Using HF183 to Estimate Watershed-Wide Annual Loadings of Human Fecal Pollution from Onsite Wastewater Treatment Systems
Abstract
1. Introduction
2. Materials and Methods
2.1. Setting
2.2. General Approach
2.3. Site Selection
2.4. Laboratory Analysis
2.5. Data Analysis
2.5.1. Representativeness of Sampling Sites
2.5.2. Summary HF183 Results
2.5.3. SDR Watershed-Wide HF183 Mass Loading Estimates
3. Results
3.1. Representativeness
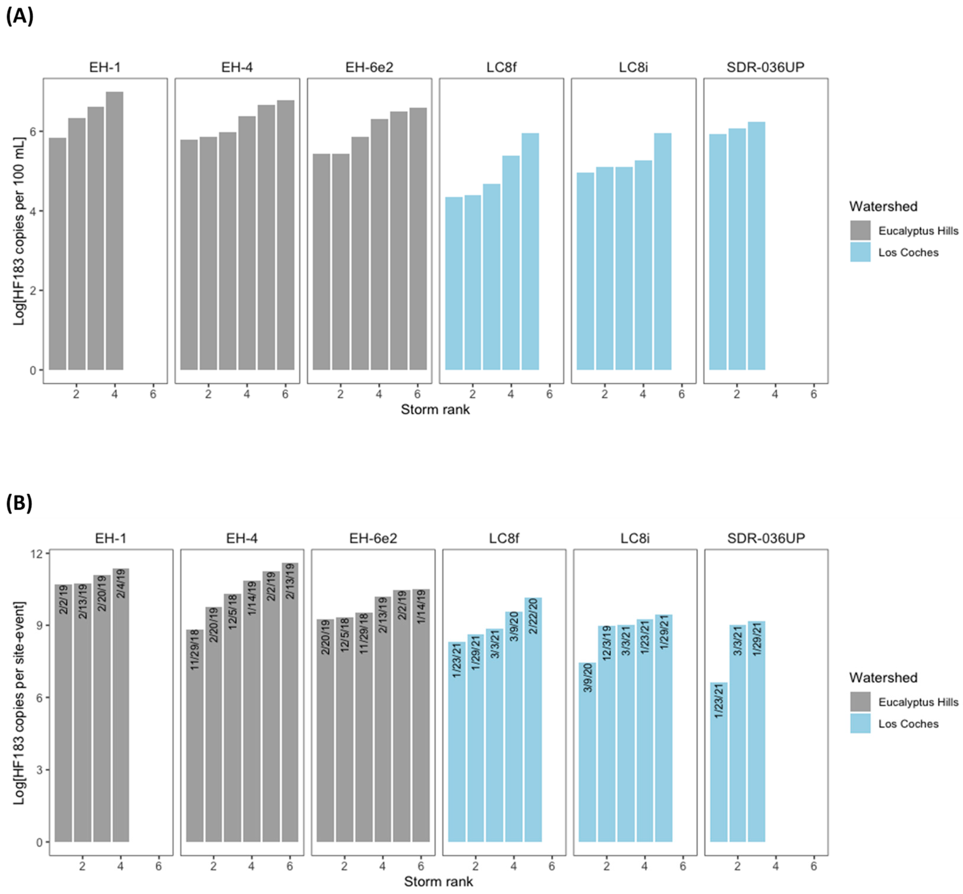
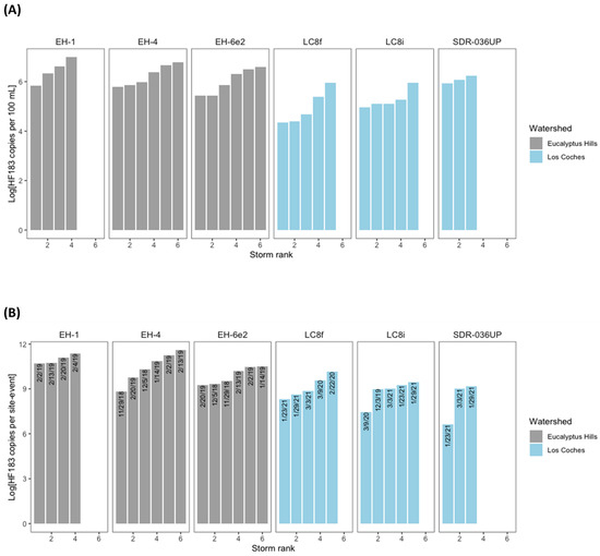
3.2. HF183 Concentrations and Loading
3.3. Validating Loading Estimates for Watershed Extrapolation
3.4. Extrapolating OWTS HF183 Loading to the Entire Watershed
4. Discussion
5. Conclusions
Supplementary Materials
Author Contributions
Funding
Institutional Review Board Statement
Informed Consent Statement
Data Availability Statement
Acknowledgments
Conflicts of Interest
References
- Schiff, K.C.; Morton, J.; Weisberg, S.B. Retrospective evaluation of shoreline water quality along Santa Monica Bay beaches. Mar. Environ. Res. 2003, 56, 245–253. [Google Scholar] [CrossRef] [PubMed]
- Dwight, R.H.; Brinks, M.V.; SharavanaKumar, G.; Semenza, J.C. Beach Attendance and Bathing Rates for Southern California Beaches. Ocean Coast. Manag. 2007, 50, 847–858. [Google Scholar] [CrossRef]
- SWRCB. 2020–2022 Integrated Report for Clean Water Act Sections 303(d) and 305(b); Final Staff Report; State Water Resources Control Board: Sacramento, CA, USA, 2022; 99p. Available online: https://www.waterboards.ca.gov/water_issues/programs/water_quality_assessment/2020_2022_integrated_report.html (accessed on 28 June 2024).
- San Diego Region Bacteria TMDL Cost Benefit Analysis Steering Committee. Cost Benefit Analysis Bacteria Total Maximum Daily Loads. 2017. Available online: https://www.google.com/url?sa=t&rct=j&q=&esrc=s&source=web&cd=&ved=2ahUKEwiRnKjG7Mb-AhUmE1kFHabmAd8QFnoECA4QAQ&url=https%3A%2F%2Fwww.waterboards.ca.gov%2Fsandiego%2Fwater_issues%2Fprograms%2Fbasin_plan%2Fdocs%2Fissue3%2FFinal_CBA.pdf&usg=AOvVaw3dBfW53P_EjA-3dZLSJNtw (accessed on 28 June 2024).
- Noble, R.T.; Weisberg, S.B.; Leecaster, M.K.; McGee, C.D.; Dorsey, J.H.; Vainik, P.; Orozco-Borbon, V. Storm effects on regional beach water quality along the southern California shoreline. J. Water Health 2003, 1, 23–31. [Google Scholar] [CrossRef] [PubMed]
- Parker, J.K.; McIntyre, D.; Noble, R.T. Characterizing fecal contamination in stormwater runoff in coastal North Carolina, USA. Water Res. 2010, 44, 4186–4194. [Google Scholar] [CrossRef]
- Sauer, E.P.; VandeWalle, J.L.; Bootsma, M.J.; McLellan, S.L. Detection of the human specific Bacteroides genetic marker provides evidence of widespread sewage contamination of stormwater in the urban environment. Water Res. 2011, 45, 4081–4091. [Google Scholar] [CrossRef]
- Selvakumar, A.; Borst, M. Variation of microorganism concentrations in urban stormwater runoff with land use and seasons. J. Water Health 2006, 4, 109–124. [Google Scholar] [CrossRef]
- Chow, M.F.; Yusop, Z.; Toriman, M.E. Level and transport pattern of faecal coliform bacteria from tropical urban catchments. Water Sci. Technol. 2013, 67, 1822–1831. [Google Scholar] [CrossRef]
- Pitt, R.; Maestre, A.; Clary, J. The National Stormwater Quality Database (NSQD), Version 4.02; Department of Civil and Environmental Engineering, University of Alabama: Tuscaloosa, AL, USA, 2018; Available online: https://bmpdatabase.org/national-stormwater-quality-database (accessed on 28 June 2024).
- Tiefenthaler, L.L.; Stein, E.D.; Schiff, K.C. Levels and patterns of fecal indicator bacteria in stormwater runoff from homogenous land use sites and urban watersheds. J. Water Health 2011, 9, 279–290. [Google Scholar] [CrossRef] [PubMed]
- Griffith, J.F.; Schiff, K.C.; Lyon, G.S.; Fuhrman, J.A. Microbiological water quality at nonhuman influenced reference beaches in southern California during wet weather. Mar. Pollut. Bull. 2010, 60, 500–508. [Google Scholar] [CrossRef]
- Bernhard, A.E.; Field, K.G. A PCR assay to discriminate human and ruminant feces on the basis of host differences in Bacteroides-Prevotella genes encoding 16S rRNA. Appl. Environ. Microbiol. 2000, 66, 4571–4574. [Google Scholar] [CrossRef]
- Haugland, R.A.; Varma, M.; Sivaganesan, M.; Kelty, C.; Peed, L.; Shanks, O.C. Evaluation of genetic markers from the 16S rRNA gene V2 region for use in quantitative detection of selected Bacteroidales species and human fecal waste by qPCR. Syst. Appl. Microbiol. 2010, 33, 348–357. [Google Scholar] [CrossRef] [PubMed]
- Layton, B.A.; Cao, Y.; Ebentier, D.L.; Hanley, K.; Balleste, E.; Brandao, J.; Byappanahalli, M.; Converse, R.; Farnleitner, A.; Gentry-Shields, J.; et al. Griffith. Performance of human fecal anaerobe-associated PCR-based assays in a multi-laboratory method evaluation study. Water Res. 2013, 47, 6897–6908. [Google Scholar] [CrossRef] [PubMed]
- Boehm, A.B.; Van De Werfhorst, L.C.; Griffith, J.F.; Holden, P.A.; Jay, J.A.; Shanks, O.C.; Wang, D.; Weisberg, S.B. Performance of forty-one microbial source tracking methods: A twenty-seven lab evaluation study. Water Res. 2013, 47, 6812–6828. [Google Scholar] [CrossRef] [PubMed]
- Nguyen, K.H.; Senay, C.; Young, S.; Nayak, B.; Lobos, A.; Conrad, J.; Harwood, V.J. Determination of wild animal sources of fecal indicator bacteria by microbial source tracking (MST) influences regulatory decisions. Water Res. 2018, 144, 424–434. [Google Scholar] [CrossRef] [PubMed]
- Yost, C.K.; Diarra, M.S.; Topp, E. Chapter 4, Animals and humans as sources of fecal indicator bacteria. In The Fecal Bacteria; Sadowsky, M.J., Whitman, R.L., Eds.; Wiley: Hoboken, NJ, USA, 2010; pp. 67–91. [Google Scholar] [CrossRef]
- Boehm, A.B.; Soller, J.A. Risks Associated with Recreational Waters: Pathogens and Fecal Indicators. In Encyclopedia of Sustainability Science and Technology; Laws, E.A., Ed.; Springer: Berlin/Heidelberg, Germany, 2011. [Google Scholar]
- Harwood, V.J.; Staley, C.; Badgley, B.D.; Borges, K.; Korajkic, A. Microbial source tracking markers for detection of fecal contamination in environmental waters: Relationships between pathogens and human health outcomes. FEMS Microbiol. Rev. 2014, 38, 1–40. [Google Scholar] [CrossRef]
- Soller, J.A.; Schoen, M.E.; Varghese, A.; Ichida, A.M.; Boehm, A.B.; Eftim, S.; Ashbolt, N.J.; Ravenscroft, J.E. Human health risk implications of multiple sources of faecal indicator bacteria in a recreational waterbody. Water Res. 2014, 66, 254–264. [Google Scholar] [CrossRef]
- Soller, J.; Bartrand, T.; Ravenscroft, J.; Molina, M.; Whelan, G.; Schoen, M.; Ashbolt, N. Estimated human health risks from recreational exposures to stormwater runoff containing animal faecal material. Environ. Model. Softw. 2015, 72, 21–32. [Google Scholar] [CrossRef]
- Bounds, T.R. Design and performance of septic tanks. In Site Characterization and Design of On-Site Septic Systems, ASTM STP 1324; Bedinger, M.S., Fleming, J.S., Johnson, I., Eds.; American Society of Testing and Materials: Philadelphia, PA, USA, 1997; pp. 217–244. [Google Scholar]
- Butler, D.; Payne, J. Septic tanks: Problems and practice. Build. Environ. 1995, 30, 419–425. [Google Scholar] [CrossRef]
- Alhajjar, B.J.; Chesters, G.; Harkin, J.M. Indicators of chemical pollution from septic systems. Groundwater 1990, 28, 559–568. [Google Scholar] [CrossRef]
- County of San Diego. Onsite Wastewater Systems Permitting Process and Design Criteria; County of San Diego, Department of Environmental Health, Land and Water Quality Division: San Diego, CA, USA, 2010; 15p. Available online: https://www.google.com/url?sa=t&rct=j&q=&esrc=s&source=web&cd=&ved=2ahUKEwiZk7LyhKyEAxU4DkQIHT1-AHIQFnoECBEQAQ&url=https%3A%2F%2Fwww.sandiegocounty.gov%2Fcontent%2Fdam%2Fsdc%2Fdeh%2Flwqd%2FSeptic_System_Design_Criteria_3-22-10.pdf&usg=AOvVaw3DksVFEfaBvUvGrJ8AIT17&opi=89978449 (accessed on 28 June 2024).
- SD RWQCB. Investigative Order R9-2019-0014 to Identify and Quantify the Sources and Transport Pathways of Human Fecal Material to the Lower San Diego River Watershed; San Diego Regional Water Quality Control Board: San Diego, CA, USA, 2019; 36p. Available online: https://www.waterboards.ca.gov/sandiego/board_decisions/adopted_orders/2019/R9–2019-0014.pdf (accessed on 28 June 2024).
- Weston Solutions. Identification of Parcels with Onsite Wastewater Treatment Systems; Contract Number 551492 TO82; County of San Diego, Watershed Protection Division: San Diego, CA, USA, 2020; 14p.
- Leecaster, M.K.; Schiff, K.C.; Tiefenthaler, L.L. Assessment of efficient sampling designs for urban stormwater monitoring. Water Res. 2002, 36, 1556–1564. [Google Scholar] [CrossRef]
- Cao, Y.; Raith, M.R.; Griffith, J.F. Droplet digital PCR for simultaneous quantification of general and human-associated fecal indicators for water quality assessment. Water Res. 2015, 70, 337–349. [Google Scholar] [CrossRef] [PubMed]
- Steele, J.A.; Blackwood, A.D.; Griffith, J.F.; Noble, R.T.; Schiff, K.C. Quantification of pathogens and markers of fecal contamination during storm events along popular surfing beaches in San Diego, California. Water Res. 2018, 136, 137–149. [Google Scholar] [CrossRef]
- ASTM-D2487; Standard Practice for Classification of Soils for Engineering Purposes (Unified Soil Classification System), Standard D2487. Association of Standard Testing and Materials International: West Conshohocken, PA, USA, 2000. [CrossRef]
- Withers, P.; Jordan, P.; May, L.; Jarvie, H.P.; Deal, N.E. Do septic tank systems pose a hidden threat to water quality? Front. Ecol. Environ. 2013, 12, 123–130. [Google Scholar] [CrossRef]
- Humphrey, C.; Finley, A.; O’Driscoll, M.; Manda, A. Groundwater and stream E. coli concentrations in coastal plain watersheds served by onsite wastewater and a municipal sewer treatment system. Water Sci. Technol. 2015, 72, 1851–1860. [Google Scholar] [CrossRef] [PubMed]
- Iverson, G.; Humphrey, C.P.; Postma, M.H.; O’Driscoll, M.A.; Manda, A.K.; Finley, A. Influence of Sewered Versus Septic Systems on Watershed Exports of E. coli. Water Air Soil. Pollut. 2017, 228, 237. [Google Scholar] [CrossRef]
- Jordan, M.A.; Ojeda, A.S.; Larson, E.A.; Rogers, S.R. Investigating the Relationship between Surface Water Pollution and Onsite Wastewater Treatment Systems. Environ. Sci. Technol. 2023, 57, 17042–17050. [Google Scholar] [CrossRef] [PubMed]
- Conn, K.E.; Habteselassie, M.Y.; Blackwood, D.; Noble, R.T. Microbial water quality before and after the repair of a failing onsite wastewater treatment system adjacent to coastal waters. J. Appl. Microbiol. 2012, 112, 214–224. [Google Scholar] [CrossRef]
- Lusk, M.G.; Toor, G.S.; Yang, Y.Y.; Mechtensimer, S.; De, M.; Obreza, T.A. A review of the fate and transport of nitrogen, phosphorus, pathogens, and trace organic chemicals in septic systems. Crit. Rev. Environ. Sci. Technol. 2017, 47, 455–541. [Google Scholar] [CrossRef]
- Goehring, D.R.; Carr, F.R. Septic system problems on an urban fringe. J. Water Resour. Plan. Manag. Div. 1980, 106, 89–102. [Google Scholar] [CrossRef]
- Sowah, R.A.; Habteselassie, M.Y.; Radcliffe, D.E.; Bauske, E.; Risse, M. Isolating the impact of septic systems on fecal pollution in streams of suburban watersheds in Georgia, United States. Water Res. 2017, 108, 330–338. [Google Scholar] [CrossRef]
- Hagedorn, C.; McCoy, E.L.; Rahe, T.M. The potential for ground water contamination from septic effluents. J. Environ. Qual. 1981, 10, 1–8. [Google Scholar] [CrossRef]
- Ahmed, W.; Powell, D.; Goonetilleke, A.; Gardner, T. Detection and source identification of faecal pollution in non-sewered catchment by means of host-specific molecular markers. Water Sci. Technol. 2008, 58, 579–586. [Google Scholar] [CrossRef] [PubMed]
- Mattioli, M.C.; Benedict, K.M.; Murphy, J.; Kahler, A.; Kline, K.E.; Longenberger, A.; Mitchell, P.K.; Watkins, S.; Berger, P.; Shanks, O.C.; et al. Identifying septic pollution exposure routes during a waterborne norovirus outbreak—A new application for human-associated microbial source tracking qPCR. J. Microbiol. Methods 2021, 180, 106091. [Google Scholar] [CrossRef] [PubMed]
- Murphy, H.M.; McGinnis, S.; Blunt, R.; Stokdyk, J.; Wu, J.; Cagle, A.; Denno, D.M.; Spencer, S.; Firnstahl, A.; Borchardt, M.A. Septic systems and rainfall influence human fecal marker and indicator organism occurrence in private wells in southeastern Pennsylvania. Environ. Sci. Technol. 2020, 54, 3159–3168. [Google Scholar] [CrossRef]
- Hayward, J.L.; Huang, Y.; Yost, C.K.; Hansen, L.T.; Lake, C.; Tong, A.; Jamieson, R.C. Lateral flow sand filters are effective for removal of antibiotic resistance genes from domestic wastewater. Water Res. 2019, 162, 482–491. [Google Scholar] [CrossRef] [PubMed]
- Schneeberger, C.L.; O’Driscoll, M.; Humphrey, C.; Henry, K.; Deal, N.; Seiber, K.; Hill, V.R.; Zarate-Bermudez, M. Fate and transport of enteric microbes from septic systems in a coastal watershed. J. Environ. Health 2015, 77, 22–31. [Google Scholar]
- Billian, H.; Krometis, L.A.; Thompson, T.; Hagedorn, C. Movement of traditional fecal indicator bacteria and source-tracking targets through septic drainfields. Sci. Total Environ. 2018, 610, 1467–1475. [Google Scholar] [CrossRef]
- Mladenov, N.; Verbyla, M.E.; Kinoshita, A.M.; Gersberg, R.; Calderon, J.; Pinongcos, F.; Garcia, M.; Gil, M. Final Report: San Diego River Contamination Study: Increasing Preparedness in the San Diego River Watershed for Potential Contamination; San Diego State University: San Diego, CA, USA, 2020; 88p, Available online: https://mladenov.weebly.com/river-studies.html (accessed on 28 June 2024).
- Hinds, J.B.; Garg, T.; Hutmacher, S.; Nguyen, A.; Zheng, Z.; Griffith, J.F.; Steele, J.A.; Fernandez, A.G.; Schiff, K.C. Assessing the defecation practices of unsheltered individuals and their contributions to microbial water quality in an arid, urban watershed. Sci. Total Environ. 2024, 920, 170708. [Google Scholar] [CrossRef]
- Arnold, B.F.; Schiff, K.C.; Ercumen, A.; Benjamin-Chung, J.; Steele, J.A.; Griffith, J.F.; Steinberg, S.J.; Smith, P.; McGee, C.D.; Wilson, R.; et al. Acute Illness Among Surfers After Exposure to Seawater in Dry-and Wet-Weather Conditions. Am. J. Epidemiol. 2017, 186, 866–875. [Google Scholar] [CrossRef]
- Schiff, K.C.; Griffith, J.F.; Steele, J.A.; Zimmer-Faust, A.G. Dry and Wet Weather Survey for Human Fecal Sources in the San Diego River Watershed. Water 2023, 15, 2239. [Google Scholar] [CrossRef]





| Tributary | Catchment Site ID | Lat | Long | Size (Hectares) | Number of Parcels |
|---|---|---|---|---|---|
| Los Coches | LC8f | 32.85682 | −116.86266 | 18.2 | 19 |
| LC8i | 32.85391 | −116.86597 | 5.7 | 9 | |
| SDR-036UP | 32.85245 | −116.86950 | 53.8 | 39 | |
| Eucalyptus Hills | EH-1 | 32.86905 | −116.94610 | 431.8 | 339 |
| EH-4 | 32.88181 | −116.94541 | 89.4 | 161 | |
| EH6-e2 | 32.88076 | −116.93903 | 9.7 | 45 | |
| Total of Sampled Catchments | - | - | 608.6 | 612 | |
| Entire Watershed with OWTS | - | - | 5155 | 6760 | |
| Tributary | Catchment Site ID | Hydrologic Soil Group (% of Catchment) | |||
|---|---|---|---|---|---|
| % A | % B | % C | % D | ||
| Los Coches | LC8f | 29 | 33 | 38 | 0 |
| LC8i | 60 | 2 | 38 | 0 | |
| SDR-036UP | 26 | 13 | 28 | 33 | |
| Eucalyptus Hills | EH-1 | 3 | 6 | 21 | 70 |
| EH-4 | 0 | 0 | 65 | 35 | |
| EH-6e2 | 0 | 0 | 100 | 0 | |
| Entire SDR Watershed with OWTS | 11 | 27 | 27 | 36 | |
| Tributary | Catchment Site ID | Land Use (% of Catchment) | ||
|---|---|---|---|---|
| Residential | Open Space/ Undeveloped | Other | ||
| Los Coches | LC8f | 91 | 1 | 8 |
| LC8i | 86 | 0 | 14 | |
| SDR-036UP | 95 | 0 | 5 | |
| Eucalyptus Hills | EH-1 | 47 | 52 | 1 |
| EH-4 | 66 | 25 | 9 | |
| EH-6e2 | 55 | 45 | 0 | |
| Entire Watershed with OWTS | 74 | 24 | 4 | |
| Water Year | Annual Precipitation Volume (cm) | Annual Precipitation Volume (inch) |
|---|---|---|
| 2008–2009 | 26.80 | 10.6 |
| 2009–2010 | 37.64 | 14.8 |
| 2010–2011 | 44.17 | 17.4 |
| 2011–2012 | 24.51 | 9.6 |
| 2012–2013 | 17.68 | 7.0 |
| 2013–2014 | 10.29 | 4.1 |
| 2014–2015 | 17.15 | 6.8 |
| 2015–2016 | 24.61 | 9.7 |
| 2016–2017 | 41.53 | 16.4 |
| 2017–2018 | 11.76 | 4.6 |
| 2018–2019 | 40.11 * | 15.8 * |
| 2019–2020 | 45.16 * | 17.8 * |
| 2020–2021 | 17.04 * | 6.7 * |
| Average (SD) | 27.57 (12.66) | 10.9 (5.0) |
| Tributary | Catchment Site ID | Water Year Sampled | Total Number of Events | ||
|---|---|---|---|---|---|
| 2018–2019 | 2019–2020 | 2020–2021 | |||
| Los Coches | LC8f | 2 | 3 | 5 | |
| LC8i | 2 | 3 | 5 | ||
| SDR-036UP | 3 | 3 | |||
| Eucalyptus Hills | EH-1 | 4 | 4 | ||
| EH-4 | 6 | 6 | |||
| EH-6e2 | 6 | 6 | |||
| Total | 16 | 4 | 9 | 29 | |
Disclaimer/Publisher’s Note: The statements, opinions and data contained in all publications are solely those of the individual author(s) and contributor(s) and not of MDPI and/or the editor(s). MDPI and/or the editor(s) disclaim responsibility for any injury to people or property resulting from any ideas, methods, instructions or products referred to in the content. |
© 2024 by the authors. Licensee MDPI, Basel, Switzerland. This article is an open access article distributed under the terms and conditions of the Creative Commons Attribution (CC BY) license (https://creativecommons.org/licenses/by/4.0/).
Share and Cite
Schiff, K.; Zimmer-Faust, A.; Nguyen, D.; Griffith, J.; Steele, J.; Ebentier McCargar, D.; Wallace, S. Using HF183 to Estimate Watershed-Wide Annual Loadings of Human Fecal Pollution from Onsite Wastewater Treatment Systems. Sustainability 2024, 16, 9503. https://doi.org/10.3390/su16219503
Schiff K, Zimmer-Faust A, Nguyen D, Griffith J, Steele J, Ebentier McCargar D, Wallace S. Using HF183 to Estimate Watershed-Wide Annual Loadings of Human Fecal Pollution from Onsite Wastewater Treatment Systems. Sustainability. 2024; 16(21):9503. https://doi.org/10.3390/su16219503
Chicago/Turabian StyleSchiff, Kenneth, Amity Zimmer-Faust, Duy Nguyen, John Griffith, Joshua Steele, Darcy Ebentier McCargar, and Sierra Wallace. 2024. "Using HF183 to Estimate Watershed-Wide Annual Loadings of Human Fecal Pollution from Onsite Wastewater Treatment Systems" Sustainability 16, no. 21: 9503. https://doi.org/10.3390/su16219503
APA StyleSchiff, K., Zimmer-Faust, A., Nguyen, D., Griffith, J., Steele, J., Ebentier McCargar, D., & Wallace, S. (2024). Using HF183 to Estimate Watershed-Wide Annual Loadings of Human Fecal Pollution from Onsite Wastewater Treatment Systems. Sustainability, 16(21), 9503. https://doi.org/10.3390/su16219503

