Next Article in Journal
How to Realize the Collaborative Supply of Cultural Resource Big Data with Government Participation: Experiences from China
Previous Article in Journal
South Africa as a Donor of Its Native and Exotic Species to the International Pet Trade
 
 
Font Type:
Arial Georgia Verdana
Font Size:
Aa Aa Aa
Line Spacing:
Column Width:
Background:
Article

View Selection of Safety Managers Affects Their Ability to Evaluate Safety Level of Workers

School of Engineering, Sichuan Normal University, Chengdu 610101, China
*
Author to whom correspondence should be addressed.
Sustainability 2024, 16(20), 8829; https://doi.org/10.3390/su16208829
Submission received: 8 August 2024 / Revised: 4 October 2024 / Accepted: 8 October 2024 / Published: 12 October 2024
(This article belongs to the Section Hazards and Sustainability)

Abstract

Evaluating the safety level of work behaviors is an important means of safety management through safety managers’ manual visual or video surveillance. This paper aims to grasp the view selection rules of safety managers in correctly observing and analyzing work behavior, which are conducive to safety behavior assessment. Firstly, based on a similarity simulation experiment, the work process of the operators was simulated, and the process was simultaneously monitored from multiple views to obtain surveillance videos. Then, safety managers with different experience levels watched the videos and answered the questionnaire in a questionnaire survey experiment. The authors found the following: (1) Prior experience does not affect the view selection during the observation stage, but it does affect the view selection during the analysis stage. Experienced safety managers perform better in view selection when dealing with complex tasks. (2) The work postures have a significant effect on the view type and their combination order. (3) The view selection of experienced safety managers in the behavior observation and analysis stages is non-constant except for sitting posture operations, while the view selection of amateur managers is always constant. (4) Sitting posture work takes the front view as the main view and the left–right–upper views as auxiliary views; standing posture uses the left and right views as the main views and the front–back–upper views as auxiliary views; and mixed posture takes the left and right views as the main views and the upper–front–back views as auxiliary views. These view selection rules can achieve the highest evaluation performance. These findings can help train or select high-quality safety managers and provide a scientific basis for arranging views during video surveillance.

1. Introduction

By evaluating the level of workers’ safety behaviors in production, a scientific approach to safety management can be achieved, which can reduce risks such as production interruptions, personnel injuries, and equipment damage while enhancing the competitiveness of enterprises. This is the cornerstone of achieving the sustainable development of enterprises.
In previous safety management, safety managers still used visual monitoring as a main method to observe and analyze the unsafe behaviors of operators, evaluate their safety behavior level, and prevent accidents in advance [1]. Nowadays, video surveillance technology is used in the safety management of construction and other industries [2]. Monitoring cameras and software algorithms can be used to observe and analyze the unsafe behavior of operators and evaluate their safety level. Video surveillance is expected to develop into an essential means to replace visual monitoring in the field of safety management.
Both manual visual monitoring and automatic video monitoring to evaluate and control safety behavior levels involve the issue of view selection. Selecting representative views is useful for many applications and has received widespread attention in fields such as psychology, behavior, computer vision, and computer graphics. Current research in these fields has found that the information obtained from different views varies, the required processing resources are different, and the performances are also different when recognizing targets [3,4]. That is to say, view selection affects behavior evaluation performance, and reasonable view selection methods can achieve better evaluation performances such as the observation and analysis of behavior [5,6,7]. Usually, behavior evaluation is divided into two stages: observation and analysis. Firstly, observing behavior obtains behavior information mainly based on the scene. Then, in the analysis stage, a large amount of prior knowledge is applied to process the behavior information to obtain evaluation results.
In fields such as psychology and behavioral science, researchers have conducted paradigm experiments to investigate the impact of views on object recognition. They use the first imagined view in the subjects’ brains, or the view rated as the most familiar and beautiful, as the best view. Researchers have found that three-quarter views (oblique views between frontal and side views) are typically preferred as representative views of 3D objects, and view selection has two constants, with constant view selection for different behavioral analysis processes and consistent preferred views for different subjects [8]. The researchers also studied factors that affect view selection such as structure, texture, and shadow [9]. However, psychological research mainly focuses on static object recognition, with relatively little research on dynamic behavior recognition. The choice of subjects does not distinguish between expert and amateur types, does not distinguish whether the view selections of expert safety manager and amateur manager types were consistent, and does not distinguish whether there were differences in views between the observation stage and the analysis stages of behavior evaluation.
In the fields of computer vision and graphics, the optimal view is solved by optimizing the objective function model based on view features. The objective function is usually to maximize geometric complexity, information content, aesthetics, etc. Common view features include visible light regions [10], visual entropy [11], image-based similarity [8], etc. Research on viewpoint recommendation has found that choosing the front or side view results in better performance on tasks [12]. However, research is usually conducted under ideal conditions, without considering the actual tasks performed, and is also based on static object recognition. There is little consideration for the influence of the subject’s prior experience on view selection, and there is a lack of research on both stages. In addition, there are few studies on the effect of action postures on view selection.
In application fields such as work behavior evaluation, multiple candidate views are directly selected based on the experience of researchers or designers, and are applied to construct machine vision systems for specific applications. Then, the view selection results are determined based on the application effects of the candidate views. Most current researchers have found that compared to other views, the left view performs better [13]. But some people believe that the role of the top view cannot be ignored [14], while others hold different opinions [15]. It is still unknown whether humans have adopted such a view selection pattern in observing and analyzing these behaviors. Humans also have the same limitations in view selection as the field of computer vision. Therefore, these conclusions are difficult to apply to the field of safety behavior evaluation.
Therefore, we focus on the following three questions of safety behavior evaluation:
(1) The view selection rules of subjects with different levels of safety management are used to analyze the influence of prior experience on view selection. We assume that the safety managers who choose reasonable views are mature and experienced experts, while the safety manager who chooses unreasonable views is amateur. (2) The view selection rules under different work postures are used to analyze the influence of work postures on view selection. We assume that work postures have an impact on view selection performance. (3) The view selection rules of the subjects during the observation and analysis stages of work behavior are used to reveal the changing patterns of view selection during the evaluation process. We assume that the view selection of the subjects during the behavioral observation and analysis stages is variable and not constant.
In summary, in order to achieve the highest performance in safety behavior evaluation, this paper seeks rules for view selection and combination that are conducive for safety managers to evaluate the behavior of workers. The main work has the following goals: (1) Design a combination experiment of similar simulations and a questionnaire survey, aiming to reveal the rules for view selection and combination of safety managers when observing and analyzing operation behavior. (2) Study the influence of prior experience on view selection. (3) Analyze the influence of work posture on view selection when working in sitting, standing, and mixed postures. (4) Explore whether view selection is constant in the behavior observation and analysis stages. (5) Provide a reasonable view selection strategy for safety behavior evaluation to improve the evaluation performance of safety managers.
These research conclusions can be used to cultivate or select high-quality safety managers in the field of safety management, are helpful for understanding the role of prior knowledge in view selection in behavioral studies, and can provide empirical guidance for camera placement and behavior recognition algorithm in video surveillance, achieving better behavior recognition or view expression for computer vision and graphics.

2. Related Work

This section summarizes the current status and existing problems of view selection research from three points of view: psychology, computer vision and graphics, and work behavior evaluation.

2.1. View Selection in Psychology

The study of the impact of human view selection on object recognition performance has always been a mainstream topic in the fields of behavior, psychology, and physiology. Researchers usually refer to the results of view selection as “canonical views” or “preferred views” [16]. Researchers have found that side views have more distinct application value and ecological validity compared to top and bottom views when people complete conscious recognition tasks through paradigm experiments, but the side view has little effect on object recognition when people complete unconscious recognition tasks [17].
Psychophysical experiments further indicate that three-quarter views are typically representative views of object recognition, and the view selection of subjects is usually constant at various stages of recognition for familiar objects or unfamiliar objects with small movement [8]. The study also found that object recognition performance improves when the view is at (45° or 90°) [18]. A single view or the best view cannot fully describe the features of three-dimensional objects. Some researchers believe that object recognition relies on view combination [19], and have proposed theories such as multiple views plus transformation to reveal the rules of view combination. Stewart et al. [20] measured the posture discrimination of various objects, found that the front and back views produced particularly good discrimination performance, and established an optical flow model to reveal the reasons why certain views are important for behavior perception.
The research mainly focuses on static object recognition in scenes, without considering dynamic behavior recognition, and without taking into account the influence of the experience levels of the subjects, behavior evaluation stages, or work postures on view selection.

2.2. View Selection in Computer Vision and Graphics

The traditional approach of the field of computer vision is to deploy a Pan Tilt Zoom (PTZ) camera that can change the view, but it cannot provide multi-view data from different angles simultaneously to improve the accuracy of behavior evaluation [3]. Another approach [21,22] is a full-view coverage arrangement deploying cameras in every view and monitoring events from all views simultaneously, which can solve the limitations of PTZ. However, full-view coverage increases storage and computing costs, produces a large amount of redundant and noisy data, and hinders accuracy improvement [23].
The current research direction is to consider customized optimization algorithms or adaptive methods, and to use mathematical models to solve the problem of view selection. Usually, the problem to be solved is modeled, and then all the constraint sets required to implement a specific task are given. The optimal position of a set of cameras is found in the region that satisfies the constraint conditions, and the given optimization conditions are added to the model, such as maximizing information and minimizing costs, in order to achieve the full coverage of the entire event while using the least resources [3,24].
Erdem et al. [25] proposed an effective radial sweep algorithm to calculate each camera’s visible region to solve the general task-based camera placement problem, minimizing the total cost and satisfying the coverage constraint. Similarly, Liu et al. [10] considered a set of user constraints, including the camera number and the camera parameters, gave a generalized statistical formulation for the problem, and designed a cross-dimensional simulated annealing algorithm to calculate the optimal configuration on the number and parameters of the cameras. Zhang et al. [26] proposed an improved genetic algorithm used to search for the global optimal solution for camera placements to be able to cover 100% of the construction site in metro station projects. Kwon et al. [27] defined three view selection metrics for the most preferable view of a three-dimensional human model—the limb length sum, the area of a two-dimensional bounding box, and the visible area of a bounding box—and obtained the optimal viewpoint by solving an objective function.
In the field of computer graphics, based on the geometric or statistical features or descriptors of objects presented by different candidate views, the optimization function is constructed and solved to achieve view selection by maximizing view quality such as geometric complexity, information content, aesthetics, and focus [11,28,29,30]. Common geometric or statistical features include curvature, contour, viewpoint entropy, visible projection area, recognition performance, etc. Chen et al. [31] conducted an experiment using panoramic map technology to establish a landscape perception evaluation model and studied the overall scenic beauty of a scene determined by positive or negative perspectives. They found that with a single viewpoint scene, the images are difficult to use to reflect the overall scenic beauty of the scene, and both positive and negative viewpoints have a significant impact on the evaluation of the overall beauty. The latest research has found that there is a view preference when taking photos of buildings. For symmetrical buildings, tourists often prefer to take representative views from the front of the building; for asymmetric buildings, tourists are more inclined to take some side views [12].
However, view selection is a challenging task that is influenced by the information of the scenes to be recognized, as well as by the prior knowledge of the subjects, and more importantly, by the visual tasks performed. The research in these fields is usually conducted under ideal conditions. Obtaining representative views of objects is usually solved automatically without prior knowledge of the behaviors and tasks. These works do not consider the actual tasks performed, and rarely consider the influence of the subject’s prior experience on view selection. There is little research on the effect of the observation and analysis stages, or on the effect of work posture on view selection.

2.3. View Selection Application in Work Behavior Evaluation

In the application fields of view selection, such as in the construction industry, a real-time posture analysis system is constructed to classify whether a single worker’s posture is ergonomic [32]. In the medical industry, view selection is used to measure the posture of patients and nurses during patient transfer training [33] and to evaluate the training skill level of medical teams [34]. In the field of arts and sports, it is used to evaluate the level of dance or athletic training skills [35], etc. With the increasing application of computer vision technology in evaluating human skill operation levels, research on and applications of view selection are becoming more and more important. By selecting better view combinations, better evaluation results can be achieved.
In order to understand the contribution of stereo vision to the processing of observed manipulative behaviors [36], the authors placed two of the same type of camera on the left lateral view and frontal view of a worker, and studied the contribution of stereo vision to four types of manipulative behaviors: pushing, grasping, dragging, and moving objects. The authors believe that the role of stereopsis is essential for processing observed manipulative behaviors, and it can improve the fidelity of the representation of any of these behaviors. But the authors only considered the frontal and lateral views without taking into account views from other directions.
Regarding the detection of unsafe behavior among construction workers, Ding et al. [37] collected images from the operator’s front, back, left, and right views as training and testing sets. The behavior recognition algorithm experiments found that compared to the front, back, and right monitoring views, the left lateral view had the highest recognition accuracy for different types of motion data. However, it is still unknown whether there is a universal conclusion for various types of work, and only static images were studied.
Seo et al. [13] proposed an automated posture ergonomic risk assessment method for construction workers using vision-based posture classification. The study found that the performance of the left view (88.6%) was better than that of the left diagonal view (85.6%) or rear view (78.4%) when evaluating ergonomic risk. Furthermore, most classification errors are caused by confusion between standing and other postures.
Lodinger et al. [14] evaluated the impact of top-down and side views on the recovery delay of visual motion tasks related to laparoscopic surgery, and found that when using a side view instead of a top-down view and with longer interruption time, participants needed more time to recover from nail transfer tasks. Bateman et al. [15] conducted empirical research on the impact of view selection on the experience of playing driving video games, and found that although view selection has a significant impact on performance, the top-down view may reduce performance, which is inconsistent with traditional research conclusions.
In these applications, view selection rules have been applied or new view selection rules have been discovered. It is still unknown whether humans have adopted such view selection rules in analyzing these behaviors. Humans also have the same limitations of view selection as the field of computer vision, and these view selections are pre-established based on the experience of researchers. Therefore, these conclusions are difficult to apply to the field of safety behavior evaluation.

3. Methods

A combination experiment of similar behavior simulation and questionnaire surveys was designed by us, and it can be used to find the type of view used by safety managers who have correctly evaluated the behavior in behavior safety observation and analysis, in order to find a view conducive to behavior safety observation and analysis.
The experimental process includes a similar behavior simulation experiment, a questionnaire survey experiment, and the processing and statistical analysis of the data. First, simulate multiple types of work and record the operation behavior of workers, collect videos of the safe behaviors and the unsafe behaviors of workers from multiple views; secondly, design a questionnaire to investigate various safety managers to understand their view selection results and behavior identification results; finally, apply a statistical analysis of these results to form an investigation report and obtain research conclusions.

3.1. Similar Behavior Simulation Experiment

Unsafe behavior is a small probability event, and it often causes severe personal and property losses. It is not suitable for on-site operation experiments. Therefore, we adopted a research method of a similar behavior simulation experiment method to simulate the operation behavior processes of various types of work and various working conditions, as well as to simulate safe and unsafe behaviors during these operation processes.
Based on historical data and typical unsafe behaviors in the “Classification Standard for Casualty Accidents of Enterprise Staff and Workers” (GB 6441-1986) in China [38], a simulated operation script was written in the laboratory. The participants were invited to simulate the safe and unsafe behaviors of various types of operations.
(1)
Determine the simulated types of work and operation behaviors. Because behavior and action are closely related to posture, this paper identified three types of work postures, namely sitting posture, standing posture, and mixed posture, considering the general applicability of the conclusions to be revealed. Woodworkers and video surveillance administrators were selected as the representative work types for sitting posture, electricians and rock cutters were selected as the representative work types for standing posture, and the representative work types for mixed posture were drilling sampling workers and material performance inspectors. The operating scenarios of the works are shown in Figure 1, and the operation behaviors are shown in Table 1.
(2)
Draw up and compile safe and unsafe behavior scripts. The safe behaviors are proficient operation behaviors, following operating procedures during operation. The unsafe behaviors cover 4 of the 13 first-level unsafe behavior categories of GB 6441-1986: 7.01 Operation Error, Neglecting Safety, Neglecting Warning, 7.08 Climbing and Sitting in Unsafe Positions, 7.11 Distracted Behavior, 7.13 Unsafe Clothing. These unsafe behaviors in various types of work are shown in Table 1.
(3)
Determine the workers participating in the experiment. A total of 10 workers (all male, average age 19.3 years, age range 19–20) participated in the simulation experiments. Each type of work was randomly simulated by five different workers. All participants were in good health and understood the operating procedures of their respective operations and knew the work process before undergoing the simulation experiment.
(4)
Select the operation equipment and arrange multi-view monitoring equipment. The operation equipment used for each type of work is shown in Table 1. To obtain multi-view operation behavior videos, separate cameras were installed in front, rear, left, right, upper, and down views. The behavior videos of the workers were recorded at the same time. The data acquisition instrument was composed of 6 monitoring devices that can be monitored simultaneously (Equipment model: DS-IPC-B12H-I 4 mm/Poe).
(5)
Simulate the operation processes and collect multi-view operation behavior videos. Distribute scripts to the workers and conduct operation training. During the simulation operation, the workers operated independently, without interference in the whole of the operation processes, and simultaneously the behavior videos of the operation were recorded from 6 views. After the simulation experiment was over, the videos with 6 views of the same worker’s operation of the same type of work were placed on the same screen to become a multi-view behavior video by the first-angle orthographic projection method. The behavior videos obtained from the 6 views are shown in Figure 2.
A total of 16 safe behavior video samples and 19 unsafe behavior video samples were collected. The duration of a single video was between 10 s and 20 s. Finally, the classification statistics of the total sample are shown in Table 2.

3.2. Questionnaire Survey Experiment

The basic principle of the experiment is to assume that the different views adopted by different safety managers when observing and analyzing behavior will lead to differences in the unsafe behavior identification results (correct or incorrect evaluation), and then to verify the causal relationship hypothesis through the view selection rules during correct or incorrect evaluation.
Correct evaluation refers to the subjects correctly identifying the samples in Table 2 as corresponding behavior types, while incorrect evaluation refers to the subjects incorrectly identifying safe behavior types in the samples as unsafe behavior types, or incorrectly identifying unsafe behavior types as safe behavior types.
(1)
Questionnaire design. The questionnaire was divided into two parts: the subject’s personal information and their answers to the questions. The personal information part mainly includes personal attributes, such as name, gender, age, major, industry engaged in, and working years in the safety field, etc. The answer part is about the view selection, their order, their importance in observing and analyzing the safety behavior, and an evaluation result of the behavior videos watched currently by the subject.
Each type of work was investigated separately. The questionnaire contained the survey contents of the 6 types of work. The subjects were required to choose the type of work they were familiar with to fill in the questionnaire. The design is shown in Figure 3.
(2)
Subjects. A total of 23 subjects were invited to participate in the experiment: 10 were expert managers with rich working experience in safety management, and who have worked in this field for more than 6 years; and 13 were beginner managers who are safety engineering majors without work experience, composed of undergraduate and graduate students.
Before the experiment, we wrote an experimental procedure manual and recorded an operation video of the questionnaire. Then, all of the subjects were trained by the process manual, and watched the operation video to familiarize themselves with the questionnaire experiment. Finally, after the subjects confirmed their familiarity with the experiment, the experiment was conducted to ensure the scientific and objective nature of the questionnaire.
(3)
Questionnaire process and results. One questionnaire was filled out every time a video of the operation was played. The subjects sat in front of the computer, played the operation video, and filled in the answers on the paper questionnaire. In theory, 35 questionnaires were collected for each subject, and 805 questionnaires were collected for all subjects. However, considering that the subjects did not answer unfamiliar jobs and excluded random answers and missed answers, 510 questionnaires were collected in total. The questionnaire results are shown in Table 3.

3.3. Processing and Statistics of Data

Statistics were created on selecting views when evaluating samples correctly and incorrectly. The behavior evaluation situation is shown in Table 3 and Table 4.
In this experiment, the two selected types of work in the sitting posture are simple operation tasks, while the two selected types of work in the standing posture have the highest complexity, and those in the mixed posture have a complexity between that of the two previous postures. This may result in the highest rate of correct evaluation for the sitting posture, followed by the mixed posture, and the lowest rate of correct evaluation for the standing posture, as shown in Table 3. It can be seen that the expert subjects have the higher rate of correct evaluation, while the beginner subjects have the higher rate of incorrect evaluation in Table 4.
We used the single sample t-test method to test whether there was a significant difference in the questionnaire statistics between the observation stage and the analysis stage. After being tested, the significance values (p-values) of the two stages output were 0.000, which was lower than the significance values (0.05) we set. It can be seen that the questionnaire results are statistically significant, and can be used for this study.
Multi-view combinations are commonly used when evaluating samples. We calculated the weight ω of each selected view. The weight ω is taken as 1, 0.83, 0.67, 0.5, 0.33, 0.1, 7, and 0, respectively, from importance to unimportance.
Due to the inconsistency in the number of samples for each work type, we chose to use frequency as a normalized variable to count the usage of the view. In the questionnaire survey, we sorted the priority of the views used by the safety managers, and then we assigned the corresponding weights ω according to the rankings. For the work type i , we defined the correct use frequency of the view j when evaluating the behavior f c i j , and the wrong evaluation frequency of the incorrect use of view j during behavior f e i j :
f c i j = ω t s c i j δ c i
f e i j = ω t s e i j δ e i
Among them, i = {sitting posture, standing posture, mixed posture}, j = {front view, rear view, left view, right view, upper view, down view}; δ c i is the total number of samples correctly evaluated for work type i ; t s c i j is the number of times in which the view of j is used in δ c i ; δ e i is the total number of samples incorrectly evaluated for work type i ; t s e i j is the number of times that the view j is used in δ e i .

4. Results

4.1. Observation View Selection during Behavior Observation Stage

The purpose of this section is to understand the view selection and usage rules of safety managers when observing operation behaviors. The results can provide some suggestions for safety managers to better implement behavior evaluation in the behavior observation stage, and also contribute to the comparative study of the consistency of view selection rules in the behavior observation and behavior analysis stages.
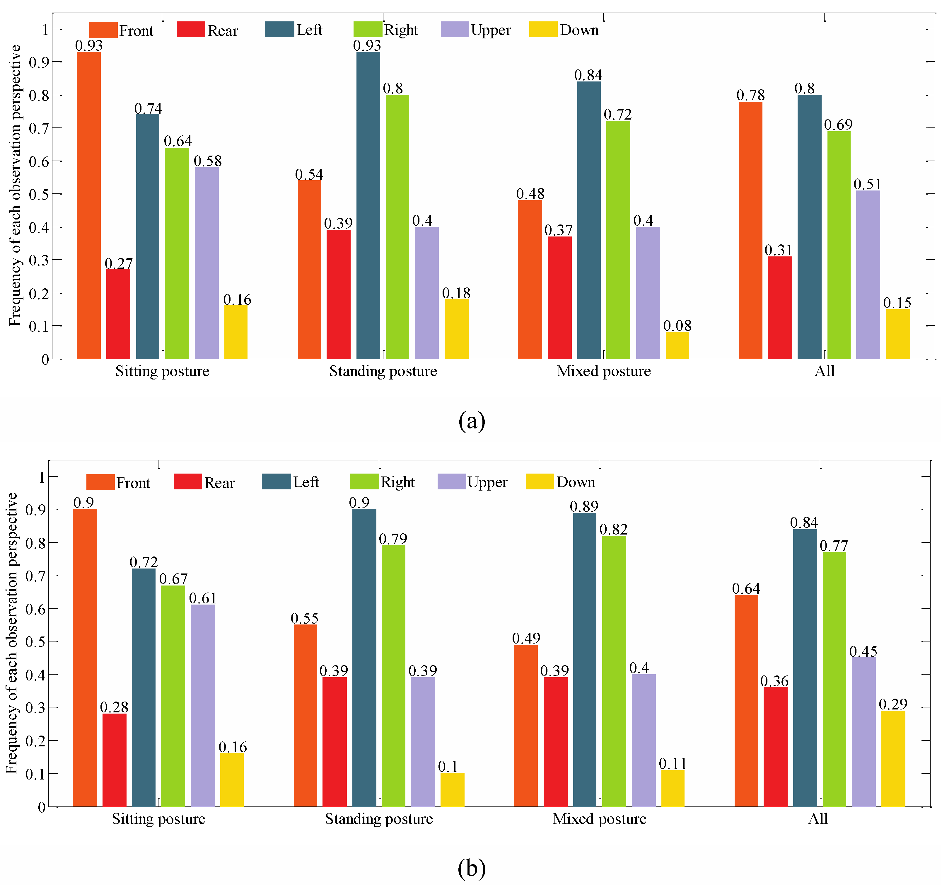
We considered not only the number of view selections but also the weight of the view combination order. According to Equations (1) and (2), the frequency of each observation view or perspective usage is counted in the correct and incorrect evaluation of the operation behaviors. The statistical results are shown in Figure 4, where the horizontal axis represents the type of work, the vertical axis represents the frequency of view selection used during observation behavior, and the different colored bar charts represent different views.
The experimental results indicate that for the correct evaluation of sitting posture operation behavior, safety managers used front, left, right, and upper views more frequently ( f c ≥ 0.58), while rear and down views were used less frequently ( f c ≤ 0.27). For standing posture, left, right, front, upper, and rear views were used more frequently ( f c ≥ 0.39), while the down view was used less frequently ( f c = 0.18). For mixed posture, left, right, front, upper, and rear views were used more frequently ( f c ≥ 0.37), while the down view was used less frequently ( f c = 0.08). Additionally, in the overall statistics for all work types, left, front, right, upper, and rear views were used more frequently ( f c ≥ 0.31), while the down view was used less frequently ( f c = 0.15).
For the incorrect evaluation of sitting posture operation behavior, safety managers used front, left, right, and upper views more frequently ( f c ≥ 0.61), while rear and down views were used less frequently ( f c ≤ 0.28). For standing posture, left, right, front, upper, and rear views were used more frequently ( f c ≥ 0.39), while the down view was used less frequently ( f c = 0.1). For mixed posture, left, right, front, upper, and rear views were used more frequently ( f c ≥ 0.39), while bottom views were used less frequently ( f c = 0.11). Additionally, in the overall statistics for all work types, left, right, front, upper, and rear views were used more frequently ( f c ≥ 0.36), while the use of the down view was also significant ( f c = 0.29).

4.2. Analysis View Selection during Behavior Analysis Stage

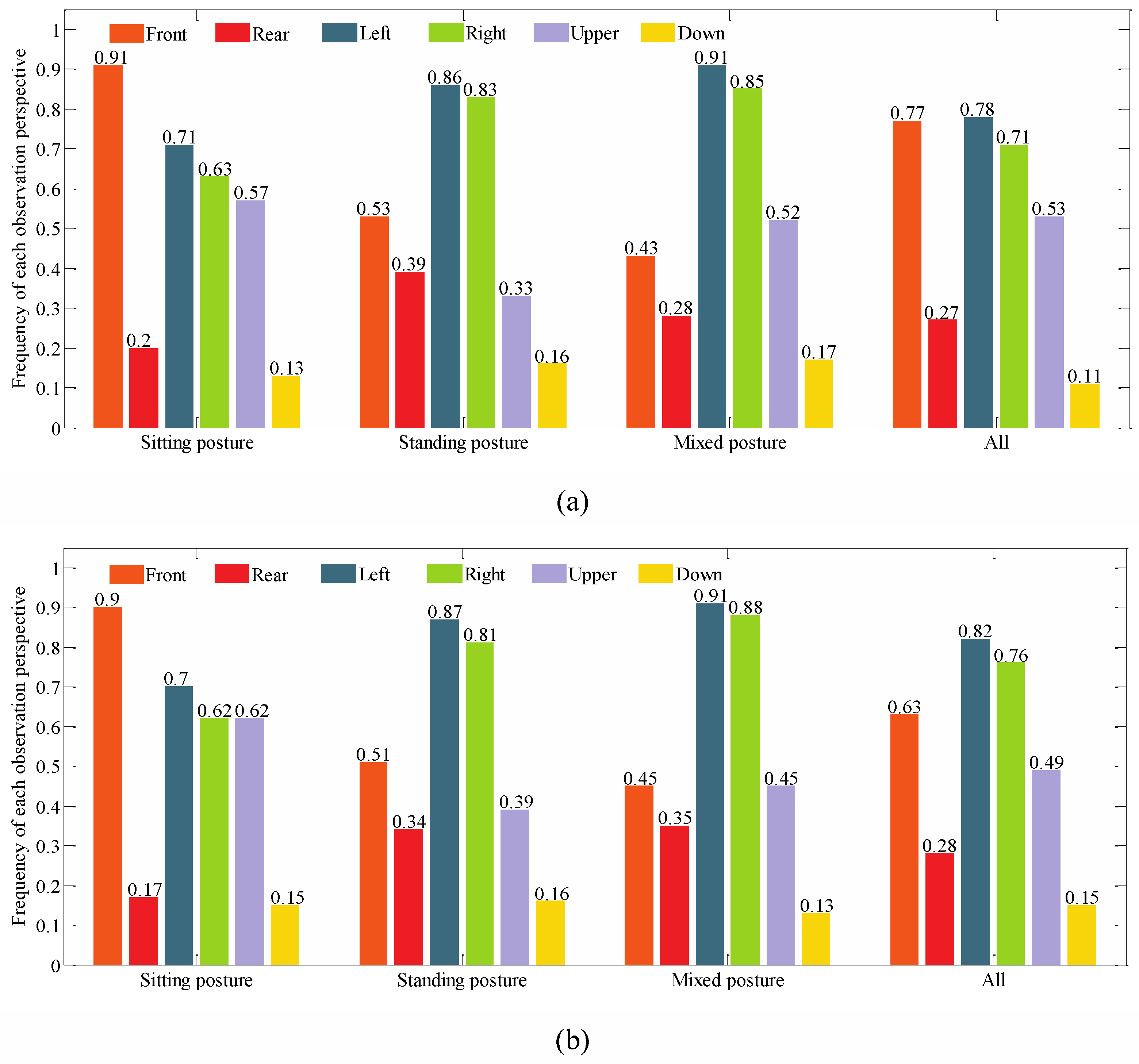
Research on the selection and combination of analysis views of safety managers when analyzing operation behaviors can provide some suggestions for safety managers to enhance their level of safety behavior evaluation, and provide some theoretical support for behavior evaluation models and algorithms. As in to Section 4.1, we calculated the frequency of each analysis view usage in the correct and incorrect behavior evaluations during the analysis stage, and the statistical results are shown in Figure 5.
The experimental results indicate that for the correct evaluation of sitting posture operation behavior, safety managers used front, left, right, and upper views more frequently ( f c ≥ 0.57), while rear and down views were used less frequently ( f c ≤ 0.2). For standing posture, left, right, front, rear, and upper views were used more frequently ( f c ≥ 0.33), while the down view was used less frequently ( f c = 0.16). For mixed posture, left, right, upper, front, and rear views were used more frequently ( f c ≥ 0.28), while the down view was used less frequently ( f c = 0.17). Additionally, in the overall statistics for all work types, left, front, right, upper, and rear views were used more frequently ( f c ≥ 0.27), while the down view was used less frequently ( f c = 0.11). It is worth noting that, during correct evaluations, only the view selection order for sitting posture remained unchanged between the observation and analysis stages.
For the incorrect evaluation of sitting posture operation behavior, safety managers used front, left, right, and upper views more frequently ( f c ≥ 0.62), while rear and down views were used less frequently ( c ≤ 0.17). For standing posture, left, right, front, upper, and rear views were used more frequently ( f c ≥ 0.34), while the down view was used less frequently ( f c = 0.16). For mixed posture, left, right, front, upper, and rear views were used more frequently ( f c ≥ 0.35), while the down view was used less frequently ( f c = 0.13). Additionally, in the overall statistics for all work types, left, front, right, upper, and rear views were used more frequently ( f c ≥ 0.28), while rear and down views were used less frequently ( f c ≤ 0.15).

5. Discussion

5.1. Influence of Prior Experience on View Selection

During the behavior observation stage, safety managers perform multi-perspective observation to collect information on the operation behavior of the observed workers, which is then roughly processed for behavior evaluation. The correctness of view selection during observation directly affects the richness, comprehensiveness, and focus of the collected information. Comparing Figure 4a,b, it can be seen that there is no significant difference in the observation view selection between correct and incorrect evaluations by safety managers, indicating that both expert and beginner safety managers showed no difference in view selection during observation. This suggests that prior experience did not influence the view selections of observation.
During the behavior analysis stage, safety managers filter and combine the roughly processed observation view information to perform detailed processing, such as behavior recognition and understanding, which forms the basis for behavior evaluation. Comparing Figure 5a,b, it can be observed that there are differences in the analysis view selection between correct and incorrect evaluations by safety managers.
According to Table 4, the correct evaluation rate of expert safety managers (47.84%) is four times that of beginner safety managers (11.57%), while the incorrect evaluation rate of beginner safety managers (34.51%) is approximately six times that of expert safety managers (6.08%). This indicates significant differences in the analysis view selection between expert and beginner safety managers, leading to substantial differences in evaluation performance. It suggests that prior experience influences the analysis view selections, especially in handling complex tasks such as standing and mixed postures, where prior experience plays a significant role.
The greatest difference between the two types of managers lies in their attitudes towards the upper view. Expert safety managers consider the upper view to be of average importance for sitting and standing tasks (ranked fourth), while it is more important for mixed postures (ranked third). However, the beginner safety managers with incorrect evaluations held the opposite opinion.
Therefore, we can conclude that prior experience does not influence the view selections during the observation stage for safety managers but does affect view selection during the analysis stage. Expert safety managers perform better in view selection during the analysis stage, especially for selecting views related to complex tasks, where their use of the upper view is more reasonable and scientific. These conclusions can be used for the training and selection of safety managers, enabling trained or selected safety managers to quickly and accurately use the appropriate view, thereby improving the evaluation accuracy.
However, our research still has the following limitations: the sample size of safety managers was not large enough, and experimental results were not statistically analyzed separately for experts and beginners. The potential impact of excluding experts who also had significant inaccuracies in behavior evaluation was not considered, which affects the strength of the above conclusions. Further validation is required in future studies. Additionally, the specific mechanisms by which prior experience influences behavior evaluation, especially view selection, need further exploration.

5.2. Influence of Work Posture on View Selection

Considering that the view selection rules during correct evaluations are more valuable for theoretical and practical studies, the analysis of the influence of work postures on view selection focuses primarily on the view selection during correct evaluations, with incorrect evaluations used for comparison.
During the correct evaluations, sitting posture primarily uses the front view, with left, right, and upper views as auxiliary, while rear and down views are used less. For standing posture, left and right views are the main views, with front, upper, and rear as auxiliary, while the down view is used less. For mixed posture, left and right views are the main views; front, rear, and upper views are auxiliary during the observation, while upper, front, and rear views are auxiliary during the analysis, while the down views is used less frequently. During the incorrect evaluations, regardless of the observation or analysis stage, the three types of work postures also follow the same rules. The commonality across all three work postures is that the down view is considered the least important.
It is evident that work posture significantly affects the selection and the order of combining views. We recommend that safety managers allocate their attention resources according to the importance of views as presented in the sequence for different work postures during behavior evaluation. This approach can help improve the accuracy of behavior evaluations. Particularly in situations with time constraints, where spending extensive time on collecting and analyzing multiple views is not feasible, safety managers should focus on the most important view based on the specific work posture. For behavior evaluation models or algorithms, we recommend assigning appropriate frequency weights to different views based on our findings on view frequency for different work postures when using multi-view or feature fusion. This can help enhance the accuracy of the models or algorithms.
The conclusions may be influenced by the sample size of work behaviors. We speculate that with an increased sample size, the weight proportion of the down view will continue to decrease, making its impact on behavior observation and analysis negligible, allowing it to be completely discarded. This would further reduce the amount of data collection and analysis required for manual or video surveillance. These conclusions suggest that work posture has a significant impact on the study of safety behavior evaluation theories and models, and future research should classify behavior theories and models based on different work posture categories.

5.3. View Selection Consistency during the Behavioral Observation and Analysis Stages

The consistency of view selection during the behavior observation and analysis stages is discussed from the perspectives of correct and incorrect evaluations.
During the correct evaluations, the view selection and combination order for sitting posture did not change between the observation and analysis stages. For standing posture, the view selection did not change, but the order did, specifically with the upper and rear views swapping positions between fourth and fifth. For mixed posture, the view selection remained the same, but the order changed, with the front and upper views swapping positions between third and fourth. For complex tasks like standing and mixed postures, the primary change was in the selection order of the upper view. Based on Table 4, it can be concluded that for simple tasks like sitting posture, expert safety managers maintain consistent view selection between the observation and analysis stages. However, for standing and mixed postures, experts change their view selection between these stages.
During the incorrect evaluations, the view selection and combination order for sitting, standing, and mixed postures remained unchanged between the observation and analysis stages. This suggests that beginner safety managers maintain consistent view selection during the both stages.
It is evident that experienced safety managers have consistent view selection in both the behavior observation and behavior analysis stages for simple tasks like sitting posture. However, for complex tasks such as standing and mixed postures, their view selection is not consistent and changes between stages. In contrast, beginner safety managers consistently use the same views throughout both stages.
Traditional research [8] suggests that for certain familiar objects or when slight movements do not significantly alter the perceived information, the primary view of human subjects is usually consistent and unchanged. We further found that while the primary view selection remains unchanged, the secondary view selection undergoes significant changes for complex tasks, which supplements the findings of traditional research.
This conclusion may be attributed to the extensive experience of expert safety managers, who adjust their view selection based on the complexity of the operation behavior. For simple tasks, the information gathered during observation is usually sufficient, and during analysis, safety managers primarily rely on prior knowledge and the already gathered information for behavior analysis and evaluation. For complex tasks, new weights or priorities are assigned to views during analysis, and attention resources are reallocated to perform behavior analysis and evaluation. To explain this conclusion, specifically the mechanism by which complex tasks affect view selection, or the relationship between view selection and task content, further research is needed.

5.4. Optimization Strategy for View Selection in Behavior Evaluation

Based on the above analysis, and focusing on the view selection during correct evaluation by professional safety managers in the analysis stage, we propose an optimized strategy for view selection in behavior evaluation, camera placement, or behavior recognition algorithm design:
(1)
For evaluating simple tasks like sitting posture, use the front view as the primary view, with left, right, and upper views as auxiliary views. For the most complex tasks like standing posture, use left and right views as the primary views, with front, rear, and upper views as auxiliary views. For mixed postures of medium complexity, use left and right views as the primary views, with upper, front, and rear views as auxiliary views. This view selection rule can achieve the best evaluation performance, but it is only applicable to specific work types and involves high application costs.
(2)
If work postures are not differentiated and a combined view method is adopted, the general optimization strategy for all work types is to use side and front views as the primary views. For auxiliary views, it is recommended to use the upper view cautiously in simple tasks, and to use it more frequently in complex tasks during the behavior analysis stage. The frequency of rear and down views is much lower compared to these views and can be ignored. This deployment can achieve a balance between the scope of the application, application cost, and high-performance evaluation.
The optical flow method experiment found that the front and rear views performed well in object posture discrimination [20]. This is because natural objects tend to have narrower and more symmetrical sidewalls in the front and rear, making these views beneficial for statistical learning. However, we found that side and front views generally provide better evaluation performance, while the rear view has little effect on evaluation performance. This may be because the side view can better complement the lack of information obtained from selecting the front view due to symmetry, or in other words, the side view can obtain the asymmetric information of objects, while information from the rear view can be inferred or imagined from the front and side views without needing to be specifically collected or analyzed.
(3)
If no combined views are used and only a single primary view is adopted, we suggest the following primary view strategy: for sitting posture, use the front view; for standing and mixed postures and when work types are not differentiated, use the left side view. This approach minimizes costs but has the lowest applicability and performance.
Studies using priming paradigm experiments have found that when people perform conscious tasks, such as object recognition, they often prefer three-quarter views [8], side views [17], or 45°/90° views (side views) [18]. For unsafe behavior detection, the left view [13,37] significantly influences recognition performance, yielding better results. Our conclusion when work types are not differentiated supports this view; however, we further support that the left view performs better for standing and mixed postures, while the front view performs better for sitting posture. We believe that this choice enhances evaluation performance. This conclusion aligns with findings regarding the effect of symmetry on view selection [12], which suggests that tourists often prefer to take representative views of symmetrical buildings from the front, while for asymmetrical buildings, they prefer to take side views. Symmetry or asymmetry plays an important role, and further research is needed in the future to explore this aspect in more detail.
Overall, our conclusions are deeper and more refined than theirs. We believe that the combination of side and front views yields better performance in evaluation. Our research also confirms the role of the upper view in complex tasks while negating the usefulness of the down view in various tasks. We want to emphasize again that the influence of symmetry on view selection provides a new perspective for our research. When work posture affects view selection and behavior evaluation, we can consider studying the impact of symmetry and asymmetry on safety behavior evaluation patterns to derive common principles and establish a general safety behavior evaluation theory.

6. Conclusions

To obtain view selection that is conducive to the safety evaluation of the operator’s behaviors, a combination of similarity simulation and questionnaire survey experiments were used to study the view selection rules of safety managers in the safety observation and analysis stages. The following conclusions were obtained:
(1) Prior experience affects view selection during the analysis stage. Experienced expert safety managers make more reasonable and scientific use of the upper view when handling complex tasks. (2) Work posture significantly affects the view selections and their combined order. (3) Experienced safety managers have consistent view selection during the behavior observation and analysis stages for simple tasks like sitting posture, whereas view selection is inconsistent and variable for complex tasks like standing and mixed postures. In contrast, beginner safety managers always maintain consistent and unchanged view selection. (4) To achieve the best evaluation performance, we recommend using the front view as the primary view and the left, right, and upper views as auxiliary views for sitting postures. For the most complex tasks like standing posture, the left and right views should be used as the primary views, with front, rear, and upper views as auxiliary views. For mixed postures of medium complexity, left and right views should be used as the primary views, with upper, front, and rear views as auxiliary views.
In the next step of our work, we will start from the perspective of symmetry to reveal the relationship between view selection and task content, and further explore the underlying reasons for differences in behavior safety evaluation capabilities between safety managers with different levels of experience.

Author Contributions

Conceptualization, G.L.; Methodology, X.T. and G.L.; Validation, X.T. and M.Z.; Formal analysis, X.T.; Investigation, X.T. and M.Z.; Resources, M.Z.; Data curation, X.T.; Writing—original draft, X.T. and G.L.; Writing—review & editing, G.L. and M.Z.; Visualization, X.T.; Supervision, G.L.; Project administration, M.Z.; Funding acquisition, G.L. All authors have read and agreed to the published version of the manuscript.

Funding

This work was supported by the National Social Science Fund of China (grant number 19BGL120).

Institutional Review Board Statement

Not applicable.

Informed Consent Statement

Not applicable.

Data Availability Statement

The data presented in this study are not publicly available due to their use in other research topics, but will be considered for the public in the future.

Acknowledgments

The authors would like to acknowledge all the participants in this study.

Conflicts of Interest

The authors declare no conflicts of interest.

References

  1. Gattamelata, D.; Fargnoli, M. Development of a new procedure for evaluating working postures: An application in a manufacturing company. Int. J. Environ. Res. Public Health 2022, 19, 15423. [Google Scholar] [CrossRef] [PubMed]
  2. Guo, H.; Yu, Y.; Skitmore, M. Visualization technology-based construction safety management: A review. Autom. Constr. 2017, 73, 135–144. [Google Scholar] [CrossRef]
  3. Liu, J.; Sridharan, S.; Fookes, C. Recent advances in camera planning for large area surveillance: A comprehensive review. ACM Comput. Surv. 2017, 49, 1–37. [Google Scholar] [CrossRef]
  4. Rudoy, D.; Zelnik-Manor, L. Viewpoint selection for human actions. Int. J. Comput. Vis. 2012, 97, 243–254. [Google Scholar] [CrossRef]
  5. Mittal, A.; Davis, L.S. A general method for sensor planning in multi-sensor systems: Extension to random occlusion. Int. J. Comput. Vis. 2008, 76, 31–52. [Google Scholar] [CrossRef]
  6. Denman, S.; Bialkowski, A.; Fookes, C.; Sridharan, S. Determining operational measures from multi-camera surveillance systems using soft biometrics. In Proceedings of the 8th IEEE International Conference on Advanced Video and Signal Based Surveillance (AVSS), Klagenfurt, Austria, 30–32 September 2011; pp. 462–467. [Google Scholar] [CrossRef]
  7. Chen, A.T.Y.; Biglari-Abhari, M.; Wang, K.I.K. Investigating fast re-identification for multi-camera indoor person tracking. Comput. Electr. Eng. 2019, 77, 273–288. [Google Scholar] [CrossRef]
  8. Vazquez, P.P. Automatic view selection through depth-based view stability analysis. Vis. Comput. 2009, 25, 441–449. [Google Scholar] [CrossRef]
  9. Ling, L.; Xu-Qun, Y. The mental representation on three-dimensional object recognition: Dependent or independent on the view. Acta Psychol. Sin. 2011, 43, 983–992. [Google Scholar] [CrossRef]
  10. Liu, J.; Sridharan, S.; Fookes, C.; Wark, T. Optimal camera planning under versatile user constraints in multi-camera image processing systems. IEEE Trans. Image Process. 2014, 23, 171–184. [Google Scholar] [CrossRef]
  11. Vázquez, P.; Feixas, M.; Sbert, M.; Heidrich, W. Automatic view selection using viewpoint entropy and its application to image-Based modelling. Comput. Graph. Forum 2003, 22, 689–700. [Google Scholar] [CrossRef]
  12. He, J.W. Research on Viewpoint Recommendation for Photographing Architectures and Facial Attractiveness Enhancement in Photo with Multi-View Constraint. Ph.D. Dissertation, Nanjing University, Nanjing, China, 2021. [Google Scholar] [CrossRef]
  13. Seo, J.; Lee, S. Automated postural ergonomic risk assessment using vision-based posture classification. Autom. Constr. 2021, 128, 103725. [Google Scholar] [CrossRef]
  14. Lodinger, N.R.; Delucia, P.R. Angle of camera view influences resumption lag in a visual-motor task. Hum. Factors 2018, 61, 0018720818794526. [Google Scholar] [CrossRef]
  15. Bateman, S.; Doucette, A.; Xiao, R.; Gutwin, C.; Mandryk, R.L.; Cockburn, A. Effects of view, input device, and track width on video game driving. Graph. Interface 2011, 2011, 207–214. [Google Scholar] [CrossRef]
  16. Dutagaci, H.; Cheung, C.P.; Godil, A. A benchmark for best view selection of 3D objects. In Proceedings of the ACM Workshop on 3D Object Retrieval, Firenze, Italy, 25 October 2010; pp. 45–50. [Google Scholar] [CrossRef]
  17. Busey, T.A.; Zaki, S.R. The contribution of symmetry and motion to the recognition of faces at novel orientations. Mem. Cogn. 2004, 32, 916–931. [Google Scholar] [CrossRef] [PubMed]
  18. Teramoto, W.; Riecke, B.E. Dynamic visual information facilitates object recognition from novel viewpoints. J. Vis. 2010, 10, 11. [Google Scholar] [CrossRef]
  19. Chen, P.; Fu, D.J. The viewpoint debates in object recognition. Adv. Psych. Sci. 2006, 6, 12–17. [Google Scholar] [CrossRef]
  20. Stewart, E.E.M.; Fleming, R.W.; Schütz, A.C. A simple optical flow model explains why certain object viewpoints are special. Proc. R. Soc. B 2024, 291, 20240577. [Google Scholar] [CrossRef]
  21. Akyildiz, I.F.; Melodia, T.; Chowdhury, K.R. A survey on wireless multimedia sensor networks. Comput. Net. 2007, 51, 921–960. [Google Scholar] [CrossRef]
  22. Newell, A.; Akkaya, K.; Yildiz, E. Providing multi-perspective event coverage in wireless multimedia sensor networks. In Proceedings of the IEEE Local Computer Network Conference, Denver, CO, USA, 10–14 October 2010; pp. 464–471. [Google Scholar] [CrossRef]
  23. Yildiz, E.; Akkaya, K.; Sisikoglu, E.; Sir, M.Y. Optimal camera placement for providing angular coverage in wireless video sensor networks. IEEE Trans. Comput. 2014, 63, 1812–1825. [Google Scholar] [CrossRef]
  24. Tsai, Y.; Wu, J.; Wang, Z.; Hu, Z. Horizontal roadway curvature computation algorithm using vision technology. Comput.-Aided Civ. Infrastruct. Eng. 2010, 25, 78–88. [Google Scholar] [CrossRef]
  25. Erdem, U.M.; Sclaroff, S. Automated camera layout to satisfy task-specific and floor plan-specific coverage requirements. Comput. Vis. Image Underst. 2006, 103, 156–169. [Google Scholar] [CrossRef]
  26. Zhang, Y.; Luo, H.; Skitmore, M.; Li, Q.; Zhong, B. Optimal camera placement for monitoring safety in metro station construction work. J. Constr. Eng. Manag. 2019, 145, 04018118. [Google Scholar] [CrossRef]
  27. Kwon, B.; Huh, J.; Lee, K.; Lee, S. Optimal camera point selection toward the most preferable view of 3-D human pose. IEEE Trans. Syst. Man Cybern. Syst. 2022, 52, 533–553. [Google Scholar] [CrossRef]
  28. Viola, I.; Feixas, M.; Sbert, M.; Gröller, M.E. Importance-driven focus of attention. IEEE Trans. Vis. Comput. Graph. 2006, 12, 933–940. [Google Scholar] [CrossRef]
  29. Ji, G.; Shen, H.W. Dynamic view selection for time-varying volumes. IEEE Trans. Vis. Comput. Graph. 2006, 12, 1109–1116. [Google Scholar] [CrossRef] [PubMed]
  30. Mühler, K.; Neugebauer, M.; Tietjen, C.; Preim, B. Viewpoint selection for intervention planning. In Proceedings of the EG/IEEE-VGTC Symposium on Visualization, Norrköping, Sweden, 23–25 May 2007; pp. 267–274. [Google Scholar] [CrossRef]
  31. Chen, Y.; Zhong, Q.; Li, B. Positive or negative viewpoint determines the overall scenic beauty of a scene: A landscape perception evaluation based on a panoramic view. Sustainability 2023, 15, 11458. [Google Scholar] [CrossRef]
  32. Ray, S.J.; Teizer, J. Real-time construction worker posture analysis for ergonomics training. Adv. Eng. Inform. 2012, 26, 439–455. [Google Scholar] [CrossRef]
  33. Yonetsuji, T.; Takebe, Y.; Kanai-Pak, M.; Maeda, J.; Kitajima, M.H.Y.; Nakamura, M.; Aida, K.; Takabatake, Y.; Kuwahara, N.; Ota, J. A measurement and evaluation method of a support system to teach how to improve transferring patients. In Proceedings of the 2011 IEEE International Conference on Robotics and Biomimetics, Karon Beach, Thailand, 7–11 December 2011; pp. 908–913. [Google Scholar] [CrossRef]
  34. Han, J.; De With, P.H.N.; Merien, A.; Oei, G. Intelligent trainee behavior assessment system for medical training employing video analysis. Pattern Recognit. Lett. 2012, 33, 453–461. [Google Scholar] [CrossRef]
  35. Chan, J.C.P.; Leung, H.; Tang, J.K.T.; Komura, T. A virtual reality dance training system using motion capture technology. IEEE Trans. Learn. Technol. 2011, 4, 187–195. [Google Scholar] [CrossRef]
  36. Ferri, S.; Pauwels, K.; Rizzolatti, G.; Orban, G.A. Stereoscopically observing manipulative actions. Cereb. Cortex 2016, 26, 3591–3610. [Google Scholar] [CrossRef]
  37. Ding, L.; Fang, W.; Luo, H.; Love, P.E.D.; Zhong, B.; Ouyang, X. A deep hybrid learning model to detect unsafe behavior: Integrating convolution neural networks and long short-term memory. Autom. Constr. 2018, 86, 118–124. [Google Scholar] [CrossRef]
  38. GB 6441-1986; Classification Standard for Casualty Accidents of Enterprise Staff and Workers. National Standardization Administration: Beijing, China, 1986.
Figure 1. Operation scene of various types of work. (a) Sitting posture; from top to bottom are woodworkers and video surveillance administrators. (b) Standing posture; from top to bottom are electricians and rock cutters. (c) Mixed posture; from top to bottom are drilling sampling workers and material performance inspectors.
Figure 1. Operation scene of various types of work. (a) Sitting posture; from top to bottom are woodworkers and video surveillance administrators. (b) Standing posture; from top to bottom are electricians and rock cutters. (c) Mixed posture; from top to bottom are drilling sampling workers and material performance inspectors.
Sustainability 16 08829 g001
Figure 2. Multi-view and synchronized operation behavior videos of a woodworker.
Figure 2. Multi-view and synchronized operation behavior videos of a woodworker.
Sustainability 16 08829 g002
Figure 3. Questionnaire design.
Figure 3. Questionnaire design.
Sustainability 16 08829 g003
Figure 4. Frequency of view usage when safety managers observe behavior under different types of work. (a) Correct evaluation. (b) Incorrect evaluation.
Figure 4. Frequency of view usage when safety managers observe behavior under different types of work. (a) Correct evaluation. (b) Incorrect evaluation.
Sustainability 16 08829 g004
Figure 5. Frequency of view usage when safety managers analyze behavior under different types of work. (a) Correct evaluation. (b) Incorrect evaluation.
Figure 5. Frequency of view usage when safety managers analyze behavior under different types of work. (a) Correct evaluation. (b) Incorrect evaluation.
Sustainability 16 08829 g005
Table 1. Operating behaviors and unsafe behaviors of various types of work.
Table 1. Operating behaviors and unsafe behaviors of various types of work.
Type of WorkOperation BehaviorUnsafe Behavior
Sitting postureWoodworkerSanding machineSanding wood blockUse the sanding machine with one hand (7.01)Use the sanding machine more frequently (7.01)
Claw hammerNailingIncorrect holding posture (7.01)
Video surveillance administratorVideo surveillance equipmentMonitoring operation sitePlay with the smartphone (7.11)Talk and laugh randomly (7.11)
Standing postureElectricianMotor and automatic control deviceWiring the motorRandom wiring (7.01)Operation error (7.01)
Rock cutterCutting MachineCutting rock specimensTurn the handles at will, or before stopping the machine (7.01) Unstable speed (7.01)Unsafe dress (7.13)
Mixed postureDrilling sampling workerDrilling machineRock samplingRandomly push buttons (7.01)Put hands on the machine while running (7.08)Unsafe dress (7.13)
Material performance inspectorHydraulic universal material testing machineTesting the tensile properties of the specimenRandomly push buttons (7.01)The machine is running too close to it (7.01)No attention to human–machine interface (7.01)
Table 2. Classification statistics of behavior videos of various types of work.
Table 2. Classification statistics of behavior videos of various types of work.
Behavior TypeSitting PostureStanding PostureMixed PostureTotal
WoodworkerVideo Surveillance AdministratorElectricianRock CutterDrilling Sampling WorkerMaterial Performance Inspector
Safe behavior53321216
Unsafe behavior52234319
Total105555535
Table 3. The number of questionnaires collected and the correct evaluation situation.
Table 3. The number of questionnaires collected and the correct evaluation situation.
Operation TypesSitting PostureStanding PostureMixed PostureTotal
WoodworkersVideo Surveillance AdministratorsElectricianRock CutterDrilling Sampling WorkersMaterial Performance Inspector
Number of video samples1858080604560510
Rate of correct evaluation72.45%44.29%46.67%59.41%
Table 4. Behavior evaluation situation.
Table 4. Behavior evaluation situation.
Type of SubjectNumber of Correct EvaluationRate of Correct EvaluationNumber of Incorrect EvaluationRate of Incorrect Evaluation
Expert manager24447.84%316.08%
Beginner manager5911.57%17634.51%
Disclaimer/Publisher’s Note: The statements, opinions and data contained in all publications are solely those of the individual author(s) and contributor(s) and not of MDPI and/or the editor(s). MDPI and/or the editor(s) disclaim responsibility for any injury to people or property resulting from any ideas, methods, instructions or products referred to in the content.

Share and Cite

MDPI and ACS Style

Tian, X.; Li, G.; Zhu, M. View Selection of Safety Managers Affects Their Ability to Evaluate Safety Level of Workers. Sustainability 2024, 16, 8829. https://doi.org/10.3390/su16208829

AMA Style

Tian X, Li G, Zhu M. View Selection of Safety Managers Affects Their Ability to Evaluate Safety Level of Workers. Sustainability. 2024; 16(20):8829. https://doi.org/10.3390/su16208829

Chicago/Turabian Style

Tian, Xianlun, Guohui Li, and Ming Zhu. 2024. "View Selection of Safety Managers Affects Their Ability to Evaluate Safety Level of Workers" Sustainability 16, no. 20: 8829. https://doi.org/10.3390/su16208829

APA Style

Tian, X., Li, G., & Zhu, M. (2024). View Selection of Safety Managers Affects Their Ability to Evaluate Safety Level of Workers. Sustainability, 16(20), 8829. https://doi.org/10.3390/su16208829

Note that from the first issue of 2016, this journal uses article numbers instead of page numbers. See further details here.

Article Metrics

Back to TopTop