How to Realize the Collaborative Supply of Cultural Resource Big Data with Government Participation: Experiences from China
Abstract
1. Introduction
2. Review of the Current State of Relevant Research
2.1. Related Research on Collaborative Supply of Big Data
2.2. Related Research on the Cultural Resources Big Data
2.3. Related Research on the Combined Application of Prospect Theory and Evolutionary Game Theory
3. Model Construction
3.1. Statement of the Problem
3.2. Basic Assumptions of the Model
3.3. Payment Matrix Construction
4. Model Evolutionary Equilibrium Analysis
4.1. Unilateral Strategy Stability Analysis
4.2. Stability Analysis of Tripartite Evolutionary Equilibrium Points
5. Simulation Analysis
5.1. Initial Parameter Assignment
5.2. Evolutionary Impact of Each Key Parameter
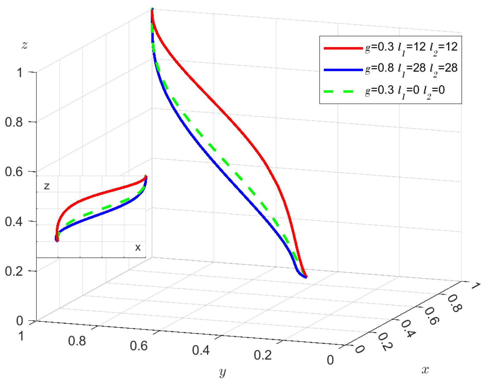
5.2.1. Impact of the Government Punishment on the Evolutionary Path of the System
5.2.2. Impact of Digital Infrastructure Empowerment Factor and Access Costs on System Evolutionary Paths
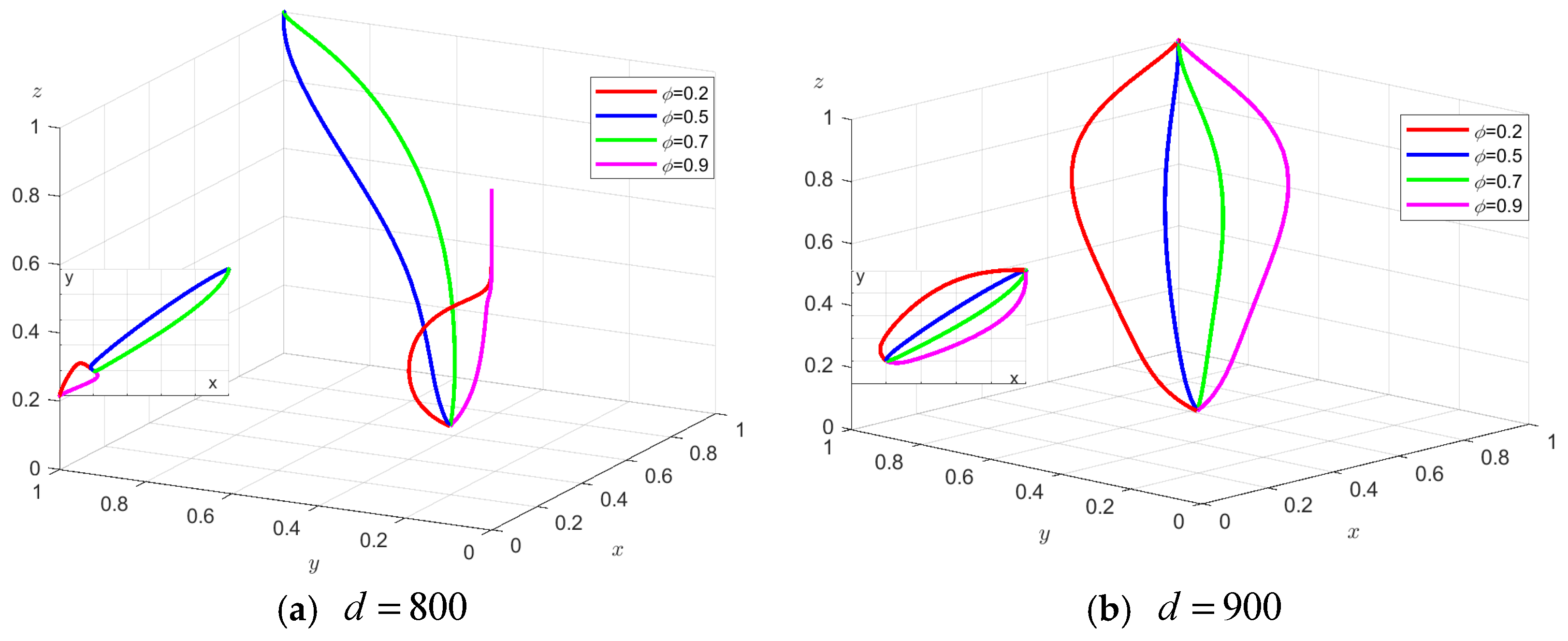
5.2.3. Impact of the Absorption and Transformation Capacities of Cultural Institutions and Platforms on the Evolutionary Path of the System
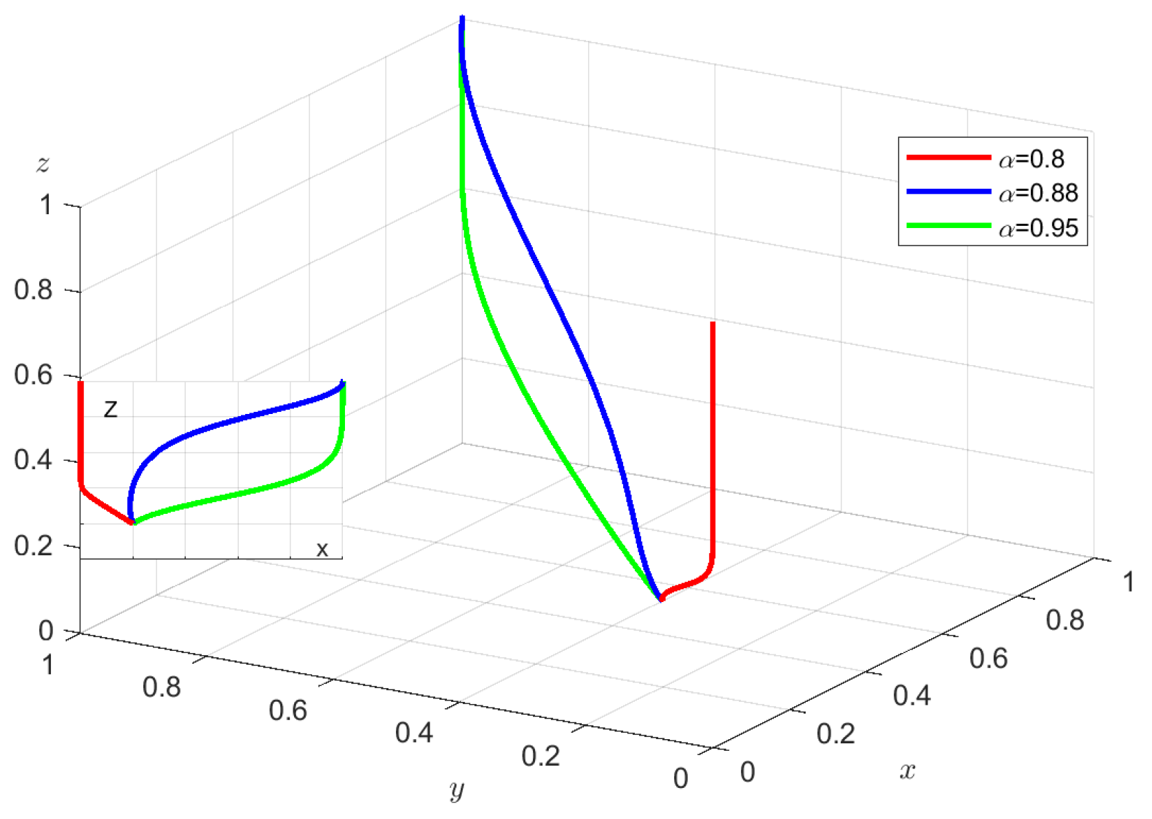
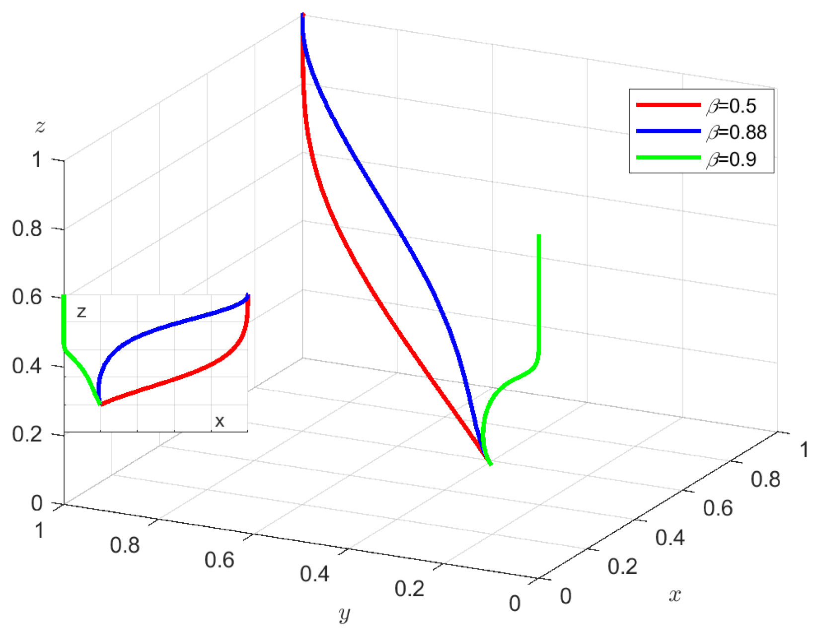
5.2.4. Impact of Benefit Distribution Coefficients on the Evolutionary Path of the System
5.2.5. Impact of Data Leakage Probability, Benefit Cost Risk Appetite Coefficient, and Loss Sensitivity Coefficient on System Evolutionary Paths
5.3. Evolutionary Impact of the Initial Choice of Each Game Subject
6. Conclusions
6.1. Theoretical Implications
6.2. Practical Implications
6.3. Limitations
Author Contributions
Funding
Institutional Review Board Statement
Informed Consent Statement
Data Availability Statement
Conflicts of Interest
References
- Zhang, Y.; Dong, C. Sustainable Development of Digital Cultural Heritage: A Hybrid Analysis of Crowdsourcing Projects Using fsQCA and System Dynamics. Sustainability 2024, 16, 7577. [Google Scholar] [CrossRef]
- Ke, P.; Zhou, J.; Sun, X. Launch a New Round of Strategy for the Transformation and Upgrading of Cultural Industry: Analysis and Inspiration of “Opinions on Promoting the Implementation of the National Cultural Digitalization Strategy”. Inf. Stud. Theory Appl. 2022, 45, 1–8. [Google Scholar] [CrossRef]
- Machidon, O.-M.; Tavcar, A.; Gams, M.; Duguleana, M. CulturalERICA: A conversational agent improving the exploration of European cultural heritage. J. Cult. Herit. 2020, 41, 152–165. [Google Scholar] [CrossRef]
- Bec, A.; Moyle, B.; Timms, K.; Schaffer, V.; Skavronskaya, L.; Little, C. Management of immersive heritage tourism experiences: A conceptual model. Tour. Manag. 2019, 72, 117–120. [Google Scholar] [CrossRef]
- Bekele, M.K.; Pierdicca, R.; Frontoni, E.; Malinverni, E.S.; Gain, J. A Survey of Augmented, Virtual, and Mixed Reality for Cultural Heritage. ACM J. Comput. Cult. Herit. 2018, 11, 7. [Google Scholar] [CrossRef]
- He, Z.; Wu, L.; Li, X. When art meets tech: The role of augmented reality in enhancing museum experiences and purchase intentions. Tour. Manag. 2018, 68, 127–139. [Google Scholar] [CrossRef]
- Pesce, D.; Neirotti, P.; Paolucci, E. When culture meets digital platforms: Value creation and stakeholders’ alignment in big data use. Curr. Issues Tour. 2019, 22, 1883–1903. [Google Scholar] [CrossRef]
- Rinaldo, C.; Rielinger, D.; Deveer, J.; Castronovo, D. Connecting Libraries, Archives, and Museums: Collections in Support of Natural History Science. ACM J. Comput. Cult. Herit. 2023, 16, 3. [Google Scholar] [CrossRef]
- Khlystova, O.; Kalyuzhnova, Y.; Belitski, M. The impact of the COVID-19 pandemic on the creative industries: A literature review and future research agenda. J. Bus. Res. 2022, 139, 1192–1210. [Google Scholar] [CrossRef]
- Zou, T. The Current Situation, Challenges and Countermeasures of Cultural Digitalization in China. Frontiers 2022, 23, 56–66. [Google Scholar] [CrossRef]
- Kazantsev, N.; Islam, N.; Zwiegelaar, J.; Brown, A.; Maull, R. Data sharing for business model innovation in platform ecosystems: From private data to public good. Technol. Forecast. Soc. Change 2023, 192, 122515. [Google Scholar] [CrossRef]
- Liu, W.; Long, S.; Wei, S.; Xie, D.; Wang, J.; Liu, X. Smart logistics ecological cooperation with data sharing and platform empowerment: An examination with evolutionary game model. Int. J. Prod. Res. 2022, 60, 4295–4315. [Google Scholar] [CrossRef]
- Helfat, C.E.; Raubitschek, R.S. Dynamic and integrative capabilities for profiting from innovation in digital platform-based ecosystems. Res. Policy 2018, 47, 1391–1399. [Google Scholar] [CrossRef]
- Cao, L.; Yin, J. Research on Sharing Behavior Strategy of Cultural Heritage Institutions Based on Evolutionary Game Theory. Sustainability 2023, 15, 10192. [Google Scholar] [CrossRef]
- Gao, Y.; Zhu, Z.; Yang, J. An Evolutionary Game Analysis of Stakeholders’ Decision-Making Behavior in Medical Data Sharing. Mathematics 2023, 11, 2921. [Google Scholar] [CrossRef]
- Bereznoy, A.; Meissner, D.; Scuotto, V. The intertwining of knowledge sharing and creation in the digital platform based ecosystem. A conceptual study on the lens of the open innovation approach. J. Knowl. Manag. 2021, 25, 2022–2042. [Google Scholar] [CrossRef]
- Pikkarainen, M.; Kemppainen, L.; Xu, Y.; Jansson, M.; Ahokangas, P.; Koivumäki, T.; Gu, H.H.; Gomes, J.F. Resource integration capabilities to enable platform complementarity in healthcare service ecosystem co-creation. Balt. J. Manag. 2022, 17, 688–704. [Google Scholar] [CrossRef]
- Deng, W.; Dai, L.; Zhang, Z.; Fan, Z. Coordination Mechanism of Government Data Sharing Based on Evolutionary Game. Inf. Sci. 2023, 41, 10–19. [Google Scholar] [CrossRef]
- Bao, A.-R.-H.; Liu, Y.; Dong, J.; Chen, Z.-P.; Chen, Z.-J.; Wu, C. Evolutionary Game Analysis of Co-Opetition Strategy in Energy Big Data Ecosystem under Government Intervention. Energies 2022, 15, 2066. [Google Scholar] [CrossRef]
- Miller, C.D.; Toh, P.K. Complementary components and returns from coordination within ecosystems via standard setting. Strateg. Manag. J. 2022, 43, 627–662. [Google Scholar] [CrossRef]
- van den Broek, T.; van Veenstra, A.F. Governance of big data collaborations: How to balance regulatory compliance and disruptive innovation. Technol. Forecast. Soc. Change 2018, 129, 330–338. [Google Scholar] [CrossRef]
- Fan, Z.; Fan, K.; Zhang, W. Research on the data integration strategy of local governments and enterprises under central government subsidies. AIMS Math. 2022, 7, 10143–10164. [Google Scholar] [CrossRef]
- Oztemel, E.; Gursev, S. Literature review of Industry 4.0 and related technologies. J. Intell. Manuf. 2020, 31, 127–182. [Google Scholar] [CrossRef]
- Ma, R.; Jiang, L.; Wang, T.; Wang, X.; Ruan, J. How do manufacturing companies and service providers share knowledge in the context of servitization? An evolutionary-game model of complex networks. Int. J. Prod. Res. 2023, 61, 4279–4301. [Google Scholar] [CrossRef]
- Ammirato, S.; Felicetti, A.M.; Linzalone, R.; Carlucci, D. Digital business models in cultural tourism. Int. J. Entrep. Behav. Res. 2022, 28, 1940–1961. [Google Scholar] [CrossRef]
- Hilbert, M. Big data for development: A review of promises and challenges. Dev. Policy Rev. 2016, 34, 135–174. [Google Scholar] [CrossRef]
- Liu, X.; Li, Y.; Zhang, Z.; Wang, Q. Cultural Heritage Resource Development and Industrial Transformation Resource Value Assessment Based on BP Neural Network. Comput. Intell. Neurosci. 2022, 2022, 2288358. [Google Scholar] [CrossRef]
- Rahman, M.S.-U.; Simmons, D.; Shone, M.C.; Ratna, N.N. Social and cultural capitals in tourism resource governance: The essential lenses for community focussed co-management. J. Sustain. Tour. 2022, 30, 2665–2685. [Google Scholar] [CrossRef]
- Rossetti, G.; Quinn, B. The value of the serious leisure perspective in understanding cultural capital embodiment in festival settings. Sociol. Rev. 2023, 71, 526–543. [Google Scholar] [CrossRef]
- Nayak, B.S.; Walton, N. The future of platforms, big data and new forms of capital accumulation. Inf. Technol. People 2023, 37, 662–676. [Google Scholar] [CrossRef]
- Santarsiero, F.; Carlucci, D.; Jarrar, Y. Creating value from Big Data: A knowledge assets-based view. Knowl. Manag. Res. Pr. 2023, 21, 714–724. [Google Scholar] [CrossRef]
- Arbace, L.; Sonnino, E.; Callieri, M.; Dellepiane, M.; Fabbri, M.; Idelson, A.I.; Scopigno, R. Innovative uses of 3D digital technologies to assist the restoration of a fragmented terracotta statue. J. Cult. Herit. 2013, 14, 332–345. [Google Scholar] [CrossRef]
- Zollo, L.; Rialti, R.; Marrucci, A.; Ciappei, C. How do museums foster loyalty in tech-savvy visitors? The role of social media and digital experience. Curr. Issues Tour. 2022, 25, 2991–3008. [Google Scholar] [CrossRef]
- Guo, K.; Fan, A.; Lehto, X.; Day, J. Immersive Digital Tourism: The Role of Multisensory Cues in Digital Museum Experiences. J. Hosp. Tour. Res. 2023, 47, 1017–1039. [Google Scholar] [CrossRef]
- Axelrod, R.; Hamilton, W.D. The evolution of cooperation. J. Sci. 1981, 212, 1390–1396. [Google Scholar] [CrossRef]
- Nowak, M.A.; May, R.M. Evolutionary games and spatial chaos. J. Nat. 1992, 359, 826–829. [Google Scholar] [CrossRef]
- Tversky, A.; Kahneman, D. Advances in prospect theory: Cumulative representation of uncertainty. J. Risk Uncertain. 1992, 5, 297–323. [Google Scholar] [CrossRef]
- Yang, L.; Zhang, L.; Yang, D. Asymmetric micro-dynamics in spatial anonymous public goods game. Appl. Math. Comput. 2022, 415, 126737. [Google Scholar] [CrossRef]
- Liu, N.; Zhou, G. Evolutionary analysis of resource sharing of collaborative innovation in major infrastructure projects based on prospect theory. J. Ind. Eng. Eng. Manag. 2023, 37, 69–79. [Google Scholar] [CrossRef]
- Diao, S.; Kuang, H.; Meng, B.; Shi, B. Evolutionary Game Analysis of LSSC Service Quality Control Strategy Based on Prospect Theory. Chin. J. Manag. Sci. 2021, 29, 33–45. [Google Scholar] [CrossRef]
- Sun, H. Practical Exploration and Promotion Strategies for the Development and Utilization of Cultural Tourism Resource Data. Res. Libr. Sci. 2021, 14, 52–57. [Google Scholar] [CrossRef]
- Xu, A. Development of Big Data and Cultural Industry: Connotation, Mechanism and Path of Integration. Seeker 2022, 4, 135–142. [Google Scholar] [CrossRef]
- Zhao, Z.; Liu, Y.; Liu, L. Evolutionary Game Analysis of the Supervision of Drug Quality Safety Based on Prospect Theory. Oper. Res. Manag. Sci. 2022, 31, 75–81. [Google Scholar]
- Terras, M.; Coleman, S.; Drost, S.; Elsden, C.; Helgason, I.; Lechelt, S.; Osborne, N.; Panneels, I.; Pegado, B.; Schafer, B.; et al. The value of mass-digitised cultural heritage content in creative contexts. Big Data Soc. 2021, 8, 20539517211006165. [Google Scholar] [CrossRef]













| CRBD Service Platforms | Cultural Institutions | |||
|---|---|---|---|---|
| Sharing () | Not Sharing () | |||
| The government | Regulation () | Participation () | ||
| Non-participation () | ||||
| No regulation () | Participation () | 0 | ||
| 0 | 0 | |||
| Non-participation () | 0 | |||
| 0 | 0 | |||
| 0 | 0 | |||
| Balance Point | Eigenvalue | Real Symbols ( are All More Than 0) | Stability Conclusions ( are More Than 0) | ||
|---|---|---|---|---|---|
| Scenario 1: | Scenario 2: | Scenario 1: | Scenario 2: | ||
| (+, −, −) | (−, −, −) | Point of Instability | Point of Stability | ||
| (/, +, /) | Point of Instability | ||||
| (/, +, /) | Point of Instability | ||||
| (/, /, −) | (/, /, +) | Inconclusive | Point of Instability | ||
| (/, /, +) | Point of Instability | ||||
| (/, +, /) | Point of Instability | ||||
| (/, +, /) | Point of Instability | ||||
| (−, −, −) | Point of Stability | ||||
| - | (+, 0, −) | Point of Instability | |||
Disclaimer/Publisher’s Note: The statements, opinions and data contained in all publications are solely those of the individual author(s) and contributor(s) and not of MDPI and/or the editor(s). MDPI and/or the editor(s) disclaim responsibility for any injury to people or property resulting from any ideas, methods, instructions or products referred to in the content. |
© 2024 by the authors. Licensee MDPI, Basel, Switzerland. This article is an open access article distributed under the terms and conditions of the Creative Commons Attribution (CC BY) license (https://creativecommons.org/licenses/by/4.0/).
Share and Cite
Ning, L.; Gao, Q.; Liu, J. How to Realize the Collaborative Supply of Cultural Resource Big Data with Government Participation: Experiences from China. Sustainability 2024, 16, 8831. https://doi.org/10.3390/su16208831
Ning L, Gao Q, Liu J. How to Realize the Collaborative Supply of Cultural Resource Big Data with Government Participation: Experiences from China. Sustainability. 2024; 16(20):8831. https://doi.org/10.3390/su16208831
Chicago/Turabian StyleNing, Lianju, Qifang Gao, and Jingtao Liu. 2024. "How to Realize the Collaborative Supply of Cultural Resource Big Data with Government Participation: Experiences from China" Sustainability 16, no. 20: 8831. https://doi.org/10.3390/su16208831
APA StyleNing, L., Gao, Q., & Liu, J. (2024). How to Realize the Collaborative Supply of Cultural Resource Big Data with Government Participation: Experiences from China. Sustainability, 16(20), 8831. https://doi.org/10.3390/su16208831

