How Upgrading of Provincial Development Zones Reduces Urban Carbon Emission: Evidence from a Time-Varying DID Analysis
Abstract
1. Introduction
2. Literature Review
3. Theoretical Basis and Research Hypothesis
3.1. Carbon Emission Reduction Effect of Upgrading Provincial Development Zones
3.1.1. Policy Effect of Upgrading Provincial Development Zones
3.1.2. Agglomeration Effect of Upgrading Provincial Development Zones
3.1.3. Regulatory Effect of Upgrading Provincial Development Zones
3.2. Heterogeneity Analysis from Government Behavior
3.2.1. Government Participation
3.2.2. Government Attention to Environmental Protection
3.2.3. Government Pressure on Carbon Emission Reduction
4. Empirical Design and Data
4.1. Research Design
4.2. Sample Selection
4.3. Variable Definition
5. Results
5.1. Baseline Regression Results
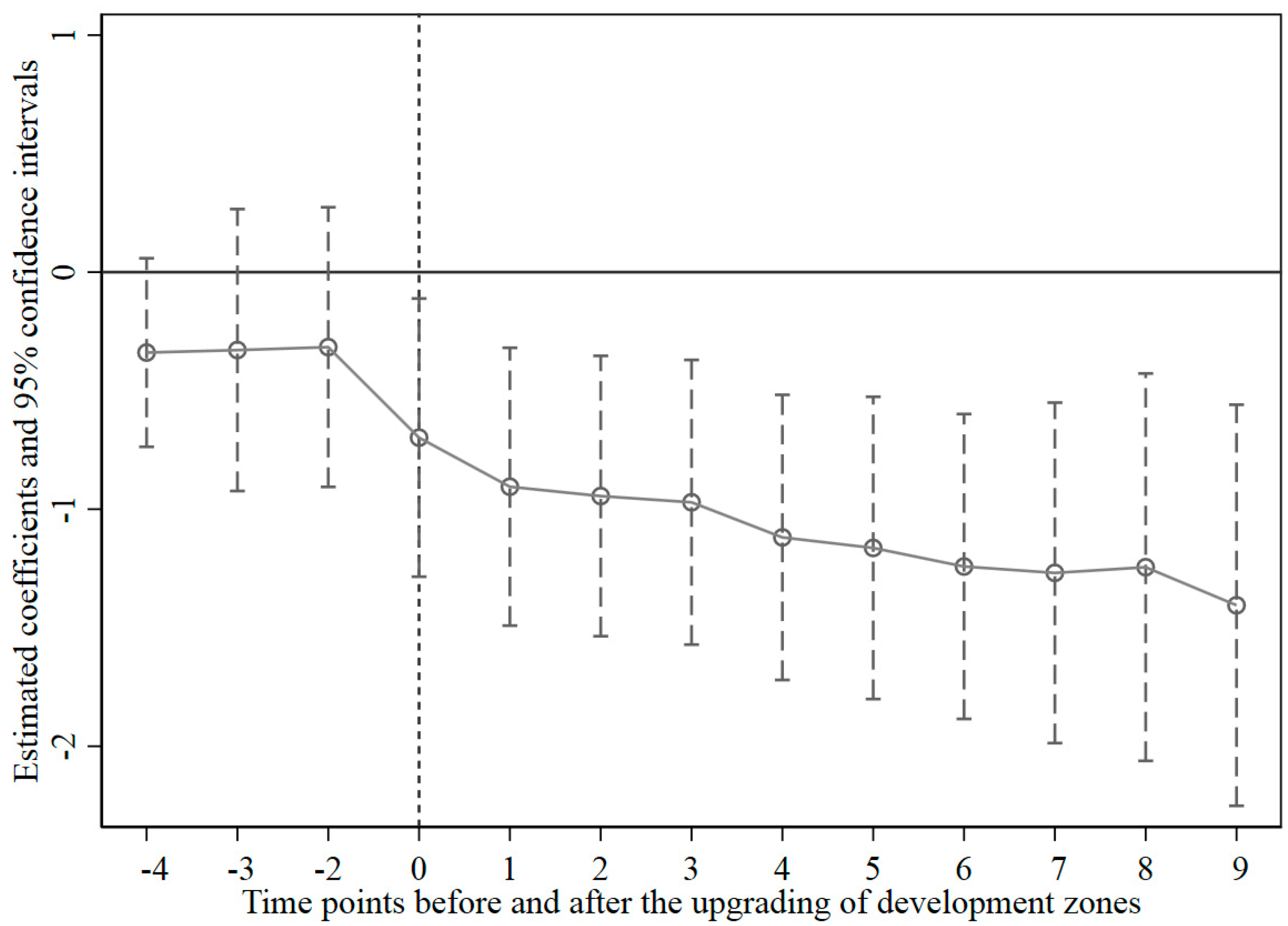
5.2. Parallel Trend Test
5.3. Bacon Decomposition
5.4. Robustness Test
5.4.1. Placebo Tests
5.4.2. Excluding the Interference of Other Policies
5.4.3. Endogeneity Test
5.4.4. PSM-DID Matching
5.4.5. Sensitive Analysis
5.5. Heterogeneity Analysis
5.5.1. Government Participation
5.5.2. Government Attention to Environment Protection
5.5.3. Government Pressure to Reduce Carbon Emissions
5.6. Mechanism Analysis
5.7. Further Discussions
5.7.1. Spillover Effect
5.7.2. Synergistic Effect
6. Conclusions
6.1. Theoretical Contributions
6.2. Management Implications
6.3. Research Limitations and Expectations
Author Contributions
Funding
Institutional Review Board Statement
Informed Consent Statement
Data Availability Statement
Acknowledgments
Conflicts of Interest
Appendix A
| Year | Upgraded Development Zones |
|---|---|
| 2009 | Langfang City (Langfang Economic and Technological Development Area), Yangzhou City (Yangzhou Economic and Technological Development Area), Xiangtan City (Xiangtan High-Tech Industrial Development Zone), Taizhou City (Taizhou Medical High-Tech Industrial Development Zone) |
| 2010 | Tangshan City (Tangshan High-Tech Industrial Development Zone), Cangzhou City (Cangzhou Lingang Economic and Technological Development Area), Datong City (Datong Economic and Technological Development Area), Jinzhou City (Jinzhou Economic and Technological Development Area), Siping City (Siping Hongzui Economic and Technological Development Area), Mudanjiang City (Hailin Economic and Technological Development Area), Xuzhou City (Xuzhou Economic and Technological Development Area), Huai’an City (Huai’an Economic and Technological Development Area), Yancheng City (Yancheng Economic and Technological Development Area), Zhenjiang City (Zhenjiang Economic and Technological Development Area), Jiaxing City (Jiaxing Economic and Technological Development Area), Huzhou City (Huzhou Economic and Technological Development Area), Shaoxing City (Shaoxing Paojiang Economic and Technological Development Area), Jinhua City (Jinhua Economic and Technological Development Area), Ma’anshan City (Ma’anshan Economic and Technological Development Area), Anqing City (Anqing Economic and Technological Development Area), Quanzhou City (Quanzhou Economic and Technological Development Area), Pingxiang City (Pingxiang Economic and Technological Development Area), Jiujiang City (Jiujiang Economic and Technological Development Area), Ganzhou City (Ganzhou Economic and Technological Development Area), Jinggangshan City (Jinggangshan Economic and Technological Development Area), Shangrao City (Shangrao Economic and Technological Development Area), Dongying City (Dongying Economic and Technological Development Area), Rizhao City (Rizhao Economic and Technological Development Area), Linyi City (Linyi Economic and Technological Development Area), Binzhou City (Zouping Economic and Technological Development Area), Kaifeng City (Kaifeng Economic and Technological Development Area), Anyang City (Anyang High-Tech Industrial Development Zone), Hebi City (Hebi Economic and Technological Development Area), Xuchang City (Xuchang Economic and Technological Development Area), Luohe City (Luohe Economic and Technological Development Area), Huangshi City (Huangshi Economic and Technological Development Area), Yueyang City (Yueyang Economic and Technological Development Area), Changde City (Changde Economic and Technological Development Area), Deyang City (Deyang Economic and Technological Development Area), Guang’an City (Guang’an Economic and Technological Development Area), Zunyi City (Zunyi Economic and Technological Development Area), Qujing City (Qujing Economic and Technological Development Area), Tianshui City (Tianshui Economic and Technological Development Area), Liaoyang City (Liaoyang High-Tech Industrial Development Zone), Qiqihar City (Qiqihar High-Tech Industrial Development Zone), Bengbu City (Bengbu High-Tech Industrial Development Zone), Jingdezhen City (Jingdezhen High-Tech Industrial Development Zone), Xinyu City (Xinyu High-Tech Industrial Development Zone), Jining City (Jining High-Tech Industrial Development Zone), Nanyang City (Nanyang High-Tech Industrial Development Zone), Yichang City (Yichang High-Tech Industrial Development Zone), Jiangmen City (Jiangmen High-Tech Industrial Development Zone), Zhaoqing City (Zhaoqing High-Tech Industrial Development Zone), Dongguan City (Dongguan Songshan Lake High-Tech Industrial Development Zone), Liuzhou City (Liuzhou High-Tech Industrial Development Zone), Weinan City (Weinan High-Tech Industrial Development Zone), Baiyin City (Baiyin High-Tech Industrial Development Zone) |
| 2011 | Quzhou City (Quzhou Economic and Technological Development Area), Tongling City (Tongling Economic and Technological Development Area), Chuzhou City (Chuzhou Economic and Technological Development Area), Chizhou City (Chizhou Economic and Technological Development Area), Jingzhou City (Jingzhou Economic and Technological Development Area), Shizuishan City (Shizuishan Economic and Technological Development Area), Yiyang City (Yiyang High-Tech Industrial Development Zone), Zigong City (Zigong High-Tech Industrial Development Zone) |
| 2012 | Jinzhong City (Jinzhong Economic and Technological Development Area), Bayannur City (Bayannur Economic and Technological Development Area), Longyan City (Longyan Economic and Technological Development Area), Ningde City (Dongqiao Economic and Technological Development Area), Dezhou City (Dezhou Economic and Technological Development Area), Xinxiang City (Xinxiang High-Tech Industrial Development Zone), Shiyan City (Shiyan Economic and Technological Development Area), Ezhou City (Ezhou Geshop Economic and Technological Development Area), Loudi City (Loudi Economic and Technological Development Area), Guangyuan City (Guangyuan Economic and Technological Development Area), Suining City (Suining Economic and Technological Development Area), Hanzhong City (Hanzhong Economic and Technological Development Area), Yulin City (Yulin High-Tech Industrial Development Zone), Chengde City (Chengde High-Tech Industrial Development Zone), Benxi City (Benxi High-Tech Industrial Development Zone), Putian City (Putian High-Tech Industrial Development Zone), Yingtan City (Yingtan High-Tech Industrial Development Zone), Tai’an City (Tai’an High-Tech Industrial Development Zone), Xiaogan City (Xiaogan High-Tech Industrial Development Zone), Hengyang City (Hengyang High-Tech Industrial Development Zone), Leshan City (Leshan High-Tech Industrial Development Zone), Yuxi City (Yuxi High-Tech Industrial Development Zone) |
| 2013 | Handan City (Handan Economic and Technological Development Area), Jincheng City (Jincheng Economic and Technological Development Area), Hulun Buir City (Hulun Buir Economic and Technological Development Area), Panjin City (Panjin Liao Bin Coastal Economic and Technological Development Area), Tieling City (Tieling Economic and Technological Development Area), Songyuan City (Songyuan Economic and Technological Development Area), Suqian City (Suqian Economic and Technological Development Area), Huainan City (Huainan Economic and Technological Development Area), Lu’an City (Lu’an Economic and Technological Development Area), Ningguo City (Ningguo Economic and Technological Development Area), Yichun City (Yichun Economic and Technological Development Area), Liaocheng City (Liaocheng Economic and Technological Development Area), Puyang City (Puyang Economic and Technological Development Area), Neijiang City (Neijiang Economic and Technological Development Area), Yibin City (Yibin Lin Gang Economic and Technological Development Area), Zhangye City (Zhangye Economic and Technological Development Area), Jiuquan City (Jiuquan Economic and Technological Development Area), Fuxin City (Fuxin High-Tech Industrial Development Zone), Tonghua City (Tonghua Pharmaceutical High-Tech Industrial Development Zone), Jingmen City (Jingmen High-Tech Industrial Development Zone) |
| 2014 | Shuangyashan City (Shuangyashan Economic and Technological Development Area), Lishui City (Lishui Economic and Technological Development Area) |
| 2015 | Changzhi City (Changzhi High-Tech Industrial Development Zone), Sanming City (Sanming High-Tech Industrial Development Zone), Fuzhou City (Fuzhou High-Tech Industrial Development Zone), Zaozhuang City (Zaozhuang High-Tech Industrial Development Zone), Pingdingshan City (Pingdingshan High-Tech Industrial Development Zone), Jiaozuo City (Jiaozuo High-Tech Industrial Development Zone), Suizhou City (Suizhou High-Tech Industrial Development Zone), Chenzhou City (Chenzhou High-Tech Industrial Development Zone), Yuancheng City (Yuancheng High-Tech Industrial Development Zone), Qingyuan City (Qingyuan High-Tech Industrial Development Zone), Beihai City (Beihai High-Tech Industrial Development Zone), Panzhihua City (Panzhihua Vanadium-Titanium High-Tech Industrial Development Zone), Luzhou City (Luzhou High-Tech Industrial Development Zone), Ankang City (Ankang High-Tech Industrial Development Zone) |
| 2016 | No provincial development zones upgraded |
| 2017 | Ordos City (Ordos High-Tech Industrial Development Zone), Huanggang City (Huanggang High-Tech Industrial Development Zone), Xianning City (Xianning High-Tech Industrial Development Zone), Shantou City (Shantou High-Tech Industrial Development Zone), Anshun City (Anshun High-Tech Industrial Development Zone) |
| 2018 | Maoming City (Maoming High-Tech Zone), Huaihua City (Huaihua High-Tech Zone) |
| 2019 | No provincial development zones upgraded |
References
- Lu, Z.N.; Chen, H.; Hao, Y.; Wang, J.Y.; Song, X.J.; Mok, T.M. The dynamic relationship between environmental pollut-ion, economic development and public health: Evidence from China. J. Clean. Prod. 2017, 166, 134–147. [Google Scholar] [CrossRef]
- Sun, Y.; Ma, A.; Su, H.; Chen, F.; Wang, W.; Weng, M. Does the establishment of development zones really improve industrial land use efficiency? Implications for China’s high-quality development policy. Land Use Policy 2020, 90, 104–265. [Google Scholar] [CrossRef]
- Zheng, G.; Barbieri, E.; Di Tommaso, M.R.; Zhang, L. Development zones and local economic growth: Zooming in on the Chinese case. China Econ. Rev. 2016, 38, 238249. [Google Scholar] [CrossRef]
- Chen, D.; Chen, S.; Jin, H. Industrial agglomeration and CO2 emissions: Evidence from 187 Chinese prefecture-level cities over 2005–2013. J. Clean. Prod. 2018, 172, 993–1003. [Google Scholar] [CrossRef]
- Li, X.; Xu, Y.; Yao, X. Effects of industrial agglomeration on haze pollution: A Chinese city-level study. Energy Policy 2021, 148, 111928. [Google Scholar] [CrossRef]
- Gao, S.; Sun, D.; Wang, S. Do development zones increase carbon emission performance of China’s cities? Sci. Total Environ. 2023, 863, 160784. [Google Scholar] [CrossRef]
- Kong, Q.; Li, R.; Peng, D.; Wong, Z. High-technology development zones and innovation in knowledge-intensive service fi-rms: Evidence from Chinese A-share listed firms. Int. Rev. Financ. Anal. 2021, 78, 101883. [Google Scholar] [CrossRef]
- Xi, Q.; Mei, L. How did development zones affect China’s land transfers? The scale, marketization, and resource allocation effect. Land Use Policy 2022, 119, 106181. [Google Scholar] [CrossRef]
- Kong, L.C.; Chai, Z.Y. Does the upgrading of provincial development zones improve the cities’ economic efficiency? Evidence from a quasi-experiment of heterogeneous development zones. Manag. World 2021, 31, 60–75. [Google Scholar] [CrossRef]
- Lin, B.; Huang, C. Analysis of emission reduction effects of carbon trading: Market mechanism or government intervention? Sustain. Prod. Consum. 2022, 33, 28–37. [Google Scholar] [CrossRef]
- Bai, Y.; Deng, X.; Gibson, J.; Zhao, Z.; Xu, H. How does urbanization affect residential CO2 emissions? An analysis on urban agglomerations of China. J. Clean. Prod. 2019, 209, 876–885. [Google Scholar] [CrossRef]
- Wang, H.; Qi, S.; Zhou, C.; Zhou, J.J.; Huang, X. Green credit policy, government behavior and green innovation quality of enterprises. J. Clean. Prod. 2022, 331, 129834. [Google Scholar] [CrossRef]
- Alder, S.; Shao, L.; Zilibotti, F. Economic reforms and industrial policy in a panel of Chinese cities. J. Econ. Growth 2016, 21, 305–349. [Google Scholar] [CrossRef]
- Cai, Q.; Chen, Y.; Lin, H. Development Zone and Firm Innovation: Excitation or Extrusion? Evidence from National and Provincial Development Zones. J. Financ. Res. 2021, 5, 153–170. [Google Scholar]
- Jiang, W.; Cao, K.; Jin, L.; Cheng, Y. How Do China’s Development Zones Affect Environmental Pollution under Government Domination. Sustainability 2022, 14, 3790. [Google Scholar] [CrossRef]
- Zhang, Z.; Wei, X.; Lin, X. The spatial effect of upgrading economic development zones on regional eco-efficiency: Evidence from China. Int. J. Environ. Sci. Technol. 2024, 21, 6851–6870. [Google Scholar] [CrossRef]
- Fang, B.; Yu, J.; Chen, Z.; Andeobu, L.; Wibowo, S.; Grandhi, S. Pow-Seng Yap. Artificial intelligence for waste management in smart cities: A review. Environ. Chem. Lett. 2023, 21, 1959–1989. [Google Scholar] [CrossRef]
- Song, M.; Wang, S.; Zhang, H. Could environmental regulation and R&D tax incentives affect green product innovation? J. Clean. Prod. 2020, 258, 120849. [Google Scholar] [CrossRef]
- Scuotto, V.; Beatrice, O.; Valentina, C.; Melita, N.; Melita, N. Uncovering the micro-foundations of knowledge sharing in open innovation partnerships: An intention-based perspective of technology transfer. Technol. Forecast. Soc. Change 2020, 152, 119906. [Google Scholar] [CrossRef]
- Zhang, W.; Luo, Q.; Zhang, Y.; Yu, A. Does green credit policy matter for corporate exploratory innovation? Evidence from Chinese enterprises. Econ. Anal. Policy 2023, 80, 820–834. [Google Scholar] [CrossRef]
- Dong, B.; Ma, X.; Zhang, Z.; Liu, Y. Carbon emissions, the industrial structure and economic growth: Evidence from heterogeneous industries in China. Environ. Pollut. 2020, 262, 114322. [Google Scholar] [CrossRef] [PubMed]
- Wang, J.; Dong, X.; Dong, K. How digital industries affect China’s carbon emissions? Analysis of the direct and indirect structural effects. Technol. Soc. 2022, 68, 101911. [Google Scholar] [CrossRef]
- Sun, H.; Edziah, B.K.; Kporsu, A.K.; Asumadu Sarkodie, S.; Taghizadeh-Hesary, F. Energy efficiency: The role of techno-logical innovation and knowledge spillover. Technol. Forecast. Soc. Change 2021, 167, 120659. [Google Scholar] [CrossRef]
- Li, X.; Tang, J.; Huang, J. Place-based policy upgrading, business environment, and urban innovation: Evidence from high-tech zones in China. Int. Rev. Financ. Anal. 2023, 86, 102545. [Google Scholar] [CrossRef]
- Xie, Z.H.; Wu, R.; Wang, S.J. How technological progress affects the carbon emission efficiency? Evidence from national panel quantile regression. J. Clean. Prod. 2021, 307, 127–133. [Google Scholar] [CrossRef]
- Shen, N.; Peng, H. Can industrial agglomeration achieve the emission-reduction effect? Socio-Econ. Plan. Sci. 2021, 75, 100867. [Google Scholar] [CrossRef]
- Liu, X.; Zhang, X. Industrial agglomeration, technological innovation and carbon productivity: Evidence from China. Resour. Conserv. Recycl. 2021, 166, 105330. [Google Scholar] [CrossRef]
- Roberts, L.; Nandy, M.; Hassan, A.; Lodh, S.; Elamer, A. Corporate Accountability Towards Species Extinction Protection: Insights from Ecologically Forward-Thinking Companies. J. Bus. Ethics 2022, 178, 571–595. [Google Scholar] [CrossRef]
- Hermundsdottir, F.; Aspelund, A. Sustainability innovations and firm competitiveness: A review. J. Clean. Prod. 2021, 280, 124715. [Google Scholar] [CrossRef]
- Xu, L.; Fan, M.; Yang, L.; Shao, S. Heterogeneous green innovations and carbon emission performance: Evidence at China’s city level. Energy Econ. 2021, 99, 105269. [Google Scholar] [CrossRef]
- Wang, J.; Yeh, A.G. Administrative restructuring and urban development in China: Effects of urban administrative level upgrading. Urban Stud. 2020, 57, 1201–1223. [Google Scholar] [CrossRef]
- Pan, X.; Pu, C.; Yuan, S.; Haitao, X. Effect of Chinese pilots carbon emission trading scheme on enterprises’ total factor productivity: The moderating role of government participation and carbon trading market efficiency. J. Environ. Manag. 2022, 316, 115228. [Google Scholar] [CrossRef]
- Zhu, K.; Du, L.; Feng, Y. Government attention on environmental protection and firms’ carbon reduction actions: Evidence from text analysis of manufacturing enterprises. J. Clean. Prod. 2023, 423, 138703. [Google Scholar] [CrossRef]
- Villena, V.H.; Dhanorkar, S. How institutional pressures and managerial incentives elicit carbon transparency in global supply chains. J. Oper. Manag. 2020, 66, 697–734. [Google Scholar] [CrossRef]
- Castro, C.; Lopes, C. Digital Government and Sustainable Development. J. Knowl. Econ. 2022, 13, 880–903. [Google Scholar] [CrossRef]
- Bao, R.; Liu, T. How does government attention matter in air pollution control? Evidence from government annual reports. Resour. Conserv. Recycl. 2022, 185, 106435. [Google Scholar] [CrossRef]
- Dagestani, A.A.; Chen, P.; Du, L.; Zhang, J. The impacts of urban development orientation of resource-based cities on environmental information disclosure and greenwashing behavior of listed firms in China. Environ. Dev. Sustain. 2024, 1–26. [Google Scholar] [CrossRef]
- Goodman-Bacon, A. Difference-in-Differences with Variation in Treatment Timing. J. Econom. 2021, 225, 254–277. [Google Scholar] [CrossRef]
- Chang, Z.; Han, F.; Zhang, L. Does the National Innovative City Pilot Policy Increase Economic Resilience—Evidence from the Quasi-natural Experiment. Econ. Probl. 2023, 45, 105–112. [Google Scholar] [CrossRef]
- Hao, X.; He, A.; Xue, L. Superposition of urban development models and carbon emission reduction. Urban Probl. 2023, 42, 93–103. [Google Scholar] [CrossRef]
- Jiang, T. Mediation and Moderation Effects in Causal Inference Empirical Research. China Ind. Econ. 2022, 40, 100–120. [Google Scholar] [CrossRef]
- Yuan, C.L.; Jiang, Z.; Zhang, B. The Green Effect of the National New Urbanization Comprehensive Pilot Policy: From the Perspective of Dual-Target Constraints. Urban Probl. 2024, 43, 52–64. [Google Scholar] [CrossRef]
- Wang, F.Z.; Guo, X.C.; Zhao, L. Environmental Regulation, Technological Progress, and Sulfur Dioxide Emissions: An Empirical Study Based on Provincial Panel Data. J. Zhengzhou Univ. 2021, 55, 63–67. [Google Scholar]
- Yi, M.; Guan, Y.; Wu, T.; Zhang, Q.; Wang, J. Assessing China’s synergistic governance of emission reduction between pollutants and CO2. Environ. Impact Assess. Rev. 2023, 102, 107196. [Google Scholar] [CrossRef]
- Li, J.T.; Jiang, H.; Shen, J.; Ding, H.Y.; Yu, R.J. Using the difference-in-differences design with panel data in international business research: Progress, potential issues, and practical suggestions. J. Int. Bus. Stud. 2024, 1–13. [Google Scholar] [CrossRef]




| Variables | Observation | Mean | S.D. | Min | Max |
|---|---|---|---|---|---|
| 3864 | 2.079 | 3.098 | 0.030 | 34.718 | |
| 3864 | 0.275 | 0.447 | 0 | 1 | |
| 3864 | 0.199 | 0.168 | 0.025 | 1.144 | |
| 3864 | 38.819 | 10.423 | 0 | 67.300 | |
| 3864 | 9.685 | 1.912 | 4.159 | 13.515 | |
| 3864 | 14.429 | 0.861 | 12.387 | 16.540 | |
| 3864 | 10.400 | 0.705 | 8.681 | 11.963 | |
| 3864 | 0.043 | 0.032 | 0.001 | 0.276 |
| Variables | (1) | (2) | (3) | (4) | (5) |
|---|---|---|---|---|---|
| −0.184 *** (0.056) | −0.219 *** (0.057) | −0.217 *** (0.054) | −0.221 *** (0.056) | −0.245 *** (0.060) | |
| Control Variables | NO | Yes | Yes | Yes | Yes |
| Constant | 2.129 *** (0.023) | 9.443 *** (2.051) | 6.981 *** (2.161) | 6.385 *** (2.292) | 0.653 (2.664) |
| City fixed effects | Yes | ||||
| Year fixed effects | Yes | ||||
| Observations | 3864 | 3864 | 3588 | 3312 | 3036 |
| .R2 | 0.928 | 0.931 | 0.933 | 0.933 | 0.935 |
| Group | Weight | Avg DD Est |
|---|---|---|
| Earlier T vs. Later C | 0.086 | 0.037 |
| Later T vs. Earlier C | 0.105 | −0.033 |
| T vs. Never treated | 0.809 | −0.227 |
| Variables | (1) | (2) | (3) |
|---|---|---|---|
| −0.216 *** (0.057) | −0.219 *** (0.057) | −0.220 *** (0.057) | |
| 0.083 (0.052) | |||
| 0.037 (0.062) | |||
| −0.096 * (0.053) | |||
| Control Variables | Yes | ||
| Constant | 9.471 *** (2.047) | 9.484 *** (2.069) | 9.335 *** (2.043) |
| City fixed effects | Yes | ||
| Year fixed effects | Yes | ||
| Observations | 3864 | 3864 | 3864 |
| .R2 | 0.931 | 0.931 | 0.931 |
| Variables | First | Second |
|---|---|---|
| 0.747 *** (0.011) | ||
| −0.309 *** (0.067) | ||
| Control Variables | Yes | |
| Constant | −0.360 (0.401) | 8.661 *** (1.830) |
| City fixed effects | Yes | |
| Year fixed effects | Yes | |
| Durbin-Wu-Hausman | 4.367 ** | 4.011 ** |
| Cragg-Donald Wald F | 4697.64 | |
| Observations | 3588 | 3588 |
| .R2 | 0.874 | 0.939 |
| Variables | (1) | (2) | (3) | (4) | (5) |
|---|---|---|---|---|---|
| Period-by-Period Matching | Hybrid Matching | Removing Samples with Multiple Development Zones Upgrades | Removing Northern Cities | Removing Sub-Provincial and Provincial Capital Cities | |
| −0.226 *** (0.063) | −0.229 *** (0.062) | −0.265 *** (0.044) | −0.248 *** (0.048) | −0.214 *** (0.056) | |
| Control variables | Yes | ||||
| Constant | 8.994 *** (2.392) | 8.577 *** (2.860) | 11.982 *** (2.258) | 2.316 (2.319) | 8.922 *** (2.128) |
| City-level fixed effects | Yes | ||||
| Year-level fixed effects | Yes | ||||
| Observation | 3067 | 1946 | 3248 | 2114 | 3444 |
| .R2 | 0.928 | 0.951 | 0.952 | 0.966 | 0.929 |
| Variables | (1) | (2) | (3) | |||
|---|---|---|---|---|---|---|
| Government Participation | Government Attention to Environmental Protection | Government Pressure to Carbon Emission Reduction | ||||
| High | Low | High | Low | High | Low | |
| −0.393 *** (0.127) | −0.082 * (0.048) | −0.293 ** (0.119) | −0.171 *** (0.060) | −0.265 *** (0.098) | −0.181 *** (0.069) | |
| Fisher’s combination test | 0.310 *** | 0.121 * | 0.084 * | |||
| p-value | (0.000) | (0.019) | (0.090) | |||
| Control variables | Yes | |||||
| Constant | 15.943 *** (4.070) | 6.921 ** (2.779) | 6.551 (4.027) | 10.786 *** (2.467) | 5.838 ** (2.749) | 12.737 *** (3.358) |
| City-fixed effect | Yes | |||||
| Year-fixed effect | Yes | |||||
| N | 1607 | 2257 | 1932 | 1932 | 1932 | 1932 |
| .R2 | 0.922 | 0.959 | 0.924 | 0.938 | 0.910 | 0.950 |
| Variables | (1) | (2) | (3) | (4) |
|---|---|---|---|---|
| −0.219 *** (0.057) | −0.002 *** (0.001) | 0.331 *** (0.051) | 0.002 * (0.001) | |
| Control variables | Yes | |||
| Constant | 9.443 *** (2.051) | 0.162 *** (0.029) | −8.321 *** (1.743) | −0.047 (0.033) |
| City fixed effects | Yes | |||
| Year fixed effects | Yes | |||
| Observations | 3864 | 3864 | 3864 | 3864 |
| .R2 | 0.931 | 0.645 | 0.948 | 0.676 |
| Year | Urban Carbon Emissions | ||
|---|---|---|---|
| Moran’s I | Z-Value | p-Value | |
| C2006 | 0.055 | 8.688 | 0.000 |
| C2007 | 0.059 | 9.401 | 0.000 |
| C2008 | 0.058 | 9.184 | 0.000 |
| C2009 | 0.050 | 8.182 | 0.000 |
| C2010 | 0.060 | 9.322 | 0.000 |
| C2011 | 0.057 | 8.965 | 0.000 |
| C2012 | 0.059 | 9.232 | 0.000 |
| C2013 | 0.060 | 9.314 | 0.000 |
| C2014 | 0.065 | 10.190 | 0.000 |
| C2015 | 0.062 | 9.782 | 0.000 |
| C2016 | 0.062 | 9.729 | 0.000 |
| C2017 | 0.064 | 9.919 | 0.000 |
| C2018 | 0.060 | 9.474 | 0.000 |
| C2019 | 0.056 | 8.789 | 0.000 |
| Variables | (1) | (2) | ||||
|---|---|---|---|---|---|---|
| Spillover Effect | Synergistic Effect | |||||
| Regression Results | Direct Effect | Indirect Effect | ||||
| −0.220 *** (0.487) | −0.220 *** (0.050) | −1.248 * (0.672) | 0.005 (0.032) | −0.017 (0.025) | −0.055 (0.038) | |
| rho | 0.214 * (0.293) | |||||
| sigma2_e | 0.603 *** (0.137) | |||||
| Control variables | Yes | |||||
| Constant | 8.168 *** (1.273) | 7.851 *** (0.885) | 9.084 *** (1.223) | |||
| City-fixed effects | Yes | |||||
| Year-fixed effects | Yes | |||||
| Observation | 3864 | 3864 | 3864 | 3864 | 3864 | 3864 |
| .R2 | 0.018 | 0.018 | 0.018 | 0.787 | 0.860 | 0.708 |
Disclaimer/Publisher’s Note: The statements, opinions and data contained in all publications are solely those of the individual author(s) and contributor(s) and not of MDPI and/or the editor(s). MDPI and/or the editor(s) disclaim responsibility for any injury to people or property resulting from any ideas, methods, instructions or products referred to in the content. |
© 2024 by the authors. Licensee MDPI, Basel, Switzerland. This article is an open access article distributed under the terms and conditions of the Creative Commons Attribution (CC BY) license (https://creativecommons.org/licenses/by/4.0/).
Share and Cite
Xu, L.; Zhou, J.; Liu, Y. How Upgrading of Provincial Development Zones Reduces Urban Carbon Emission: Evidence from a Time-Varying DID Analysis. Sustainability 2024, 16, 8852. https://doi.org/10.3390/su16208852
Xu L, Zhou J, Liu Y. How Upgrading of Provincial Development Zones Reduces Urban Carbon Emission: Evidence from a Time-Varying DID Analysis. Sustainability. 2024; 16(20):8852. https://doi.org/10.3390/su16208852
Chicago/Turabian StyleXu, Long, Jiayi Zhou, and Yuan Liu. 2024. "How Upgrading of Provincial Development Zones Reduces Urban Carbon Emission: Evidence from a Time-Varying DID Analysis" Sustainability 16, no. 20: 8852. https://doi.org/10.3390/su16208852
APA StyleXu, L., Zhou, J., & Liu, Y. (2024). How Upgrading of Provincial Development Zones Reduces Urban Carbon Emission: Evidence from a Time-Varying DID Analysis. Sustainability, 16(20), 8852. https://doi.org/10.3390/su16208852

