store streamer should strive to convert volume customers into merchandise brand customers. As the brand builds influence, the retailer can gradually reduce cooperation with influencers to reduce the customer’s dependence on them. To increase customer stickiness, retailers should improve their self-broadcast capabilities and increase the number of self-broadcast slots. Lastly, influencers should strengthen their professional competence. Relevant teams should raise the threshold, and improve training, to ensure a healthy and sustainable coexistence with retailers.
Finally, to simplify, the behavioral characteristics are not considered in this paper. However, in reality, these factors may also affect channel sales and pricing. Additionally, we ignore the effect of consumer utility on digital supply chain decisions. In addition, retailers and influencers might form partnerships to improve their profits. Generally, the above are both limitations and worthwhile extensions of live-streaming e-commerce research.
In summary of the study findings revealed here, the paper emphasizes how live-streaming e-commerce can boost sustainable supply chain effectiveness and support eco-friendly business performance by increasing engagement and profitability. Pairing influencer marketing, with dual-digital-channel tactics allows retailers to cut down on carbon emissions and boost interactions with customers. Through a focus on practices for lasting profitability, the research provides a blueprint for companies to align financial goals, with environmental targets within the ever-changing digital realm. By utilizing dual-digital-channel strategies, retailers can lower their environmental impact, contributing to both ecological sustainability and enhanced customer engagement through inclusive digital communication. This study underscores the critical role that inclusive marketing strategies play in enhancing business performance within the live-streaming e-commerce landscape. By integrating sustainable practices, such as reducing carbon footprints through digital platforms, businesses can meet the growing demand for social inclusion and environmental responsibility.
The study reveals the strategic use of dual-channel structures in live e-commerce, the influence of commission rates, and spillover effects in the process of increasing profitability and sustainability. It provides a new lens through which to view dual-channel dynamics, demonstrating that the spillover effect from influencer channels not only impacts pricing strategies but also fosters greater societal inclusivity by reaching previously untapped consumer segments. These contributions offer a strategic roadmap for leveraging dual-channel structures in sustainable e-commerce.
As compared to previous research, the incorporation of spillover effects into the dual-channel approach enhances the present work and offers new contributions. The results of this study also contradict prior beliefs held in the context of influencer channel cost-effectiveness, thus providing a new theoretical framework for pricing and strategy for live-streaming e-commerce.
This study provides valuable insights for live e-commerce managers. They emphasize merging influencer and self-live-streaming strategies to balance revenue and sustainability. Managers can improve channel performance and growth by using personalized pricing strategies and spillover effects. Investment in self-live-streaming and sustainability can boost digital market competitiveness.
This study has implications for emerging markets and diverse industrial sectors thus having significant findings. Retailers in emerging markets should use the dual-channel approach and engage the native influencers along with developing self-live-streaming skills so that the organization’s dependence on external partners is not prolonged in the future. It could also assist the fashion and cosmetics industries which are highly dependent on the visual appeal and the trust of consumers with the price strategies and commission rate control. When applied to these methods with respect to local market characteristics, legal requirements, and technical potentials, the effectiveness and sustainability of such strategies will be enhanced.

8.1. Future Empirical Validations and Research Directions

The theoretical framework should be empirically tested on live e-commerce platforms like Amazon Live or TikTok. Retailer and influencer strategies, commission rates, sales performance, and consumer interaction indicators should be collected over 6–12 months. Regression analysis and structural equation modeling can validate proposed models and modify parameters for real-world complications.
Digital retailers and supply chain managers should therefore align commission rates and leverage on dual-channel collaborations as the study reveals. Leveraging the study’s findings the stores can use to formulate sustainable business strategies and adapt to growing economies or high-engagement markets such as fashion and electronics.
Future studies should use longitudinal data from live e-commerce platforms to empirically validate our findings and improve their practicality. Real-world details like consumer preferences, regulatory factors, and technological advances will enrich the theoretical framework.
Regulatory changes and technological advances greatly affect live e-commerce dynamics. Stronger data privacy rules or AI-driven content production may change influencer marketing and customer behavior. Future studies should simulate these external factors to strengthen the theoretical framework.
While this study focuses on universal dynamics in live e-commerce, cultural and demographic characteristics may affect dual-channel strategies’ efficacy. Influencer marketing may work better in collectivist settings because consumers trust community-endorsed products, whereas individualistic cultures prefer self-live-streaming platforms for individualized interactions. Age and technological adoption rates may also influence influencer-driven versus self-driven channel preferences. To apply our findings to varied marketplaces, future studies should empirically evaluate these nuances.

8.2. Study Limitations

The model accounts for commission rates, spillover effects, and power structures, but not consumer-specific variables like perceived utility and demand elasticity. These factors may improve the model’s prediction power and reveal customer decision-making intricacies. Future studies should empirically test these factors.
One limitation of this theoretical investigation is that it uses mathematical simulations. To check the models’ practicality and enhance them to account for market-specific variables like customer behavior and external factors like regulatory changes, empirical validation is needed.

Author Contributions

Conceptualization: R.D.; Methodology: R.D.; Software: R.D.; Validation: R.D.; Formal analysis: R.D.; Investigation: X.Z.; Resources: X.Z.; Data curation: R.D.; Writing—original draft preparation: R.D.; Writing—review and editing: X.Z.; Visualization: X.Z.; Supervision: X.Z.; Project administration: X.Z.; Funding acquisition: R.D. All authors have read and agreed to the published version of the manuscript.

Funding

This research was funded by Postgraduate Research & Practice Innovation Program of Jiangsu Province, grant number KYCX23_1281.

Institutional Review Board Statement

Not applicable.

Informed Consent Statement

Not applicable.

Data Availability Statement

This study’s mathematical models and simulation scripts are available from the corresponding author upon reasonable request, assuring transparency and reproducibility.

Conflicts of Interest

The authors declare no conflicts of interest.

References

  1. China Internet Network Information Center. The 53rd Statistical Report on China’s Internet Development. Available online: https://www.cnnic.net.cn (accessed on 8 May 2024).
  2. Geng, R.; Wang, S.; Chen, X.; Song, D.; Yu, J. Content marketing in e-commerce platforms in the Internet celebrity economy. Ind. Manag. Data Syst. 2020, 120, 464–485. [Google Scholar] [CrossRef]
  3. Shaikh, Z.A.; Khoja, S.A. Towards guided personal learning environments: Concept, theory, and practice. In Proceedings of the 2014 IEEE 14th International Conference on Advanced Learning Technologies, Athens, Greece, 7–10 July 2014; pp. 782–784. [Google Scholar]
  4. Obrenovic, B.; Obrenovic, S. Game Analysis of Google’s Information Dissemination Strategy in China: A New Perspective for Knowledge Engineering. Syst. Eng. Procedia 2012, 3, 333–339. [Google Scholar] [CrossRef]
  5. Fan, W.; Wu, X.; He, Q. Digitalization drives green transformation of supply chains: A two-stage evolutionary game analysis. Ann. Oper. Res. 2024, 1–20. [Google Scholar] [CrossRef]
  6. Pan, R.; Feng, J.; Zhao, Z. Fly with the wings of live-stream selling—Channel strategies with/without switching demand. Prod. Oper. Manag. 2022, 31, 3387–3399. [Google Scholar] [CrossRef]
  7. Zhen, X.; Xu, S.; Li, Y.; Shi, D. When and how should a retailer use third-party platform channels? The impact of spillover effects. Eur. J. Oper. Res. 2022, 301, 624–637. [Google Scholar] [CrossRef]
  8. Alqahtani, N.; Uslay, C. Entrepreneurial marketing and firm performance: Synthesis and conceptual development. J. Bus. Res. 2020, 113, 62–71. [Google Scholar] [CrossRef]
  9. Carvalho, J.S.; Graham, B.; Rebelo, H.; Bocksberger, G.; Meyer, C.F.J.; Wich, S.; Kühl, H.S. A global risk assessment of primates under climate and land use/cover scenarios. Glob. Chang. Biol. 2019, 25, 3163–3178. [Google Scholar] [CrossRef]
  10. Alaei, A.M.; Taleizadeh, A.A.; Rabbani, M. Marketplace, reseller, or web-store channel: The impact of return policy and cross-channel spillover from marketplace to web-store. J. Retail. Consum. Serv. 2022, 65, 102271. [Google Scholar] [CrossRef]
  11. Zhang, T.; Shaikh, Z.A.; Yumashev, A.V.; Chłąd, M. Applied model of E-learning in the framework of education for sustainable development. Sustainability 2020, 12, 6420. [Google Scholar] [CrossRef]
  12. Leung, F.F.; Gu, F.F.; Li, Y.; Zhang, J.Z.; Palmatier, R.W. Influencer marketing effectiveness. J. Mark. 2022, 86, 93–115. [Google Scholar] [CrossRef]
  13. Laghari, A.A.; Zhang, X.; Shaikh, Z.A.; Khan, A.; Estrela, V.V.; Izadi, S. A review on quality of experience (QoE) in cloud computing. J. Reliab. Intell. Environ. 2024, 10, 107–121. [Google Scholar] [CrossRef]
  14. Liu, W.; Liang, Y.; Tang, O.; Ma, X. Channel competition and collaboration in the presence of hybrid retailing. Transp. Res. Part E Logist. Transp. Rev. 2022, 160, 102658. [Google Scholar] [CrossRef]
  15. Shaikh, Z.A.; Khoja, S.A. Identifying measures to foster teachers’ competence for personal learning environment conceived teaching scenarios: A Delphi study. In Proceedings of the 13th annual conference on Information Technology Education, New York, NY, USA, 11–13 October 2012; pp. 127–132. [Google Scholar]
  16. Matsui, K. When should a manufacturer set its direct price and wholesale price in dual-channel supply chains? Eur. J. Oper. Res. 2017, 258, 501–511. [Google Scholar] [CrossRef]
  17. Wang, W.; Li, G.; Cheng, T.C.E. Channel selection in a supply chain with a multi-channel retailer: The role of channel operating costs. Int. J. Prod. Econ. 2016, 173, 54–65. [Google Scholar] [CrossRef]
  18. Shaikh, Z.A.; Datsyuk, P.; Baitenova, L.M.; Belinskaja, L.; Ivolgina, N.; Rysmakhanova, G.; Senjyu, T. Effect of the COVID-19 pandemic on renewable energy firm’s profitability and capitalization. Sustainability 2022, 14, 6870. [Google Scholar] [CrossRef]
  19. Zhang, W.; Yu, L.; Wang, Z. Live stream selling modes on a retail platform. Transp. Res. Part E Logist. Transp. Rev. 2023, 173, 103096. [Google Scholar] [CrossRef]
  20. Jiang, Y.; Liu, L.; Lim, A. Optimal pricing decisions for an omni-channel supply chain with retail service. Int. Trans. Oper. Res. 2020, 27, 2927–2948. [Google Scholar] [CrossRef]
  21. Niu, B.; Li, J.; Zhang, J.; Cheng, H.K.; Tan, Y.R. Strategic analysis of dual sourcing and dual channel with an unreliable alternative supplier. Prod. Oper. Manag. 2019, 28, 570–587. [Google Scholar] [CrossRef]
  22. Liu, Z.; Jian, X.; Sadiq, T.; Shaikh, Z.A.; Alfarraj, O.; Alblehai, F.; Tolba, A. Promoted Osprey Optimizer: A solution for ORPD problem with electric vehicle penetration. Sci. Rep. 2024, 14, 28052. [Google Scholar] [CrossRef] [PubMed]
  23. Shaikh, Z.A.; Laghari, A.A.; Litvishko, O.; Litvishko, V.; Kalmykova, T.; Meynkhard, A. Liquid-phase deposition synthesis of ZIF-67-derived synthesis of Co3O4@ TiO2 composite for efficient electrochemical water splitting. Metals 2021, 11, 420. [Google Scholar] [CrossRef]
  24. Sun, L.; Jiao, X.; Guo, X.; Yu, Y. Pricing policies in dual distribution channels: The reference effect of official prices. Eur. J. Oper. Res. 2022, 296, 146–157. [Google Scholar] [CrossRef]
  25. Xu, J.; Zhou, X.; Zhang, J.; Long, D.Z. The optimal channel structure with retail costs in a dual-channel supply chain. Int. J. Prod. Res. 2021, 59, 47–75. [Google Scholar] [CrossRef]
  26. Wang, W.; Korschun, D. Spillover of social responsibility associations in a brand portfolio. J. Prod. Brand Manag. 2015, 24, 596–609. [Google Scholar] [CrossRef]
  27. Song, H.; Lu, Q.; Yu, K.; Qian, C. How do knowledge spillover and access in supply chain network enhance SMEs’ credit quality? Ind. Manag. Data Syst. 2019, 119, 274–291. [Google Scholar] [CrossRef]
  28. Nichols, B.S.; Stolze, H.; Kirchoff, J.F. Spillover effects of supply chain news on consumers’ perceptions of product quality: An examination within the triple bottom line. J. Oper. Manag. 2019, 65, 536–559. [Google Scholar] [CrossRef]
  29. Yang, J.; Qin, H.; Por, L.Y.; Shaikh, Z.A.; Alfarraj, O.; Tolba, A.; Elghatwary, M.; Thwin, M. Optimizing diabetic retinopathy detection with inception-V4 and dynamic version of snow leopard optimization algorithm. Biomed. Signal Process. Control 2024, 96, 106501. [Google Scholar] [CrossRef]
  30. Chen, H.; Wei, N.; Wang, L.; Mubarak, W.; Albahar, M.A.; Shaikh, Z.A. The Role of Blockchain in Finance Beyond Cryptocurrency: Trust, Data Management, and Automation. IEEE Access 2024, 12, 64861–64885. [Google Scholar] [CrossRef]
  31. Amit, M.; Subodha, K.; Jagmohan, S.R. Competitive Strategies for Brick-and-Mortar Stores to Counter “Showrooming”. Manag. Sci. 2017, 64, 3076–3090. [Google Scholar] [CrossRef]
  32. Li, G.; Li, L.; Sun, J. Pricing and service effort strategy in a dual-channel supply chain with showrooming effect. Transp. Res. Part E Logist. Transp. Rev. 2019, 126, 32–48. [Google Scholar] [CrossRef]
  33. Chai, L.; Wu, D.D.; Dolgui, A.; Duan, Y. Pricing strategy for B&M store in a dual-channel supply chain based on hoteling model. Int. J. Prod. Res. 2021, 59, 5578–5591. [Google Scholar] [CrossRef]
  34. Pun, H.; Chen, J.; Li, W. Channel strategy for manufacturers in the presence of service free riders. Eur. J. Oper. Res. 2020, 287, 460–479. [Google Scholar] [CrossRef]
  35. Lin, H.; Bruning, P.F.; Swarna, H. Using online opinion leaders to promote the hedonic and utilitarian value of products and services. Bus. Horiz. 2018, 61, 431–442. [Google Scholar] [CrossRef]
  36. Fan, T.; Wang, L.; Song, Y. Impact of live commerce spillover effect on supply chain decisions. Ind. Manag. Data Syst. 2022, 122, 1109–1127. [Google Scholar] [CrossRef]
  37. Farivar, S.; Wang, F. Effective influencer marketing: A social identity perspective. J. Retail. Consum. Serv. 2022, 67, 103026. [Google Scholar] [CrossRef]
  38. Pozharliev, R.; Rossi, D.; De Angelis, M. A picture says more than a thousand words: Using consumer neuroscience to study Instagram users’ responses to influencer advertising. Psychol. Mark. 2022, 39, 1336–1349. [Google Scholar] [CrossRef]
  39. Ahmad, H.; Shahab, S.; Mobarak, W.F.; Dutta, A.K.; Abolelmagd, Y.M.; Shaikh, Z.A.; Anjum, M. Convergence results for cyclic-orbital contraction in a more generalized setting with application. AIMS Math. 2024, 9, 15543–15558. [Google Scholar] [CrossRef]
  40. Kay, S.; Mulcahy, R.; Parkinson, J. When less is more: The impact of macro and micro social media influencers’ disclosure. J. Mark. Manag. 2020, 36, 248–278. [Google Scholar] [CrossRef]
  41. Kim, D.Y.; Kim, H. Influencer advertising on social media: The multiple inference model on influencer-product congruence and sponsorship disclosure. J. Bus. Res. 2021, 130, 405–415. [Google Scholar] [CrossRef]
  42. Lee, M.T.; Theokary, C. The superstar social media influencer: Exploiting linguistic style and emotional contagion over content? J. Bus. Res. 2021, 132, 860–871. [Google Scholar] [CrossRef]
  43. Kousar, A.; Ahmad, J.; Ijaz, K.; Yousef, A.; Shaikh, Z.A.; Khosa, I.; Anjum, M. MLHS-CGCapNet: A Lightweight Model for Multilingual Hate Speech Detection. IEEE Access 2024, 12, 106631–106644. [Google Scholar] [CrossRef]
  44. Shaikh, Z.A.; Hajjej, F.; Uslu, Y.D.; Yuksel, S.; Dinçer, H.; Alroobaea, R.; Chinta, U. A new trend in cryptographic information security for industry 5.0: A systematic review. IEEE Access 2024, 12, 7156–7169. [Google Scholar] [CrossRef]
  45. Campbell, C.; Farrell, J.R. More than meets the eye: The functional components underlying influencer marketing. Bus. Horiz. 2020, 63, 469–479. [Google Scholar] [CrossRef]
  46. Xin, B.; Hao, Y.; Xie, L. Strategic product showcasing mode of e-commerce live streaming. J. Retail. Consum. Serv. 2023, 73, 103360. [Google Scholar] [CrossRef]
  47. He, Y.; Chen, L.; Mu, J.; Ullah, A. Optimal contract design for live streaming shopping in a manufacturer–retailer–streamer supply chain. Electron. Commer. Res. 2022, 24, 1071–1093. [Google Scholar] [CrossRef]
  48. Yihong Hu, S.Q.G.L. Power structure and channel integration strategy for online retailers. Eur. J. Oper. Res. 2019, 294, 951–964. [Google Scholar] [CrossRef]
  49. Akhund, T.M.N.U.; Shaikh, Z.A.; De La Torre Díez, I.; Gafar, M.; Ajabani, D.H.; Alfarraj, O.; López, L.A.D. IoST-Enabled Robotic Arm Control and Abnormality Prediction Using Minimal Flex Sensors and Gaussian Mixture Models. IEEE Access 2024, 12, 45265–45278. [Google Scholar] [CrossRef]
  50. Rahim, N.F.B.A.; Khang, A.W.Y.; Hassan, A.; Elias, S.J.; Gani, J.A.M.; Jasmis, J.; Alsayaydeh, J.A.J. Channel Congestion Control in VANET for Safety and Non-Safety Communication: A Review. In Proceedings of the 2021 6th IEEE International Conference on Recent Advances and Innovations in Engineering (ICRAIE), Kedah, Malaysia, 1–3 December 2021; pp. 1–6. [Google Scholar] [CrossRef]
  51. Mikhaylov, A.; Dinçer, H.; Yüksel, S.; Pinter, G.; Shaikh, Z.A. Bitcoin mempool growth and trading volumes: Integrated approach based on QROF multi-SWARA and aggregation operators. J. Innov. Knowl. 2023, 8, 100378. [Google Scholar] [CrossRef]
  52. Alsayaydeh, J.A.J.; Indra, W.A.; Khang, A.W.Y.; Shkarupylo, V.; Jkatisan, D.A.P.P. Development of Vehicle Ignition Using Fingerprint. ARPN J. Eng. Appl. Sci. 2019, 14, 4045–4053. [Google Scholar]
  53. Li, G.; Tian, L.; Zheng, H. Information sharing in an online marketplace with competitive sellers. Prod. Oper. Manag. 2021, 30, 3713–3734. [Google Scholar] [CrossRef]
  54. Shkarupylo, V.V.; Blinov, I.V.; Chemeris, A.A.; Dusheba, V.V.; Alsayaydeh, J.A.J. On applicability of model checking technique in power systems and electric power industry. In Systems, Decision and Control in Energy III; Springer International Publishing: Cham, Switzerland, 2022; pp. 3–21. [Google Scholar] [CrossRef]
  55. Fedorchenko, I.; Oliinyk, A.; Alsayaydeh, J.A.J.; Kharchenko, A.; Stepanenko, A.; Shkarupylo, V. Modified genetic algorithm to determine the location of the distribution power supply networks in the city. ARPN J. Eng. Appl. Sci. 2020, 15, 2850–2867. [Google Scholar] [CrossRef]
Figure 1. Game decision sequence.
Figure 1. Game decision sequence.
Sustainability 16 10985 g001
Figure 2. The effect of β on selling prices under scenario D N .
Figure 2. The effect of β on selling prices under scenario D N .
Sustainability 16 10985 g002
Figure 3. The effect of β on the input effort of the influencer under scenario D N .
Figure 3. The effect of β on the input effort of the influencer under scenario D N .
Sustainability 16 10985 g003
Figure 4. The effect of β on the channel demand under scenario D N .
Figure 4. The effect of β on the channel demand under scenario D N .
Sustainability 16 10985 g004
Figure 5. The effect of γ on selling price under scenario D N .
Figure 5. The effect of γ on selling price under scenario D N .
Sustainability 16 10985 g005
Figure 6. The effect of γ on the input effort of the influencer under scenario D N .
Figure 6. The effect of γ on the input effort of the influencer under scenario D N .
Sustainability 16 10985 g006
Figure 7. The effect of γ on the channel demand under scenario D N .
Figure 7. The effect of γ on the channel demand under scenario D N .
Sustainability 16 10985 g007
Figure 8. The Effect of τ on Selling Prices under Scenario D S .
Figure 8. The Effect of τ on Selling Prices under Scenario D S .
Sustainability 16 10985 g008
Figure 9. The effect of τ on retailer’s profit under scenario D S ( β = 0.3 ).
Figure 9. The effect of τ on retailer’s profit under scenario D S ( β = 0.3 ).
Sustainability 16 10985 g009
Figure 10. The Effect of τ on retailer’s profit under Scenario D S .
Figure 10. The Effect of τ on retailer’s profit under Scenario D S .
Sustainability 16 10985 g010
Figure 11. The Effect of τ on influencer’s profit under Scenario D S .
Figure 11. The Effect of τ on influencer’s profit under Scenario D S .
Sustainability 16 10985 g011
Figure 12. The retailer’s channel preference.
Figure 12. The retailer’s channel preference.
Sustainability 16 10985 g012
Figure 13. The retailer’s channel preference ( γ = 0.3 ).
Figure 13. The retailer’s channel preference ( γ = 0.3 ).
Sustainability 16 10985 g013
Figure 14. The retailer’s channel preference ( γ = 0.5 ).
Figure 14. The retailer’s channel preference ( γ = 0.5 ).
Sustainability 16 10985 g014
Figure 15. The retailer’s channel preference ( γ = 0.6 ).
Figure 15. The retailer’s channel preference ( γ = 0.6 ).
Sustainability 16 10985 g015
Figure 16. The effect of τ on selling prices.
Figure 16. The effect of τ on selling prices.
Sustainability 16 10985 g016
Figure 17. The Effect of τ on channel demand.
Figure 17. The Effect of τ on channel demand.
Sustainability 16 10985 g017
Figure 18. The effect of β on dominant preference in games.
Figure 18. The effect of β on dominant preference in games.
Sustainability 16 10985 g018
Figure 19. The effect of τ on selling prices.
Figure 19. The effect of τ on selling prices.
Sustainability 16 10985 g019
Figure 20. The Effect of τ on D 2 T S I * .
Figure 20. The Effect of τ on D 2 T S I * .
Sustainability 16 10985 g020
Figure 21. The effect of τ on profits.
Figure 21. The effect of τ on profits.
Sustainability 16 10985 g021
Figure 22. The retailer’s channel preference.
Figure 22. The retailer’s channel preference.
Sustainability 16 10985 g022
Table 1. Summary of notations.
Table 1. Summary of notations.
NotationDescription
m i Influencer professional input efforts i 1,2
g i Influencer’s emotional input efforts i 1,2
τ Spillover effect (0 < τ   < 1)
η Consumer sensitivity to spillover effects
γ Cross-price sensitivity coefficient between channels
F The store anchor’s fixed fee
α The unit commission of the anchor of the store anchor’s unit commission ( α   ∈ (0,1))
μ The influencer’s compensation coefficient of the spillover effect
β The influencer unit commission ( β   ∈ (0,1))
Q The influencer’s fixed fee
a The initial market demand share of the self-live-streaming channel
p 0 The selling price on the single channel
p 1 The selling price on the self-live-streaming channel
p 2 The selling price on the influencer live-streaming channel
D 0 The demand in the single channel
D 1 The demand in the self-live-streaming channel
D 2 The demand in the influencer live-streaming channel
π R j The retailer’s profit j S , D N , D S
π I j The influencer’s profit j S , D N , D S
Table 2. Key findings from scenarios.
Table 2. Key findings from scenarios.
ScenarioKey Findings
S Pricing increases reduce demand; self-live-streaming channels require cost-efficiency improvements.
D N Moderate commission rates drive influencer effort; demand varies based on cross-price sensitivity.
D S Spillover effects enhance self-channel demand; high commission rates can erode retailer profits.
Disclaimer/Publisher’s Note: The statements, opinions and data contained in all publications are solely those of the individual author(s) and contributor(s) and not of MDPI and/or the editor(s). MDPI and/or the editor(s) disclaim responsibility for any injury to people or property resulting from any ideas, methods, instructions or products referred to in the content.

Share and Cite

MDPI and ACS Style

Zhu, X.; Deng, R. Inclusive and Sustainable Supply Chain Strategies in Live E-Commerce: The Role of Influencer Marketing and Spillover Effects. Sustainability 2024, 16, 10985. https://doi.org/10.3390/su162410985

AMA Style

Zhu X, Deng R. Inclusive and Sustainable Supply Chain Strategies in Live E-Commerce: The Role of Influencer Marketing and Spillover Effects. Sustainability. 2024; 16(24):10985. https://doi.org/10.3390/su162410985

Chicago/Turabian Style

Zhu, Xiaodong, and Ruiting Deng. 2024. "Inclusive and Sustainable Supply Chain Strategies in Live E-Commerce: The Role of Influencer Marketing and Spillover Effects" Sustainability 16, no. 24: 10985. https://doi.org/10.3390/su162410985

APA Style

Zhu, X., & Deng, R. (2024). Inclusive and Sustainable Supply Chain Strategies in Live E-Commerce: The Role of Influencer Marketing and Spillover Effects. Sustainability, 16(24), 10985. https://doi.org/10.3390/su162410985

Note that from the first issue of 2016, this journal uses article numbers instead of page numbers. See further details here.

Article Metrics

Back to TopTop