South Africa’s Energy Landscape Amidst the Crisis: Unpacking Energy Sources and Drivers with 2022 South African Census Data
Abstract
1. Introduction
2. Literature Review
2.1. Theoretical Background
2.2. Overview of Energy Sources in South Africa
2.3. The Significance of Energy to Economic Growth and Households
2.4. Government Policy towards Renewable Energy Mix in South Africa
2.5. Socio-Economic Factors Affecting Residential Energy Choices in South Africa
3. Study Area, Data, and Methods
3.1. Study Area and Data
3.2. Methods
4. Findings
4.1. Descriptives Analysis
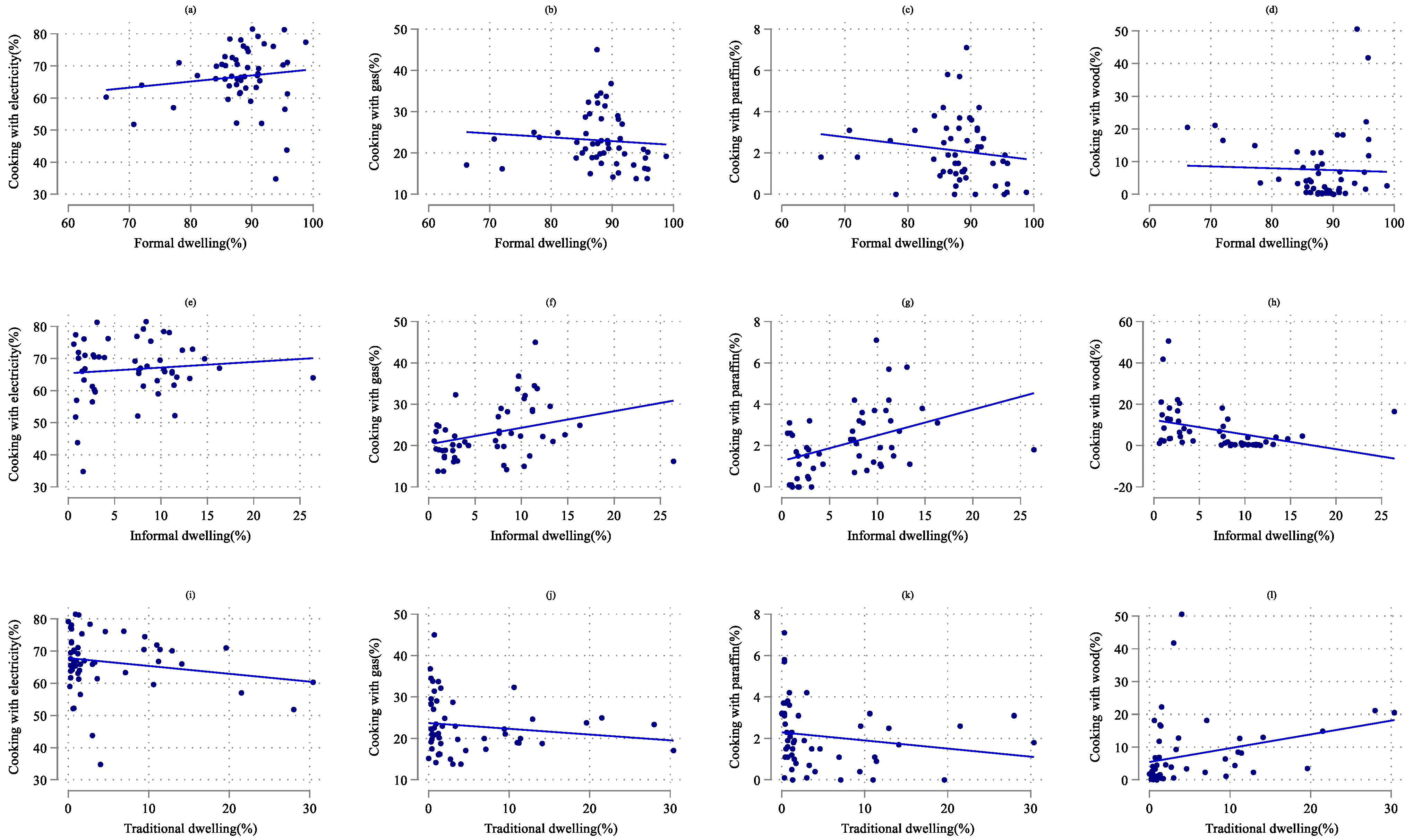
4.2. Scatter Plots
4.3. Empirical Results
4.3.1. Energy Use for Cooking
4.3.2. Energy Use for Lighting
5. Discussion
6. Conclusions
Author Contributions
Funding
Institutional Review Board Statement
Informed Consent Statement
Data Availability Statement
Conflicts of Interest
References
- Folorunso, O.; Olukanmi, P.O.; Shongwe, T. Progress towards sustainable energy storage: A concise review. Eng. Rep. 2023, 5, e12731. [Google Scholar] [CrossRef]
- Ritchie, H.; Roser, M.; Rosado, P. Energy. Our World in Data. 2022. Available online: https://ourworldindata.org/energy (accessed on 10 December 2023).
- International Energy Agency, Energy Atlas. Available online: http://energyatlas.iea.org/tellmap/2020991907 (accessed on 10 June 2020).
- Jain, S.; Jain, P. The rise of renewable energy implementation in South Africa. Energy Procedia 2017, 143, 721–726. [Google Scholar] [CrossRef]
- CSIR (Council for Scientific and Industrial Research). Statistics of Utility-Scale Power Generation in South Africa. 2023. Available online: https://www.csir.co.za/sites/default/files/Documents/Statistics%20of%20power%20in%20SA%202022-CSIR-%5BFINAL%5D.pdf (accessed on 16 November 2023).
- Sardokie, S.A.; Adams, S. Electricity access and income inequality in South Africa: Evidence from Bayesian and NARDL analyses. Energy Strategy Rev. 2020, 29, 100480. [Google Scholar]
- Oyuke, P.H.; Penar, B.; Howard, B. Off-grid Or ‘off-On’: Lack of Access, Unreliable Electricity Supply Still Plague Majority of Africans. Afrobarometer Round 6 2016, 75, 1–26. [Google Scholar]
- U.S. Agency for International Development. Remarks by President Obama, June 2013. Available online: https://www.usaid.gov/powerafrica (accessed on 16 November 2023).
- United Nations, Sustainable Development Goals. Available online: https://sustainabledevelopment.un.org/index.php?page=view&type=400&nr=1579&menu=1300 (accessed on 16 November 2023).
- Nerini, F.F.; Tomei, J.; To, L.S.; Bisaga, I.; Parikh, P.; Black, M.; Borrion, A.; Spataru, C.; Castán Broto, V.; Anandarajah, G.; et al. Mapping synergies and trade-offs between energy and the Sustainable Development Goals. Nat. Energy 2018, 3, 10–15. [Google Scholar] [CrossRef]
- Agénor, P.R.; Moreno-Dodson, B. Public Infrastructure and Growth: New Channels and Policy Implications; World Bank Publications: Washington, DC, USA, 2006; Volume 4064. [Google Scholar]
- Brenneman, A.; Kerf, M. Infrastructure & Poverty Linkages. A Literature Review; The World Bank: Washington, DC, USA, 2002. [Google Scholar]
- Banerjee, R.; Mishra, V.; Maruta, A.A. Energy poverty, health and education outcomes: Evidence from the developing countries. Energy Econ. 2021, 101, 105447. [Google Scholar] [CrossRef]
- Bohlmann, J.A.; Inglesia-Lotz, R. Analysing the South African residential sector’s energy profile. Renew. Sustain. Energy Rev. 2018, 96, 240–252. [Google Scholar] [CrossRef]
- Blignaut, J.N.; De Wet, T. Some recommendations towards reducing electricity consumption in the South African manufacturing sector. S. Afr. J. Econ. Manag. Sci. 2001, 4, 359–379. [Google Scholar] [CrossRef]
- Ziramba, E. The demand for residential electricity in South Africa. Energy Policy 2008, 36, 3460–3466. [Google Scholar] [CrossRef]
- Inglesi, R. Aggregate electricity demand in South Africa: Conditional forecasts to 2030. Appl Energy 2009, 87, 197–204. [Google Scholar] [CrossRef]
- Inglesi-Lotz, R.; Blignaut, J.N. South Africa’s electricity consumption: A sectoral decomposition analysis. Appl. Energy 2011, 88, 4779–4784. [Google Scholar] [CrossRef]
- Inglesi, R.; Pouris, A. Forecasting electricity demand in south Africa: A critique of Eskom’s projections. S. Afr. J. Sci. 2010, 106, 50–53. [Google Scholar] [CrossRef]
- Inglesi-Lotz, R. The evolution of price elasticity of electricity demand in South Africa: A Kalman filter application. Energy Policy 2011, 39, 3690–3696. [Google Scholar] [CrossRef]
- Makonese, T.; Masekameni, D.M.; Annegarn, H.J. Energy use scenarios in an informal urban settlement in Johannesburg, South Africa. In Proceedings of the 2016 International Conference on the Domestic Use of Energy (DUE), Cape Town, South Africa, 30–31 March 2016; pp. 1–6. [Google Scholar]
- StatsSA (Statistics South Africa). 2022 Census; Statistics South Africa: Pretoria, South Africa, 2022. [Google Scholar]
- Sehjpal, R.; Ramji, A.; Soni, A.; Kumar, A. Going beyond incomes: Dimensions of cooking energy transitions in rural India. Energy 2014, 68, 470–477. [Google Scholar] [CrossRef]
- Rahut, D.B.; Das, S.; De Groote, H.; Behera, B. Determinants of household energy use in Bhutan. Energy 2014, 69, 661–672. [Google Scholar] [CrossRef]
- Acharya, B.; Marhold, K. Determinants of household energy use and fuel switching behavior in Nepal. Energy 2019, 169, 1132–1138. [Google Scholar] [CrossRef]
- Malakar, Y. Studying household decision-making context and cooking fuel transition in rural India. Energy Sustain. Dev. 2018, 43, 68–74. [Google Scholar] [CrossRef]
- Zou, B.; Luo, B. Rural household energy consumption characteristics and determinants in China. Energy 2019, 182, 814–823. [Google Scholar] [CrossRef]
- Mothala, M.; Thamae, R.; Mpholo, M. Determinants of household energy fuel choice in Lesotho. J. Energy S. Afr. 2022, 33, 24–34. [Google Scholar] [CrossRef]
- Uhunamure, S.E.; Nethengwe, N.S.; Musyoki, A. Driving forces for fuelwood use in households in the Thulamela Municipality, South Africa. J. Energy S. Afr. 2017, 28, 25. [Google Scholar] [CrossRef]
- Guta, D.D. Determinants of household adoption of solar energy technology in rural Ethiopia. J. Clean. Prod. 2018, 204, 193–204. [Google Scholar] [CrossRef]
- Nlom, J.; Karimov, A. Modelling fuel choice among households in Northern Cameroon. Sustainability 2015, 7, 9989–9999. [Google Scholar] [CrossRef]
- van der Kroon, B.; Brouwer, R.; van Beukering, P.J.H. The energy ladder: Theoretical myth or empirical truth? Results from a meta-analysis. Renew. Sustain. Energy Rev. 2013, 20, 504–513. [Google Scholar] [CrossRef]
- Rajmohan, K.; Weerahewa, J. Household energy consumption patterns in Sri Lanka. Sri Lankan J. Agric. Econ. 2007, 9, 55–77. [Google Scholar] [CrossRef]
- Hosier, R.H.; Dowd, J. Household fuel choice in Zimbabwe: An empirical test of the energy ladder hypothesis. Resour. Energy 1987, 9, 347–361. [Google Scholar] [CrossRef]
- Heltberg, R. Fuel switching: Evidence from eight developing countries. Energy Econ. 2004, 26, 869–887. [Google Scholar] [CrossRef]
- Leach, G. The energy transition. Energy Policy 1992, 20, 116–123. [Google Scholar] [CrossRef]
- Sathaye, J.; Tyler, S. Transitions in household energy use in urban China, India, the Philippines, Thailand, and Hong Kong. Annu. Rev. Energy Environ. 1991, 16, 295–335. [Google Scholar] [CrossRef]
- Smith, K.R.; Apte, M.G.; Yuqing, M.; Wongsekiarttirat, W.; Kulkarni, A. Air pollution and the energy ladder in Asian cities. Energy 1994, 19, 587–600. [Google Scholar] [CrossRef]
- Reddy, A.K.N.; Reddy, B.S. Substitution of energy carriers for cooking in Bangalore. Energy 1994, 19, 561–571. [Google Scholar] [CrossRef]
- Akpalu, W.; Dasmani, I.; Aglobitse, P.B. Demand for cooking fuels in a developing country: To what extent do taste and preferences matter? Energy Policy 2011, 39, 6525–6531. [Google Scholar] [CrossRef]
- Masera, O.R.; Saatkamp, B.D.; Kammen, D.M. From linear fuel switching to multiple cooking strategies: A critique and alternative to the energy ladder model. World Dev. 2000, 28, 2083–2103. [Google Scholar] [CrossRef]
- Akinbami, O.M.; Oke, S.R.; Bodunrin, M.O. The state of renewable energy development in South Africa: An overview. Alex. Eng. J. 2021, 60, 5077–5093. [Google Scholar] [CrossRef]
- Bekun, F.V.; Emir, F.; Sarkodie, S.A. Another look at the relationship between energy consumption, carbon dioxide emissions, and economic growth in South Africa. Sci. Total Environ. 2019, 655, 759–765. [Google Scholar] [CrossRef] [PubMed]
- Cohen, G.; Jalles, J.T.; Loungani, P.; Marto, R. The long-run decoupling of emissions and output: Evidence from the largest emitters. Energy Policy 2018, 118, 58–68. [Google Scholar] [CrossRef]
- Pollet, G.B.; Stafell, I.; Adamson, K. Current energy landscape in the Republic of South Africa. Int. J. Hydrog. Energy 2015, 40, 16685–16701. [Google Scholar] [CrossRef]
- Greenpeace. How Eskom & the Government Can Put an End to Loadshedding in South Africa. 2023. Available online: https://www.greenpeace.org/africa/en/blogs/53187/how-the-government-eskom-can-put-an-end-to-load-shedding/ (accessed on 16 November 2023).
- Department of Energy. National Energy Policy; Department of Energy: Pretoria, South Africa, 2018. [Google Scholar]
- StatsSA (Statistics South Africa). General Household Survey Report (P0318). 2021. Available online: https://www.statssa.gov.za/publications/P0318/P03182021.pdf (accessed on 16 November 2023).
- StatsSA (Statistics South Africa). General Household Survey. 2021. Available online: https://catalog.ihsn.org/catalog/11251 (accessed on 16 November 2023).
- Eberhard, A.; Kolker, J.; Leigland, J. South Africa’s Renewable Energy IPP Procurement Program: Success Factors and Lessons. 2014. Available online: https://www.gsb.uct.ac.za/files/PPIAFReport.pdf (accessed on 16 November 2023).
- Samuel, S.A.; Adams, S. Electricity access, human development index, governance and income inequality in Sub-Saharan Africa. Energy Rep. 2020, 6, 455–466. [Google Scholar]
- Shahbaz, M.; Khan, S.; Tahir, M.I. The dynamic links between energy consumption, multivariate framework analysis. Energy Econ. 2013, 40, 8–21. [Google Scholar] [CrossRef]
- Adams, S.; Klobodu, E.K.M.; Opoku, E.E.O. Energy consumption, political regime and economic growth in sub-Saharan Africa. Energy Policy 2016, 96, 36–44. [Google Scholar] [CrossRef]
- Bonan, J.; Pareglio, S.; Tavoni, M. Access to modern energy: A review of barriers, drivers and impacts. Environ. Dev. Econ. 2017, 22, 491–516. [Google Scholar] [CrossRef]
- The World Bank. The Sustainable Development Agenda and The World Bank Group: Closing He SDGs Financing Gap; World Bank Group: Washington, DC, USA, 2017; Available online: https://thedocs.worldbank.org/en/doc/259801562965232326-0270022019/original/2030Agenda2019finalweb.pdf (accessed on 16 November 2023).
- Sovacool, B.K. (Ed.) Energy, Poverty and Development; Routledge: London, UK, 2014. [Google Scholar]
- Dinkelman, T. The effects of rural electrification on employment: New evidence from South Africa. Am. Econ. Rev. 2011, 101, 3078–3108. [Google Scholar] [CrossRef]
- Bensch, G.; Gotz, G.; Ankel-Peters, J. Effects of Rural Electrification on Employment: A Comment on Dinkelman (2011). 2020. Available online: https://www.econstor.eu/bitstream/10419/214184/1/1690488735.pdf (accessed on 16 November 2023).
- Trotter, P.A. Rural electrification, electrification inequality and democratic institutions in sub-Saharan Africa. Energy Sustain. Dev. 2016, 34, 111–129. [Google Scholar] [CrossRef]
- Calderon, C.A.; Servén, L. The Effects of Infrastructure Development on Growth and Income Distribution. 2004. Available online: https://elibrary.worldbank.org/doi/abs/10.1596/1813-9450-3400 (accessed on 16 November 2023).
- Fan, S.; Zhang, L.; Zhang, X. Growth, Inequality, and Poverty in Rural China: The Role of Public Investments; International Food Policy Research Institute: Washington, DC, USA, 2002; Volume 125. [Google Scholar]
- Rao, N.D.; Pachauri, S. Energy access and living standards: Some observations on recent trends. Environ. Res. Lett. 2017, 12, 025011. [Google Scholar] [CrossRef]
- Kooijman-van Dijk, A.L.; Clancy, J. Impacts of electricity access to rural enterprises in Bolivia, 1389 Tanzania and Vietnam. Energy Sustain. Dev. 2010, 14, 14–21. [Google Scholar] [CrossRef]
- Kanagawa, M.; Nakata, T. Assessment of access to electricity and the socioeconomic impacts in rural areas of developing countries. Energy Pol. 2008, 36, 2016–2029. [Google Scholar] [CrossRef]
- Khandker, S.R.; Barnes, D.F.; Samad, H.A. Welfare impacts of rural electrification: A panel data analysis from Vietnam. Econ. Dev. Cult. Chang. 2013, 61, 659–692. [Google Scholar] [CrossRef]
- Andersen, T.B.; Dalgaard, C.J. Power outages and economic growth in Africa. Energy Econ. 2013, 38, 19–23. [Google Scholar] [CrossRef]
- SAPOA (South African Property Owners Association). The Impact of Load Shedding on the Commercial Real Estate Industry. Available online: https://propertywheel.co.za/2023/03/sapoa-survey-the-impact-of-load-shedding-on-the-commercial-real-estate-industry/ (accessed on 27 May 2023).
- Maji, I.J.; Sulaiman, C.; Abdul-Rahim, A.S. Renewable energy consumption and economic growth nexus: A fresh evidence from West Africa. Energy Rep. 2019, 5, 384–392. [Google Scholar] [CrossRef]
- Balmer, M. Energy poverty and cooking energy requirements: The forgotten issue in South African energy policy? J. Energy S. Afr. 2007, 18, 4–9. [Google Scholar] [CrossRef]
- Thom, C. Use of grid electricity by rural households in South Africa. Energy Sustain. Dev. 2000, 4, 36–43. [Google Scholar] [CrossRef]
- Barnes, D.F.; Toman, M.A. Energy, equity and economic development. In Economic Development and Environmental Sustainability: New Policy Options; Oxford Scholarship Online: Oxford, UK, 2006; pp. 245–272. [Google Scholar] [CrossRef]
- Sugrue, A. Energy for Sustainable Development, Presentation to the Parliamentary Portfolio Committee for Minerals and Energy. 9 March 2005. Available online: https://pmg.org.za/docs/2005/050309summary.doc (accessed on 11 November 2023).
- Lloyd, P. April. The energy profile of a low-income urban community. In Twenty-Second Domestic Use of Energy; IEEE: Piscataway Township, NJ, USA, 2014; pp. 1–6. [Google Scholar]
- Sustainable Energy Agency. State of Energy Report for Cape Town; SEA: Cape Town, South Africa, 2003. [Google Scholar]
- Davis, M. Rural household energy consumption: The effects of access to electricity—Evidence from South Africa. Energy Policy 1998, 26, 207–217. [Google Scholar] [CrossRef]
- Madubansi, M.; Shackleton, C.M. Changing energy profiles and consumption patterns following electrification in five rural villages, South Africa. Energy Policy 2006, 34, 4081–4092. [Google Scholar] [CrossRef]
- Annecke, W. An In-Depth Investigation of Fuel Use by Urban Women; Final Report Number EO9117; Department of Mineral and Energy Affairs: Pretoria, South Africa, 1994. [Google Scholar]
- Ross, F. Assessment of the Impact of Fuel Use on Residents of an Informal Settlement; Final Report; National Energy Council: Pretoria, South Africa, 1993. [Google Scholar]
- Mehlwana, M.; Qase, N. The Contours of Domesticity, Energy Consumption and Poverty: The Social Determinants of Energy Use in Low-Income Urban Households; Department of Minerals and Energy: Pretoria, South Africa, 1999. [Google Scholar]
- Westley, G.D. Electricity demand in a developing country. Rev. Econ. Stat. 1984, 66, 459–467. [Google Scholar] [CrossRef]
- Ayesha, A. The Impact of Electricity Outrages on Household. Ph.D. Thesis, University of Toronto, Toronto, ON, Canada, 2016. [Google Scholar]
- Marquard, A. The Origins and Development of South African Energy Policy. 2006. Available online: https://open.uct.ac.za/handle/11427/4963 (accessed on 10 December 2023).
- Churchill, S.A.; Smyth, R. Ethnic diversity, energy poverty and the mediating role of trust: Evidence from household panel data for Australia. Energy Econ. 2020, 86, 104663. [Google Scholar] [CrossRef]
- Mensah, J.T.; Adu, G. An empirical analysis of household energy choice in Ghana. Renew. Sustain. Energy Rev. 2015, 51, 1402–1411. [Google Scholar] [CrossRef]
- RSA (Republic of South Africa). Municipal Structures Act 1998; Government Printer: Pretoria, South Africa, 1998. [Google Scholar]
- ETU (Education & Training Unit). Understanding Local Government. 2023. Available online: https://www.etu.org.za/toolbox/docs/localgov/webundrstdlocgov.html (accessed on 16 November 2023).
- Stata. 2023. Stata Statistical Software. Available online: https://www.stata.com/ (accessed on 16 November 2023).
- Esri. GIS Mapping Software, Location Intelligence & Spatial Analytics ArcMap Software 10.8.2 ESRI. 2023. Available online: https://www.esri.com/en-us/home (accessed on 9 October 2023).
- Gujarati, D.N. Basic Econometrics, 4th ed.; McGraw-Hill: New York, NY, USA, 2003. [Google Scholar]
- Kahouli, S. An economic approach to the study of the relationship between housing hazards and health: The case of residential fuel poverty in France. Energy Econ. 2020, 85, 104592. [Google Scholar] [CrossRef]
- Sarkodie, S.A.; Adom, P.K. Determinants of energy consumption in Kenya: A NIPALS approach. Energy 2018, 159, 696–705. [Google Scholar] [CrossRef]
- Özcan, K.M.; Gülay, E.; Üçdoğruk, Ş. Economic and demographic determinants of household energy use in Turkey. Energy Policy 2013, 60, 550–557. [Google Scholar] [CrossRef]
- Couture, S.; Garcia, S.; Reynaud, A. Household energy choices and fuelwood consumption: An econometric approach using French data. Energy Econ. 2012, 34, 1972–1981. [Google Scholar] [CrossRef]
- Behera, B.; Rahut, D.B.; Jeetendra, A.; Ali, A. Household collection and use of biomass energy sources in South Asia. Energy 2015, 85, 468–480. [Google Scholar] [CrossRef]
- Pueyo, A.; Maestre, M. Linking energy access, gender and poverty: A review of the literature on productive uses of energy. Energy Res. Soc. Sci. 2019, 53, 170–181. [Google Scholar] [CrossRef]
- Alfredsson, E.; Bengtsson, M.; Brown, H.S.; Isenhour, C.; Lorek, S.; Stevis, D.; Vergragt, P. Why achieving the Paris Agreement requires reduced overall consumption and production. Sustain. Sci. Pract. Policy 2018, 14, 1–5. [Google Scholar] [CrossRef]



| Variables | N | Mean | Std. Dev. | Min | Max |
|---|---|---|---|---|---|
| Dependent variables | |||||
| Cooking with electricity (%) | 52 | 66.629 | 9.156 | 34.8 | 81.5 |
| Cooking with gas (%) | 52 | 23.065 | 6.654 | 13.8 | 45 |
| Cooking with paraffin (%) | 52 | 2.108 | 1.572 | 0 | 7.1 |
| Cooking with wood (%) | 52 | 7.513 | 10.218 | 0 | 50.6 |
| Electricity for lighting (%) | 52 | 94.562 | 2.027 | 90.1 | 98.5 |
| Candles for lighting (%) | 52 | 3.242 | 1.592 | 0.7 | 8.1 |
| Solar for lighting (%) | 52 | 0.833 | 0.909 | 0 | 5 |
| Explanatory variables | |||||
| Formal dwelling (%) | 52 | 87.871 | 6.23 | 66.2 | 98.8 |
| Informal dwelling (%) | 52 | 6.9 | 5.227 | 0.6 | 26.4 |
| Traditional dwelling (%) | 52 | 4.854 | 7.104 | 0 | 30.4 |
| Level of higher education (%) | 52 | 9.775 | 3.713 | 5.1 | 22.2 |
| Household size | 52 | 3.815 | 0.703 | 2.6 | 5.7 |
| Dependency ratio | 52 | 53.49 | 9.357 | 36.8 | 73.7 |
| Variables | Electricity Model | Gas Model | Paraffin Model | Wood Model |
|---|---|---|---|---|
| Formal dwelling | 0.119 | −0.342 *** | −0.083 *** | 0.313 |
| (0.188) | (0.108) | (0.025) | (0.250) | |
| Highest level of education | −0.952 *** | 0.454 ** | 0.077 | 0.508 |
| (0.330) | (0.199) | (0.081) | (0.369) | |
| Household size | 5.431 *** | −4.722 *** | −1.288 *** | 0.490 |
| (1.992) | (1.503) | (0.267) | (1.731) | |
| Dependency ratio | −0.787 *** | −0.072 | 0.020 | 0.868 *** |
| (0.216) | (0.090) | (0.027) | (0.273) | |
| Constant | 86.885 *** | 70.501 *** | 12.528 *** | −73.247 ** |
| (27.360) | (14.596) | (4.063) | (34.122) | |
| Observations | 52 | 52 | 52 | 52 |
| R2 | 0.332 | 0.493 | 0.357 | 0.457 |
| Adj. R2 | 0.275 | 0.450 | 0.303 | 0.411 |
| Variables | Electricity Model | Gas Model | Paraffin Model | Wood Model |
|---|---|---|---|---|
| Informal dwelling | 0.132 | 0.110 | 0.087 *** | −0.340 |
| (0.191) | (0.097) | (0.031) | (0.245) | |
| Highest level of education | −0.991 *** | 0.514 ** | 0.085 | 0.478 |
| (0.327) | (0.225) | (0.078) | (0.342) | |
| Household size | 5.362 ** | −3.781 *** | −0.967 *** | −0.734 |
| (2.003) | (1.403) | (0.262) | (2.244) | |
| Dependent ratio | −0.791 *** | −0.009 | 0.041 | 0.787 *** |
| (0.188) | (0.114) | (0.027) | (0.242) | |
| Constant | 97.259 *** | 32.217 *** | 2.160 | −34.096 *** |
| (10.359) | (6.992) | (2.220) | (10.340) | |
| Observations | 52 | 52 | 52 | 52 |
| R2 | 0.331 | 0.411 | 0.335 | 0.451 |
| Adj. R2 | 0.274 | 0.361 | 0.278 | 0.405 |
| Variables | Electricity Model | Gas Model | Paraffin Model | Wood Model |
|---|---|---|---|---|
| Traditional dwelling | −0.222 | 0.279 *** | 0.023 | −0.080 |
| (0.134) | (0.102) | (0.028) | (0.168) | |
| Highest level of education | −0.951 *** | 0.492 ** | 0.091 | 0.453 |
| (0.308) | (0.201) | (0.085) | (0.349) | |
| Household size | 6.011 *** | −5.017 *** | −1.186 *** | 0.087 |
| (2.116) | (1.533) | (0.274) | (1.879) | |
| Dependent ratio | −0.749 *** | −0.090 | 0.027 | 0.841 *** |
| (0.210) | (0.103) | (0.032) | (0.286) | |
| Constant | 94.154 *** | 40.856 *** | 4.211 | −41.856 *** |
| (12.135) | (7.522) | (2.551) | (13.799) | |
| Observations | 52 | 52 | 52 | 52 |
| R2 | 0.345 | 0.462 | 0.270 | 0.428 |
| Adj. R2 | 0.290 | 0.416 | 0.208 | 0.379 |
| Variables | Electricity Model | Candles Model | Solar Model |
|---|---|---|---|
| Formal dwelling | 0.120 ** | −0.052 | −0.047 |
| (0.053) | (0.036) | (0.029) | |
| Highest level of education | 0.154 | −0.151 | −0.034 |
| (0.114) | (0.097) | (0.034) | |
| Household size | 0.596 | 0.101 | −0.555 ** |
| (0.675) | (0.556) | (0.243) | |
| Dependency ratio | −0.004 | −0.012 | 0.030 |
| (0.040) | (0.030) | (0.023) | |
| Constant | 80.396 *** | 9.524 ** | 5.767 ** |
| (5.864) | (4.299) | (2.495) | |
| Observations | 52 | 52 | 52 |
| R2 | 0.188 | 0.168 | 0.220 |
| Adj. R2 | 0.119 | 0.097 | 0.154 |
| Variables | Electricity Model | Candles Model | Solar Model |
|---|---|---|---|
| Informal dwelling | −0.150 *** | 0.103 *** | 0.045 |
| (0.041) | (0.032) | (0.039) | |
| Highest level of education | 0.145 | −0.151 | −0.029 |
| (0.123) | (0.096) | (0.040) | |
| Household size | 0.095 | 0.374 | −0.381 ** |
| (0.554) | (0.468) | (0.186) | |
| Dependency ratio | −0.037 | 0.006 | 0.042 |
| (0.051) | (0.035) | (0.030) | |
| Constant | 95.796 *** | 2.264 | 0.012 |
| (3.457) | (2.473) | (1.704) | |
| Observations | 52 | 52 | 52 |
| R2 | 0.196 | 0.229 | 0.188 |
| Adj. R2 | 0.127 | 0.163 | 0.119 |
| Variables | Electricity Model | Candles Model | Solar Model |
|---|---|---|---|
| Traditional dwelling | −0.015 | −0.021 | 0.015 |
| (0.057) | (0.032) | (0.032) | |
| Highest level of education | 0.131 | −0.138 | −0.027 |
| (0.130) | (0.104) | (0.037) | |
| Household size | 0.381 | 0.298 | −0.508 ** |
| (0.683) | (0.551) | (0.218) | |
| Dependency ratio | −0.018 | 0.001 | 0.034 |
| (0.049) | (0.035) | (0.028) | |
| Constant | 92.858 *** | 3.519 | 1.156 |
| (3.576) | (2.811) | (1.088) | |
| Observations | 52 | 52 | 52 |
| R2 | 0.071 | 0.138 | 0.140 |
| Adj. R2 | −0.008 | 0.065 | 0.067 |
Disclaimer/Publisher’s Note: The statements, opinions and data contained in all publications are solely those of the individual author(s) and contributor(s) and not of MDPI and/or the editor(s). MDPI and/or the editor(s) disclaim responsibility for any injury to people or property resulting from any ideas, methods, instructions or products referred to in the content. |
© 2024 by the authors. Licensee MDPI, Basel, Switzerland. This article is an open access article distributed under the terms and conditions of the Creative Commons Attribution (CC BY) license (https://creativecommons.org/licenses/by/4.0/).
Share and Cite
Cheruiyot, K.; Lengaram, E.; Siteleki, M. South Africa’s Energy Landscape Amidst the Crisis: Unpacking Energy Sources and Drivers with 2022 South African Census Data. Sustainability 2024, 16, 682. https://doi.org/10.3390/su16020682
Cheruiyot K, Lengaram E, Siteleki M. South Africa’s Energy Landscape Amidst the Crisis: Unpacking Energy Sources and Drivers with 2022 South African Census Data. Sustainability. 2024; 16(2):682. https://doi.org/10.3390/su16020682
Chicago/Turabian StyleCheruiyot, Koech, Ezekiel Lengaram, and Mncedisi Siteleki. 2024. "South Africa’s Energy Landscape Amidst the Crisis: Unpacking Energy Sources and Drivers with 2022 South African Census Data" Sustainability 16, no. 2: 682. https://doi.org/10.3390/su16020682
APA StyleCheruiyot, K., Lengaram, E., & Siteleki, M. (2024). South Africa’s Energy Landscape Amidst the Crisis: Unpacking Energy Sources and Drivers with 2022 South African Census Data. Sustainability, 16(2), 682. https://doi.org/10.3390/su16020682

