Abstract
This paper presents the results of investigations on the kinetic modeling of Brilliant Blue FCF (BB) discoloration reactions in aqueous solutions with different ozone concentrations and pH conditions. Kinetic studies involve knowledge of the structure and properties of dye and ozone, as well as of the experimental conditions. In general, scientists admit that the predominant oxidation pathway is direct (by free oxygen atoms) or indirect (by free hydroxyl radicals); this will depend on influencing factors such as the physicochemical properties of the dye, the pH of the aqueous solution, ozone concentration, reaction time, and the contact mode with/without stirring. In this experimental research, two pathways were chosen following CBB = f(t)—1. a constant dye concentration and different ozone concentrations, in the concentration range of 100–250 mg/L, in three pH media (acidic, neutral, and basic), with and without stirring; 2. a constant concentration of ozone and different dyes in the concentration range of 2.5–10 mg/L, under the conditions of point 1. With the obtained experimental data, the curves CBB = f(t) were drawn and processed according to the integral method of classical kinetics, based on first- and second-order equations. Unfortunately, this simple procedure did not give any results for the pH values studied. The rate constants were negative, and/or the reaction order depended on the initial conditions. Due to its structure, the BB dye has several chromophore groups, and thus multiple attack centers, resulting in several oxidation by-products, which is why the 1H-NMR spectrum was recorded for the discoloration of BB with ozone. Since the stoichiometry of the overall oxidation reaction, as well as the relationship between the rate constant and the reaction conditions mentioned above, is not known, a kinetic model based on mass transfer coupled with a chain reaction in the bulk liquid phase was proposed and successfully tested at pH = 7. This research approach also involves the consolidation of the theoretical bases of the ozonation process through the kinetic study carried out, as well as the proposal of a kinetic model. These systematics lead to results that are applicable to other aqueous systems that are impure with dyes, allowing for generalizations and the development of the field, ensuring the sustainability of the research.
1. Introduction
Brilliant Blue FCF (abbreviated to BB; also known as E133, Blue #1, Acid Blue 9, Alphazurine FG, E133, Erioglaucine disodium salt, FD&C, and BLUE No. 1) is a common food dye for dairy, ice cream, candies, drinks, etc., and is often used in the cosmetic and textile sectors [1]. Brilliant Blue FCF (BB) is a triphenylmethane dye composed of three hydrocarbon rings linked to a central carbon atom [2].
A BB molecule (Figure 1) has both polar and non-polar components, which can lead to complex behavior. The negative charge originates from its sulfonic groups [1,3]. The dye molecule contains chromophore groups (benzene rings) and auxochrome groups (organic functionalities) [4]. It is soluble in water (30 mg/mL) and ethanol (3 mg/mL) [1]. It has been estimated that 10–15% of all the industrial dyes produced are lost through their release into the effluent. The discharge of BB into water resources, even in low amounts, can affect aquatic life and the entire food chain, either by direct chemical/biological effects or by reducing light transmission [5]. In the relevant literature [6,7,8,9,10], there are various physical/(bio)chemical procedures for removing/discoloring BB from wastewater to establish the best balance between scientific results and economical implications.
Figure 1.
Chemical structure of BB molecule.
Interest in ozonation for wastewater treatment is increasing, especially for sludge reduction and the removal of compounds with a low biodegradability index (e.g., synthetic dyes, carboxylic acids, phenols, amoxicillin, and other pharmaceuticals) [11,12].
The BB dye was selected for this study because it was found to be difficult to degrade via the conventional process, which causes serious disposal problems [13].
The application of ozone in the discoloration of aqueous systems requires knowledge of the physical and chemical properties of ozone to explain its mechanism of reaction, process efficiency, discoloration yield, and consumption of reagents during the process. Studying the dynamics of the process also plays a significant role in determining the discoloration mechanism. The selection of ozone as a bleaching agent is based on the oxidizing capacity (ε0 = 2.08 V) of organic substances.
The ozone decomposition in the aqueous solution generates free oxygen atoms (O·) and free hydroxyl radicals (OH·). The generation of free OH· radicals, which is a strong oxidant (ε0 = 2.56 V), will be promoted by hydroxide ions in an alkaline pH range but also by some oxidation by-products (e.g., formic acid) [14]. Ozone reacts with the participation of one oxygen atom, and two others are separate—as O2—which is why it becomes a selective oxidant, acting on organic compounds containing species with high electron density (C=C and N=N double bonds, activated aromatic rings, and some functional groups). Hydroxyl radicals react rapidly and non-selectively with many dissolved compounds [15]. Ozonation will act via oxidation on the chromophore group of the dye, changing the intensity of the VIS absorption spectra at λmax [16], thus causing the formation of simple, intermediate, colorless, and easily biodegradable structures in the post-oxidation stage [17].
Ideally, an ozonation process under the optimal conditions of ozone concentration, pH condition, pressure, and temperature can lead to the oxidation of organic/inorganic compounds to the highest oxidation states, producing the complete mineralization of CO2 and H2O, depending on the molecular selectivity and destruction rates [4,18].
Ozonation will provide a partial oxidation, leading to oxidation by-products (aldehydes, ketones, carboxylic acids, etc.), some of which are allergenic, toxic, or even carcinogenic by-products, such as, e.g., aromatic amines and bromates [2,18,19,20]. The formation of by-products during ozonation, as is the case with other oxidizers, is inevitable. Depending on the matrix and water quality, the concentration and type of by-products can change. However, depending on the treatment objectives and water properties, different mitigation strategies can be applied to prevent the formation of critical by-products. [20]. In this context, another original part of this study is the identification of four degradation by-products of BB ozonation using 1H-NMR.
The efficient mineralization of these compounds by ozone is important for wastewater recovery; however, achieving full mineralization on an industrial scale will be extremely difficult as the ozone dosage requirements will be too high to be economically achieved [21]. Thus, ozone can be applied to break down these compounds into others that can be further biodegraded by microorganisms in the wastewater treatment process. The increasing reliance on ozone for wastewater treatment in recent years can be attributed to the decrease in ozone generation costs and its environmental benefits relative to chlorine [11]. However, mass transfer limitations, selectivity to certain contaminants, slow reaction rates, and relatively higher costs (capital and operating) are some disadvantages attributable to ozonation alone [22]. This has led to the predominant application of the hybrid ozonation process, which involves combining ozone with other processes and compounds for effective water treatment.
These are otherwise termed advanced oxidation processes (AOPs) and involve the application of ozone with UV, sonolysis, electrocoagulation, H2O2, photocatalysts (TiO2), metal ion (Cu2+, Mn2+, Zn2+, Fe2+) homogeneous catalysts, and metal oxide heterogeneous catalysts (including activated carbon) [23]. The main purpose of this hybrid ozonation is to further induce ozone decomposition and the production of hydroxyl radicals for the oxidation of difficult-to-degrade compounds. A detailed explanation of the decomposition mechanism can be found in [11,12,22]. Ref. [24] offers suggestions for future research directions in this field and provides the possible reactive oxygen species (ROS) technology application in pollutant treatment for their degradation and for the development of green degradation technologies for organic pollutants.
Kinetic studies of ozonation help to better understanding the oxidation mechanism and process dynamics [20,25]. A good mechanistic understanding of ozone reactions is important to predict the reaction pathways and oxidation products. Specifically, classic kinetic models for radical reactions are based on a Bodenstein-style approximation for intermediate species, leading to a closed-form expression for the reaction rate. It was found that such models are not capable of capturing the specifics of this ozonation process, as, in this case, chemical species emerging from successive reactions have similar reactivities, thus invalidating the basic assumptions of the steady-state approximation. As a consequence, a more detailed kinetic model, in which reaction chains and gas–liquid mass transfer are treated explicitly, is proposed in this work, and its validity is proven through a comparison with experimental data.
The aim of this study was to provide a complete analysis on the rate of the BB discoloration process via oxidation with different concentrations of high excess ozone at three pH values (pH = 7.00—initial value of the aqueous BB solution; pH = 4.00 for the acidic solution; and pH = 10.00 for the alkaline solution) with/without stirring during their contact. The experimental data of BB concentration variation over time through its interaction with ozone or the evaluation of the dynamics process is checked using the integral method, whereby classic first- and second-order kinetic equations were used. A pertinent interpretation of the obtained results could not be achieved. It was difficult to check the classical models under conditions of excess ozone because the stoichiometry of the reactions during ozonation are not known. On the other hand, the high reactivity of ozone in the alkaline and acidic media made it difficult to monitor the dynamics of the process. Moreover, when the substrate is a large molecule, it can break multiple times; therefore, the global process can be described as a system of consecutive chemical reactions. Considering the multiple possibilities of ozone attack on BB, a kinetic model of the discoloration reaction at pH = 7.00 and CO3 = 100 mg/L under stirring conditions is the version proposed in this study. To the authors’ knowledge, this is the first attempt to build an analytical model for the ozonation process based on diffusion and a successive chain reaction system.
2. Materials and Methods
The initial dye concentration (the dye stock) of Brilliant Blue (analytical grade, Sigma Aldrich, Merck, Burlington, MA, USA, Cas Number 3844-45-9) was set to 500 mg/L by dissolving it in distilled water. The working concentration of the dye was 5 mg/L.
Ozone was obtained using the OZONOSAN ALPHA-PLUS Generator (Hansler Medical GMBH, Iffezheim, Germany), utilizing a 99.5% oxygen gas feed (oxygen of medical use). The ozone generator is equipped with a UV-photometer for the continuous measurement of ozone concentration (100, 150, 200, and 250 mg O3/L gaseous mixture; high flow 1–10 L/min). Under a constant oxygen flow rate (measured by the generator mass flow controller), the pre-determined ozone dose was constant during each ozonation. To estimate the ozonation kinetics, different values of ozone–BB contact time were pre-determined (between 0 and 10 min) and the residual dye concentration was immediately determined.
The batch experiments were conducted using a HEILDORPH VIBRAMAX 100 orbital shaker (Heidolph Instruments GMBH, Scwabach, Bavaria, Germany). The pH of the solutions was adjusted by adding H2SO4 0.1 M for acidification and NaOH 0.1 M for alkalizing the BB aqueous solutions, respectively. The pH values were measured with an ORION 290A pH meter (Cole-Parmer Instrument Company, now known as Antylia Scientific, Vermon Hills, IL, USA).
The BB residual concentrations of aqueous samples were analyzed using a CINTRA 404 UV/VIS Spectrometer (GBC Scientific Equipment-Ltd., Dandenong, Australia). The maximum absorption wavelength of 630 nm was chosen to be used in the quantitative assessment of discoloration.
The experiment was conducted at room temperature, with the following conditions:
- using the same concentration of BB solution (5 mg/L);
- adding different ozone concentrations (100–250 mg O3/L gaseous mixture) to the BB solution;
- at different contact times (0–10 min at pH = 7; 0–1.5 min at pH = 4; and 0–1 min at pH = 10);
- with continuous stirring (200 rpm) or without stirring.
1H-NMR spectra were recorded on a Bruker Advance III Ultrashield Plus 500 MHz spectrometer (Bruker Corporation, Billerica, MA, USA), operating at 11.74 T, corresponding to the resonance frequency of 500.13 MHz for the 1H nucleus, equipped with a direct detection four-nuclei probe head and field gradients on the z axis. Samples were analyzed in 5 mm NMR tubes (Norell 507, Merck, Burlington, MA, USA). Typical parameters for 1H NMR spectra were a 45° pulse, 8.3 s acquisition times, an 8.01 kHz spectral window, 512 scans, 20 K data points, and a delay time of 1 s. The average acquisition time of the 1H NMR spectra was approximately 1 h 20 min.
Ozonation of dye samples—Each time, a working volume (0.1 L) of BB aqueous solution was added into a glass receptacle. A mixture of ozone–oxygen gas was supplied at different ozone concentrations, in the concentration range of 100–250 mg O3/L gaseous mixture followed by aeration for 5 min to remove residual ozone. The ozone/oxygen gaseous mixture was introduced into the reaction glass receptacle through a glass micro tube from the bottom. Ozone mass transfer was achieved through micro bubble generation. A mechanical stirrer was used to achieve sufficient recirculation of the dye solution; therefore, a favorable gas transfer rate was expected.
3. Results and Discussion
3.1. Preliminary Results and Discussion
The reaction kinetics of BB aqueous solution discoloration by ozone were studied by estimating the variation of dye concentration during the mutual interaction. In order to determine the probable reaction order, the experiment was conducted with four ozone concentrations (100, 150, 200, and 250 mg/L), three different selected pH values (pH = 4.0, pH = 7.0, and pH = 10.0), and with/without stirring. In Figure 2, Figure 3 and Figure 4, the variation in time of BB concentration during ozonation with and without stirring, at all three pH values, is presented.

Figure 2.
Variation of CtBB = f(t) during the BB-O3 interaction at pH = 4.0, in a time interval of 0–1.5 min, C0BB = 5 mg/L. (a) with stirring (200 rpm), (b) without stirring.

Figure 3.
Variation of CtBB = f(t) during the BB-O3 interaction at pH = 7.0, in a time interval of 0–10 min, C0BB = 5 mg/L. (a) with stirring (200 rpm), (b) without stirring.

Figure 4.
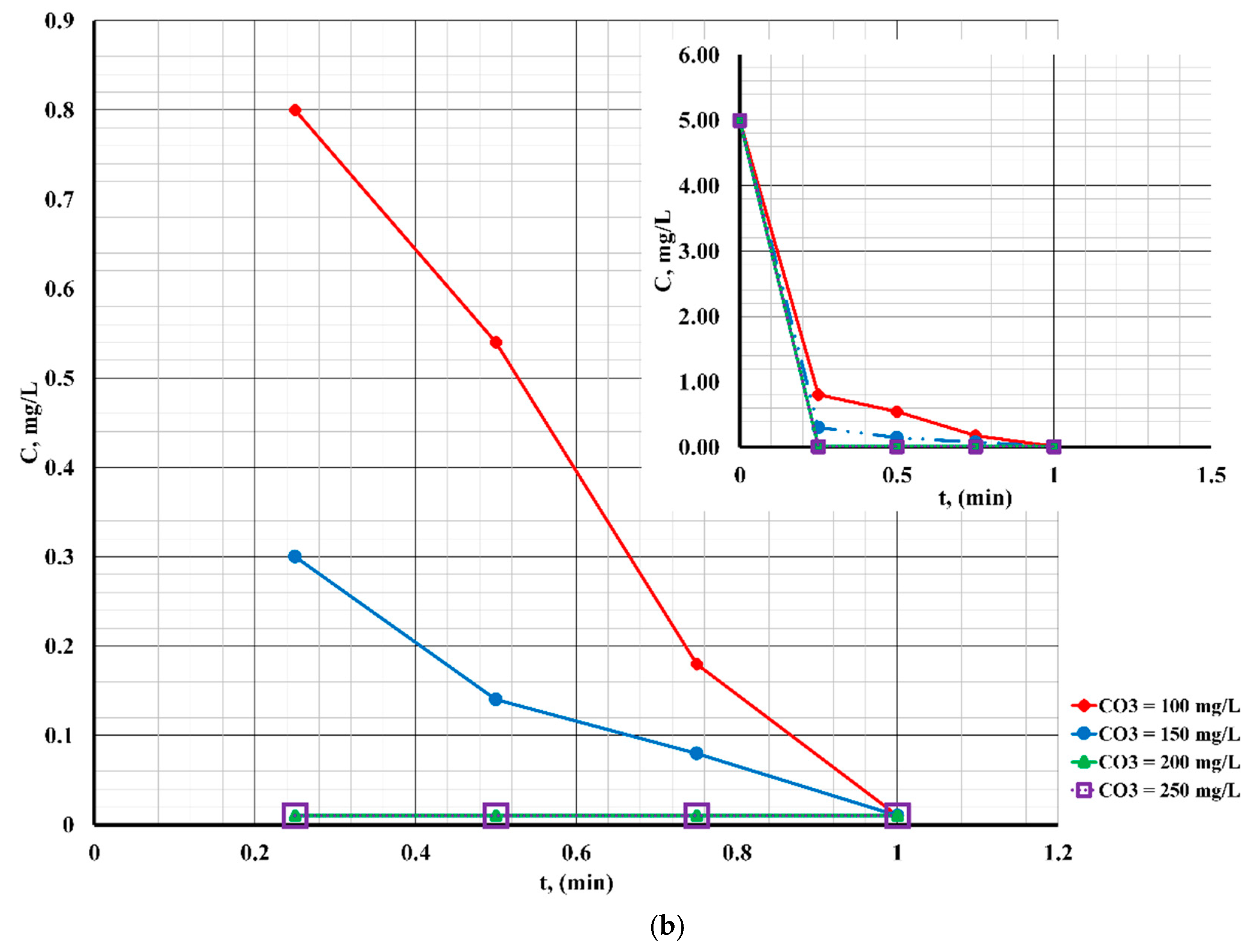
Variation of CtBB = f(t) during the BB-O3 interaction at pH = 10.0, in a time interval of 0–1 min, C0BB = 5 mg/L. (a) with stirring (200 rpm), (b) without stirring.
In all cases (with or without stirring), the reaction rate is higher at higher ozone concentrations.
In this kinetic study—based on the variation in time of the BB concentration—the applicability of the reaction order was verified using the integral method for classical kinetic models of either the first or second order. The experimental data are presented in Table 1.
Table 1.
Kinetic parameters calculated for reaction order via integral method, at different O3 concentrations and pH values, CiBB = 5 mg/L.
From the variation of CtBB = f(t), the following were observed:
- -
- the version with stirring is more efficient than the one without stirring;
- -
- at pH = 4.0, the complete discoloration occurs after 1.25 min (for O3 concentrations of 100 and 150 mg/L) and after 0.50 min, respectively (for O3 concentrations of 200 and 250 mg/L);
- -
- at pH = 7.0, the complete discoloration occurs after 10 min (for O3 concentrations of 100 and 150 mg/L) and after 1 min, respectively (for O3 concentrations of 200 and 250 mg/L);
- -
- at pH = 10.0, the final concentration of BB is much lower in a shorter time (0.2 min) compared to previously studied pH values due to the fact that the OH radical oxidation efficiency is increased.
In acidic and basic media, respectively, the reactions are fast and the application of the integral method for classical kinetic models of the first and second order cannot be interpreted (Table 1, negative rate constants).
As the literature surveys show [26,27], kinetic models for ozonolysis can be classified in two broad categories:
- Pseudo-order models, which aim to explain the reaction dynamics through a global equation, derived directly from the fundamental postulate of chemical kinetics;
- Mechanistic/reaction scheme models, which decompose the global process in a succession of steps, wherefrom a mathematical model aiming to explain the system dynamics is derived.
For the chemical processes that the present work investigates, pseudo-order models fail because their underlying assumption is that the direct ozonation of the chromophore is the only ozone-consuming step in the whole reaction scheme. As proven by our analysis, this is not true, as secondary, tertiary, etc., by-products are also capable of reacting with ozone.
On the other hand, the mechanistic models described in the literature are not directly applicable to this process, as they are tailor-made for each separate case. The main idea of our model is that the first reaction step (the ozonation of the BB chromophore) initiates a succession of secondary reactions in which ozonation products are further oxidated. It should be stressed that this is not a classical radical-propagated chain, but rather a reaction scheme in which successive ozonation by-products compete in consuming the main reagent.
These conclusions indicate that in the ozonation process, factors such as pH, ozone concentration, and stirring are important, and have an effect on the reaction mechanism. In addition, considering that BB discoloration occurs with multiple possibilities of ozone attack (mainly chromophore groups), it is important to take this aspect into account as well; for this purpose, a 1H-NMR mass spectrum (Figure 5) of a sample of BB discoloration with ozone was recorded.
Figure 5.
1H-NMR spectrum of Brilliant Blue.
An oxidation variant is also presented in accordance with the results obtained in the mass spectrum.
3.2. 1H-NMR Spectroscopy
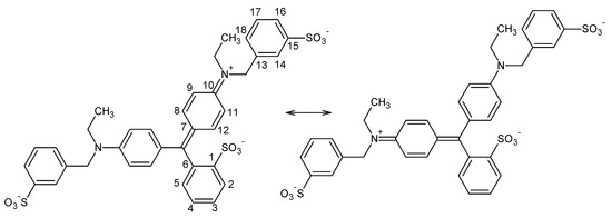
1H-NMR (500.13 MHz, D2O, δ pmm, J Hz): 8.06 (d, 1H, H-3, 7.95 Hz), 7.70–7.64 (m, 5H, H-4, H-14, and H-16), 7.39 (t, 1H, H-5, 7.45 Hz), 7.29 (t, 2H, H-17, 7.97 Hz), 7.17 (d, 1H, H-6, 7.85 Hz), 7.09 (d, 2H, H-18, 7.15 Hz), 7.00–6.80 (m, 4H, H-8 and H-12), 6.64–6.44 (m, 4H, H-9 and H-11), 4.87–4.75 (m, 4H, CH2 benzylic—overlapped with water signal), 3.78–3.61 (m, 4H, CH2 from ethyl), 1.27–1.25 (m, 6H, CH3 from ethyl).
During ozonation, the aqueous dye solution of Brilliant Blue changes color from blue to light brown.
Ozone can oxidize the BB dye via two pathways:
- (1).
- Direct oxidation with free oxygen radicals from ozone decay. The ozone-treated compounds form ozonide, which, in the presence of water, dissolves into aldehydes and ketones.

- (2).
- The generation of free radical intermediates such the OH· radical, which is a powerful, effective, and non-selective oxidizing agent.O3 + H2O
2HO2·
O3 + HO2·
HO· + 2O2
In the case of the ozonation of BB dye, only the radical mechanism will be considered.
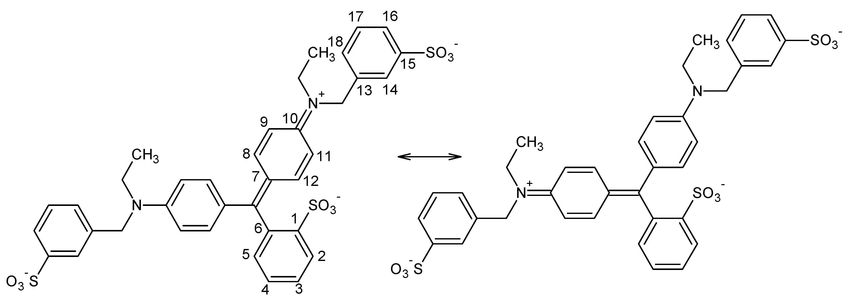
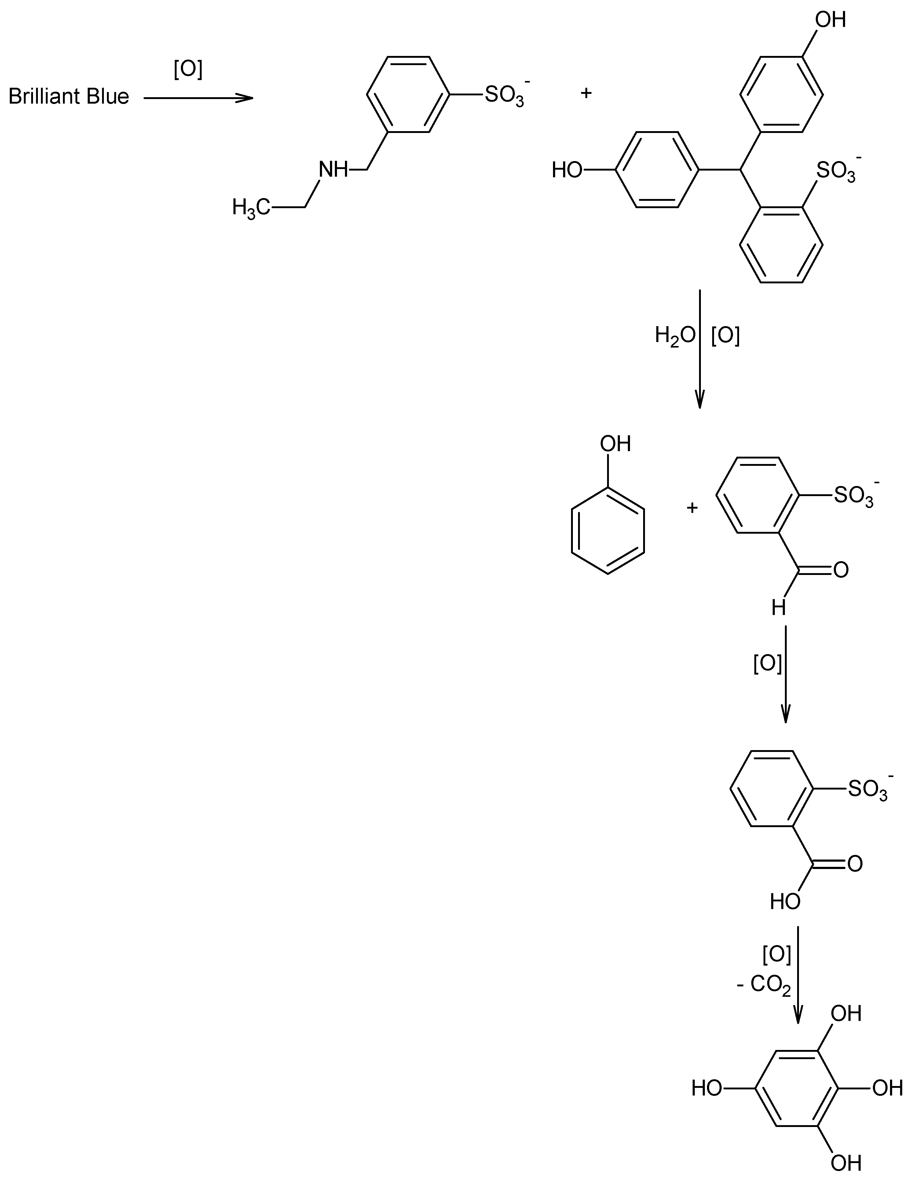
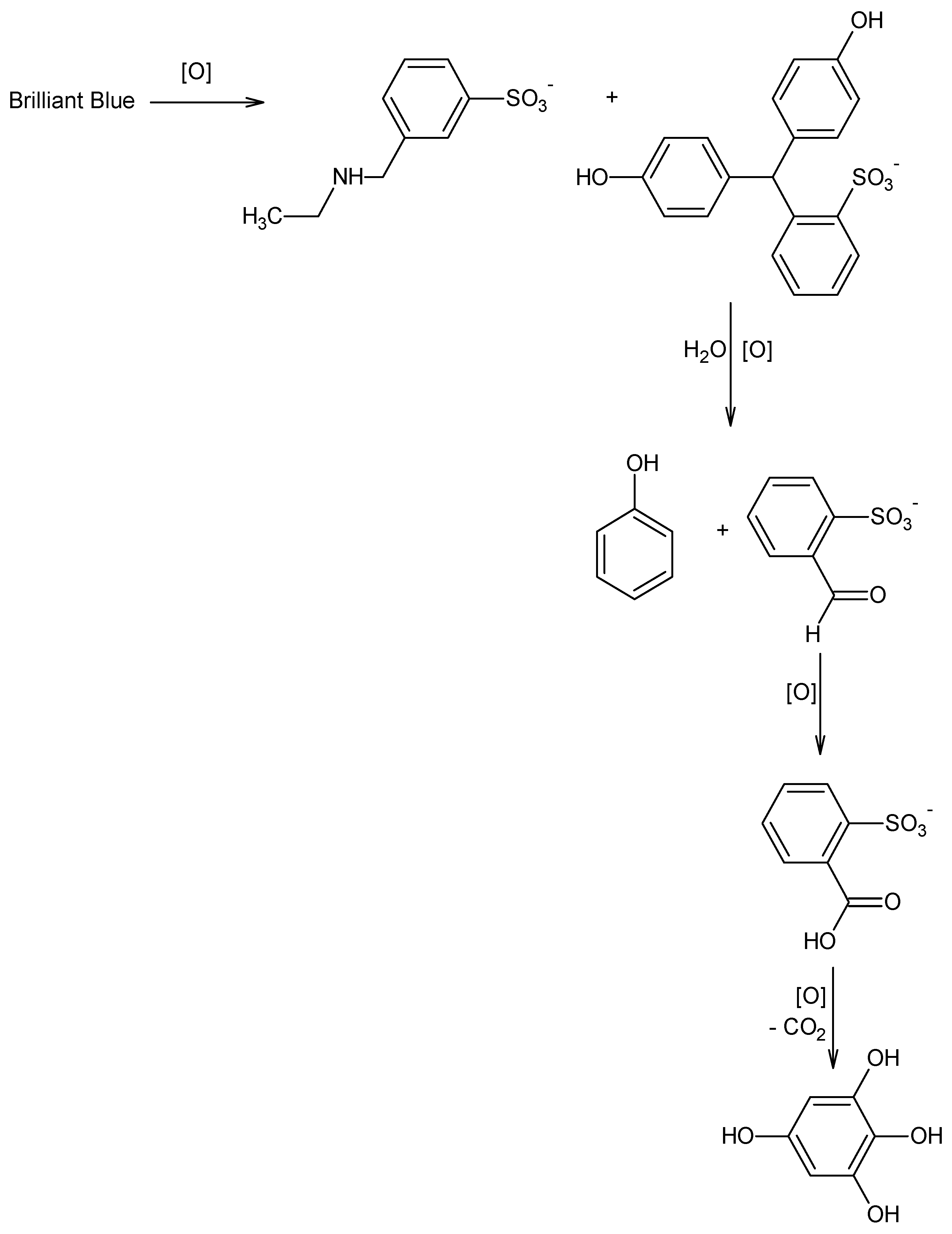
A proposed degradation pathway of the BB in aqueous solution using ozone is illustrated in Scheme 1 [2].
Scheme 1.
Proposed pathway of BB degradation from aqueous solutions by ozonation.
It should be mentioned that based on the initial conditions, the last reaction step cannot be kinetically observed.
Corroborating the data obtained using NMR spectroscopy with the literature data [2], the existence of four degradation by-products in the ozonized mixture is confirmed.

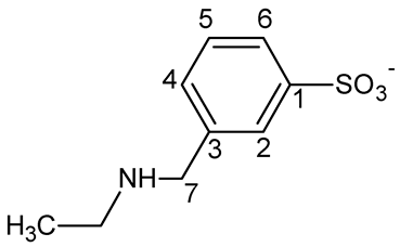
1H-NMR (500.13 MHz, D2O, δ pmm, J Hz): 8.14 (m, 1H, H-2), 7.90–7.89 (m, 2H, H-4 and H-6, overlapped with other aromatic signals from compounds resulting from Brilliant Blue degradation), 7.78 (t, 1H, H-5, 7.85 Hz), 4.32 (s, 1H, H-7), 3.05 (q, 2H, CH2 from ethyl, 7.40 Hz), 1.28 (t, 3H, CH3 from ethyl, 7.40 Hz).

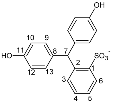
1H-NMR (500.13 MHz, D2O, δ pmm, J Hz): 7.90–7.89 (m, 1H, H-6, overlapped with other aromatic signals from compounds resulting from Brilliant Blue degradation), 7.63–7.62 (m, 3H, H-3, H-4 and H-5), 7.30–7.26 (m, 4H, H-9 and H-13), 7.08–7.06 (m, 4H, H-10 and H-12), 5.35 (s, 1H, H-7).

1H-NMR (500.13 MHz, D2O, δ pmm, J Hz): 10.03 (s, 1H, CHO), 8.00 (m, 1H, H-4), 7.95 (m, 1H, H-5), 7.90–7.89 (m, 1H, H-3 and H-6, overlapped with other aromatic signals from compounds resulting from Brilliant Blue degradation).

1H-NMR (500.13 MHz, D2O, δ pmm, J Hz): 6.39 (s, 2H, H-3 and H-5).
Several studies described the oxidation by-products being more toxic than the initial dye solution [2,4,5,28].
Thus, the idea of kinetic modeling is motivated by the structural complexity of the dye and its multiple splitting possibilities depending on the attack conditions, as there are too many unknowns and the stoichiometry of the reactions is not known either.
3.3. Kinetic Modeling
3.3.1. Specifying the Kinetic Model
As amply demonstrated in Section 3.1 (Table 1), the ozonation process is far too complicated to be modeled by classic (pseudo-) first- or second-order kinetic equations. This is mainly due to its complex nature, involving a reaction chain along which the chromophore is successively degraded to simpler by-products, each with their own (diminishing) reactivity, as well as being due to the involvement of gas–liquid mass transfer, although neither of these stages (mass transfer and chemical) is rate limiting. As such, a new kinetic model, incorporating both stages and treating them explicitly on sound mathematical grounds, is required.
In order to build an adequate model for the ozonation of BB, it was necessary to accept the following simplifying assumptions:
- There are a finite number of reaction sites on the BB molecule;
- The reactivities of these sites are sufficiently different so that they are attacked in succession (that is, no two sites can be attacked at the same time). This means that the ozone molecule reacts with the initial chromophore at its most reactive site, then with the first ozonation by-product at its most reactive site, and so on;
- The first attack destroys the chromophore, so the rate of discoloration is proportional to the rate of BB decay;
- Each ozonation step follows apparent second-order kinetics (first order with respect to both ozone and substrate).
Under these simplifying assumptions, the global ozonation process can be described by the following reaction chain (1):
where are, respectively, the initial chromophore and its successive decomposition by-products. Moreover, as discussed later, it is likely that the actual reaction pathway changes with reaction conditions (e.g., initial ozone or BB concentrations, pH value, temperature, etc.).
As each reaction is assumed to follow second-order kinetics (first order with respect of each reactant), chain (1) can be described by the following system of differential Equation (2):
A solution of this system can be obtained as a family of trajectories, the most useful of which expresses the concentration of each intermediate as a function of the concentration of the original chromophore . This family of trajectories is the solution of the reduced system (3), which is readily solved by a succession of integration and substitution steps, as each equation is linear and inhomogeneous with variable coefficients.
The general solution of system (3) with initial condition can be shown, by the complete induction over n, to be of the following form:
Based on reaction chain (1) and mathematical model (2), the rate of ozone consumption can be expressed as:
as the intrinsic decomposition of ozone in aqueous solutions (in the absence of organic compounds) has been found to be negligibly slow at acidic or neutral pH values [29]. This can be further manipulated to yield the following:
where is the number of secondary ozonation steps (that is, after the destruction of the original chromophore).
Upon the substitution of (4), this finally becomes:
3.3.2. Mass Transfer Modeling
Mass transfer modeling is based on the double layer theory. According to this theory, the mass transfer pathway is broken into four regions—bulk gas, the gas diffusion layer, the liquid diffusion layer, and bulk liquid. A detailed description of the double layer theory is beyond the scope of this work, and can be found in any standard textbook on mass transfer and diffusion reaction kinetics [29].
Each region has its own mass transfer regime, as follows:
- Bulk gas is considered to be homogeneous, so that the partial pressure of the gaseous reagent is a function of time alone. As notated, air is continuously fed into the reactor; is taken to be constant;
- In the gas diffusion layer, mass transfer is considered to be stationary. Consequently, the total flow of ozone across this region is given by the integrated form of Fick’s equation, as follows:where is the mass transfer coefficient of ozone in the gas phase, and and are the partial pressures of ozone in the bulk gas and at the gas–liquid interface, respectively.
- The liquid diffusion layer is treated analogously, so the ozone flow across this layer is given by:where is the mass transfer coefficient of ozone in the liquid phase, and and are the partial concentrations of ozone in the bulk liquid and at the gas–liquid interface, respectively.
- Finally, bulk liquid is considered to be homogeneous, so , the bulk liquid ozone concentration, is taken to be a function of time alone. Its value is controlled by both reaction rate and ozone intake from the gas phase, through the stationary condition.
Assuming a gas–liquid equilibrium at the interface, the stationarity condition across the diffusion pathway yields the following expression for the ozone intake in the liquid phase:
where is the global mass transfer coefficient of ozone, is Henry’s law constant for ozone, and and retain their above-mentioned meanings.
The overall reaction diffusion model is obtained by imposing an overall stationary condition on the ozone flow across the whole gas–liquid system. This successively yields the following:
Solving this equation for and substituting in the rate law for initial chromophore decay yields the following:
It is easy to show (by direct integration) that the inverse solution (i.e., ) of this equation can be expressed as follows:
where , , and are aggregate parameters, depending on the partial ozone pressure in the gas phase, the global mass transfer coefficient of ozone, Henry’s law constant for ozone in water, and rate constants for all reactions in chain (1).
As a further simplification, the ratio
is assumed to be independent of i. This amounts to assuming that the difference between activation energies in successive steps of chain (1) is approximately constant. Under this hypothesis, the reaction diffusion model finally becomes:
which, upon treating and as reactivity and chain-length meta-parameters, respectively, is a multi-linear model with component functions, as follows:
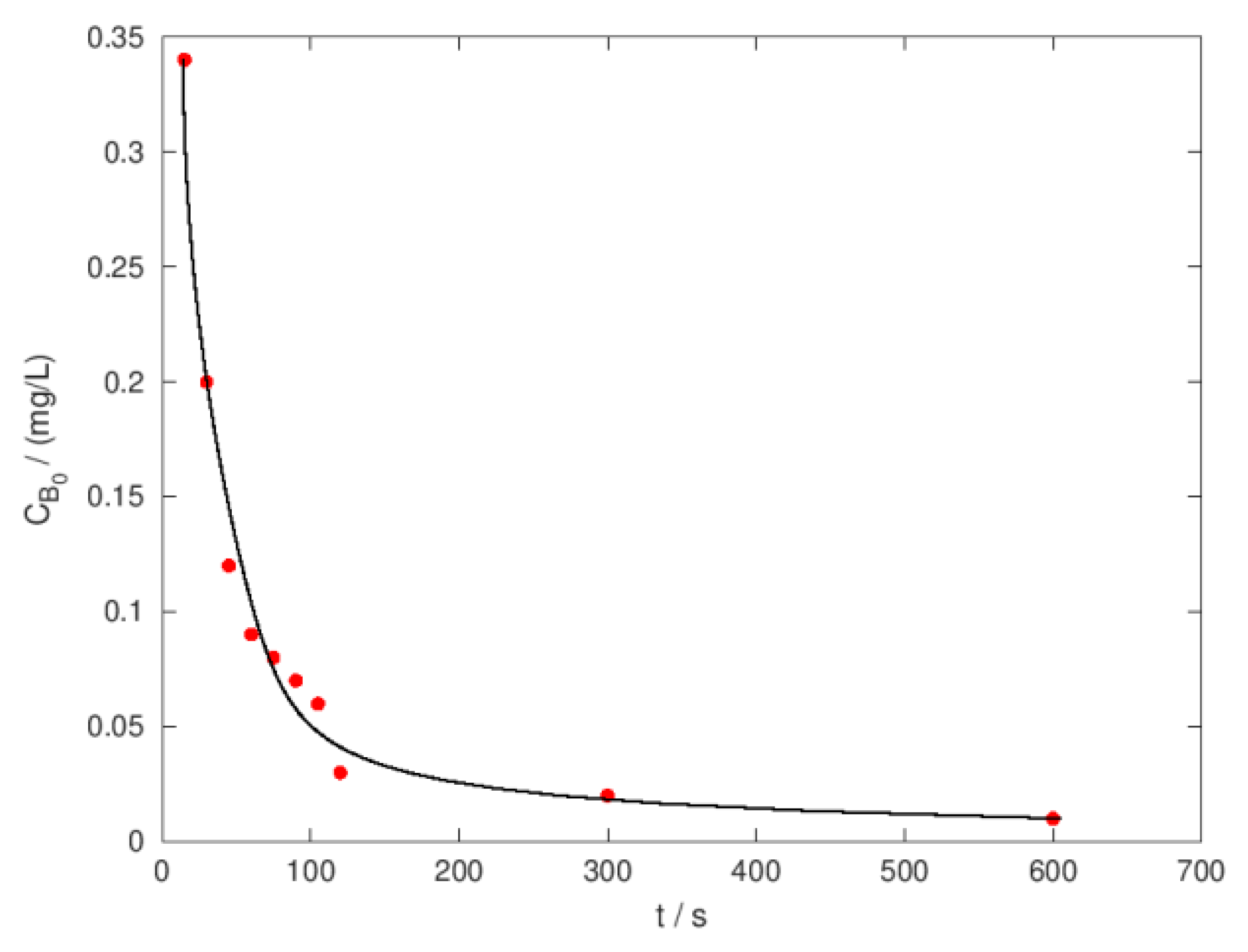
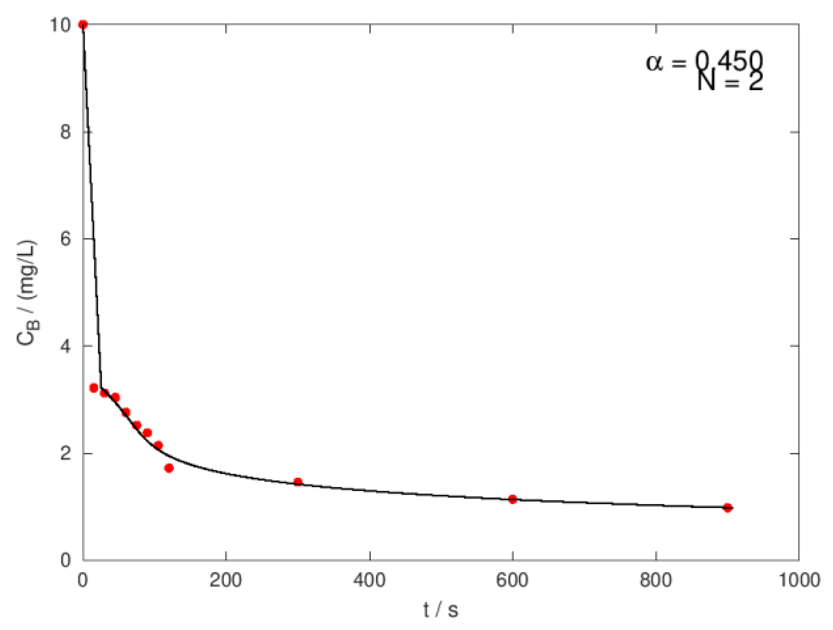
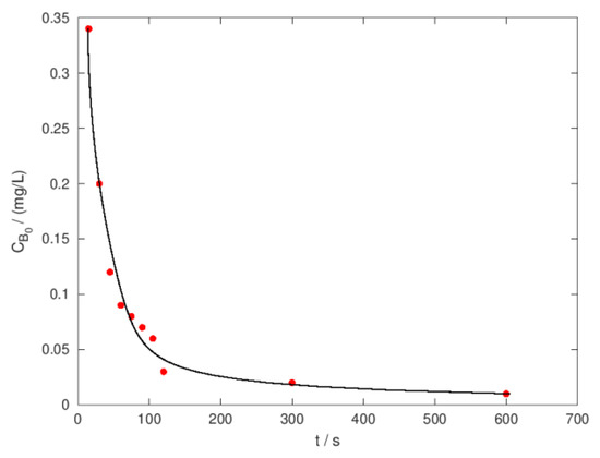
In order to validate model (9), the underlying experimental data should carry sufficient kinetic information. Upon inspecting the available data, it was decided to select the following sets for BB decay data measured at pH = 7, with stirring, different BB and ozone concentrations: 1. C0 = 2.5 mg/L, CO3 = 100 mg/L; 2. C0 = 5.0 mg/L, CO3 = 100 mg/L; 3. C0 = 7.5 mg/L, CO3 = 100 mg/L; 4. C0 = 10.0 mg/L, CO3 = 100 mg/L; 5. C0 = 5.0 mg/L, CO3 = 150 mg/L.
The remaining data sets were excluded either because they were too small (too few data points to support a meaningful regression) or because the kinetic information they carried was too scarce (the initial chromophore decayed almost entirely before the first data point was even measured). As all parameters of model (9) are aggregates of several unknown quantities, it is not possible to assign any meaning to them. The only consistency criterion than can be inferred from their structure is that β0 should be positive, as it is a product of physical quantities for which only positive values are meaningful. Apart from that, there is no a priori condition that can be imposed on either the sing or the value of any other parameter. This is why these values are not reported in this work. Parameter estimation was performed based on model (9) by ordinary linear regression, and the results (in the form of a calculated kinetic curve) are plotted along the experimental data in Figure 6.
Figure 6.
Experimental and calculated kinetic curve for BB decay at pH = 7, initial chromophore concentration 2.5 mg/L, and gas-phase ozone concentration 100 mg/L; full time range.
Figure 6 depicts the experimental and calculated kinetic curves over the entire time range of the experiment. It can be seen that model (9) fits the underlying data set very well. However, it should be noted that the data set itself provides no information about the first 15 s of the process, where, as it seems, about 85% of the initial chromophore decays. Therefore, the regression model is based only on data in the time range [15 s, 600 s], which covers the decay of less than 15% of the original chromophore. Figure 7 provides a closer look at the relationship between model (9) and experimental data over the relevant time range. As can be clearly seen, even at this much smaller scale, the agreement between the model and data is very good.
Figure 7.
Experimental and calculated kinetic curve for BB decay at pH = 7, initial chromophore concentration 2.5 mg/L, and gas-phase ozone concentration 100 mg/L. Time range [15 s, 600 s].
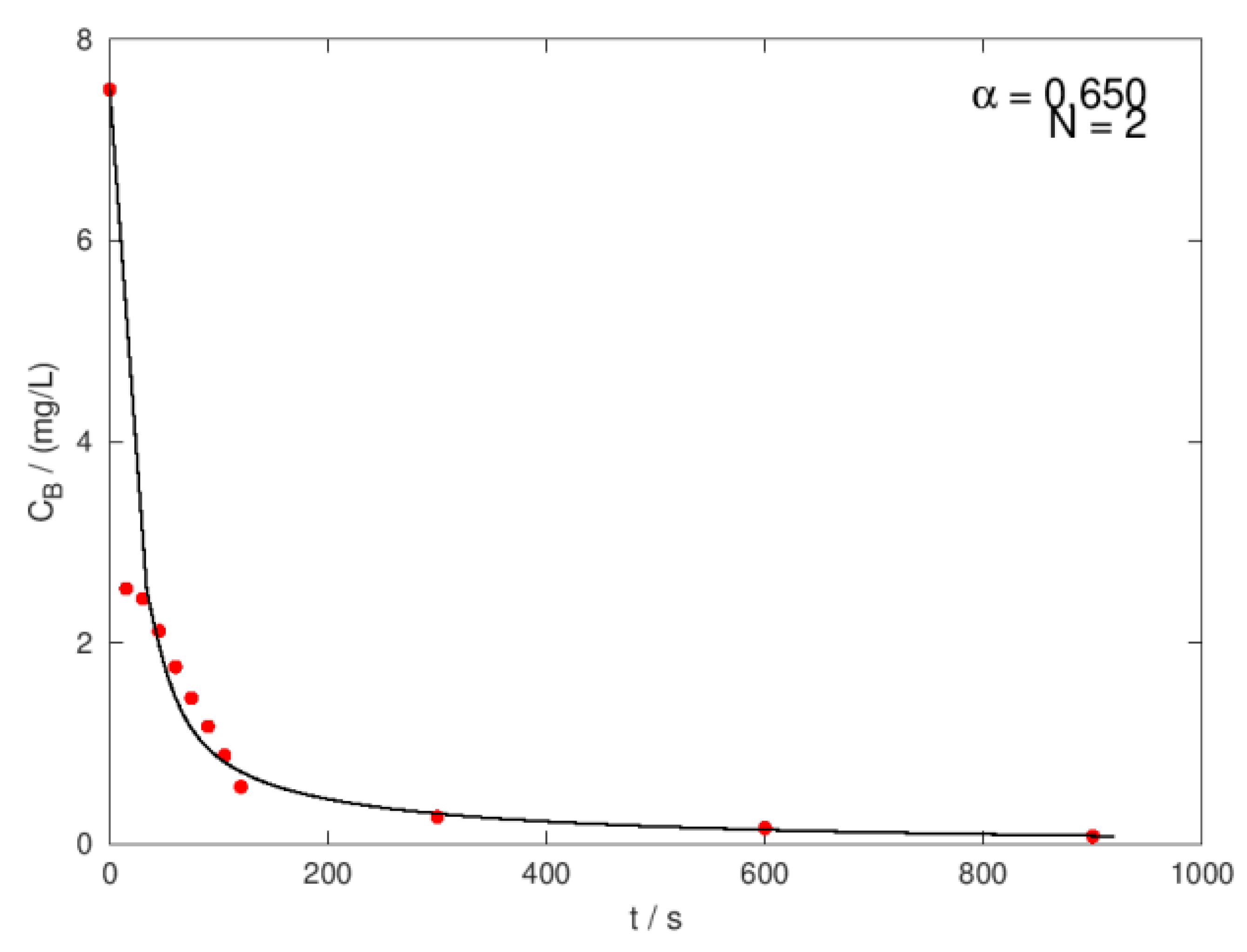
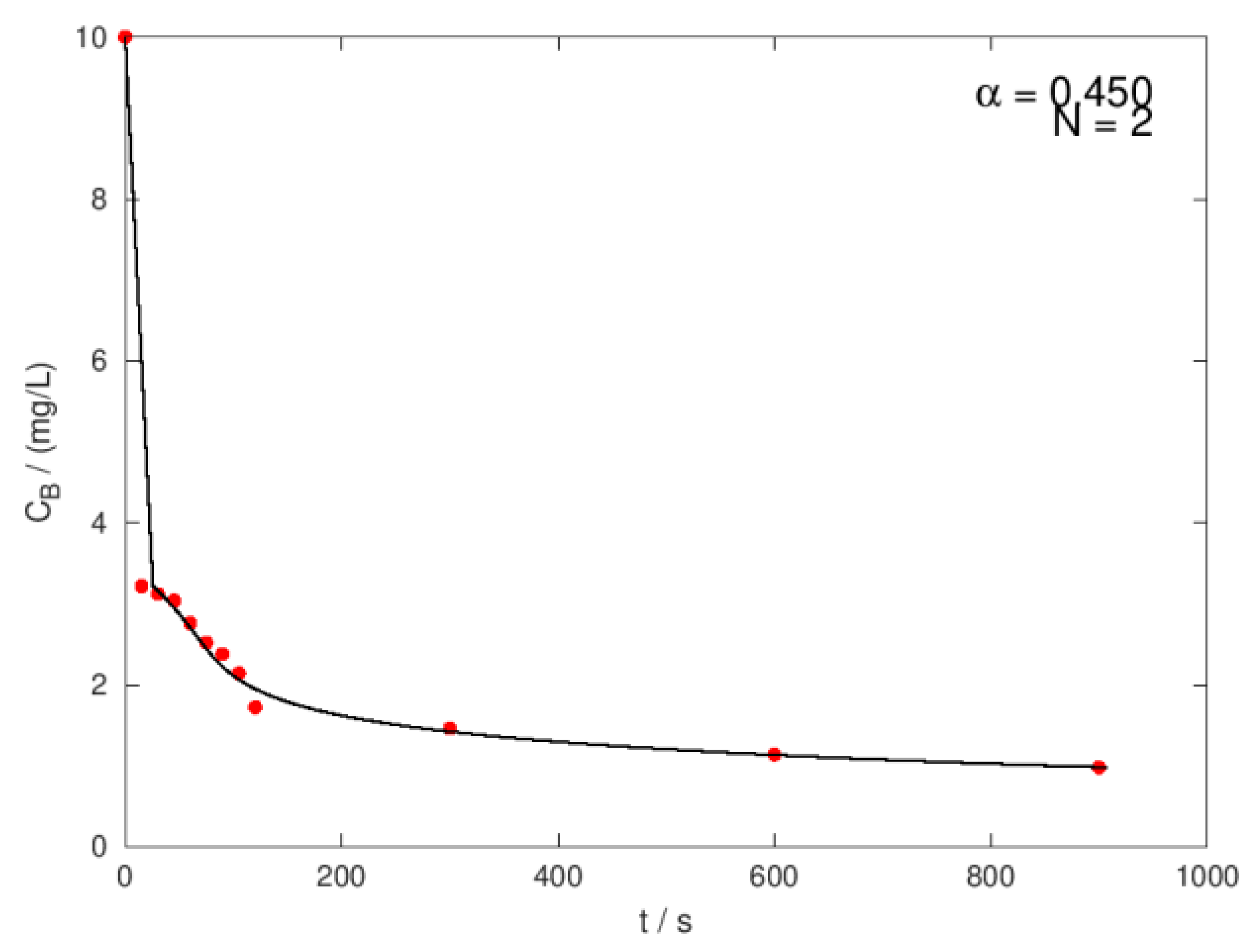
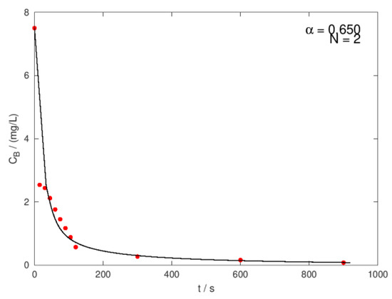
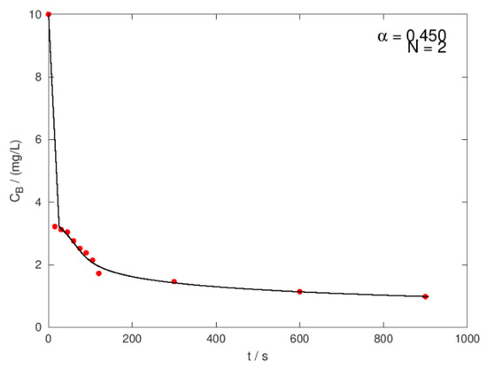
Similar observations can be made in relation to all other data sets. Figure 8, Figure 9 and Figure 10 depict the relationships between calculated and experimental kinetic curves measured at pH = 7, initial ozone concentration in the gas phase 100 mg/L, and initial chromophore concentrations of 5 mg/L, 7.5 mg/L, and 10 mg/L, respectively. In all cases, model (6) and the experimental data are in very good agreement. Also depicted on these plots are the reactivity and chain-length meta-parameter values (α and N, respectively). As can be seen, both the optimal values for these parameters change slightly with the initial chromophore concentration. More precisely, the chain-length parameter decreases from 3 (at initial chromophore concentration C0 = 2.5 mg/L) to 2 (at higher initial chromophore concentrations). A possible explanation for this is that as the initial concentration of the substrate increases, less and less ozone is left available for subsequent attacks on primary and secondary ozonation by-products, so the number of consecutive reactions in chain (1) decreases. The change in reactivity parameter, on the other hand, may indicate a corresponding change in the reaction pathway itself, which may translate into a change in chemical identity for intermediate products B1, B2, …, Bn in reaction chain (1).
Figure 8.
Experimental and calculated kinetic curve for BB decay at pH = 7, initial chromophore concentration 5 mg/L, and gas-phase ozone concentration 100 mg/L; full time range.
Figure 9.
Experimental and calculated kinetic curve for BB decay at pH = 7, initial chromophore concentration 7.5 mg/L, and gas-phase ozone concentration 100 mg/L; full time range.
Figure 10.
Experimental and calculated kinetic curve for BB decay at pH = 7, initial chromophore concentration 10 mg/L, and gas-phase ozone concentration 100 mg/L; full time range.
Finally, Figure 11 shows the model vs. data relationship for the data set measured at C0 = 5 mg/L, pH = 7, and gas phase ozone concentration 150 mg/L.
Figure 11.
Experimental and calculated kinetic curve for BB decay at pH = 7, initial chromophore concentration 5 mg/L, and gas-phase ozone concentration 150 mg/L; full time range.
As Figure 11 clearly shows, model (9) and the experimental data are in very good agreement. The chain-length parameter is as low as before (the liquid phase ozone excess is still insufficient to promote further reactions down chain (1)), but the reactivity parameter is even lower than before. A possible explanation of its decrease (which implies larger differences between activation energies in consecutive reactions of chain (1)) is as follows: at higher ozone concentrations, multiple sites on the initial chromophore may be attacked simultaneously, leading to an apparent increase in its reactivity, while by-products appearing on chain (1) all have fewer active sites, thus appearing to be less reactive.
4. Conclusions
The results obtained in this study allowed for the following assessments to be made for the discoloration process of BB by ozonation:
- The ozonation process of the BB dye can yield biodiverse by-products depending on initial conditions due to the structural complexity of the substrate;
- Classical kinetic models are not applicable, as the initial by-products can be further ozonated; therefore, the real process must involve a sequence of chain reactions;
- 1H-NMR spectroscopy analysis was performed at the discoloration time. As the results clearly show, decolorization does not indicate complete mineralization. Consequently, the process must be continued for a sufficient time after discoloration to ensure that no new toxic, yet colorless, by-products remain in the system;
- BB discoloration takes place through successive reactions that offer a possibility of modeling the process by taking into account both ozone diffusion from gas to liquid and the chained reaction system in the bulk liquid phase.
The systematics of the research allowed for the consolidation of the theoretical bases of the ozonation process, thus contributing to the possibility of applying it to other dye–ozone systems, assuring the sustainability of the approach, as well as its practical realization, thus constituting a research model.
Author Contributions
Conceptualization, L.S., C.C., A.V.C. and M.M.; methodology, L.S., C.C., A.V.C., M.M., A.H. and M.G.I.; software, A.V.C., C.C., A.H. and M.G.I.; validation, A.V.C., L.S. and C.C.; formal analysis, A.V.C., L.S., C.C. and M.M.; investigation, A.V.C., L.S., C.C. and M.M.; data creation, A.V.C., C.C., M.M., A.H. and M.G.I.; writing—original draft preparation, L.S., C.C. M.M., A.V.C. and M.G.I.; writing—review and editing, C.C. and A.V.C.; visualization, L.S., C.C. and A.V.C. All authors have read and agreed to the published version of the manuscript.
Funding
This research received no external funding.
Institutional Review Board Statement
Not applicable.
Informed Consent Statement
Not applicable.
Data Availability Statement
Conflicts of Interest
The authors declare no conflicts of interest.
References
- National Center for Biotechnology Information. PubChem Database. Brilliant Blue FCF, CID=19700, [Online]. Available online: https://pubchem.ncbi.nlm.nih.gov/compound/Brilliant-Blue-FCF (accessed on 11 September 2024).
- Cardoso da Silva, J.C.; Bispo, G.L.; Pavanelli, S.P.; de Casia Franco Afonso, R.J.; Augusti, R. Ozonation of the food dye Brilliant Blue in aqueous medium: Monitoring and characterization of products by direct infusion electrospray ionization coupled to high-resolution mass spectrometry, Rapid Commun. Mass Spectrom. 2012, 26, 1305–1310. [Google Scholar]
- Lewis, R.J., Sr.; Sax, I.N. Sax’s Dangerous Properties of Industrial Materials; Wiley & Sons, Inc.: Hoboken, NJ, USA, 2004; p. 1749. [Google Scholar]
- Chu, W.; Ma, C.W. Quantitative Prediction of Direct and Indirect Dye Ozonation Kinetics. Water Res. 2000, 34, 3153–3160. [Google Scholar] [CrossRef]
- Zeinab, A.A.; Ogarite, A.Y.; Mouhiaddine, M.E.J. Kinetic study of acid blue 1 discoloration with persulfate. J. Chem. Technol. Metall. 2017, 52, 812–824. [Google Scholar]
- Forgacs, E.; Cserhati, T.; Oros, G. Removal of synthetic dyes from wastewaters: A review. Environ. Int. 2004, 30, 953–971. [Google Scholar] [CrossRef]
- Gupta, V.K.; Khamparia, S.; Tyagi, I.; Jaspal, D.; Malviya, A. Decoloration of mixture of dyes: A critical review. Glob. J. Environ. Sci. Manag. 2015, 1, 71–91. [Google Scholar]
- Shindhal, T.; Rakholiya, P.; Varjani, S.; Pandey, A.; Ngo, H.H.; Guo, W.; Ng, H.Y.; Taherzadeh, M.J. A critical review on advances in the practices and perspectives for the treatment of dye industry wastewater. Bioengineering 2021, 12, 70–87. [Google Scholar] [CrossRef]
- Ardila-Leal, L.D.; Potou-Pinales, R.A.; Pedroza-Rodriquez, A.M.; Quevedo-Hidalgo, B.E. A brief history of colour the environmental impact of synthetic dyes and removal by using Laccases. Molecules 2021, 26, 3813. [Google Scholar] [CrossRef] [PubMed]
- Al-Tohamy, R.; Ali, S.S.; Li, F.; Okasha, K.M.; Mahmoud, Y.A.G.; Elsamahy, T.; Jiao, H.; Fu, Y.; Sun, J. A critical review on the treatment of dye-containing wastewater: Ecotoxicological and health concerns of textile dyes and possible remediation approaches for environmental safety. Ecotoxicol. Environ. Saf. 2022, 231, 113160. [Google Scholar] [CrossRef]
- Rekhate, C.V.; Srivastava, J.K. Recent advanced oxidation process for treatment of wastewater processes for treatment of wastewater—A review. Chem. Eng. J. Adv. 2000, 3, 100031. [Google Scholar] [CrossRef]
- Cusack, M.; Burns, A.; Okolie, J.A.; MacKay, W.; Rateb, M.; Yaseen, M. Ozone application in different industries: A review of recent developments. Chem. Eng. J. 2023, 454, 140188. [Google Scholar]
- Michelsen, D.L.; Powell, W.W.; Woodby, R.M.; Fulk, L.L.; Boardman, G.D. Pretreatment of Textile Dye Concentrates using Fenton’s Reagent and Ozonation Prior to Biodegradation. Available online: http://p2infohouse.org/ref/33/32156.pdf (accessed on 11 September 2024).
- Warnatz, J.; Maas, U.; Dibble, R.W. Combustion. Physical and Chemical Fundamentals, Modeling and Simulation, Experiments, Pollutant Formation, 4th ed.; Springer: Berlin/Heidelberg, Germany, 2006. [Google Scholar]
- Ikehata, K.; Naghashkarand, N.J.J.; Gamal El-Din, M. Degradation of aqueous pharmaceuticals by ozonation and advanced oxidation processes: A Review. J. Int. Ozone Assoc. 2006, 28, 353–414. [Google Scholar] [CrossRef]
- Tiwari, B.K.; Muthukumarappan, K.; Donnel, C.P.O.; Cullen, P.J. Modelling color degradation of orange juice by ozone treatment using response surface methodology. J. Food Eng. 2008, 88, 553–560. [Google Scholar] [CrossRef]
- Marcvart, M.; Constantin, C.; Stoica, L. Discoloration of food dyes from aqueous media by ozonation. Case study: Brilliant Blue. UPB Sci. Bull. Ser. B 2019, 81, 119–130. [Google Scholar]
- Hung-Yee, S.; Ching-Rong, H. Degradation of commercial azo dyes in water using ozonation and UV enhanced ozonation process. Chemosphere 1995, 31, 3813–3825. [Google Scholar] [CrossRef]
- Shu, H.Y.; Chang, M.C. Decolorization of six azo dyes by O3, UV/O3 and UV/H2O2 processes. Dyes Pigm. 2005, 65, 25–31. [Google Scholar] [CrossRef]
- Tarek, M.E. Chapter Four—Ozonation in drinking water treatment: An overview of general and practical aspects, mechanisms, kinetics, and byproduct formation. Compr. Anal. Chem. 2021, 92, 85–116. [Google Scholar]
- Lim, S.; Shi, J.L.; von Gunten, U.; McCurry, D.L. Ozonation of organic compounds in water and wastewater: A critical review. Water Res. 2022, 213, 118053. [Google Scholar] [CrossRef]
- Malik, S.N.; Grosh, P.C.; Vaidya, A.N.; Mudlier, S.N. Hybrid ozonation process for industrial wastewater treatment: Principles and applications: A review. J. Water Process Eng. 2020, 35, 101193. [Google Scholar] [CrossRef]
- Bi, Z.; Wang, W.; Zhao, L.; Wang, X.; Xing, D.; Zhou, Y.; Lee, D.J.; Ren, N.; Chen, C. The generation and transformation mechanisms of reactive oxygen species in the environment and their implications for pollution control processes: A review. Environ. Res. 2024, 260, 119592. [Google Scholar] [CrossRef]
- von Gunten, U. Ozonation of drinking water: Part I. Oxidation kinetics and product formation. Water Res. 2003, 37, 1443–1467. [Google Scholar] [CrossRef] [PubMed]
- Molteni, U.; Simon, M.; Heiritzi, M.; Hoyle, C.R.; Bernhammer, A.K.; Bianchi, F.; Breitenlechner, M.; Brilke, S.; Dias, A.; Duplissy, J.; et al. Formation of Highly Oxigenated Organic Molecules from α-Pinene Ozonolysis: Chemical Characteristics, Mechanism, and Kinetic Model Development. ACS Earth Space Chem. 2019, 3, 871–883. [Google Scholar] [CrossRef]
- Willis, M.D.; Wilson, K.R. Coupled Interfacial and Bulk Kinetics Govern the Timescale of Multiphase Ozonolysis Reactions. J. Phys. Chem. A 2022, 126, 4991–5010. Available online: https://escholarship.org/uc/item/505357mb (accessed on 11 September 2024). [CrossRef] [PubMed]
- Marcvart Tiron, M.; Lucaciu, I.E.; Nita-Lazar, M.; Gheorghe, S. Considerations on the Toxicity of Brilliant Blue FCF aqueous solutions before and after ozonation. Rev. Chim. 2020, 71, 356–365. [Google Scholar] [CrossRef]
- Sakamoto-Lopes, M.; Braga-Moruzzi, R.; Tomazini-Conceição, F.; Gabriel-Silva, M.S.; Pereira-Antunes, M.L. Factors and mass ratio analyses for Reactive Blue 19 dye decolorization using ozone: An experimental and analytical modelling approach. Eng. Sanit. E Ambient. 2019, 24, 431–438. [Google Scholar] [CrossRef]
- Missen, R.W.; Mims, C.A.; Saville, B.A. Introduction to Chemical Reaction Engineering and Kinetics; John Wiley & Sons: Hoboken, NJ, USA, 1999. [Google Scholar]
Disclaimer/Publisher’s Note: The statements, opinions and data contained in all publications are solely those of the individual author(s) and contributor(s) and not of MDPI and/or the editor(s). MDPI and/or the editor(s) disclaim responsibility for any injury to people or property resulting from any ideas, methods, instructions or products referred to in the content. |
© 2024 by the authors. Licensee MDPI, Basel, Switzerland. This article is an open access article distributed under the terms and conditions of the Creative Commons Attribution (CC BY) license (https://creativecommons.org/licenses/by/4.0/).














