Characterization of Polychlorinated Biphenyls in Transplanted Mussels (Mytilus galloprovincialis) and Surface Sediments from the Coastal Region of Nemrut Bay, Eastern Aegean Sea
Abstract
1. Introduction
2. Materials and Methods
2.1. Study Area and Sampling
2.2. Chemical Analysis
2.3. Quality Assurance and Quality Control
2.4. Condition Index
2.5. Statistical Analysis
3. Results and Discussion
3.1. The Organic Matter Content and Particle Size Distribution of the Sediment
3.2. Polychlorinated Biphenyls (PCBs) in Sediments
| Concentration | Location | Survey Year | Reference | |
|---|---|---|---|---|
| ΣPCBs ΣAroclor | 0.61–1.04 0.92–4.97 | Mediterranean Sea, Mersin Bay | 1980–2009 | [24] |
| Σi7PCBs | 81–640 | Aliaga, Eastern Aegean Coast | 2001 | [29] |
| ΣAr1254 ΣAr1260 | <LOD-513 <LOD-195 | Mediterranean Sea | 2003–2008 | [25,26,27,28] |
| Σi6PCBs ΣPCBs | 0.013–483 0.018–540 | Istanbul strait, Marmara Sea | 2007 | [31] |
| ΣPCBs ΣAroclor | 2.90–85.4 5.96–91.4 | İzmit Bay, Marmara Sea | 2008 | [30] |
| ΣAroclor | <LOD-26 | Eastern Aegean Coast | 2008 | [10] |
| ΣAroclor | 2.8–205 | Candarli Gulf, Eastern Aegean Coast | 2009 | [11] |
| Σi7PCBs | 13.0–80 | Nemrut Bay, Aegean Sea | 2016 | This Study |
| ΣPCBs | 0.4–485 | Casco Bay, Maine, USA | 1991 | [43] |
| ΣPCBs | 0.9–1211 | Alexandria Harbor, Egypt | 1998 | [46] |
| ΣPCBs | 116–304 | Salton Sea, USA | 2000–2001 | [44] |
| ΣPCBs | 0.52–1.65 | Venice Lagoon (Adriatic Sea) | 2000 | [40] |
| ΣPCBs | 2–1684 | Mar Piccolo, Southern Italy | 2001 | [45] |
| ΣPCBs | <LOD-442 | Caribbean Sea | - | [48] |
| ΣPCBs | 0.3–8.4 | Western Adriatic Sea coastal areas | 2001 | [41] |
| Σi7PCBs | 11.5–792 | Cortiou outfall, Marseille | 2010 | [49] |
| ΣPCBs | 0.027–8.69 | Portuguese coast | 2011 | [34] |
| ΣPCBs | 0.038–1.2 | Crete, Eastern Mediterranean Sea | 2006–2011 | [35] |
| ΣPCBs | 0.71–74 | Baltic Sea | 2010 | [32] |
| ΣPCBs | <LOD-9.0 | Adriatic Sea | 2013 | [42] |
| ΣPCBs | 0.04–3.45 | Gulf of Finland and Neva Estuary | 2011–2012 | [37] |
| ΣPCBs | 7.06–75 | Egyptian Mediterranean coast | 2010 | [33] |
| Σi7PCBs | 0.28–7.72 | Hooghly estuary, India | - | [38] |
| ΣPCBs | 5.15–11.7 0.77–4.80 | Hangzhou Bay South China Sea | 2019 | [39] |
| ΣPCBs | 0.05–3.74 | Northwest Spanish Atlantic coast | 2016 | [36] |
| Σi6PCBs | <LOD-485 | Makran Coast, Iran | 2017 | [47] |
3.3. Ecotoxicological Concerns for PCBs in Sediments
3.4. Condition Index of M. galloprovincialis Mussels
3.5. Polychlorinated Biphenyls (PCBs) in Mussels
3.6. Compositions and Sources of PCBs in Mussels
3.7. Risk Assessment
3.8. Seasonal and Spatial Variability in Concentrations of Seven Indicator PCBs
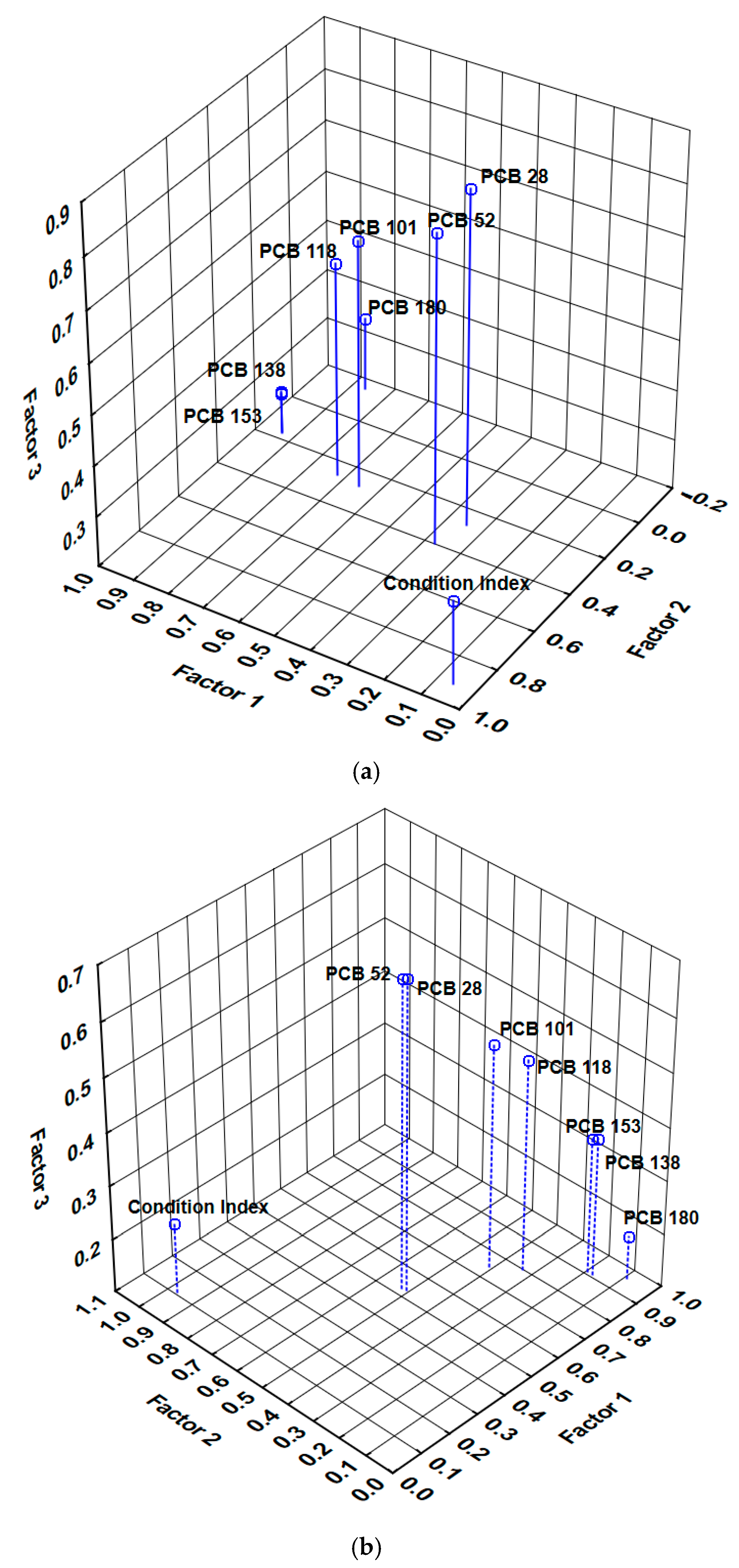
3.9. Factor Analysis
- The concentrations of PCBs 28, 52, 101, 118, 138, 153, and 180 are not correlated with a condition index.
- There are no differences in the bioaccumulation of PCBs 101, 118, 138, 153, and 180; however, PCB 28 and PCB 52 accumulate similarly and differ from other PCBs.
4. Conclusions
Supplementary Materials
Funding
Institutional Review Board Statement
Informed Consent Statement
Data Availability Statement
Acknowledgments
Conflicts of Interest
References
- Salem, D.M.A.; El Sikaily, A.; El Nemr, A. Organochlorines and their risk in marine shellfish collected from the Mediterranean coast, Egypt. Egypt. J. Aquat. Res. 2014, 40, 93–101. [Google Scholar] [CrossRef]
- Grimm, F.A.; Hu, D.; Kania-Korwel, I.; Lehmler, H.J.; Ludewig, G.; Hornbuckle, K.C.; Duffel, M.W.; Bergman, A.; Robertson, L.W. Metabolism and metabolites of polychlorinated biphenyls. Crit. Rev. Toxicol. 2015, 45, 245–272. [Google Scholar] [CrossRef] [PubMed]
- Iwata, H.; Tanabe, S.; Sakai, N.; Nishimura, A.; Tatsukawa, R. Geographical distribution of persistent organochlorines in air, water, and sediments from Asia and Oceania, and their implications for global redistribution from lower latitudes. Environ. Pollut. 1994, 85, 15–33. [Google Scholar] [CrossRef] [PubMed]
- Falandysz, J. Polychlorinated naphthalenes: An environmental update. Environ. Pollut. 1998, 101, 77–90. [Google Scholar] [CrossRef]
- Jones, K.C.; Alcock, R.E.; Kalantzi, O.I.; Thomas, G.O.; Asplund, L.; Kierkegaard, A. Environmental measurements and the global distribution of PBDEs. In Symposium of the Second International Workshop on Bromine Flame Retardants; Stockholm University: Stockholm, Sweden, 2001. [Google Scholar]
- Pompa, G.; Caloni, F.; Fracchiolla, M.L. Dioxin and PCB contamination of fish and shellfish: Assessment of human exposure. Review of the international situation. Vet. Res. Commun. 2003, 27, 159–167. [Google Scholar] [CrossRef]
- Domingo, J.L. Human exposure to polybrominated diphenyl ethers through the diet. J. Chromatogr. A 2004, 1054, 321–326. [Google Scholar] [CrossRef]
- Lauenstein, G.G.; Daskalakis, K.D. U.S. Long-term coastal contaminant temporal trends determined from mollusk monitoring programs, 1965–1993. Mar. Pollut. Bull. 1998, 37, 6–13. [Google Scholar] [CrossRef]
- Chase, M.E.; Jones, S.H.; Hennigar, P.; Sowles, J.; Harding, G.C.H.; Freeman, K.; Wells, P.G.; Krahforst, C.; Coombs, K.; Crawford, R.; et al. Gulfwatch: Monitoring Spatial and Temporal Patterns of Trace Metal and Organic Contaminants in the Gulf of Maine (1991–1997) with the Blue Mussel, Mytilus edulis L. Mar. Pollut. Bull. 2001, 42, 491–505. [Google Scholar] [CrossRef]
- Kucuksezgin, F.; Gonul, L.T. Distribution and ecological risk of organochlorine pesticides and polychlorinated biphenyls in surficial sediments from the Eastern Aegean. Mar. Pollut. Bull. 2012, 64, 2549–2555. [Google Scholar] [CrossRef]
- Pazi, I.; Kucuksezgin, F.; Gonul, L.T. Occurrence and distribution of organochlorine residues in surface sediments of the Candarli Gulf (Eastern Aegean). Mar. Pollut. Bull. 2012, 64, 2839–2843. [Google Scholar] [CrossRef]
- Güçlüsoy, H. Marine and coastal protected areas of Turkish Aegean coasts. In The Aegean Sea Marine Biodiversity, Fisheries, Conservation and Governance; Katağan, T., Tokaç, A., Beşiktepe, Ş., Öztürk, B., Eds.; Turkish Marine Research Foundation (TÜDAV): İstanbul, Türkiye, 2015; Volume 41, pp. 669–684. [Google Scholar]
- UNEP/FAO/IOC/IAEA. Guidelines for Monitoring Chemical Contaminants in the Sea Using Marine Organisms; Reference Method No. 6; UNEP: Athens, Greece, 1993. [Google Scholar]
- Güzel, B.; Canlı, O.; Aslan, E. Spatial distribution, source identification and ecological risk assessment of POPs and heavy metals in lake sediments of Istanbul, Turkey. Mar. Pollut. Bull. 2022, 175, 113172. [Google Scholar] [CrossRef] [PubMed]
- Hach. Procedure Water and Waste Water Analysis; Publication 3061; Hach: Loveland, CO, USA, 1988. [Google Scholar]
- Pampanin, D.M.; Camus, L.; Gomiero, A.; Marangon, I.; Volpato, E.; Nasci, C. Susceptibility to oxidative stress of mussels (Mytilus galloprovincialis) in the Venice Lagoon (Italy). Mar. Pollut. Bull. 2005, 50, 1548–1557. [Google Scholar] [CrossRef] [PubMed]
- Andral, B.; Stanisiere, J.Y.; Sauzade, D.; Damier, E.; Thebault, H.; Galgani, F.; Boissery, P. Monitoring chemical contamination levels in the Mediterranean based on the use of mussel caging. Mar. Pollut. Bull. 2004, 49, 704–712. [Google Scholar] [CrossRef]
- Pazi, I.; Kucuksezgin, F.; Kacar, A.; Gonul, L.T. Assessment of the effect of environmental pollution in a marina on caged mussels using chemical and genotoxic analysis. Chem. Ecol. 2016, 32, 756–773. [Google Scholar] [CrossRef]
- Andral, B.; Galgani, F.; Tomasino, C.; Bouchoucha, M.; Blottiere, C.; Scarpato, A.; Benedicto, J.; Deudero, S.; Calvo, M.; Cento, A.; et al. Chemical contamination baseline in the Western basin of the Mediterranean Sea based on transplanted mussels. Arch. Environ. Contam. Toxicol. 2011, 61, 261–271. [Google Scholar] [CrossRef] [PubMed]
- Carro, N.; Saavedra, Y.; García, I.; Ignacio, M.; Maneiro, J. Distribution patterns of polychlorinated biphenyl congeners in marine sediments and wild mussels from Galicia coast (northwestern Spain). J. Shellfish Res. 2000, 20, 1215–1221. [Google Scholar]
- EFSA. Results of the monitoring of non-dioxin-like PCBs in food and feed. Scientific report of EFSA. EFSA J. 2010, 8, 1701. [Google Scholar] [CrossRef]
- Baeyens, W.; Panutrakul, S.; Elskens, M.; Leermakers, M.; Navez, J.; Monteny, F. Geochemical processes in muddy and sandy tidal flat sediments. Geo-Mar. Lett. 1991, 11, 188–193. [Google Scholar] [CrossRef]
- Doyle, J.; Solberg, T.; Tiefenthaler, J.; O’brien, G.; Behnke, H.F.; Poulson, H.D.; Ela, J.P.; Willett, S.D. Consensus-Based Sediment Quality Guidelines; Recommendations for Use and Application Interim Guidance; Wisconsin Department of Natural Resources: Wisconsin, WI, USA, 2003. [Google Scholar]
- Gedik, K.; Imamoglu, I. A preliminary investigation of the environmental impact of a thermal power plant in relation to PCB contamination. Environ. Sci. Pollut. R. 2011, 18, 968–977. [Google Scholar] [CrossRef]
- Yemenicioglu, S.; Ediger, D.; Tugrul, S. Long Term Biomonitoring, Trend Monitoring and Compliance Monitoring Program in Coastal and Hot-Spot Areas from Northeastern Mediterranean (MEDPOL Phase III); Ministry of Environment and Forestry: Ankara, Türkiye, 2004. [Google Scholar]
- Tugrul, S.; Küçüksezgin, F.; Yemenicioglu, S. Long Term Biomonitoring, Trend Monitoring and Compliance Monitoring Program in Coastal and Hot-Spot Areas from Northeastern Mediterranean and Eutrophication Monitoring in Mersin Bay (MEDPOL Phase III); Ministry of Environment and Forestry: Ankara, Türkiye, 2005. [Google Scholar]
- Tugrul, S.; Küçüksezgin, F.; Yemenicioglu, S. Long Term Biomonitoring, Trend and Compliance Monitoring Program in Coastal Areas from Aegean, Northeastern Mediterranean and Eutrofication Monitoring in Mersin Bay (MEDPOL Phase IV); Ministry of Environment and Forestry: Ankara, Türkiye, 2007. [Google Scholar]
- Küçüksezgin, F. Long Term Biomonitoring, Trend and Compliance Monitoring Program in Coastal Areas from Aegean, Northeastern Mediterranean and Monitoring Eutrofication of Mersin Bay-Aegean Sea (MEDPOL Phase IV); Ministry of Environment and Forestry: Ankara, Türkiye, 2006. [Google Scholar]
- Greenpeace Report on Environmental, Health and Safety Conditions in Aliaga Shipbreaking Yards; Greenpeace, Mediterranean: Izmir, Turkey, 2002.
- Gedik, K.; Demircioglu, F.; Imamoglu, I. Spatial distribution and source apportionment of PCBs in sediments around İzmit industrial complexes, Turkey. Chemosphere 2010, 81, 992–999. [Google Scholar] [CrossRef]
- Okay, O.S.; Karacık, B.; Başak, S.; Henkelmann, B.; Bernhöft, S.; Schramm, K.-W. PCB and PCDD/F in Sediments and Mussels of the Istanbul Strait (Turkey). Chemosphere 2009, 76, 159–166. [Google Scholar] [CrossRef] [PubMed]
- Sobek, A.; Sundqvist, K.L.; Assefa, A.T.; Wiberg, K. Baltic Sea sediment records: Unlikely near-future declines in PCBs and HCB. Sci. Total Environ. 2015, 518–519, 8–15. [Google Scholar] [CrossRef] [PubMed]
- Aly Salem, D.M.S.; Khaled, A.; El Nemr, A. Assessment of pesticides and polychlorinated biphenyls (PCBs) in sediments of the Egyptian Mediterranean Coast. Egypt. J. Aquat. Res. 2013, 39, 141–152. [Google Scholar] [CrossRef]
- Nunes, M.; Vernisseau, A.; Marchand, P.; Le Bizec, B.; Ramos, F.; Pardal, M.A. Occurrence of PCDD/Fs and dioxin-like PCBs in superficial sediment of Portuguese estuaries. Environ. Sci. Pollut. R. 2014, 21, 9396–9407. [Google Scholar] [CrossRef] [PubMed]
- Mandalakis, M.; Polymenakou, P.N.; Tselepides, A.; Lampadariou, N. Distribution of aliphatic hydrocarbons, polycyclic aromatic hydrocarbons and organochlorinated pollutants in deep-sea sediments of the southern Cretan margin, Eastern Mediterranean Sea: A baseline assessment. Chemosphere 2014, 106, 28–35. [Google Scholar] [CrossRef]
- Pérez-Fernández, B.; Viñas, L.; Besada, V. Concentrations of organic and inorganic pollutants in four Iberian estuaries, North Eastern Atlantic. Study of benchmark values estimation. Mar. Chem. 2020, 224, 103828. [Google Scholar] [CrossRef]
- Metelkova, L.; Zhakovskaya, Z.; Kukhareva, G.; Rybalko, A.; Nikiforov, V. Occurrence of PCDD/PCDFs, dioxin-like PCBs, and PBDEs in surface sediments from the Neva River and the Eastern Gulf of Finland (Russia). Environ. Sci. Pollut. R. 2019, 26, 7375–7389. [Google Scholar] [CrossRef]
- Mitra, S.; Corsolini, S.; Pozo, K.; Audy, O.; Sarkar, S.K.; Biswas, J.K. Characterization, source identification and risk associated with polyaromatic and chlorinated organic contaminants (PAHs, PCBs, PCBzs and OCPs) in the surface sediments of Hooghly estuary, India. Chemosphere 2019, 221, 154–165. [Google Scholar] [CrossRef]
- Deng, Z.; Han, X.; Chen, C.; Wang, H.; Ma, B.; Zhang, D.; Zhang, Z.; Zhang, C. The distribution characteristics of polychlorinated biphenyls (PCBs) in the surface sediments of Ross Sea and Drake Passage, Antarctica: A 192 congeners analysis. Mar. Pollut. Bull. 2020, 154, 111043. [Google Scholar] [CrossRef]
- Micheletti, C.; Critto, A.; Marcomini, A. Assessment of ecological risk from bioaccumulation of PCDD/Fs and dioxin-like PCBs in a coastal lagoon. Environ. Int. 2007, 33, 45–55. [Google Scholar] [CrossRef]
- Pozo, K.; Lazzerini, D.; Perra, G.; Volpi, V.; Corsolini, S.; Focardi, S. Levels and spatial distribution of polychlorinated biphenyls (PCBs) in superficial sediment from 15 Italian marine protected areas (MPA). Mar. Pollut. Bull. 2009, 58, 773–776. [Google Scholar] [CrossRef] [PubMed]
- Combi, T.; Miserocchi, S.; Langone, L.; Guerra, R. Polychlorinated biphenyls (PCBs) in sediments from the western Adriatic Sea: Sources, historical trends and inventories. Sci. Total Environ. 2016, 562, 580–587. [Google Scholar] [CrossRef] [PubMed]
- Kennicutt, M.C.; Wade, T.L.; Presley, B.J.; Requejo, A.G.; Brooks, J.M.; Denoux, G.J. Sediment contaminants in Casco Bay, Maine: Inventories, sources, and potential for biological impact. Environ. Sci. Technol. 1994, 28, 1–15. [Google Scholar] [CrossRef] [PubMed]
- Sapozhnikova, Y.; Bawardi, O.; Schlenk, D. Pesticides and PCBs in sediments and fish from the Salton Sea, California, USA. Chemosphere 2004, 55, 797–809. [Google Scholar] [CrossRef] [PubMed]
- Cardellicchio, N.; Buccolieri, A.; Giandomenico, S.; Lopez, L.; Pizzulli, F.; Spada, L. Organic pollutants (PAHs, PCBs) in sediments from the Mar Piccolo in Taranto (Ionian Sea, Southern Italy). Mar. Pollut. Bull. 2007, 55, 451–458. [Google Scholar] [CrossRef]
- Barakat, A.O.; Kim, M.; Qian, Y.; Wade, T.L. Organochlorine pesticides and PCB residues in sediments of Alexandria Harbour, Egypt. Mar. Pollut. Bull. 2002, 44, 1426–1434. [Google Scholar] [CrossRef]
- Mehdinia, A.; Bateni, F.; Jahedi Vaighan, D.; Sheijooni-Fumani, N. Occurrence of polychlorinated biphenyl congeners in marine sediment of Makran region, Chabahr bay, Iran. Mar. Pollut. Bull. 2021, 164, 112038. [Google Scholar] [CrossRef]
- Fernandez, A.; Singh, A.; Jaffé, R. A literature review on trace metals and organic compounds of anthropogenic origin in the wider Caribbean region. Mar. Pollut. Bull. 2007, 54, 1681–1691. [Google Scholar] [CrossRef]
- Syakti, A.D.; Asia, L.; Kanzari, F.; Umasangadji, H.; Malleret, L.; Ternois, Y.; Mille, G.; Doumenq, P. Distribution of organochlorine pesticides (OCs) and polychlorinated biphenyls (PCBs) in marine sediments directly exposed to wastewater from Cortiou, Marseille. Environ. Sci. Pollut. R. 2012, 19, 1524–1535. [Google Scholar] [CrossRef]
- Long, E.R.; MacDonald, D.D.; Smith, S.L.; Calder, F.D. Incidence of adverse biological effects with ranges of chemical concentrations in marine and estuarine sediments. Environ. Manag. 1995, 19, 81–97. [Google Scholar] [CrossRef]
- Long, E.R.; MacDonald, D.D. Recommended uses of empirically derived, sediment quality guidelines for marine and estuarine ecosystems. Hum. Ecol. Risk Assess. 1998, 4, 1019–1039. [Google Scholar] [CrossRef]
- Esen, E. Nemrut Bay seawater quality assessment at the planning stage of marine outfall. K.S.U. J. Eng. Sci. 2017, 20, 21–30. [Google Scholar] [CrossRef][Green Version]
- Uysal, H. Türkiye Sahillerinde Bulunan Midyeler “Mytilus Galloprovincialis Lamarck” Üzerinde Biyolojik ve Ekolojik Araştırmalar; No. 79; Ege Üniversitesi Fen Fakültesi İlmi Raporlar Serisi: İzmir, Türkiye, 1970. (In Turkish) [Google Scholar]
- Damiens, G.; Gnassia-Barelli, M.; Loques, F.; Romeo, M.; Salbert, V. Integrated biomarker response index as a useful tool for environmental assessment evaluated using transplanted mussels. Chemosphere 2007, 66, 574–583. [Google Scholar] [CrossRef] [PubMed]
- Peharda, M.; Zupan, I.; Bavcevic, L.; Frankic, A.; Klanjscek, T. Growth and condition index of mussel Mytilus galloprovincialis in experimental integrated aquaculture. Aquac. Res. 2007, 38, 1714–1720. [Google Scholar] [CrossRef]
- Cravo, A.; Lopes, B.; Serafim, A.; Company, R.; Barreira, L.; Gomes, T.; Bebianno, M.J. A multi biomarker approach in Mytilus galloprovincialis to assess environmental quality. J. Environ. Monit. 2009, 11, 1673–1686. [Google Scholar] [CrossRef]
- Tsangaris, C.; Kormas, K.; Stroggyloudi, E.; Hatzianestis, I.; Neofitou, C.; Andral, B.; Galgani, F. Multiple biomarkers of pollution effects in caged mussels on the Greek coastline. Comp. Biochem. Physiol. C 2010, 151, 369–378. [Google Scholar] [CrossRef]
- Galgani, F.; Martínez-Gómez, C.; Giovanardi, F.; Romanelli, G.; Caixach, J.; Cento, A.; Andral, B. Assessment of polycyclic aromatic hydrocarbon concentrations in mussels (Mytilus galloprovincialis) from the Western basin of the Mediterranean Sea. Environ. Monit. Assess. 2011, 172, 301–317. [Google Scholar] [CrossRef]
- Sericano, J.L.; Wade, T.L.; Brooks, J.M. Accumulation and depuration of organic contaminants by the American oyster (Crassostrea virginica). Sci. Total Environ. 1996, 179, 149–160. [Google Scholar] [CrossRef]
- Klinčić, D.; Romanić, S.H.; Katalinić, M.; Zandona, A.; Čadež, T.; Šarić, M.M.; Šarić, T.; Aćimov, D. Persistent organic pollutants in tissues of farmed tuna from the Adriatic Sea. Mar. Pollut. Bull. 2020, 158, 111413. [Google Scholar] [CrossRef]
- Szlinder-Richert, J.; Barska, I.; Usydus, Z.; Ruczynska, W.; Grabic, R. Investigation of PCDD/Fs and dl-PCBs in fish from the southern Baltic Sea during the 2002–2006 period. Chemosphere 2009, 74, 1509–1515. [Google Scholar] [CrossRef]
- Celik Cakirogullari, G.; Secer, S. Levels of DDTs and indicator polychlorinated biphenyls in Whiting (Merlangius merlangus euxinus N. 1840) and Horse mackerel (Trachurus mediterraneus S. 1868) from the İzmit Bay, Turkey. Turk. J. Fish Aquat. Sci. 2010, 10, 415–422. [Google Scholar] [CrossRef]
- Olenycz, M.; Sokołowski, A.; Niewińska, A.; Wołowicz, M.; Namieśnik, J.; Hummel, H.; Jansen, J. Comparison of PCBs and PAHs levels in European coastal waters using mussels from the Mytilus edulis complex as biomonitors. Oceanologia 2015, 57, 196–211. [Google Scholar] [CrossRef]
- Yurdakul, O.; Kucuksezgin, F. Levels and distribution of polychlorinated biphenyls in two edible fish species from Izmir Bay (eastern Aegean): A health risk assessment. Environ. Sci. Pollut. R. 2020, 27, 25069–25081. [Google Scholar] [CrossRef] [PubMed]
- Zhou, S.; Zhu, H.; Huang, S.; Zhou, J.; Zhang, S.; Wang, C. Biomagnification and risk assessment of polychlorinated biphenyls in food web components from Zhoushan fishing ground, China. Mar. Pollut. Bull. 2019, 142, 613–619. [Google Scholar] [CrossRef] [PubMed]
- Di Leo, A.; Annicchiarico, C.; Cardellicchio, N.; Giandomenico, S.; Conversano, M.; Castellano, G.; Basile, F.; Martinelli, W.; Scortichini, G.; Spada, L. Monitoring of PCDD/Fs and dioxin-like PCBs and seasonal variations in mussels from the Mar Grande and the Mar Piccolo of Taranto (Ionian Sea, Southern Italy). Environ. Sci. Pollut. R. 2014, 21, 13196–13207. [Google Scholar] [CrossRef]
- Ulusoy, Ş.; Özden, Ö.; Päpke, O. Distribution of OCPs and PCBs in Mussels (Mytilus galloprovincialis) from the Marmara Sea Coastal Sites. Bull. Environ. Contam. Toxicol. 2016, 97, 191–197. [Google Scholar] [CrossRef]
- Bayarri, S.; Baldassarri, L.T.; Iacovella, N.; Ferrara, F.; di Domenico, A. PCDDs, PCFDs, PCBs and DDE in edible marine species from the Adriatic Sea. Chemosphere 2001, 43, 601–610. [Google Scholar] [CrossRef]
- Piersanti, A.; Scrucca, L.; Galarini, R.; Tavolini, T. Polychlorobiphenyls (18 congeners) in mussels from middle Adriatic Sea. Organohal. Comp. 2006, 68, 1951–1954. [Google Scholar]
- Ferreira, M.; Antunes, P.; Gil, O.; Vale, C.; Reis-Henriques, M.A. Organochlorine contaminants in flounder (Platichthys flesus) and mullet (Mugil cephalus) from Dourou estuary, and their use as sentinel species for environmental monitoring. Aquat. Toxicol. 2004, 69, 347–357. [Google Scholar] [CrossRef]
- Storelli, M.M.; Barone, G.; Garofalo, R.; Marcotrigiano, G.O. Metals and organochlorine compounds in eel (Anguilla anguilla) from the Lesina lagoon, Adriatic Sea (Italy). Food Chem. 2007, 100, 1337–1341. [Google Scholar] [CrossRef]
- Coelhan, M.; Strohmeier, J.; Barlas, H. Organochlorine levels in edible fish from the Marmara Sea, Turkey. Environ. Int. 2006, 32, 775–780. [Google Scholar] [CrossRef] [PubMed]
- Yang, N.; Matsuda, M.; Kawano, M.; Wakimoto, T. PCBs and organochlorine pesticides (OCPs) in edible fish and shellfish from China. Chemosphere 2006, 63, 1342–1352. [Google Scholar] [CrossRef] [PubMed]
- RoHC. Regulation on Hazardous Chemicals; Issued on 11.07.1993; Official Gazette Number: 21634; Ministry of Environment: Seoul, Republic of Korea, 1993. [Google Scholar]
- NIP. National Implication Plan for Turkey′s Agreement for Stockholm Convention of Persistent Organic Pollutants (Draft Report in Turkish); Project No.: GF/TUR/008; NIP: Istanbul, Turkey, 2006. [Google Scholar]
- Dağli, S. Stockholm convention and current situation on POPs in Turkey. In The Fate of Persistent Organic Pollutants in the Environment; Mehmetli, E., Koumanova, B., Eds.; Springer: Dordrecht, The Netherlands, 2008; pp. 21–30. [Google Scholar] [CrossRef]
- Gandhi, N.; Bhavsar, S.P.; Reiner, E.J.; Chen, T.; Morse, D.; Arhonditsis, G.B.; Drouillard, K.G. Evaluation and interconversion of various indicator PCB schemes for ΣPCB and Dioxin-Like PCB toxic equivalent levels in fish. Environ. Sci. Technol. 2015, 49, 123–131. [Google Scholar] [CrossRef] [PubMed]
- EFSA. Update of the monitoring of dioxins and PCBs levels in food and feed. EFSA J. 2012, 10, 2832. [Google Scholar]
- EFSA. Opinion of the scientific panel on contaminants in the food chain on a request from the Commission related to the presence of non-dioxin-like polychlorinated biphenyls (PCB) in feed and food. EFSA J. 2005, 284, 1–137. Available online: http://www.efsa.europa.eu/en/efsajournal/doc/284.pdf (accessed on 10 June 2014).
- Çöteli, F.T. Ürün Raporu Su Ürünleri 2022; TEPGE YAYIN NO.: 355; Tarimsal Ekonomi ve Politika Geliştirme Enstitüsü: Çankaya, Türkiye, 2022; ISBN 978-625-8451-46-7. Available online: https://arastirma.tarimorman.gov.tr/tepge (accessed on 20 October 2024). (In Turkish)
- USEPA (United States Environmental Protection Agency). Guidance for Assessing Chemical Contaminant Data for Use in Fish Advisories. Volume 2: Risk Assessment and Fish Consumption; USEPA: Washington, DC, USA, 2000. Available online: https://www.epa.gov/sites/production/files/2015-06/documents/volume2.pdf (accessed on 20 October 2024).







| PCBs | Foça * April 2016 | Site 1 June 2016 | Site 1 Sep. 2016 | Site 2 June 2016 | Site 2 Sep. 2016 | Site 2 Dec. 2016 | Site 2 Feb. 2017 | Site 3 June 2016 | Site 3 Sep. 2016 | Site 3 Dec. 2016 | Site 3 Feb. 2017 |
|---|---|---|---|---|---|---|---|---|---|---|---|
| PCB 28 | 0.07 ± 0.01 | 0.63 ± 0.05 | 0.46 ± 0.07 | 0.36 ± 0.05 | 0.29 ± 0.05 | 0.23 ± 0.54 | 0.13 ± 0.03 | 0.12 ± 0.02 | 0.09 ± 0.02 | 0.09 ± 0.01 | 0.06 ± 0.01 |
| PCB 52 | 0.11 ± 0.02 | 0.96 ± 0.15 | 0.73 ± 0.11 | 0.53 ± 0.13 | 0.59 ± 0.14 | 0.44 ± 0.09 | 0.27 ± 0.07 | 0.21 ± 0.03 | 0.15 ± 0.03 | 0.13 ± 0.02 | 0.10 ± 0.02 |
| PCB 101 | 0.15 ± 0.03 | 1.41 ± 0.11 | 1.23 ± 0.13 | 0.90 ± 0.12 | 1.46 ± 0.12 | 1.06 ± 0.10 | 0.78 ± 0.15 | 0.61 ± 0.11 | 0.43 ± 0.09 | 0.30 ± 0.10 | 0.23 ± 0.08 |
| PCB 118 ** | 0.16 ± 0.02 | 1.39 ± 0.17 | 1.30 ± 0.20 | 0.94 ± 0.13 | 1.59 ± 0.14 | 1.18 ± 0.09 | 0.84 ± 0.13 | 0.78 ± 0.13 | 0.54 ± 0.12 | 0.38 ± 0.10 | 0.27 ± 0.07 |
| PCB 138 | 0.35 ± 0.09 | 2.12 ± 0.29 | 2.10 ± 0.30 | 1.60 ± 0.15 | 2.98 ± 0.54 | 2.38 ± 0.37 | 1.98 ± 0.31 | 2.20 ± 0.40 | 1.61 ± 0.26 | 1.12 ± 0.16 | 0.81 ± 0.12 |
| PCB 153 | 0.35 ± 0.15 | 2.00 ± 0.30 | 1.97 ± 0.22 | 1.57 ± 0.22 | 2.84 ± 0.41 | 2.24 ± 0.34 | 1.93 ± 0.31 | 2.08 ± 0.17 | 1.56 ± 0.12 | 1.10 ± 0.20 | 0.81 ± 0.11 |
| PCB 180 | 0.04 ± 0.01 | 0.13 ± 0.02 | 0.14 ± 0.03 | 0.10 ± 0.02 | 0.15 ± 0.03 | 0.13 ± 0.02 | 0.14 ± 0.02 | 0.10 ± 0.01 | 0.12 ± 0.02 | 0.10 ± 0.01 | 0.10 ± 0.02 |
| ∑i6PCBs | 1.06 ± 0.31 | 7.24 ± 0.92 | 6.63 ± 0.86 | 5.06 ± 0.69 | 8.31 ± 1.29 | 6.48 ± 0.55 | 5.23 ± 0.89 | 5.32 ± 0.74 | 3.97 ± 0.54 | 2.85 ± 0.50 | 2.11 ± 0.36 |
| ∑i7PCBs | 1.22 ± 0.33 | 8.63 ± 1.09 | 7.93 ± 1.06 | 6.00 ± 0.82 | 9.90 ± 1.43 | 7.66 ± 0.63 | 6.07 ± 1.02 | 6.10 ± 0.87 | 4.50 ± 0.66 | 3.23 ± 0.60 | 2.39 ± 0.43 |
| CI *** | 0.101 ± 0.01 | 0.151 ± 0.01 | 0.101 ± 0.01 | 0.145 ± 0.01 | 0.113 ± 0.01 | 0.076 ± 0.01 | 0.057 ± 0.01 | 0.108 ± 0.01 | 0.089 ± 0.01 | 0.075 ± 0.01 | 0.059 ± 0.01 |
| PCBs | Foça * April 2017 | Site 1 June 2017 | Site 1 Oct. 2017 | Site 2 June 2017 | Site 2 Oct. 2017 | Site 2 Nov. 2017 | Site 2 Feb. 2018 | Site 3 June 2017 | Site 3 Oct. 2017 | Site 3 Nov. 2017 | Site 3 Feb. 2018 |
|---|---|---|---|---|---|---|---|---|---|---|---|
| PCB 28 | 0.07 ± 0.01 | 0.79 ± 0.14 | 1.11 ± 0.17 | 0.81 ± 0.11 | 0.90 ± 0.15 | 0.17 ± 0.03 | 0.26 ± 0.07 | 0.42 ± 0.12 | 0.47 ± 0.13 | 0.15 ± 0.03 | 0.17 ± 0.03 |
| PCB 52 | 0.13 ± 0.02 | 1.24 ± 0.22 | 1.64 ± 0.22 | 1.34 ± 0.24 | 1.36 ± 0.28 | 0.22 ± 0.05 | 0.53 ± 0.14 | 0.69 ± 0.17 | 0.76 ± 0.13 | 0.27 ± 0.08 | 0.24 ± 0.06 |
| PCB 101 | 0.20 ± 0.06 | 1.52 ± 0.18 | 2.40 ± 0.50 | 1.48 ± 0.26 | 1.99 ± 0.28 | 0.38 ± 0.09 | 1.15 ± 0.20 | 0.91 ± 0.11 | 1.36 ± 0.32 | 0.57 ± 0.13 | 0.30 ± 0.06 |
| PCB 118 ** | 0.19 ± 0.04 | 1.25 ± 0.19 | 2.23 ± 0.21 | 1.18 ± 0.20 | 1.75 ± 0.31 | 0.36 ± 0.08 | 1.14 ± 0.12 | 0.79 ± 0.14 | 1.22 ± 0.20 | 0.59 ± 0.15 | 0.25 ± 0.06 |
| PCB 138 | 0.54 ± 0.16 | 2.57 ± 0.45 | 5.13 ± 0.33 | 2.45 ± 0.27 | 4.31 ± 0.38 | 1.51 ± 0.17 | 3.31 ± 0.37 | 1.72 ± 0.23 | 3.36 ± 0.33 | 1.99 ± 0.37 | 0.88 ± 0.21 |
| PCB 153 | 0.66 ± 0.15 | 2.74 ± 0.26 | 5.30 ± 0.40 | 2.63 ± 0.49 | 4.47 ± 0.42 | 1.45 ± 0.25 | 3.51 ± 0.39 | 1.87 ± 0.18 | 3.59 ± 0.34 | 2.08 ± 0.26 | 0.94 ± 0.12 |
| PCB 180 | 0.07 ± 0.01 | 0.24 ± 0.05 | 0.49 ± 0.13 | 0.19 ± 0.04 | 0.42 ± 0.07 | 0.18 ± 0.03 | 0.34 ± 0.09 | 0.14 ± 0.03 | 0.39 ± 0.14 | 0.20 ± 0.04 | 0.15 ± 0.03 |
| ∑i6PCBs | 1.67 ± 0.41 | 9.11 ± 1.30 | 16.07 ± 1.75 | 8.90 ± 1.41 | 13.44 ± 1.58 | 3.91 ± 0.62 | 9.09 ± 1.26 | 5.75 ± 0.84 | 9.93 ± 1.39 | 5.26 ± 0.91 | 2.67 ± 0.51 |
| ∑i7PCBs | 1.85 ± 0.45 | 10.36 ± 1.49 | 18.30 ± 1.96 | 10.08 ± 1.61 | 15.18 ± 1.89 | 4.27 ± 0.70 | 10.23 ± 1.38 | 6.54 ± 0.98 | 11.15 ± 1.59 | 5.85 ± 1.06 | 2.92 ± 0.57 |
| CI *** | 0.113 ± 0.01 | 0.160 ± 0.01 | 0.125 ± 0.01 | 0.150 ± 0.01 | 0.131 ± 0.01 | 0.078 ± 0.01 | 0.061 ± 0.00 | 0.135 ± 0.01 | 0.136 ± 0.01 | 0.075 ± 0.01 | 0.056 ± 0.01 |
| Concentration | Location | Matrix | Survey Year | References | |
|---|---|---|---|---|---|
| Dioxin-like PCBs | 0.48–0.70 ngg−1ww | The lagoon of Venice, Adriatic Sea | mussel | - | [40] |
| Dioxin-like PCBs | 0.21–13.0 ngg−1ww | The Istanbul strait, Turkey | mussel | 2007 | [31] |
| Σi6PCBs | 0.77–22.9 ngg−1ww | The Istanbul strait, Turkey | mussel | 2007 | [31] |
| Σi7PCBs | 0.4–95 ngg−1ww | The Southern Baltic Sea | fish | 1997–2006 | [61] |
| Σi7PCBs | 1.49–58.61 ngg−1ww | İzmit Bay, Turkey | fish | 2003–2004 | [62] |
| Dioxin-like PCBs | 1.57–21.0 ngg−1ww | Gulf of Taranto, Ionian Sea | mussel | 2011 | [66] |
| Σi7PCBs | 0.6–1120 ngg−1dw | European Coastal Waters | mussel | 2003–2004 | [63] |
| Σi5PCBs | 0.50–1.35 ngg−1ww | The Sea of Marmara, Turkey | mussel | 2010–2011 | [67] |
| Σi7PCBs | 0.46–10.74 ngg−1ww | Zhoushan fishing grounds, China | organisms | 2011 | [65] |
| Σi6PCBs | 10.51–36.75 ngg−1ww | The Adriatic Sea | fish | 2015 | [60] |
| Σi6PCBs | 0.14–9.6 ngg−1ww | Izmir Bay, Aegean Sea | fish | 2010–2013 | [64] |
| Σi7PCBs | 0.91–20.2 ngg−1ww (5.05–112.1 ngg−1dw) | Nemrut Bay, Aegean Sea | mussel | 2016 | This Study |
| Variable | First Transplantation Period (2016–2017) | Second Transplantation Period (2017–2018) | ||||||
|---|---|---|---|---|---|---|---|---|
| Sampling Period | Sampling Location | Sampling Period | Sampling Location | |||||
| df | p | df | p | df | p | df | p | |
| PCB 28 | 4 | * | 3 | ** | 4 | ** | 3 | ** |
| PCB 52 | 4 | * | 3 | ** | 4 | ** | 3 | ** |
| PCB 101 | 4 | ** | 3 | ** | 4 | ** | 3 | ** |
| PCB 118 | 4 | ** | 3 | ** | 4 | ** | 3 | ** |
| PCB 138 | 4 | ** | 3 | ** | 4 | ** | 3 | ** |
| PCB 153 | 4 | ** | 3 | ** | 4 | ** | 3 | ** |
| PCB 180 | 4 | ** | 3 | ** | 4 | ** | 3 | * |
Disclaimer/Publisher’s Note: The statements, opinions and data contained in all publications are solely those of the individual author(s) and contributor(s) and not of MDPI and/or the editor(s). MDPI and/or the editor(s) disclaim responsibility for any injury to people or property resulting from any ideas, methods, instructions or products referred to in the content. |
© 2024 by the author. Licensee MDPI, Basel, Switzerland. This article is an open access article distributed under the terms and conditions of the Creative Commons Attribution (CC BY) license (https://creativecommons.org/licenses/by/4.0/).
Share and Cite
Gonul, L.T. Characterization of Polychlorinated Biphenyls in Transplanted Mussels (Mytilus galloprovincialis) and Surface Sediments from the Coastal Region of Nemrut Bay, Eastern Aegean Sea. Sustainability 2024, 16, 10801. https://doi.org/10.3390/su162410801
Gonul LT. Characterization of Polychlorinated Biphenyls in Transplanted Mussels (Mytilus galloprovincialis) and Surface Sediments from the Coastal Region of Nemrut Bay, Eastern Aegean Sea. Sustainability. 2024; 16(24):10801. https://doi.org/10.3390/su162410801
Chicago/Turabian StyleGonul, Lutfi Tolga. 2024. "Characterization of Polychlorinated Biphenyls in Transplanted Mussels (Mytilus galloprovincialis) and Surface Sediments from the Coastal Region of Nemrut Bay, Eastern Aegean Sea" Sustainability 16, no. 24: 10801. https://doi.org/10.3390/su162410801
APA StyleGonul, L. T. (2024). Characterization of Polychlorinated Biphenyls in Transplanted Mussels (Mytilus galloprovincialis) and Surface Sediments from the Coastal Region of Nemrut Bay, Eastern Aegean Sea. Sustainability, 16(24), 10801. https://doi.org/10.3390/su162410801

