Meso-Scale Impacts of the Urban Structure Metrics on PM2.5 in China
Abstract
1. Introduction
2. Materials and Methods
2.1. Study Areas
2.2. Data Collection and Preprocessing
2.3. Exploring the Associations of the Urban Structure Metrics and PM2.5
2.3.1. Pearson Correlation Coefficient (PCC)
2.3.2. Dominance Analysis (DA)
2.3.3. Ordinary Least Squares Regression (OLSR)
3. Results
3.1. Spatial Distribution of Building Heights in Xi’an, Wuhan, Taiyuan, and Lanzhou
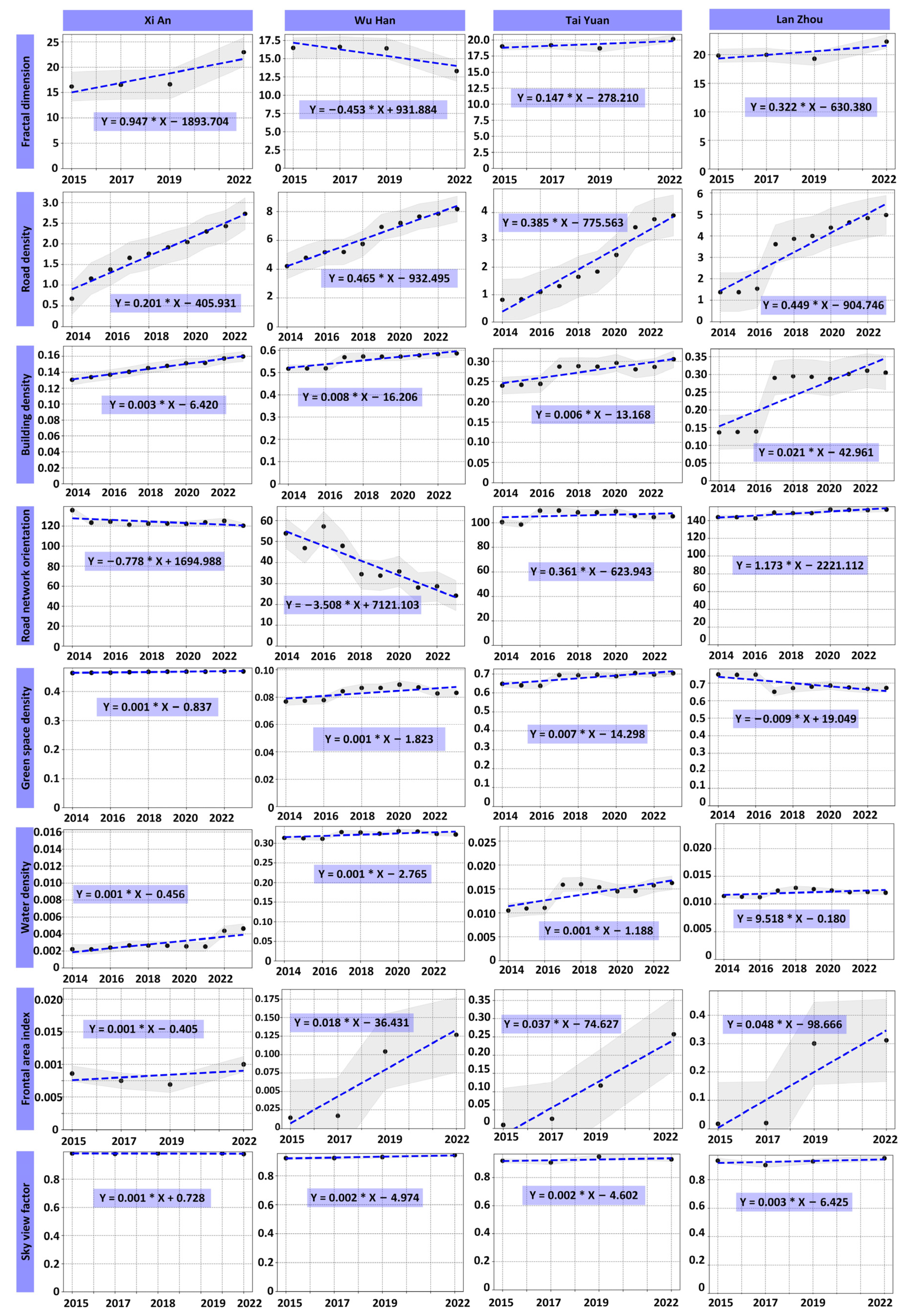
3.2. Trends in Urban Spatial Structure Changes in Xi’an, Wuhan, Taiyuan, and Lanzhou from 2014 to 2022
3.3. The Impact of Urban Structure on PM2.5 in Xi’an, Wuhan, Taiyuan, and Lanzhou
3.4. Urban-Structure Specific PM2.5 Estimates
4. Discussion
5. Conclusions
Author Contributions
Funding
Institutional Review Board Statement
Informed Consent Statement
Data Availability Statement
Conflicts of Interest
Appendix A
| Interactional Dominance | Individual Dominance | Average Partial Dominance | Total Dominance | Percentage Relative Importance | |
|---|---|---|---|---|---|
| BD | 0.033119 | 0.548383 | 0.112586 | 0.157127 | 18.905338 |
| RD | 0.007453 | 0.64593 | 0.087315 | 0.147159 | 17.705979 |
| WD | 0.002055 | 0.572829 | 0.06065 | 0.117348 | 14.119148 |
| ROTATION | 0.046785 | 0.521877 | 0.051256 | 0.109525 | 13.177899 |
| GD | 0.000767 | 0.491664 | 0.04724 | 0.096984 | 11.668985 |
| SVF | 0.000141 | 0.325233 | 0.065305 | 0.089651 | 10.786664 |
| F | 0.000483 | 0.316994 | 0.043648 | 0.07242 | 8.713526 |
| FAI | 0.000387 | 0.133069 | 0.032306 | 0.040912 | 4.922462 |
| Interactional Dominance | Individual Dominance | Average Partial Dominance | Total Dominance | Percentage Relative Importance | |
|---|---|---|---|---|---|
| BD | 0.438806 | 0.088673 | 0.236884 | 0.243598 | 25.781301 |
| RD | 0.282061 | 0.18963 | 0.183921 | 0.196902 | 20.839202 |
| WD | 0.006849 | 0.361006 | 0.135383 | 0.147519 | 15.612716 |
| ROTATION | 0.080146 | 0.161074 | 0.139324 | 0.134645 | 14.250236 |
| GD | 0.076454 | 0.103763 | 0.077221 | 0.080443 | 8.513723 |
| SVF | 0.01745 | 0.175008 | 0.059713 | 0.068842 | 7.285904 |
| F | 0.044643 | 0.031081 | 0.0414 | 0.040515 | 4.287943 |
| FAI | 0.097428 | 0.010076 | 0.025281 | 0.032399 | 3.428975 |
| Interactional Dominance | Individual Dominance | Average Partial Dominance | Total Dominance | Percentage Relative Importance | |
|---|---|---|---|---|---|
| BD | 0.29172 | 0.619323 | 0.328601 | 0.360331 | 38.556519 |
| RD | 0.12396 | 0.453945 | 0.163059 | 0.194532 | 20.815532 |
| WD | 0.041082 | 0.207114 | 0.11931 | 0.120507 | 12.894614 |
| ROTATION | 0.070644 | 0.021418 | 0.071952 | 0.065471 | 7.005639 |
| GD | 0.021212 | 0.124839 | 0.062092 | 0.064825 | 6.936494 |
| SVF | 0.091248 | 0.077508 | 0.04689 | 0.056262 | 6.020238 |
| F | 0.009749 | 0.04726 | 0.040533 | 0.037526 | 4.015379 |
| FAI | 0.004887 | 0.046344 | 0.038259 | 0.035098 | 3.755585 |
| Interactional Dominance | Individual Dominance | Average Partial Dominance | Total Dominance | Percentage Relative Importance | |
|---|---|---|---|---|---|
| BD | 0.042874 | 1 | 0.435757 | 0.457177 | 45.717695 |
| RD | 0 | 0.383265 | 0.169529 | 0.175055 | 17.50548 |
| WD | 0 | 0.126522 | 0.115457 | 0.102408 | 10.240763 |
| ROTATION | 0 | 0.065367 | 0.106771 | 0.088249 | 8.824932 |
| GD | 0 | 0.002617 | 0.104697 | 0.07885 | 7.884982 |
| SVF | 0 | 0.087012 | 0.047673 | 0.046631 | 4.663126 |
| F | 0 | 0.032787 | 0.031866 | 0.027998 | 2.799805 |
| FAI | 0 | 0.00328 | 0.030963 | 0.023632 | 2.363216 |
References
- Borrego, C.; Martins, H.; Tchepel, O.; Salmim, L.; Monteiro, A.; Miranda, A.I. How urban structure can affect city sustainability from an air quality perspective. Environ. Model. Softw. 2006, 21, 461–467. [Google Scholar] [CrossRef]
- Martilli, A. An idealized study of city structure, urban climate, energy consumption, and air quality. Urban Clim. 2014, 10, 430–446. [Google Scholar] [CrossRef]
- Rodríguez, M.C.; Dupont-Courtade, L.; Oueslati, W. Air pollution and urban structure linkages: Evidence from European cities. Renew. Sustain. Energy Rev. 2016, 53, 1–9. [Google Scholar] [CrossRef]
- Zang, Z.; Guo, Y.; Jiang, Y.; Zuo, C.; Li, D.; Shi, W.; Yan, X. Tree-based ensemble deep learning model for spatio-temporal surface ozone (O₃) prediction and interpretation. Int. J. Appl. Earth Obs. Geoinf. 2021, 103, 102516. [Google Scholar]
- Fisher, D.R.; Campbell, L.K.; Svendsen, E.S. The organisational structure of urban environmental stewardship. Environ. Politics 2012, 21, 26–48. [Google Scholar] [CrossRef]
- Roca Cladera, J.; Marmolejo Duarte, C.R.; Moix, M. Urban structure and polycentrism: Towards a redefinition of the sub-centre concept. Urban Stud. 2009, 46, 2841–2868. [Google Scholar]
- Parr, J.B. The regional economy, spatial structure and regional urban systems. Reg. Stud. 2014, 48, 1926–1938. [Google Scholar] [CrossRef]
- Chen, N.; Akar, G. How do socio-demographics and built environment affect individual accessibility based on activity space? Evidence from Greater Cleveland, Ohio. J. Transp. Land Use 2017, 10, 477–503. [Google Scholar] [CrossRef]
- Garcia-López, M.À. Urban spatial structure, suburbanization and transportation in Barcelona. J. Urban Econ. 2012, 72, 176–190. [Google Scholar] [CrossRef]
- Fielbaum, A.; Jara-Diaz, S.; Gschwender, A. Optimal public transport networks for a general urban structure. Transp. Res. Part B Methodol. 2016, 94, 298–313. [Google Scholar] [CrossRef]
- Hasanzadeh, K.; Kyttä, M.; Brown, G. Beyond housing preferences: Urban structure and actualisation of residential area preferences. Urban Sci. 2019, 3, 21. [Google Scholar] [CrossRef]
- Dunse, N.; Thanos, S.; Bramley, G. Planning policy, housing density and consumer preferences. J. Prop. Res. 2013, 30, 221–238. [Google Scholar] [CrossRef]
- Briffault, R. The rise of sublocal structures in urban governance. Minn. L. Rev. 1997, 82, 503. [Google Scholar]
- Borraz, O.; Le Galès, P. Urban governance in Europe: The government of what? Pôle Sud 2010, 32, 137–151. [Google Scholar] [CrossRef]
- Wang, F.; Dong, M.; Ren, J.; Luo, S.; Zhao, H.; Liu, J. The impact of urban spatial structure on air pollution: Empirical evidence from China. Environ. Dev. Sustain. 2022, 24, 5531–5550. [Google Scholar] [CrossRef]
- Zuo, C.; Chen, J.; Zhang, Y.; Jiang, Y.; Liu, M.; Liu, H.; Zhao, W.; Yan, X. Evaluation of four meteorological reanalysis datasets for satellite-based PM₂.₅ retrieval over China. Atmos. Environ. 2023, 305, 119795. [Google Scholar] [CrossRef]
- Badach, J.; Wojnowski, W.; Gębicki, J. Spatial aspects of urban air quality management: Estimating the impact of micro-scale urban form on pollution dispersion. Comput. Environ. Urban Syst. 2023, 99, 101890. [Google Scholar] [CrossRef]
- Lu, C.; Liu, Y. Effects of China’s urban form on urban air quality. Urban Stud. 2016, 53, 2607–2623. [Google Scholar] [CrossRef]
- Li, F.; Zhou, T. Effects of urban form on air quality in China: An analysis based on the spatial autoregressive model. Cities 2019, 89, 130–140. [Google Scholar] [CrossRef]
- Li, F.; Zhou, T.; Lan, F. Relationships between urban form and air quality at different spatial scales: A case study from northern China. Ecol. Indic. 2021, 121, 107029. [Google Scholar] [CrossRef]
- Frantzeskaki, N.; Kabisch, N. Designing a knowledge co-production operating space for urban environmental governance—Lessons from Rotterdam, Netherlands and Berlin, Germany. Environ. Sci. Policy 2016, 62, 90–98. [Google Scholar] [CrossRef]
- Foo, K. Examining the role of NGOs in urban environmental governance. Cities 2018, 77, 67–72. [Google Scholar] [CrossRef]
- Li, G.; He, Q.; Shao, S.; Cao, J. Environmental non-governmental organizations and urban environmental governance: Evidence from China. J. Environ. Manag. 2018, 206, 1296–1307. [Google Scholar] [CrossRef] [PubMed]
- Cui, X.; Fang, C.; Liu, H.; Liu, X. Assessing sustainability of urbanization by a coordinated development index for an Urbanization-Resources-Environment complex system: A case study of Jing-Jin-Ji region, China. Ecol. Indic. 2019, 96, 383–391. [Google Scholar] [CrossRef]
- Yang, C.; Su, Q.; Liang, J. Conflict or Coordination? A Coupling Study of China’s Population–Urbanization–Ecological Environment. Appl. Sci. 2024, 14, 7539. [Google Scholar] [CrossRef]
- Lian, H.; Lejano, R.P. Interpreting institutional fit: Urbanization, development, and China’s “land-lost”. World Dev. 2014, 61, 1–10. [Google Scholar] [CrossRef]
- Shi, Y.; Zhu, Q.; Xu, L.; Lu, Z.; Wu, Y.; Wang, X.; Fei, Y.; Deng, J. Independent or influential? Spatial-temporal features of coordination level between urbanization quality and urbanization scale in China and its driving mechanism. Int. J. Environ. Res. Public Health 2020, 17, 1587. [Google Scholar] [CrossRef]
- Ye, C.; Zhuang, L. Disorder or Reorder? The Spatial Production of State-Level New Areas in China. In Urbanization and Production of Space: A Multi-Scalar Empirical Study Based on China’s Cases; Springer Nature: Singapore, 2023; pp. 71–89. [Google Scholar]
- Han, Y.; Zhang, J.; Lyu, H. Disorder, Coordination and Regional Differences of Core Elements in China’s Urbanization. For. Chem. Rev. 2022, 767–785. [Google Scholar]
- Fang, C.; Yu, D. Urban agglomeration: An evolving concept of an emerging phenomenon. Landsc. Urban Plan. 2017, 162, 126–136. [Google Scholar] [CrossRef]
- Li, L.; Ma, S.; Zheng, Y.; Xiao, X. Integrated regional development: Comparison of urban agglomeration policies in China. Land Use Policy 2022, 114, 105939. [Google Scholar] [CrossRef]
- Fang, C. Important progress and future direction of studies on China’s urban agglomerations. J. Geogr. Sci. 2015, 25, 1003–1024. [Google Scholar] [CrossRef]
- Zhang, J.; Xie, Y.; Luan, B.; Chen, X. Urban macro-level impact factors on Direct CO2 Emissions of urban residents in China. Energy Build. 2015, 107, 131–143. [Google Scholar] [CrossRef]
- Fan, Q.; Yang, S.; Liu, S. Asymmetrically spatial effects of urban scale and agglomeration on haze pollution in China. Int. J. Environ. Res. Public Health 2019, 16, 4936. [Google Scholar] [CrossRef] [PubMed]
- Weber, S.A.; Insaf, T.Z.; Hall, E.S.; Talbot, T.O.; Huff, A.K. Assessing the impact of fine particulate matter (PM2. 5) on respiratory-cardiovascular chronic diseases in the New York City Metropolitan area using Hierarchical Bayesian Model estimates. Environ. Res. 2016, 151, 399–409. [Google Scholar] [CrossRef]
- Lee, C. Impacts of multi-scale urban form on PM2.5 concentrations using continuous surface estimates with high-resolution in US metropolitan areas. Landsc. Urban Plan. 2020, 204, 103935. [Google Scholar] [CrossRef]
- Su, H.; Han, G.; Li, L.; Qin, H. The impact of macro-scale urban form on land surface temperature: An empirical study based on climate zone, urban size and industrial structure in China. Sustain. Cities Soc. 2021, 74, 103217. [Google Scholar] [CrossRef]
- Artmann, M.; Inostroza, L.; Fan, P. Urban sprawl, compact urban development and green cities. How much do we know, how much do we agree? Ecol. Indic. 2019, 96, 3–9. [Google Scholar] [CrossRef]
- Riebsame, W.E.; Meyer, W.B.; Turner, B.L. Modeling land use and cover as part of global environmental change. Clim. Chang. 1994, 28, 45–64. [Google Scholar] [CrossRef]
- Meyfroidt, P.; Lambin, E.F.; Erb, K.-H.; Hertel, T.W. Globalization of land use: Distant drivers of land change and geographic displacement of land use. Curr. Opin. Environ. Sustain. 2013, 5, 438–444. [Google Scholar] [CrossRef]
- Tang, Z.; Engel, B.; Pijanowski, B.; Lim, K. Forecasting land use change and its environmental impact at a watershed scale. J. Environ. Manag. 2005, 76, 35–45. [Google Scholar] [CrossRef]
- Xu, X.D.; Zhou, X.J.; Shi, X.H. Spatial structure and scale feature of the atmospheric pollution source impact of city agglomeration. Sci. China Ser. D-Earth Sci. 2005, 48 (Suppl. II), 1–24. [Google Scholar]
- Li, T.; Li, Z.; Zou, A.; Cheng, S.; Wang, X.; Matomela, N. Study of regional air pollutant dispersion scenarios and atmospheric capacity changes based on spatial structure analysis of source intensity—The case of Hohhot, China. Air Qual. Atmos. Health 2023, 16, 127–147. [Google Scholar] [CrossRef]
- Wu, Y.; Chen, H. The diffusion of traffic pollutants in different residential blocks based on spatial morphological clustering. Build. Environ. 2023, 228, 109860. [Google Scholar] [CrossRef]
- Feng, W.; Ding, W.; Fei, M.; Yang, Y.; Zou, W.; Wang, L.; Zhen, M. Effects of traditional block morphology on wind environment at the pedestrian level in cold regions of Xi’an, China. Environ. Dev. Sustain. 2021, 23, 3218–3235. [Google Scholar] [CrossRef]
- Guo, Q.; Wang, Y.; Zhang, Y.; Yi, M.; Zhang, T. Environmental migration effects of air pollution: Micro-level evidence from China. Environ. Pollut. 2022, 292, 118263. [Google Scholar] [CrossRef]
- Nasir, Z.A.; Colbeck, I. Particulate air pollution in transport micro-environments. J. Environ. Monit. 2009, 11, 1140–1146. [Google Scholar] [CrossRef] [PubMed]
- Zhou, S.; Lin, R. Spatial-temporal heterogeneity of air pollution: The relationship between built environment and on-road PM2.5 at micro scale. Transp. Res. Part D Transp. Environ. 2019, 76, 305–322. [Google Scholar] [CrossRef]
- Voordeckers, D.; Lauriks, T.; Denys, S.; Billen, P.; Tytgat, T.; Van Acker, M. Guidelines for passive control of traffic-related air pollution in street canyons: An overview for urban planning. Landsc. Urban Plan. 2021, 207, 103980. [Google Scholar] [CrossRef]
- Diener, A.; Mudu, P. How can vegetation protect us from air pollution? A critical review on green spaces’ mitigation abilities for air-borne particles from a public health perspective-with implications for urban planning. Sci. Total Environ. 2021, 796, 148605. [Google Scholar] [CrossRef]
- Hu, H.; Yang, Q.; Lu, X.; Wang, W.; Wang, S.; Fan, M. Air pollution and control in different areas of China. Crit. Rev. Environ. Sci. Technol. 2010, 40, 452–518. [Google Scholar] [CrossRef]
- Yang, J.; Shi, B.; Shi, Y.; Marvin, S.; Zheng, Y.; Xia, G. Air pollution dispersal in high density urban areas: Research on the triadic relation of wind, air pollution, and urban form. Sustain. Cities Soc. 2020, 54, 101941. [Google Scholar] [CrossRef]
- Shi, Y.; Xie, X.; Fung, J.C.-H.; Ng, E. Identifying critical building morphological design factors of street-level air pollution dispersion in high-density built environment using mobile monitoring. Build. Environ. 2018, 128, 248–259. [Google Scholar] [CrossRef]
- Castells-Quintana, D.; Dienesch, E.; Krause, M. Air pollution in an urban world: A global view on density, cities and emissions. Ecol. Econ. 2021, 189, 107153. [Google Scholar] [CrossRef]
- Hang, J.; Li, Y.; Sandberg, M.; Buccolieri, R.; DI Sabatino, S. The influence of building height variability on pollutant dispersion and pedestrian ventilation in idealized high-rise urban areas. Build. Environ. 2012, 56, 346–360. [Google Scholar] [CrossRef]
- Aristodemou, E.; Boganegra, L.M.; Mottet, L.; Pavlidis, D.; Constantinou, A.; Pain, C.; Robins, A.; ApSimon, H. How tall buildings affect turbulent air flows and dispersion of pollution within a neighbourhood. Environ. Pollut. 2018, 233, 782–796. [Google Scholar] [CrossRef]
- Venter, Z.S.; Hassani, A.; Stange, E.; Schneider, P.; Castell, N. Reassessing the role of urban green space in air pollution control. Proc. Natl. Acad. Sci. USA 2024, 121, e2306200121. [Google Scholar] [CrossRef]
- Liu, H.L.; Shen, Y.S. The impact of green space changes on air pollution and microclimates: A case study of the Taipei metropolitan area. Sustainability 2014, 6, 8827–8855. [Google Scholar] [CrossRef]
- Cariolet, J.-M.; Colombert, M.; Vuillet, M.; Diab, Y. Assessing the resilience of urban areas to traffic-related air pollution: Application in Greater Paris. Sci. Total Environ. 2018, 615, 588–596. [Google Scholar] [CrossRef]
- Forehead, H.; Huynh, N. Review of modelling air pollution from traffic at street-level—The state of the science. Environ. Pollut. 2018, 241, 775–786. [Google Scholar] [CrossRef]
- Yuan, C.; Ng, E.; Norford, L.K. Improving air quality in high-density cities by understanding the relationship between air pollutant dispersion and urban morphologies. Build. Environ. 2014, 71, 245–258. [Google Scholar] [CrossRef]
- Ng, E.; Yuan, C.; Chen, L.; Ren, C.; Fung, J.C. Improving the wind environment in high-density cities by understanding urban morphology and surface roughness: A study in Hong Kong. Landsc. Urban Plan. 2011, 101, 59–74. [Google Scholar] [CrossRef] [PubMed]
- Du, Y.; Mak, C.M. Improving pedestrian level low wind velocity environment in high-density cities: A general framework and case study. Sustain. Cities Soc. 2018, 42, 314–324. [Google Scholar] [CrossRef] [PubMed]
- Xia, Q.; Niu, J.; Liu, X. Dispersion of air pollutants around buildings: A review of past studies and their methodologies. Indoor Built Environ. 2014, 23, 201–224. [Google Scholar] [CrossRef]
- Tominaga, Y.; Stathopoulos, T. CFD simulation of near-field pollutant dispersion in the urban environment: A review of current modeling techniques. Atmos. Environ. 2013, 79, 716–730. [Google Scholar] [CrossRef]
- Ganji, A.; Minet, L.; Weichenthal, S.; Hatzopoulou, M. Predicting traffic-related air pollution using feature extraction from built environment images. Environ. Sci. Technol. 2020, 54, 10688–10699. [Google Scholar] [CrossRef]
- Guo, F.; Wang, Z.; Ji, S.; Lu, Q. Influential nodes identification in the air pollution spatial correlation weighted networks and collaborative governance: Taking China’s three urban agglomerations as examples. Int. J. Environ. Res. Public Health 2022, 19, 4461. [Google Scholar] [CrossRef]
- Ahn, H.; Lee, J.; Hong, A. Urban form and air pollution: Clustering patterns of urban form factors related to particulate matter in Seoul, Korea. Sustain. Cities Soc. 2022, 81, 103859. [Google Scholar] [CrossRef]
- Wang, S.; Yu, D.; Ma, X.; Xing, X. Analyzing urban traffic demand distribution and the correlation between traffic flow and the built environment based on detector data and POIs. Eur. Transp. Res. Rev. 2018, 10, 50. [Google Scholar] [CrossRef]
- Wang, F.; Peng, Y.; Jiang, C. Influence of road patterns on PM2.5 concentrations and the available solutions: The case of Beijing City, China. Sustainability 2017, 9, 217. [Google Scholar] [CrossRef]
- Wu, J.; Luo, K.; Wang, Y.; Wang, Z. Urban road greenbelt configuration: The perspective of PM2.5 removal and air quality regulation. Environ. Int. 2021, 157, 106786. [Google Scholar] [CrossRef]
- Jin, S.; Guo, J.; Wheeler, S.; Kan, L.; Che, S. Evaluation of impacts of trees on PM2.5 dispersion in urban streets. Atmos. Environ. 2014, 99, 277–287. [Google Scholar] [CrossRef]
- Chen, M.; Dai, F.; Yang, B.; Zhu, S. Effects of urban green space morphological pattern on variation of PM2.5 concentration in the neighborhoods of five Chinese megacities. Build. Environ. 2019, 158, 1–15. [Google Scholar] [CrossRef]
- Zhu, Y.; Bai, Y.; Xiong, J.; Zhao, T.; Xu, J.; Zhou, Y.; Meng, K.; Meng, C.; Sun, X.; Hu, W. Mitigation Effect of Dense “Water Network” on Heavy PM2.5 Pollution: A Case Model of the Twain-Hu Basin, Central China. Toxics 2023, 11, 169. [Google Scholar] [CrossRef]
- Meng, M.R.; Cao, S.J.; Kumar, P.; Tang, X.; Feng, Z. Spatial distribution characteristics of PM2.5 concentration around residential buildings in urban traffic-intensive areas: From the perspectives of health and safety. Saf. Sci. 2021, 141, 105318. [Google Scholar] [CrossRef]
- Ke, B.; Hu, W.; Huang, D.; Zhang, J.; Lin, X.; Li, C.; Jin, X.; Chen, J. Three-dimensional building morphology impacts on PM2.5 distribution in urban landscape settings in Zhejiang, China. Sci. Total Environ. 2022, 826, 154094. [Google Scholar] [CrossRef]
- Fallah-Shorshani, M.; Shekarrizfard, M.; Hatzopoulou, M. Evaluation of regional and local atmospheric dispersion models for the analysis of traffic-related air pollution in urban areas. Atmos. Environ. 2017, 167, 270–282. [Google Scholar] [CrossRef]
- Li, X.X.; Liu, C.H.; Leung, D.Y.C. Numerical investigation of pollutant transport characteristics inside deep urban street canyons. Atmos. Environ. 2009, 43, 2410–2418. [Google Scholar] [CrossRef]
- He, Y.; Liu, Z.; Ng, E. Parametrization of irregularity of urban morphologies for designing better pedestrian wind environment in high-density cities—A wind tunnel study. Build. Environ. 2022, 226, 109692. [Google Scholar] [CrossRef]
- Amorim, J.; Rodrigues, V.; Tavares, R.; Valente, J.; Borrego, C. CFD modelling of the aerodynamic effect of trees on urban air pollution dispersion. Sci. Total Environ. 2013, 461, 541–551. [Google Scholar] [CrossRef]
- Liu, L.; He, H.; Zhu, Y.; Liu, J.; Wu, J.; Tan, Z.; Xie, H. Spatiotemporal Distribution Characteristics and Multi-Factor Analysis of Near-Surface PM2.5 Concentration in Local-Scale Urban Areas. Atmosphere 2023, 14, 1583. [Google Scholar] [CrossRef]
- Gong, F.Y.; Zeng, Z.C.; Zhang, F.; Li, X.; Ng, E.; Norford, L.K. Mapping sky, tree, and building view factors of street canyons in a high-density urban environment. Build. Environ. 2018, 134, 155–167. [Google Scholar] [CrossRef]
- Li, B.; Wang, P. A multi-task stations cooperative air quality prediction system for sustainable development. Humanit. Soc. Sci. Commun. 2024, 11, 1025. [Google Scholar] [CrossRef]
- Xie, Y.; Zhao, B.; Zhang, L.; Luo, R. Spatiotemporal variations of PM2.5 and PM10 concentrations between 31 Chinese cities and their relationships with SO2, NO2, CO and O3. Particuology 2015, 20, 141–149. [Google Scholar] [CrossRef]
- Wu, J.; Xie, W.; Li, W.; Li, J. Effects of urban landscape pattern on PM 2.5 pollution—A Beijing case study. PLoS ONE 2015, 10, e0142449. [Google Scholar] [CrossRef] [PubMed]
- Azen, R.; Traxel, N. Using dominance analysis to determine predictor importance in logistic regression. J. Educ. Behav. Stat. 2009, 34, 319–347. [Google Scholar] [CrossRef]
- Azen, R.; Budescu, D.V. The dominance analysis approach for comparing predictors in multiple regression. Psychol. Methods 2003, 8, 129–148. [Google Scholar] [CrossRef]
- Du, W.; Wang, J.; Zhang, S.; Fu, N.; Yang, F.; Wang, G.; Wang, Z.; Mao, K.; Shen, G.; Qi, M.; et al. Impacts of Chinese spring festival on household PM2.5 pollution and blood pressure of rural residents. Indoor Air 2021, 31, 1072–1083. [Google Scholar] [CrossRef]
- Yan, X.; Zuo, C.; Li, Z.; Chen, H.W.; Jiang, Y.; He, B.; Liu, H.; Chen, J.; Shi, W. Cooperative simultaneous inversion of satellite-based real-time PM2.5 and ozone levels using an improved deep learning model with attention mechanism. Environ. Pollut. 2023, 327, 121509. [Google Scholar] [CrossRef]
- Sharma, R.; Kumar, A. Determinants of quantification of tourism waste in the hilly terrain of Himalayas: A spatial approach. Waste Manag. 2023, 166, 46–57. [Google Scholar] [CrossRef]
- He, B.; Huang, J.V.; Kwok, M.K.; Yeung, S.L.A.; Hui, L.L.; Li, A.M.; Leung, G.M.; Schooling, C.M. The association of early-life exposure to air pollution with lung function at ~17.5 years in the “Children of 1997” Hong Kong Chinese Birth Cohort. Environ. Int. 2019, 123, 444–450. [Google Scholar] [CrossRef]
- Ministry of Construction of the People’s Republic of China. Code for Residential Buildings of the People’s Republic of China: GB 50368-2005; China Building Industry Press: Beijing, China, 2006. [Google Scholar]
- Bai, X.; Wu, W.; Liu, L.; Shang, W.; Dong, H. Spatio-Temporal Evolution and Implications of Urban Residential Space Based on the New Commercial Housing in Xi’an, China, 2006–2022. Sustainability 2024, 16, 8495. [Google Scholar] [CrossRef]
- Yuan, M.; Song, Y.; Huang, Y.; Shen, H.; Li, T. Exploring the association between the built environment and remotely sensed PM2.5 concentrations in urban areas. J. Clean. Prod. 2019, 220, 1014–1023. [Google Scholar] [CrossRef]
- Shi, Y.; Lau, K.K.L.; Ng, E. Developing street-level PM2.5 and PM10 land use regression models in high-density Hong Kong with urban morphological factors. Environ. Sci. Technol. 2016, 50, 8178–8187. [Google Scholar] [CrossRef] [PubMed]
- Poudenx, P. The effect of transportation policies on energy consumption and greenhouse gas emission from urban passenger transportation. Transp. Res. Part A Policy Pract. 2008, 42, 901–909. [Google Scholar] [CrossRef]
- Marshall, J.D.; McKone, T.E.; Deakin, E.; Nazaroff, W.W. Inhalation of motor vehicle emissions: Effects of urban population and land area. Atmos. Environ. 2005, 39, 283–295. [Google Scholar] [CrossRef]
- Zhou, X.; Zhang, S.; Zhu, D. Impact of urban water networks on microclimate and PM2.5 distribution in downtown areas: A case study of Wuhan. Build. Environ. 2021, 203, 108073. [Google Scholar] [CrossRef]
- Zhao, L.; Li, T.; Przybysz, A.; Guan, Y.; Ji, P.; Ren, B.; Zhu, C. Effect of urban lake wetlands and neighboring urban greenery on air PM10 and PM2.5 mitigation. Build. Environ. 2021, 206, 108291. [Google Scholar] [CrossRef]
- Costabile, F.; Allegrini, I. A new approach to link transport emissions and air quality: An intelligent transport system based on the control of traffic air pollution. Environ. Model. Softw. 2008, 23, 258–267. [Google Scholar] [CrossRef]
- Osorio, C.; Nanduri, K. Urban transportation emissions mitigation: Coupling high-resolution vehicular emissions and traffic models for traffic signal optimization. Transp. Res. Part B Methodol. 2015, 81, 520–538. [Google Scholar] [CrossRef]
- Fatang, K. Analysis of causes and countermeasures of traffic congestion problems on urban roads in Lanzhou City. Compr. Transp. 2024, 46, 184–188. [Google Scholar] [CrossRef]
- Colvile, R.; Hutchinson, E.; Mindell, J.; Warren, R. The transport sector as a source of air pollution. Atmos. Environ. 2001, 35, 1537–1565. [Google Scholar] [CrossRef]
- Wong, L.P.; Alias, H.; Aghamohammadi, N.; Ghadimi, A.; Sulaiman, N.M.N. Control measures and health effects of air pollution: A survey among public transportation commuters in Malaysia. Sustainability 2017, 9, 1616. [Google Scholar] [CrossRef]
- Engström, E.; Forsberg, B. Health impacts of active commuters’ exposure to traffic-related air pollution in Stockholm, Sweden. J. Transp. Health 2019, 14, 100601. [Google Scholar] [CrossRef]
- Zhang, Z.; Shan, B.; Lin, Q.; Chen, Y.; Yu, X. Influence of the spatial distribution pattern of buildings on the distribution of PM2.5 concentration. Stoch. Environ. Res. Risk Assess. 2022, 36, 985–997. [Google Scholar] [CrossRef]
- Lin, X.; Chamecki, M.; Yu, X. Aerodynamic and deposition effects of street trees on PM2. 5 concentration: From street to neighborhood scale. Build. Environ. 2020, 185, 107291. [Google Scholar] [CrossRef]
- Li, Z.; Fung, J.C.; Lau, A.K. High spatiotemporal characterization of on-road PM2. 5 concentrations in high-density urban areas using mobile monitoring. Build. Environ. 2018, 143, 196–205. [Google Scholar] [CrossRef]
- Bechle, M.J.; Millet, D.B.; Marshall, J.D. Effects of income and urban form on urban NO2: Global evidence from satellites. Environ. Sci. Technol. 2011, 45, 4914–4919. [Google Scholar] [CrossRef]
- Clark, L.P.; Millet, D.B.; Marshall, J.D. Air quality and urban form in US urban areas: Evidence from regulatory monitors. Environ. Sci. Technol. 2011, 45, 7028–7035. [Google Scholar] [CrossRef]
- Han, S.; Sun, B. Impact of population density on PM2.5 concentrations: A case study in Shanghai, China. Sustainability 2019, 11, 1968. [Google Scholar] [CrossRef]
- Wu, Q.; Cui, G. The differential characteristics of residential space in Nanjing and its mechanism. City Plan. Rev. 1999, 23, 23–35. [Google Scholar]
- Han, S.; Sun, B.; Zhang, T. Mono-and polycentric urban spatial structure and PM2.5 concentrations: Regarding the dependence on population density. Habitat Int. 2020, 104, 102257. [Google Scholar] [CrossRef]
- Kim, M.J.; Chang, Y.S.; Kim, S.M. Impact of income, density, and population size on PM2.5 pollutions: A scaling analysis of 254 large cities in six developed countries. Int. J. Environ. Res. Public Health 2021, 18, 9019. [Google Scholar] [CrossRef]
- Liu, Y.; He, L.; Qin, W.; Lin, A.; Yang, Y. The effect of urban form on PM2.5 concentration: Evidence from China’s 340 prefecture-level cities. Remote Sens. 2021, 14, 7. [Google Scholar] [CrossRef]
- Shi, K.; Wang, H.; Yang, Q.; Wang, L.; Sun, X.; Li, Y. Exploring the relationships between urban forms and fine particulate (PM2.5) concentration in China: A multi-perspective study. J. Clean. Prod. 2019, 231, 990–1004. [Google Scholar] [CrossRef]
- Liang, L.; Gong, P. Urban and air pollution: A multi-city study of long-term effects of urban landscape patterns on air quality trends. Sci. Rep. 2020, 10, 18618. [Google Scholar] [CrossRef]
- Zhao, X.; Zhou, W.; Wu, T.; Han, L. The impacts of urban structure on PM2.5 pollution depend on city size and location. Environ. Pollut. 2022, 292, 118302. [Google Scholar] [CrossRef]
- Yang, K.; Teng, M.; Luo, Y.; Zhou, X.; Zhang, M.; Sun, W.; Li, Q. Human activities and the natural environment have induced changes in the PM2.5 concentrations in Yunnan Province, China, over the past 19 years. Environ. Pollut. 2020, 265, 114878. [Google Scholar] [CrossRef]
- Bao, C.; Chai, P.; Lin, H.; Zhang, Z.; Ye, Z.; Gu, M.; Lu, H.; Shen, P.; Jin, M.; Wang, J.; et al. Association of PM2.5 pollution with the pattern of human activity: A case study of a developed city in eastern China. J. Air Waste Manag. Assoc. 2016, 66, 1202–1213. [Google Scholar] [CrossRef]







| Urban Structure Indicators | Calculation Formula | Data Source | |
|---|---|---|---|
| Road network orientation | (x2, y2) (x1, y2) are the relative coordinates of the two ends of a straight roadway. | OpenStreetMap road data | |
| Green space density | refers to the area of the study area, denotes area of green spaces in the study area. | Sentinel-2 10 m land use/land cover data | |
| Water density | refers to the area of the study area, denotes area of water spaces in the study area. | Sentinel-2 10 m land use/land cover data | |
| Sky view factor | means influence terrain height angle at azimuths n denotes the number of calculated azimuths. | GaoDeMap building data | |
| Frontal area index | means the windward area of a building in a particular direction The projection of the height of an object is represented as denotes the horizontal area (or total area) of the study area, is the wind weight coefficient. | GaoDeMap Building Data | |
| Fractal dimension | σ denotes the standard deviation of the height, denotes the average elevation of the building. | GaoDeMap building height data | |
| Building density | refers to the study area, denotes area of buildings in the study area. | Sentinel-2 10 m land use/land cover data | |
| Road density | refers to the study area, denotes the length of the road in the study area. | OpenStreetMap road data | |
Disclaimer/Publisher’s Note: The statements, opinions and data contained in all publications are solely those of the individual author(s) and contributor(s) and not of MDPI and/or the editor(s). MDPI and/or the editor(s) disclaim responsibility for any injury to people or property resulting from any ideas, methods, instructions or products referred to in the content. |
© 2024 by the authors. Licensee MDPI, Basel, Switzerland. This article is an open access article distributed under the terms and conditions of the Creative Commons Attribution (CC BY) license (https://creativecommons.org/licenses/by/4.0/).
Share and Cite
Hu, C.; Luo, N.; Cai, C.; Cui, Y.; Gao, H.; Yan, X. Meso-Scale Impacts of the Urban Structure Metrics on PM2.5 in China. Sustainability 2024, 16, 10807. https://doi.org/10.3390/su162410807
Hu C, Luo N, Cai C, Cui Y, Gao H, Yan X. Meso-Scale Impacts of the Urban Structure Metrics on PM2.5 in China. Sustainability. 2024; 16(24):10807. https://doi.org/10.3390/su162410807
Chicago/Turabian StyleHu, Chaonan, Nana Luo, Chao Cai, Yarui Cui, Hongtao Gao, and Xing Yan. 2024. "Meso-Scale Impacts of the Urban Structure Metrics on PM2.5 in China" Sustainability 16, no. 24: 10807. https://doi.org/10.3390/su162410807
APA StyleHu, C., Luo, N., Cai, C., Cui, Y., Gao, H., & Yan, X. (2024). Meso-Scale Impacts of the Urban Structure Metrics on PM2.5 in China. Sustainability, 16(24), 10807. https://doi.org/10.3390/su162410807

