The Synergistic Effect of the Same Climatic Factors on Water Use Efficiency Varies between Daily and Monthly Scales
Abstract
1. Introduction
2. Data and Methods
2.1. Data
2.2. Methods
2.2.1. Machine Learning Driving Factor Analysis
- XGBoost model
- 2.
- SHapley Additive exPlanation method
2.2.2. Geodetector Model
3. Results
3.1. Variation in the WUE in the Different Ecosystems
3.1.1. Multiyear Daily Mean Changes in the GPP, ET and WUE
3.1.2. Multiyear Monthly Mean Changes in the GPP, ET and WUE
3.2. Correlation between the WUE and Climate Variables
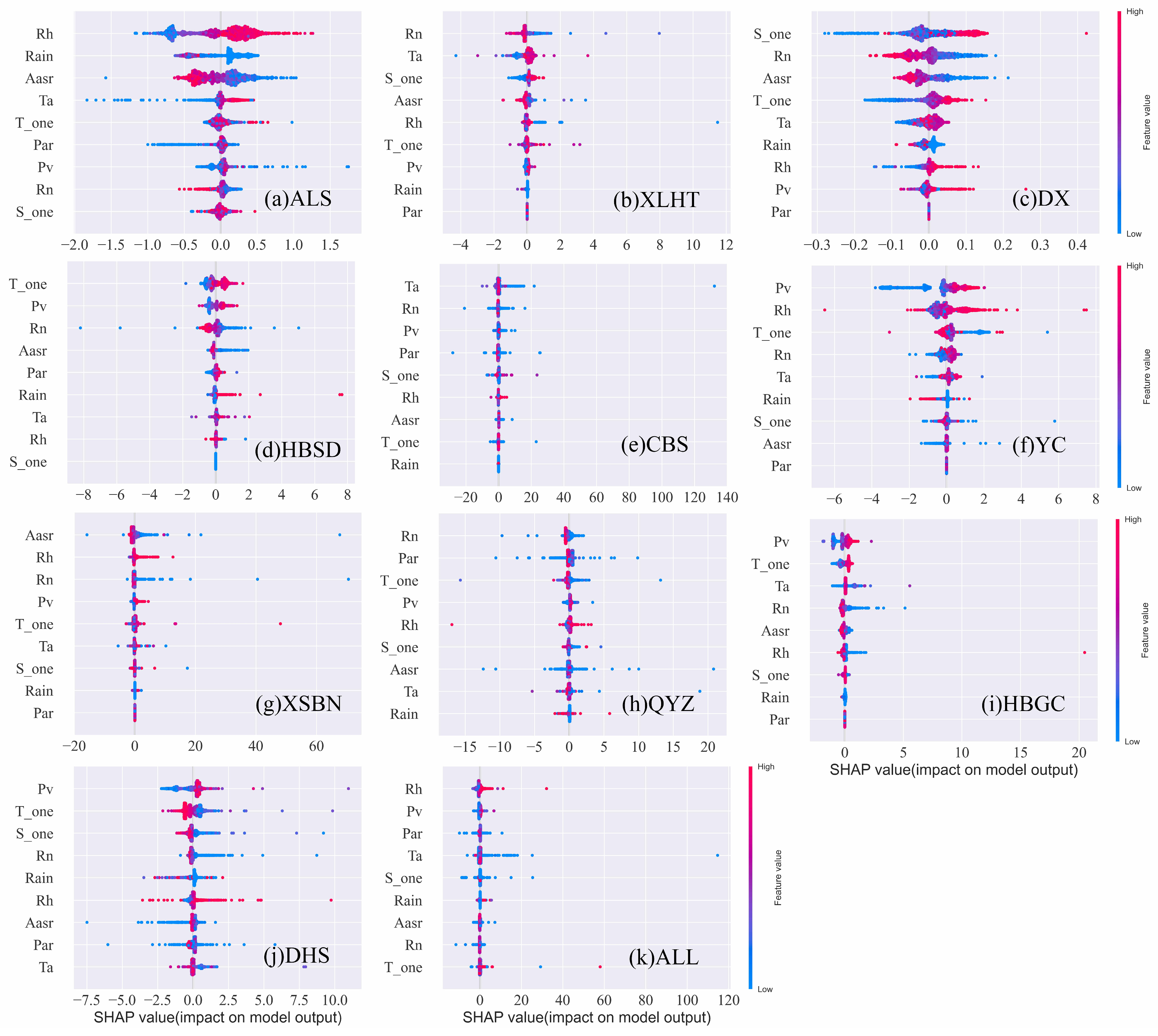
3.3. Effect of the Climate Factors on the WUE
3.4. Synergistic Effects of the Climate Factors on the WUE
4. Discussion
4.1. Changes in the GPP, ET and WUE
4.2. Factors Influencing the WUE in the Different Ecosystems
4.3. Shortcomings and Prospects
5. Conclusions
Author Contributions
Funding
Institutional Review Board Statement
Informed Consent Statement
Data Availability Statement
Conflicts of Interest
References
- Zhang, Y.L.; Dannenberg, M.P.; Hwang, T.; Song, C.H. El Nino-Southern Oscillation-Induced Variability of Terrestrial Gross Primary Production During the Satellite Era. J. Geophys. Res.-Biogeosci. 2019, 124, 2419–2431. [Google Scholar] [CrossRef]
- Birhanu, D.; Kim, H.; Jang, C. Effectiveness of introducing crop coefficient and leaf area index to enhance evapotranspiration simulations in hydrologic models. Hydrol. Process. 2019, 33, 2206–2226. [Google Scholar] [CrossRef]
- Niu, Z.; He, H.; Zhu, G.; Ren, X.; Zhang, L.; Zhang, K.; Yu, G.; Ge, R.; Li, P.; Zeng, N.; et al. An increasing trend in the ratio of transpiration to total terrestrial evapotranspiration in China from 1982 to 2015 caused by greening and warming. Agric. For. Meteorol. 2019, 279, 107701. [Google Scholar] [CrossRef]
- Pascolini-Campbell, M.; Reager, J.T.; Chandanpurkar, H.A.; Rodell, M. A 10 per cent increase in global land evapotranspiration from 2003 to 2019. Nature 2021, 593, 543–547. [Google Scholar] [CrossRef] [PubMed]
- Liu, X.; Qi, C.; Yan, Y.L.; Yuan, G.F. Revised algorithm of ecosystem water use efficiency for semi-arid steppe in the Loess Plateau of China. Chin. J. Plant Ecol. 2017, 41, 497–505. [Google Scholar]
- Kim, D.; Baik, J.; Umair, M.; Choi, M. Water use efficiency in terrestrial ecosystem over East Asia: Effects of climate regimes and land cover types. Sci. Total Environ. 2021, 773, 145519. [Google Scholar] [CrossRef] [PubMed]
- Nandy, S.; Saranya, M.; Srinet, R. Spatio-temporal variability of water use efficiency and its drivers in major forest formations in India. Remote Sens. Environ. 2022, 269, 112791. [Google Scholar] [CrossRef]
- Yu, G.R.; Zhu, X.J.; Fu, Y.L.; He, H.L.; Wang, Q.F.; Wen, X.F.; Li, X.R.; Zhang, L.M.; Zhang, L.; Su, W.; et al. Spatial patterns and climate drivers of carbon fluxes in terrestrial ecosystems of China. Glob. Chang. Biol. 2013, 19, 798–810. [Google Scholar] [CrossRef]
- Baldocchi, D.; Falge, E.; Gu, L.H.; Olson, R.; Hollinger, D.; Running, S.; Anthoni, P.; Bernhofer, C.; Davis, K.; Evans, R.; et al. FLUXNET: A new tool to study the temporal and spatial variability of ecosystem-scale carbon dioxide, water vapor, and energy flux densities. Bull. Amer. Meteorol. Soc. 2001, 82, 2415–2434. [Google Scholar] [CrossRef]
- Chen, Z.; Yu, G.; Ge, J.; Sun, X.; Hirano, T.; Saigusa, N.; Wang, Q.; Zhu, X.; Zhang, Y.; Zhang, J.; et al. Temperature and precipitation control of the spatial variation of terrestrial ecosystem carbon exchange in the Asian region. Agric. For. Meteorol. 2013, 182–183, 266–276. [Google Scholar] [CrossRef]
- Yu, G.; Song, X.; Wang, Q.; Liu, Y.; Guan, D.; Yan, J.; Sun, X.; Zhang, L.; Wen, X. Water-use efficiency of forest ecosystems in eastern China and its relations to climatic variables. New Phytol. 2008, 177, 927–937. [Google Scholar] [CrossRef] [PubMed]
- Tang, X.; Li, H.; Xu, X.; Luo, J.; Li, X.; Ding, Z.; Xie, J. Potential of MODIS data to track the variability in ecosystem water-use efficiency of temperate deciduous forests. Ecol. Eng. 2016, 91, 381–391. [Google Scholar] [CrossRef]
- Tang, X.; Ma, M.; Ding, Z.; Xu, X.; Yao, L.; Huang, X.; Gu, Q.; Song, L. Remotely Monitoring Ecosystem Water Use Efficiency of Grassland and Cropland in China’s Arid and Semi-Arid Regions with MODIS Data. Remote Sens. 2017, 9, 616. [Google Scholar] [CrossRef]
- Wang, Y.; Ma, Y.; Li, H.; Yuan, L. Carbon and water fluxes and their coupling in an alpine meadow ecosystem on the northeastern Tibetan Plateau. Theor. Appl. Climatol. 2020, 142, 1–18. [Google Scholar] [CrossRef]
- Xie, J.; Chen, J.; Sun, G.; Zha, T.; Yang, B.; Chu, H.; Liu, J.; Wan, S.; Zhou, C.; Ma, H.; et al. Ten-year variability in ecosystem water use efficiency in an oak-dominated temperate forest under a warming climate. Agric. For. Meteorol. 2016, 218–219, 209–217. [Google Scholar] [CrossRef]
- Wang, Y.; Zhou, L.; Ping, X.; Jia, Q.; Li, R. Ten-year variability and environmental controls of ecosystem water use efficiency in a rainfed maize cropland in Northeast China. Field Crops Res. 2018, 226, 48–55. [Google Scholar] [CrossRef]
- Yao, Y.; Liang, S.; Cheng, J.; Liu, S.; Fisher, J.B.; Zhang, X.; Jia, K.; Zhao, X.; Qin, Q.; Zhao, B.; et al. MODIS-driven estimation of terrestrial latent heat flux in China based on a modified Priestley–Taylor algorithm. Agric. For. Meteorol. 2013, 171–172, 187–202. [Google Scholar] [CrossRef]
- Yao, Y.; Liang, S.; Li, X.; Chen, J.; Wang, K.; Jia, K.; Cheng, J.; Jiang, B.; Fisher, J.B.; Mu, Q.; et al. A satellite-based hybrid algorithm to determine the Priestley–Taylor parameter for global terrestrial latent heat flux estimation across multiple biomes. Remote Sens. Environ. 2015, 165, 216–233. [Google Scholar] [CrossRef]
- Li, X.; Zhu, Z.; Zeng, H.; Piao, S. Estimation of gross primary production in China (1982–2010) with multiple ecosystem models. Ecol. Model. 2016, 324, 33–44. [Google Scholar] [CrossRef]
- Yuan, W.P.; Liu, S.G.; Yu, G.R.; Bonnefond, J.M.; Chen, J.Q.; Davis, K.; Desai, A.R.; Goldstein, A.H.; Gianelle, D.; Rossi, F.; et al. Global estimates of evapotranspiration and gross primary production based on MODIS and global meteorology data. Remote Sens. Environ. 2010, 114, 1416–1431. [Google Scholar] [CrossRef]
- Liu, Z.; Wu, C.; Peng, D.; Wang, S.; Gonsamo, A.; Fang, B.; Yuan, W. Improved modeling of gross primary production from a better representation of photosynthetic components in vegetation canopy. Agric. For. Meteorol. 2017, 233, 222–234. [Google Scholar] [CrossRef]
- Liu, X.M.; Liu, C.M.; Brutsaert, W. Investigation of a Generalized Nonlinear Form of the Complementary Principle for Evaporation Estimation. J. Geophys. Res.-Atmos. 2018, 123, 3933–3942. [Google Scholar] [CrossRef]
- Zhang, Y.; Yin, Y.; Yong, B.; Yang, X. Spatio-temporal changes in evapotranspiration over China using GLEAM_V3.0a products (1980–2014). Hydrol. Res. 2018, 49, 1330–1348. [Google Scholar]
- Li, G.C.; Chen, W.; Li, R.R.; Zhang, X.P.; Liu, J.L. Assessing the spatiotemporal dynamics of ecosystem water use efficiency across China and the response to natural and human activities. Ecol. Indic. 2021, 126, 107680. [Google Scholar] [CrossRef]
- Li, H.; Wei, M.; Dong, L.; Hu, W.; Xiong, J.; Sun, Y.; Sun, Y.; Yao, S.; Gong, H.; Zhang, Y.; et al. Leaf and ecosystem water use efficiencies differ in their global-scale patterns and drivers. Agric. For. Meteorol. 2022, 319, 108919. [Google Scholar] [CrossRef]
- Han, L.; Wang, Q.-F.; Chen, Z.; Yu, G.-R.; Zhou, G.-S.; Chen, S.-P.; Li, Y.-N.; Zhang, Y.-P.; Yan, J.-H.; Wang, H.-M.; et al. Spatial patterns and climate controls of seasonal variations in carbon fluxes in China’s terrestrial ecosystems. Glob. Planet. Chang. 2020, 189, 103175. [Google Scholar] [CrossRef]
- Yu, G.-R.; Zhang, L.-M.; Sun, X.-M.; Fu, Y.-L.; Wen, X.-F.; Wang, Q.-F.; Li, S.-G.; Ren, C.-Y.; Song, X.I.A.; Liu, Y.-F.; et al. Environmental controls over carbon exchange of three forest ecosystems in eastern China. Glob. Change Biol. 2008, 14, 2555–2571. [Google Scholar] [CrossRef]
- Hao, Y.B.; Zhang, H.; Biederman, J.A.; Li, L.F.; Cui, X.Y.; Xue, K.; Du, J.Q.; Wang, Y.F. Seasonal timing regulates extreme drought impacts on CO2 and H2O exchanges over semiarid steppes in Inner Mongolia, China. Agric. Ecosyst. Environ. 2018, 266, 153–166. [Google Scholar] [CrossRef]
- Ma, J.; Jia, X.; Zha, T.; Bourque, C.P.A.; Tian, Y.; Bai, Y.; Liu, P.; Yang, R.; Li, C.; Li, C.; et al. Ecosystem water use efficiency in a young plantation in Northern China and its relationship to drought. Agric. For. Meteorol. 2019, 275, 1–10. [Google Scholar] [CrossRef]
- Kottek, M.; Grieser, J.; Beck, C.; Rudolf, B.; Rubel, F. World Map of the Köppen-Geiger climate classification updated. Meteorol. Z. 2006, 15, 259–263. [Google Scholar] [CrossRef]
- Yang, Y.K.; Xiao, P.F.; Feng, X.Z.; Li, H.X. Accuracy assessment of seven global land cover datasets over China. ISPRS J. Photogramm. Remote Sens. 2017, 125, 156–173. [Google Scholar] [CrossRef]
- Dayalu, A.; Munger, J.W.; Wofsy, S.C.; Wang, Y.; Nehrkorn, T.; Zhao, Y.; McElroy, M.B.; Nielsen, C.P.; Luus, K. Assessing biotic contributions to CO2 fluxes in northern China using the Vegetation, Photosynthesis and Respiration Model (VPRM-CHINA) and observations from 2005 to 2009. Biogeosciences 2018, 15, 6713–6729. [Google Scholar] [CrossRef]
- Ren, H.; Zhang, L.; Yan, M.; Tian, X.; Zheng, X. Sensitivity analysis of Biome-BGCMuSo for gross and net primary productivity of typical forests in China. For. Ecosyst. 2022, 9, 100011. [Google Scholar] [CrossRef]
- Yang, Q.; Dan, L.; Lv, M.; Wu, J.; Li, W.; Dong, W. Quantitative assessment of the parameterization sensitivity of the Noah-MP land surface model with dynamic vegetation using ChinaFLUX data. Agric. For. Meteorol. 2021, 307, 108542. [Google Scholar] [CrossRef]
- Gui, X.; Wang, L.; Su, X.; Yi, X.; Chen, X.; Yao, R.; Wang, S. Environmental factors modulate the diffuse fertilization effect on gross primary productivity across Chinese ecosystems. Sci. Total Environ. 2021, 793, 148443. [Google Scholar] [CrossRef]
- Liu, Z.; Shao, Q.; Liu, J. The Performances of MODIS-GPP and -ET Products in China and Their Sensitivity to Input Data (FPAR/LAI). Remote Sens. 2014, 7, 135–152. [Google Scholar] [CrossRef]
- Liang, L.; Geng, D.; Yan, J.; Qiu, S.; Shi, Y.; Wang, S.; Wang, L.; Zhang, L.; Kang, J. Remote Sensing Estimation and Spatiotemporal Pattern Analysis of Terrestrial Net Ecosystem Productivity in China. Remote Sens. 2022, 14, 1902. [Google Scholar] [CrossRef]
- Zhang, L.; Tian, J.; He, H.; Ren, X.; Sun, X.; Yu, G.; Lu, Q.; Lv, L. Evaluation of Water Use Efficiency Derived from MODIS Products against Eddy Variance Measurements in China. Remote Sens. 2015, 7, 11183–11201. [Google Scholar] [CrossRef]
- Jiang, Y.; Wang, J.; Wang, Y. Daily Evapotranspiration Estimations by Direct Calculation and Temporal Upscaling Based on Field and MODIS Data. Remote Sens. 2022, 14, 4094. [Google Scholar] [CrossRef]
- Li, X.; Liang, H.Y.; Cheng, W.M. Evaluation and comparison of light use efficiency models for their sensitivity to the diffuse PAR fraction and aerosol loading in China. Int. J. Appl. Earth Obs. Geoinf. 2021, 95, 102269. [Google Scholar] [CrossRef]
- He, M.Z.; Ju, W.M.; Zhou, Y.L.; Chen, J.M.; He, H.L.; Wang, S.Q.; Wang, H.M.; Guan, D.X.; Yan, J.H.; Li, Y.N.; et al. Development of a two-leaf light use efficiency model for improving the calculation of terrestrial gross primary productivity. Agric. For. Meteorol. 2013, 173, 28–39. [Google Scholar] [CrossRef]
- Wang, Y.; Li, R.; Min, Q.; Zhang, L.; Yu, G.; Bergeron, Y. Estimation of Vegetation Latent Heat Flux over Three Forest Sites in ChinaFLUX using Satellite Microwave Vegetation Water Content Index. Remote Sens. 2019, 11, 1359. [Google Scholar] [CrossRef]
- Zhang, L.; Mao, J.; Shi, X.; Ricciuto, D.; He, H.; Thornton, P.; Yu, G.; Li, P.; Liu, M.; Ren, X.; et al. Evaluation of the Community Land Model simulated carbon and water fluxes against observations over ChinaFLUX sites. Agric. For. Meteorol. 2016, 226–227, 174–185. [Google Scholar] [CrossRef]
- Zhu, X.; Yu, G.; Wang, Q.; Hu, Z.; Han, S.; Yan, J.; Wang, Y.; Zhao, L. Seasonal dynamics of water use efficiency of typical forest and grassland ecosystems in China. J. For. Res. 2017, 19, 70–76. [Google Scholar] [CrossRef]
- Song, Q.H.; Fei, X.H.; Zhang, Y.P.; Sha, L.Q.; Liu, Y.T.; Zhou, W.J.; Wu, C.S.; Lu, Z.Y.; Luo, K.; Gao, J.B.; et al. Water use efficiency in a primary subtropical evergreen forest in Southwest China. Sci. Rep. 2017, 7, 43031. [Google Scholar] [CrossRef]
- Guo, Q.; Hu, Z.M.; Li, S.G.; Yu, G.R.; Sun, X.M.; Zhang, L.M.; Mu, S.L.; Zhu, X.J.; Wang, Y.F.; Li, Y.N.; et al. Contrasting responses of gross primary productivity to precipitation events in a water-limited and a temperature-limited grassland ecosystem. Agric. For. Meteorol. 2015, 214, 169–177. [Google Scholar] [CrossRef]
- Helman, D.; Osem, Y.; Yakir, D.; Lensky, I.M. Relationships between climate, topography, water use and productivity in two key Mediterranean forest types with different water-use strategies. Agric. For. Meteorol. 2017, 232, 319–330. [Google Scholar] [CrossRef]
- Scott, R.L.; Biederman, J.A.; Hamerlynck, E.P.; Barron-Gafford, G.A. The carbon balance pivot point of southwestern US semiarid ecosystems: Insights from the 21st century drought. J. Geophys. Res.-Biogeosci. 2015, 120, 2612–2624. [Google Scholar] [CrossRef]
- Niu, S.L.; Xing, X.R.; Zhang, Z.; Xia, J.Y.; Zhou, X.H.; Song, B.; Li, L.H.; Wan, S.Q. Water-use efficiency in response to climate change: From leaf to ecosystem in a temperate steppe. Glob. Change Biol. 2011, 17, 1073–1082. [Google Scholar] [CrossRef]
- Boese, S.; Jung, M.; Carvalhais, N.; Reichstein, M. The importance of radiation for semiempirical water-use efficiency models. Biogeosciences 2017, 14, 3015–3026. [Google Scholar] [CrossRef]
- Hu, Z.M.; Yu, G.R.; Fu, Y.L.; Sun, X.M.; Li, Y.N.; Shi, P.L.; Wangw, Y.F.; Zheng, Z.M. Effects of vegetation control on ecosystem water use efficiency within and among four grassland ecosystems in China. Glob. Chang. Biol. 2008, 14, 1609–1619. [Google Scholar] [CrossRef]
- Huang, X.; Hao, Y.; Wang, Y.; Wang, Y.; Cui, X.; Mo, X.; Zhou, X. Partitioning of evapotranspiration and its relation to carbon dioxide fluxes in Inner Mongolia steppe. J. Arid Environ. 2010, 74, 1616–1623. [Google Scholar] [CrossRef]
- Xiao, B.; Bai, X.; Zhao, C.; Tan, Q.; Li, Y.; Luo, G.; Wu, L.; Chen, F.; Li, C.; Ran, C.; et al. Responses of carbon and water use efficiencies to climate and land use changes in China’s karst areas. J. Hydrol. 2023, 617, 128968. [Google Scholar] [CrossRef]
- Tan, Z.H.; Zhang, Y.P.; Deng, X.B.; Song, Q.H.; Liu, W.J.; Deng, Y.; Tang, J.W.; Liao, Z.Y.; Zhao, J.F.; Song, L.; et al. Interannual and seasonal variability of water use efficiency in a tropical rainforest: Results from a 9 year eddy flux time series. J. Geophys. Res.-Atmos. 2015, 120, 464–479. [Google Scholar] [CrossRef]
- Deng, Y.; Wang, S.; Bai, X.; Luo, G.; Wu, L.; Chen, F.; Wang, J.; Li, Q.; Li, C.; Yang, Y.; et al. Spatiotemporal dynamics of soil moisture in the karst areas of China based on reanalysis and observations data. J. Hydrol. 2020, 585, 124744. [Google Scholar] [CrossRef]
- Jabeur, S.B.; Mefteh-Wali, S.; Viviani, J.-L. Forecasting gold price with the XGBoost algorithm and SHAP interaction values. Ann. Oper. Res. 2021, 334, 679–699. [Google Scholar] [CrossRef]
- Li, G.; Chen, W.; Zhang, X.; Yang, Z.; Bi, P.; Wang, Z. Ecosystem Service Values in the Dongting Lake Eco-Economic Zone and the Synergistic Impact of Its Driving Factors. Int. J. Environ. Res. Public Health 2022, 19, 3121. [Google Scholar] [CrossRef]











| Site | Abbreviation | Data Time | Lat (°N) | Lon (°E) | DEM (m) | Type | Ta (°C) | Rain (mm) | References |
|---|---|---|---|---|---|---|---|---|---|
| Ailaoshan | ALS | 2009–2013 | 24.53 | 101.02 | 2476 | Forest | 11.3 | 1840 | [26] |
| Changbaishan | CBS | 2003–2010 | 42.4 | 128.1 | 738 | Forest | 3.6 | 695.3 | [32] |
| Dinghushan | DHS | 2003–2010 | 23.17 | 112.53 | 300 | Forest | 20.8 | 1956 | [33] |
| Dangxiong | DX | 2004–2010 | 30.85 | 91.08 | 4333 | Grassland | 1.3 | 476.8 | [34] |
| Haibeiguangcong | HBGC | 2003–2010 | 37.66 | 101.33 | 3293 | Grassland | −1.6 | 560 | [21] |
| Haibeishidi | HBSD | 2004–2010 | 37.61 | 101.31 | 3160 | Grassland | −1.6 | 560 | [35] |
| Qianyanzhou | QYZ | 2003–2010 | 26.74 | 115.06 | 102 | Forest | 17.9 | 1494 | [36] |
| Neimenggu | XLHT | 2004–2010 | 43.326 | 116.404 | 1250 | Grassland | 2 | 350 | [37] |
| Xishuangbanna | XSBN | 2003–2010 | 21.93 | 101.27 | 750 | Forest | 21.7 | 1487 | [38] |
| Yucheng | YC | 2003–2010 | 36.95 | 116.57 | 28 | Cropland | 13.1 | 528 | [39] |
| Climatic Variable | Abbreviation | Unit |
|---|---|---|
| Near-surface air temperature | Ta | °C |
| Solar radiation | Aasr | W m−2 |
| Photosynthetically active radiation | Par | μmol m−2 s−1 |
| Near-surface water vapor pressure | Pv | KPa |
| Volumetric water content of a layer of soil | S_one | m3 m−3 |
| Near-surface air humidity | Rh | % |
| Net radiation | Rn | W m−2 |
| Soil temperature in one layer | T_one | °C |
| Precipitation | Rain | mm |
| Interaction | Judgment Basis |
|---|---|
| Nonlinear weakening | |
| Single-factor nonlinear attenuation | |
| Two-factor enhancement | |
| Independent | |
| Nonlinear enhancement |
Disclaimer/Publisher’s Note: The statements, opinions and data contained in all publications are solely those of the individual author(s) and contributor(s) and not of MDPI and/or the editor(s). MDPI and/or the editor(s) disclaim responsibility for any injury to people or property resulting from any ideas, methods, instructions or products referred to in the content. |
© 2024 by the authors. Licensee MDPI, Basel, Switzerland. This article is an open access article distributed under the terms and conditions of the Creative Commons Attribution (CC BY) license (https://creativecommons.org/licenses/by/4.0/).
Share and Cite
Li, G.; Yi, Z.; Han, L.; Hu, P.; Chen, W.; Ye, X.; Yang, Z. The Synergistic Effect of the Same Climatic Factors on Water Use Efficiency Varies between Daily and Monthly Scales. Sustainability 2024, 16, 8925. https://doi.org/10.3390/su16208925
Li G, Yi Z, Han L, Hu P, Chen W, Ye X, Yang Z. The Synergistic Effect of the Same Climatic Factors on Water Use Efficiency Varies between Daily and Monthly Scales. Sustainability. 2024; 16(20):8925. https://doi.org/10.3390/su16208925
Chicago/Turabian StyleLi, Guangchao, Zhaoqin Yi, Liqin Han, Ping Hu, Wei Chen, Xuefeng Ye, and Zhen Yang. 2024. "The Synergistic Effect of the Same Climatic Factors on Water Use Efficiency Varies between Daily and Monthly Scales" Sustainability 16, no. 20: 8925. https://doi.org/10.3390/su16208925
APA StyleLi, G., Yi, Z., Han, L., Hu, P., Chen, W., Ye, X., & Yang, Z. (2024). The Synergistic Effect of the Same Climatic Factors on Water Use Efficiency Varies between Daily and Monthly Scales. Sustainability, 16(20), 8925. https://doi.org/10.3390/su16208925

