Abstract
Over the past three decades, a social dimension of sustainability has been established. Much like the environment, society also suffers from forms of pollution that pose a threat to community development. The phenomenon of information disorders, commonly referred to as fake news (FNs), represents an emblematic case of pollution of public discourse. This is particularly evident in the hybrid media ecosystem, where individuals construct their own information pathways in response to a process of deep mediatization. Considering this scenario, especially in the Italian context, research was conducted to investigate the impact of fake news on social sustainability. The survey was constructed around four research areas: sociodemographic factors, news consumption patterns, information disorders, and personal values. A non-probabilistic sample of the Italian population was drawn, totaling n = 399 individuals distributed throughout the country. The responses were analyzed using both single-variate and multivariate analyses. Specifically, a Social Sustainability Index (SSI) was synthesized from the analysis of sustainability indicators. This index revealed four levels of different behaviors concerning media use, political orientations, and especially, belief in fake news. Thus, a link seems to emerge between sustainability and the ability to inhabit the communication ecosystem properly.
1. Introduction
Despite the widespread use of digital technologies and the emergence of a hybrid media environment [1], communication and media do not always seem to have a relevant impact on the dynamics (decision-making, strategic, etc.) underlying sustainable development processes [2].
This can be attributed, on one hand, to a kind of hypermediation [3], whereby communication and media have become so ubiquitous that they are almost invisible. On the other hand, the evolution of communication processes, aided by increasingly powerful and widespread technologies, has led to the emergence of mediatization processes that are capable of producing reality [4], as opposed to merely reproducing it, as traditional mediation processes were oriented to do [5].
The combination of these changes has led to two paradoxical effects that complement each other. The first one is the redefinition of the very conception of media as environments [6], which has been theorized since the 1970s [7]. The second effect is the proliferation of forms of digital pollution [8] that originate from media environments, which also undermines logic and practices aimed at designing and implementing pathways of environmental, economic, and social sustainability [9].
Therefore, it seems essential to take note of the centrality now acquired, for better or worse, by media and communication at the social, technological, and cultural levels. As a result, it is crucial to adopt an ecological approach that considers both the environmental and the mediatized aspects of the media system itself and understands the various factors, systems, and processes that contribute to the interaction between sustainability and communication and media.
In this perspective, this article explores the interdependence between communication and sustainability, focusing on information disorders as a case study. Information disorders, as we will try to highlight in the following paragraphs, pose as a form of pollution capable of transcending the original communicative and medial dimension, becoming, on a general level, an effective threat to social, cultural, and also natural contexts. A more specific objective can be defined as the possibility of demonstrating how the proper use of media, while adhering to the principles of sociocultural sustainability, can help minimize the risks associated with informational, cognitive, and digital pollution. The following article discusses a research study that focuses on information disorder in the Italian hybrid media system. This study examines various factors that contribute to the activation of or reduction in these processes. Moreover, this analysis aims to understand the impact of these processes, considering the close relationship between social sustainability, communication, and media.
2. Social Sustainability, Media, and Communication: A Theoretical Framework
Among the various forms of communicative and media pollution, including digital pollution, those related to the field of information, often referred to as "fake news", could be considered one of the most complex and widespread, as well as a serious threat to sustainability itself [10].
The concept of fake news identifies a broad semantic range that includes a plurality of false but believable content produced for economic and/or ideological reasons and has the potential to go viral [11]. The production, dissemination, and consumption of such content are also part of this complex phenomenon [12]. Due to the increasing social and cultural impact of fake news, progressively, there have been numerous efforts to create a more precise, standardized, and commonly accepted definition [13], such as information disorder [14].
To better understand how information disorder poses a threat to sustainability, it is important to refer to a theoretical framework encompassing at least three levels of interpretation. The first level involves defining the concept of social sustainability itself. The second level, which starts by describing the general characteristics of our current media system, is based on a media ecology approach and, above all, on reinterpreting the hypothesis of media as environments. Finally, the third level, which overlaps the first two, analyzes information disorder as a form of communicative and media pollution that can affect social sustainability. By studying these levels, we aim to identify potential strategies to reduce the risk of information disorder and protect sustainability.
Policymakers, scholars, and experts have now recognized the importance of ensuring a shared development path in society and protecting ecosystems by fostering ethical management of resources. As a result, the social dimension of sustainability has been added along with the economic and environmental dimensions. Juliette Koning’s contribution [15] to this concept appears to be particularly considerable as she reconstructs it in light of the processes of globalization and urbanization that have taken place. She builds on the works of pivotal social science scholars such as Giddens, Beck, Putnam, Castells, and others and attempts to elaborate a multidimensional definition of the concept of social sustainability. This definition can be used both at theoretical and practical applicative levels. Sustainability is considered both as a specific goal, such as the achievement of a just and equitable society, and as an underlying process. This dual perspective enables the identification of social sustainability as a pathway to sustainable development and the definition of a set of indicators to operationalize and measure the achievement of its overall goal.
The theoretical and interpretive assumption is based on translating the three fundamental dimensions of sustainable development—environmental, economic, and social—into specific resources referred to as “capitals”. These capitals include environmental capital (nature, soil, water, air, and groundwater), economic capital (economic structure, labor, capital goods, knowledge, infrastructure, and minerals), and social and cultural capital (citizenship, health, education, solidarity, living conditions, cultural diversity, and consumption behavior). Although this approach has some limitations, such as not considering the impact of digital and communication technologies, it is still useful because it takes a systemic approach and provides a starting point for understanding the complexity of social sustainability. Looking at the 17 goals of the 2030 Agenda [16] formulated during the conferences held in Rio in 2012 and New York in 2015, it becomes clear that these goals aim to integrate the three dimensions of sustainable development. The goals, including “Quality Education”, “Gender Equality”, “Reducing Inequality”, “Peace, Justice, Strong Institutions”, “Strengthening the Means of Implementation”, and “Renewing the Global Partnership for Sustainable Development”, are all based on the understanding that social sustainability is a crucial aspect that cannot be ignored if the aim is to ensure environmental and economic development as well. The next step to consider is represented by the work of Eizenberg and Jabareen [17], which presents a new approach to interpreting social sustainability by proposing a new conceptual framework for its study. The authors emphasize the need for a systemic view that considers all three sustainability dimensions—social, economic, and environmental. They also note that the risks that threaten society globally—the (global) “risk society” [18,19]—can be attributed to three domains: spatial, temporal, and social. Spatial refers to the fact that the consequences of ongoing processes extend beyond the boundaries of nation-states, as seen in the case of climate change. Temporal means that events can have repercussions even after long periods of latency. Finally, social refers to the complex nature of events, making prediction of their actual consequences difficult. The concept of social sustainability encompasses social practices aimed at reducing these risks in various environments in which they materialize to promote sustainable development.
The achievement of social sustainability is closely linked to the active involvement of people and the promotion of inclusive social and cultural practices. To accomplish this, it is crucial to have a shared understanding of the goals that need to be achieved. Communication and media play a central role in this regard [20]. They are responsible for disseminating representations, themes, and values of sustainability as part of public opinion-building processes. At the same time, communication processes need to incorporate the fundamental criteria of sustainable development and redefine the set of mediatic processes to prevent and confront any form of media ecosystem pollution. This highlights the fundamental link between communication and social sustainability.
In this regard, it is important to consider the relationship between communication and media and their environmental characteristics. They should be viewed as ecosystems where communicative practices and flows develop [21]. At the same time, it is necessary to consider that media tools and environments tend to integrate, dialogue, and converge with one another, leading to a convergence of practices and cultures [22]. These complementary aspects have given rise to the current media system being described as “hybrid” [1], as different actors (individuals, institutions, associations, brands, etc.) interact using technological tools (platforms, algorithms, etc.) and cultural practices (uses, gratifications, etc.). This has resulted in individuals’ ability to make sense of the world becoming increasingly communicative and media-determined through the fusion of technology, culture, and society. This represents a disruptive shift from the logic of reproducing reality (mediation) to the logic of producing reality (mediatization), as described by Hepp [23] and Couldry and Hepp [24]. The evolution of media environments is closely linked to how we perceive reality, which can be influenced by the process of mediatization [25]. In other words, people experience the changes in contemporary society within the medial ecosystems constituted by the different devices whereby they interact [26]. The radicalization of this process (known as deep mediatization) itself constitutes a potential generative principle of reality based on datafication dynamics [27]. In such contexts, people develop their own media repertoires, which are more than just “[…] a sum of the media a person uses but the meaningful relation between them in everyday practice. Deep mediatization on this view is marked by user practices that move across a variety of media” [24] (p. 55).
Media are complex environments that involve different levels of communicative interaction among various actors, making it helpful to refer to the approach that has been explicitly oriented toward understanding their dynamic architecture, known as media ecology [7]. The idea of communication ecology should be traced back to the conception of media as environments rather than mere tools. In this sense, it involves evaluating media as a series of interconnected habitats [28] within which communicative practices and actions can occur, with social, cultural, and economic implications. Another critical element concerns the need to recognize the transversal modes of operation of media understood as environments, that is, the media logic [29] that, through an evolution over time, has led to the concretization of the mediatization processes previously described. Considering these overall changes and the increased transformative nature of media as environments amplifies the heuristic and interpretive scope of media ecology, which can be reinterpreted as an ecology of mediatization [6].
In this perspective, we believe it is essential to frame the relationship between sustainability and communication. Considering media as tools, they can be helpful to inform, promote, and raise awareness of sustainability issues and good practices related to sustainable development through mediation and mediatization logic. Considering media as environments, they can be seen as fragile ecosystems at risk of different forms of pollution [8,30] that, like natural environments, must be protected and cared for [31]. Phenomena such as post-truth [32], fake news, and information disorder can corrupt media as tools or pollute them as environments, turning them into potential obstacles or threats to sustainability and the processes that support it.
3. Methodology
Media, therefore, are environments at high risk of communicative pollution that impact the process of sustainable development in a determinate way. This essay aims to investigate the dynamics of this process regarding the dimension of social sustainability. This work is the output of a research project that investigates a new dimension of the relationship resulting from the media ecosystem, namely the emergence of a new kind of disorder related to the knowledge of individuals who become active participants in the interpretation of content and activation of communicative practices, as well as of information.
The main objectives of this essay can be summarized in three research questions. The first question aims to understand how fake news, also known as information disorder, can be seen as a form of communicative pollution. The second question aims to create a Social Sustainability Index and analyze the social, cultural, and media practices of the respondents involved in the research. The last question aims to assess the potential link between sustainability, communicative behaviors, availability of complex media repertoires, and the tendency to believe or disbelieve fake news, taking into account the first two objectives.
To achieve these goals, complex and multidimensional research tools were developed to analyze various aspects of cognitive disorder. In addition, specific issues related to social sustainability were addressed.
The phenomenon analysis followed a standard quantitative approach, and a survey was designed as a research instrument. The survey was carried out by conducting 399 face-to-face interviews with a reasoned choice sample. The sample was chosen based on the verified isomorphism between the Italian population and the defined sample in terms of age and gender characteristics. The data used to confirm this isomorphism were obtained from the Italian National Institute of Statistics (ISTAT) report dated 1 January 2021 [33]. Regarding sample size, simple causal sampling methods were also used to ensure a minimum of 384 interviews stratified by gender and age, with the goal of minimizing sampling error to 0.05. The survey was conducted between March and June of 2021. Due to the impact of the pandemic, it was necessary to make changes to the research structure, especially in terms of the methodology and survey methods, which also had to be conducted online. Additionally, the questionnaire design and analysis of the results had to take into account some aspects related to the pandemic crisis, such as information content (fake news about vaccines and contagions), opinions on the social actors involved (doctors, scientists, institutions), and the role of media.
The survey track was divided into four main thematic areas: information, media use, personal opinions, and sociodemographic data. The information area provided useful data to define the territorial distribution of respondents in terms of the geographical area on the national territory (Italy) and housing location (urban, suburban, etc.), level of education, family composition, and daily relationships with people they interact with (family members, friends, colleagues, etc.).
The media use area was created to analyze how media content influences respondents’ daily discussions. The aim was to understand and describe the impact of media consumption on everyday life. For this purpose, the questions were designed to identify the respondent’s media repertoires [34]. Media repertoire refers to the set of media tools that an individual uses as a deliberate and strategic choice to access the media environment.
The area of personal opinions was divided into two sub-areas in the questionnaire. The first sub-area contains a list of 20 news items, 6 true and 14 false. The selection of the 20 news items was made by choosing agenda topics [35] within the Italian hybrid information system that have become relevant in Italian public opinion [36]. A higher number of fake news items than true news items was deliberately chosen to avoid response set effects. The process of selecting news stories and, in some cases, their construction was based on a survey of the most popular fake news items in Italy from the past three years (2018–2020) and a survey of the most relevant issues in the Italian public debate between June and December 2020. For these reasons, the news items pertain to different journalistic fields and genres, such as current affairs, politics, sports, etc., and they also refer to elements commonly found in Italian public opinions, such as characters, events, traditions, recurring themes, and controversies. Concerning these news stories, the respondent was asked to assess the statement’s authenticity by asking the following question: “Concerning the circulation of news, we now list some controversial news stories because some people believe them to be true, while others believe them to be false. In your opinion, are they more likely to be true or false?”.
In the survey, the second area of personal opinions aimed to determine the trust of the respondents regarding certain social, political, and cultural institutions/actors. This was carried out by constructing Cantril scales [37] by asking the following question: “We have a list of various individuals, groups, or institutions, and we would like to know how much you trust each one. You can rate them on a scale of 0 to 10, with 10 being the highest score for those you trust completely and 0 being the lowest for those you don’t trust at all. You can also use scores in between to indicate intermediate levels of trust”. The data collected were used to measure the average level of trust within the selected sample and to develop indices to operationalize the concept of social sustainability. The variables obtained were associated with the sustainability areas/themes (citizenship, communities, consumption behavior, cultural diversity, ecology, health, institutions, justice, knowledge, science, and solidarity) derived from in-depth literature [15] and the Agenda 2030 goals (see Table 1).
Table 1.
An average degree of trust: institutions/actors and sustainability areas/themes.
After assigning institutions/actors to sustainability areas/themes, a correlation table was developed between all 17 variables. The top five variables with the highest coefficient of correlation were then selected. Specifically, these were: ecologists/environmentalists; volunteers/NGOs; homosexual rights associations; the European Union; and medical doctors/scientists; (see Table 1).
This finding appears particularly noteworthy as it seems to reflect the representations of institutions and actors in media and their connection to social sustainability indicators, such as organizations advocating the rights of LGBTQ+ communities, environmentalists, and non-governmental organizations (NGOs) in reference to the context of citizenship, individuals, and groups that demonstrate a clear commitment to civic engagement in Italy [38]. Moreover, the European Union (EU) refers to a supranational political institution, while doctors and scientists are associated with the idea of expert knowledge. A Social Sustainability Index (SSI) was created by summing these five variables. The SSI was then divided into quartiles to compare with news variables.
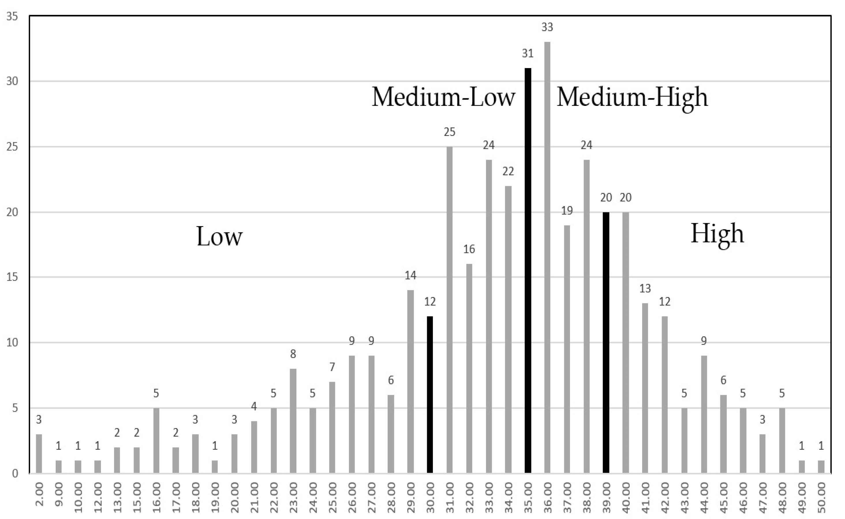
As shown in the graph below (see Figure 1), the SSI is presented as a continuum with two extremes (ranging from 0 to 50). One end of the spectrum represents those who have a total distrust of public policymakers regarding sustainable development (the lowest value recorded on the y-axis was 2), while the other end represents those who have high esteem and trust in them (the highest value recorded on the y-axis was 50). The graph also shows the distribution of cases on the x-axis. The cases are divided into four levels, as shown by the black bars, to group them by the number of subjects they contain. The division with respect to confidence is as follows: low—25.8%, medium-low—29.7%, medium-high—25.2%, and high—20.2%.
Figure 1.
Social Sustainability Index (SSI): case distribution.
The index reconfigured in this manner was analyzed regarding the communication dimensions present in the questionnaire, such as media repertoires, social media, and fake news, as well as the sociodemographic dimension. Finally, the questionnaire concludes with sociodemographic data. The data matrix collected from the survey was analyzed using statistical software (IBM SPSS Statistics 27.0.1). The analysis was conducted at multiple levels of detail, including univariate, i.e., analysis of frequencies and distribution of variables (standard deviation test and skewness test), and bivariate, with covariation analysis and correlation analysis [39] to identify the existence and type of relationship between variables through the use of significance coefficients (contingency tables and Pearson correlation coefficient) [37].
4. Results
Before reviewing the most relevant survey findings related to sustainability, it is necessary to analyze the sample of respondents’ general characteristics, which was derived from the information area and the sociodemographic data and from the area related to media and social media usage (see Table 2).
Table 2.
Summary of collected demographic and media responses from the survey.
According to the data, the sample is evenly distributed between males (50.6%) and females (49.4%). The respondents were categorized into six age groups, and it is important to note that the age distribution accurately reflects the pattern of the Italian population, making the sample representative. Additionally, the responses regarding employment status provide valuable data for a better understanding of the sample’s characteristics [40].
The second area related to media usage plays a crucial role in rebuilding media repertoires at a general level. These data show that TV and smartphones are (obviously) the most popular media for obtaining information in Italy, as per Censis 2021 [41]. Despite this, as explained by Katz and Lazarsfeld in 1955 [42], personal influence still plays a crucial role even during the pandemic. This means that face-to-face interactions, such as word-of-mouth, remain a trusted source of information for many people. They tend to rely on people from their daily lives, such as partners (61.6%), friends (55.5%), and children (38.4%). In a secondary position are work colleagues (29.4 percent), parents (29.4 percent), and siblings (22.9 percent).
The survey data on social media revealed that Facebook is the most popular platform. This high level of usage, and consequently the mainstream feature of Facebook, could be seen as a significative case of the evolution of the concept of mass media into that of mass social media. However, the platform’s importance also highlights the crucial role played by algorithms in news selection and access. This can lead to collateral effects like filter bubbles, echo chambers, polarization of public discourse [43,44], and different types of digital pollution, such as information disorder.
As anticipated, a thorough analysis was conducted in the area of personal opinions to identify potential instances of information disorder. The frequency of the response options—“probably false” (PF) and “probably true” (PT)—is presented below alongside each of the twenty news items selected. The abbreviation of each news item is also included, along with an indication of whether it is true (V) or false (F) news, shown in brackets:
- “Our planet’s rising temperature is also due to pollution”—PF: 2.8%; PT: 97.2% (Pollution; T);
- “Scientists exaggerate the severity of this pandemic”—PF: 71.4%; PT: 28.6% (Pandemic; F);
- “There are contrasts and clashes within the Catholic Church about the current Pope”—PF: 32.9%; PT: 67.1% (Pope; T);
- “The Italian TV host Amadeus didn’t want to present the Sanremo festival until the crucifix from the Ariston theater was removed”—PF: 89.7%; PT: 10.3% (Festival; F);
- “Without making it public, the Conte government last Christmas gave 250 euros as a ‘bonus’ for those who stayed home responsibly”—PF: 92.5%; PT: 7.5% (Government; F);
- “Some scientists are planning the first cities on Mars”—PF: 43.1%; PT: 56.9% (Mars; T);
- “Official reports of the number of Jews who died in concentration camps are exaggerated”—PF: 92.2%; PT: 7.8% (Shoah; F);
- “A referee has been downgraded to the second division after penalizing Juventus in a match against Crotone”—PF: 60.2%; PT: 39.8% (Soccer; F);
- “AstraZeneca vaccine caused more deaths than we were told”—PF: 75.4%; PT: 24.6% (AstraZeneca1; F).
- “Money from the world’s ten richest billionaires could be used to pay for anti-COVID vaccines for all mankind”—PF: 14.8%; PT: 85.2% (Money; T).
- “A powerful gay group influences today’s politics and culture”—PF: 88%; PT: 12% (Lobby; F);
- “The Italian government gives each immigrant at least 35 euros a day”—PF: 40.9%; PT: 59.1% (Immigrants; F);
- “Some social media, such as Twitter, have banned Trump”—PF: 19.3%; PT: 80.7% (Trump; T);
- “Mattarella was used as a secret agent against Trump”—PF: 94.5%; PT: 5.5% (Mattarella; F);
- “Murders in Italy continue to rise”—PF: 37.7%; PT: 62.3% (Murders; F);
- “Some nations suspended AstraZeneca vaccinations for a while because they feared thrombosis”—PF: 5.3%; PT: 94.7% (AstraZeneca2; T);
- “Francis is an anti-Pope; the real Pope is still Ratzinger”—PF: 90%; PT: 10% (AntiPope; F);
- “It’s not true that the Americans landed on the moon; it’s a hoax for propaganda”—PF: 84.2%; PT: 15.8% (Moon; F);
- “Anti-COVID measures keep Kebabs and Bangladeshis open, but close Italian restaurants”—PF: 78.9%; PT: 21.1% (Kebab F);
- “They hide from us the negative effects of COVID vaccines”—PF: 63.6%; PT: 36.4% (Vaccines; F).
Even considering only this first level of analysis of the answers, it is possible to make some observations about the issues related to sustainability. One example is related to the field of ecology, where pollution and global warming are recognized as true by nearly all of the sample. It is possible to observe an almost opposite situation regarding cultural diversity versus solidarity. Specifically, 56.9 percent of respondents believe the fake news about government subsidies for immigrants to be true, which seems to indicate the relevant impact of symbolic and cognitive forms of pollution. When it comes to science and health-related topics, it is essential to take into consideration additional variables, such as the varying levels of salience that these topics hold. This importance can stem from either an informational dimension [35,45]—meaning some issues are more salient or less salient to people’s everyday lives—or from a political [46] or even ideological standpoint [47]. When it comes to certain information content that is not central to the agenda of a pandemic-affected society (e.g., cities on Mars), the distance from everyday reality gives a somewhat evenly divided response. Specifically, 56.9% of respondents believe it is “probably true”, while 43.1% believe it is “probably false”. When it comes to news that is closely related to personal experience and everyday life, people tend to have a considerably higher correct perception of it. This is demonstrated by the fact that over 70 percent of respondents believed that scientists’ alleged exaggeration of the pandemic’s effects was probably fake news.
After analyzing the responses using the four levels of the constructed SSI, more precise and interesting insights can be highlighted. It was found that individuals who scored in the middle-high and high levels tend to be more critical of information, while those with low and low-medium levels tend to believe in fake news more frequently. It appears that having greater knowledge and interest in social sustainability issues is necessary to limit the impact of information pollution. This effect also extends to other areas, such as citizenship, institutions, and justice, as shown in the table (see Table 3) below.
Table 3.
News and Social Sustainability Index (SSI): distribution of responses according to SSI level (Legend: T = true news; F = false news; P.F. = probably false; and P.T. = probably true).
The result obtained confirms the index’s validity and suggests a strategy to reduce informational and cognitive pollution. However, to achieve this goal, it is necessary to consider additional characteristics such as sociodemographic data, political attitudes, and media repertoires.
5. Discussion
To better understand the collected data, it is essential to consider the distribution of respondents across different quartiles of the SSI by analyzing specific variables.
One possible starting point is to take into account the respondents’ gender and age. There are no relevant differences with respect to the female gender, with a relatively uniform distribution across the quartiles (around 25 percent on average). However, for the male gender, there is a higher concentration in the low (31.5 percent) and lower-middle (33 percent) levels, while only a small percentage (35.5 percent) are in the two upper quartiles. This seems to suggest that sustainability is less integrated into the male perspective than the female perspective. Considering age, it can be observed that, except for the over-60 age group, which has a uniform distribution, the 31–45 and 46–60 age groups have a higher concentration (56.6 percent and 60.3 percent, respectively) in the two lowest quartiles. Conversely, the youngest age group (18–30) shows the opposite trend, with 56.6 percent of individuals concentrated in the middle and upper levels of the SSI. Age, like gender, seems to be a relevant variable in determining the propensity to adopt either integration or resistance attitudes toward sustainability.
To understand the potential influence of respondents’ political and ideological orientations, a “political orientation index” was created using data from the second sub-area of personal opinions, which assessed the level of trust in center-right and center-left parties (the two main political groups in the Italian parliament). The index has three levels: conservative, moderate, and progressive. A clear polarization was revealed upon cross-referencing the political index with the SSI. Specifically, 76.9% of conservatives ranked in the last two quartiles, with 59% of them being at a low level and 17.9% at a middle-low level. Conversely, 69.9% of progressives were in the top two quartiles of the index, with 23.3% being at a medium-high level and 46.6% at a high level.
A third step involved combining the SSI levels with media usage to identify interesting trends (see Table 4). By importing the perspective of the four levels (low, medium-low, medium-high, and high) of the SSI within the description of media repertoires, it was possible to highlight some elements in accordance with the general sample, as well as some deviations. Regarding word of mouth and paid newspapers, there was a minimal deviation in the four levels compared with the general percentages of 17.3% and 13.5%, respectively. The situation was somewhat more complex for television and smartphones. While the overall preference for TV was 70.2%, the distribution of preferences among respondents in the four levels of the SSI was as follows: low 64.1% (−6.1%); medium-low 75.4% (+5.2%); medium-high 69.8% (−0.4%); and high 72.5% (+2.3%). As for smartphones, the overall preference was 69.2%, and the distribution of preferences among respondents in the four levels of the SSI was as follows: low 65% (−4.2%); medium-low 66.9% (−2.3%); medium-high 78.1% (+8.9%); and high 67.5% (−1.7%).
Table 4.
Media use and Social Sustainability Index (SSI): general average and specific average according to SSI level.
Focusing on the most noteworthy statistical differences, it can be observed that a low level of social sustainability is associated with a lower level of information-seeking behavior through both television and smartphones. Individuals with a low-medium level tend to use television more, while those with a high-medium level tend to use smartphones more. However, individuals with a high level of sustainability do not seem to have considerably different TV and smartphone use practices compared with the average, except for smart TV use, which is 4.1 percent higher than the general average of 12.4 percent. Regarding the usage of the other devices, the respondents’ baseline SSI has an inverse relationship with radio usage. In other words, the lower the index, the higher the radio usage: 35.9% for low index (+8.8% compared with the general average), 28.00% for medium-low index (+0.9%), 26.00% for medium-high index (−1.1%), and 15.00% for high index (−12.1%). However, the situation is precisely the opposite for computer and tablet usage. The usage is considerably higher in the directories of the upper levels of the index: 31.1% for low index (−7.7%), 37.3% for medium-low index (−1.5%), 42.7% for medium-high index (+3.9%), and 45% for high index (+6.2%). Respondents with the highest level of the Social Sustainability Index also show a statistically significant increase in reading books, both print and digital (+4.3% compared with the overall average), and magazines (+4%).
In terms of social media (see Table 5), it is important to distinguish between the more popular and generalist ones, such as Facebook, Instagram, YouTube, and WhatsApp, and the less popular and more thematic ones, such as Twitter (now X) and Telegram. Concerning “generalist” social media platforms, people in the top quartile of the SSI seem to use Facebook and WhatsApp 10% less than those in the lower quartiles. For thematic social media platforms such as Twitter and Telegram, there tends to be higher usage by those in the opposite positions of the low and high levels of the SSI. The different trends in usage between generalist and thematic social media could be explained by considering additional variables. As we will show, in the case of generalist social media, for example, it seems to be related to differences in demographics. In contrast, in the case of thematic social media, it may be more influenced by ideological and political elements.
Table 5.
Social Media and Social Sustainability Index (SSI): social media general average and specific average according to SSI level.
Although these results are interesting, they must be examined within a systemic interpretive approach [48]. This approach must consider the multidirectional links of influence that are activated between the various spheres considered (such as social, political, medial, ecological, etc.). In this regard, it is possible to identify some cross-sectional features that differentiate the levels of ISS based on the overall combination of the main variables under consideration. The two lowest levels, which may express opposition and resistance toward sustainability issues, are mainly associated with the male gender, age group of 31–60 years, conservative political orientation, and more limited and more generalist media use (mostly TV, smartphone, radio, Facebook, WhatsApp, and YouTube). On the other hand, the two highest quartiles are characterized by a more balanced gender distribution, most younger people aged 18–30 years, a progressive political orientation, and a more complex media consumption (including Smart TV, digital/paper books, magazines, and SNS such as Twitter, in addition to TV, smartphone, Facebook, and WhatsApp).
According to the SSI, supporting sustainability issues (citizenship, health, education, solidarity, living conditions, cultural diversity, and consumption behavior) requires individuals to adopt a cognitive and behavioral approach that involves trusting institutions, respecting diversity, and working toward sustainable development. However, in this context, it is interesting to underline that age and political beliefs are not the only factors determining support for sustainability. A hybrid media approach, which combines digital technology with more traditional media and more critical and information-oriented media uses, can also play a key role in supporting sustainability.
Upon reaching this point, some final considerations can be made. These remarks must inevitably focus on the multidimensional and circular (ecological) interpretation of the relationship between communication and social sustainability.
On the one hand, having a diverse and complex media repertoire is essential to advocate social sustainability from a functional standpoint effectively. On the other hand, a positive attitude toward social sustainability suggests the possibility of more consciously and critically inhabiting media ecosystems from an environmental perspective. In other words, communication can be seen as a strategy to support social sustainability, which in turn represents a condition to foster care for medial environments. Moreover, their complementarity is relevant in reducing the impact of communicative and digital pollution, such as information disorder. Data in Table 6 support this idea, although only at a theoretical level. Compared with Table 2 only the percentages of fake news in which people believe in the SSI’s different quartiles were retained. The data show that, in 9 out of 14 cases (in bold), there is a constant decrease in the likelihood of believing fake news as people move from the lower to the higher quartiles. In the remaining five cases (in italics), the percentages of the higher positions sometimes exceed one or both percentages of the lower quartiles.
Table 6.
Fake News and Social Sustainability Index (SSI): distribution of probably true (P.T.) response percentage according to SSI level.
6. Conclusions
As part of a larger research project on the social impact of information disorder, this article presented findings on the relationship between sustainability and communication in light of three main research questions.
Regarding the hypothesis of considering information disorder as a type of communicative pollution, through the analysis of scientific literature, the reconstruction of a theoretical framework, and the data analysis, it was shown that media and communication play a central role in sustainable development processes, particularly regarding the dimension of social sustainability. Moreover, by considering media ecosystems not only as communication tools but as environments, it was possible to highlight how information disorder can be seen as a form of media, social, and cultural pollution.
For the second research question pertaining to the social, cultural, and media practices of the participants, data were collected through a survey. Based on the analysis of this information, a specific Social Sustainability Index (SSI) was constructed. The SSI, when combined with personal opinions, provided a general indication of how the respondents are likely to be affected (or not) by media pollution.
Regarding the third question about the possible connection between sustainability, communication behaviors, and information disorder, it is worth mentioning that people who use media in a more accountable and integrated manner—meaning individuals who willingly adopt complex communication practices and configure richer media repertoires for themselves, even for informative purposes—are also the ones who appear to be shifting toward more sustainable behaviors. This seems to suggest that taking care of communication environments, while reducing potential forms of pollution such as misinformation, is also crucial to achieve sustainable development.
To conclude, we think it is important to highlight two last key elements.
First, we do not intend to establish any causal relationship between the variables considered. Moreover, we do not endorse a deterministic reading in any way, as that would oversimplify and reduce the complexity of the processes we are addressing. Of course, exploring the inverse relationship between the inclination to trust misleading information and the endorsement of sustainability concerns could be intriguing. However, this hypothetical outcome is just a means of interpreting the overarching concept of information disorder as a type of communicative and environmental pollution rather than quantifying it.
Second, we believe that the survey conducted and the outcomes presented in this paper could serve as a useful baseline for continuing this type of investigation, with analytical techniques that are even more in-depth and sophisticated than those used so far. They should not be treated as a conclusion but rather as valuable observations and components to be considered in further exploring research endeavors concerning the intricate interplay between sustainability, communication, and media.
Author Contributions
Conceptualization, G.C.; methodology, G.C., F.R.L. and F.C.; formal analysis, G.C. and F.C.; writing—original draft preparation, G.C., F.R.L. and F.C.; writing—review and editing, G.C., F.R.L. and F.C.; supervision, G.C., F.R.L. and F.C.; project administration, G.C. and F.R.L.; and funding acquisition: F.R.L. All authors have read and agreed to the published version of the manuscript.
Funding
This article presents a portion of the findings from the research project “The Social Effects of Fake News: An Ecological Approach to Fake News Creation, Distribution, and Reception.” The research received funding through a call for proposals from the Sapienza University of Rome (protocol no. RG11816436BAE21B).
Institutional Review Board Statement
The research project was subject to a final report covering scientific activities and incurred expenses. The report was approved by a positive resolution of the Department of Communication and Social Research Council of Sapienza University of Rome, on 18 May 2023, and sent to Sapienza on 19 May 2023.
Informed Consent Statement
The process of collecting data was carried out in a way that maintained the anonymity of each respondent. Furthermore, prior to the interview, every respondent was informed about the scientific objectives of the survey, which included ensuring anonymity and their right to participate.
Data Availability Statement
Data are contained within the article.
Conflicts of Interest
The authors declare no conflicts of interest.
References
- Chadwick, A. The Hybrid Media System. Politics and Power, 2nd ed.; Oxford University Press: Oxford, NY, USA, 2017. [Google Scholar]
- Kannengießer, S. Media reception, media effects and media practices in sustainability communication: State of research and research gaps. In The Sustainability Communication Reader. A Reflective Compendium; Weder, F., Krainer, L., Karmasin, M., Eds.; Springer VS: Wiesbaden, Germany, 2021; pp. 323–338. [Google Scholar]
- Bolter, J.D.; Grusin, R. Remediation. Understanding New Media; MIT Press: Cambridge, UK, 1999. [Google Scholar]
- Couldry, N.; Hepp, A. Conceptualizing mediatization: Contexts, traditions, arguments. Commun. Theory 2013, 23, 191–202. [Google Scholar] [CrossRef]
- Silverstone, R. Why Study the Media? Sage: London, UK, 1999. [Google Scholar]
- Ciofalo, G.; Pedroni, M. Rileggere la media ecology: Ambiente, campo, figurazione, mediatizzazione. Rileggere la media ecology: Ambiente, campo, figurazione, mediatizzazione. Sociol. Della Comun. 2022, 64, 5–27. [Google Scholar]
- Postman, N. The reformed English curriculum. In High School 1980: The Shape of the Future in American Secondary Education; Eurich, A.C., Ed.; Pitman: New York, NY, USA, 1970; pp. 160–168. [Google Scholar]
- Boccia Artieri, G. Ecologia dei media e pratiche di digital pollution. Sociol. Della Comun. 2022, 64, 43–58. [Google Scholar] [CrossRef]
- Kyaw, T.; Kazora, J.; Moh, Z.T. A Systematic Review of the Pros and Cons of Digital Pollution and its Impact on the Environment. J. Sustain. Environ. Manag. 2023, 2, 61–73. [Google Scholar]
- Vasist, P.N.; Krishnan, S. Fake news and sustainability-focused innovations: A review of the literature and an agenda for future research. J. Clean. Prod. 2023, 388, 135933. [Google Scholar] [CrossRef]
- Allcott, H.; Gentzkow, M. Social Media and fake news in the 2016 election. J. Econ. Perspect. 2017, 31, 211–236. [Google Scholar] [CrossRef]
- Ciofalo, G.; Ugolini, L. Newsfaking. La sfida della disinformazione al ruolo sociale e “social” del giornalista. Comunicazionepuntodoc 2018, 20, 81–90. [Google Scholar]
- Tandoc, E.C., Jr.; Zheng, W.L.; Ling, R. Defining “fake news” A typology of scholarly definitions. Digit. J. 2018, 6, 137–153. [Google Scholar]
- Wardle, C.; Derakhshan, H. Information Disorder: Toward an Interdisciplinary Framework for Research and Policy Making; Council of Europe Report; Council of Europe: Strasbourg Cedex, France, 2017. [Google Scholar]
- Koning, J. Social sustainability in a globalizing world: Context, theory and methodology explored. In More on MOST: Proceedings of an Expert Meeting; van Rinsum, H.J., de Ruijter, A., Kazancigil, A., Alagh, Y.K., Genov, N., Koning, J., Siebers, H., Eds.; National Unesco Commission: The Hague, The Netherlands, 2002; pp. 63–89. [Google Scholar]
- United Nations. Sustainable Development Goals. Available online: https://www.un.org/sustainabledevelopment/ (accessed on 9 November 2023).
- Eizenberg, E.; Jabareen, Y. Social Sustainability: A New Conceptual Framework. Sustainability 2017, 9, 68. [Google Scholar] [CrossRef]
- Beck, U. Risk Society. Towards a New Modernity; Sage: London, UK, 1986. [Google Scholar]
- Giddens, A. The Consequences of Modernity; Stanford University Press: Stanford, CA, USA, 1990. [Google Scholar]
- Carpentier, N. Media and Participation: A Site of Ideological-Democratic Struggle; Intellect: Bristol, UK, 2011. [Google Scholar]
- Couldry, N. Media, Society, Word. Social Theory and Digital Media Practice; Polity Press: Cambridge, UK, 2012. [Google Scholar]
- Jenkins, H. Convergence Culture: Where Old and New Media Collide; New York University Press: New York, NY, USA, 2006. [Google Scholar]
- Hepp, A. Cultures of Mediatization; Polity Press: Cambridge, UK, 2013. [Google Scholar]
- Couldry, N.; Hepp, A. The Mediated Construction of Reality; Polity Press: Cambridge, UK, 2016. [Google Scholar]
- Hjarvard, S. The Mediatization of Culture and Society; Routledge: New York, NY, USA, 2013. [Google Scholar]
- Lunt, P.; Livingstone, S. Is ‘mediatization’ the new paradigm for our field? A commentary on Deacon and Stanyer (2014, 2015) and Hepp, Hjarvard and Lundby (2015). Media Cult. Soc. 2016, 38, 462–470. [Google Scholar]
- Hepp, A. Deep Mediatization; Routledge: London, UK, 2020. [Google Scholar]
- Ciofalo, G.; Leonzi, S. Schermo, habitat, piattaforma. Metafore dell’immaginario della comunicazione. H-ermes. J. Commun. 2021, 19, 7–30. [Google Scholar]
- Altheide, D.L.; Snow, R.P. Media Logic; Sage: Beverly Hills, CA, USA, 1979. [Google Scholar]
- Agrawal, S.R. Digital Pollution and Its Impact on the Family and Social Interactions. J. Fam. Issues 2021, 42, 2648–2678. [Google Scholar] [CrossRef]
- Colombo, F. Ecologia dei Media. Manifesto per una Comunicazione Gentile; Vita e Pensiero: Milano, Italy, 2020. [Google Scholar]
- McIntyre, L. Post-Truth; MIT Press: Cambridge, UK, 2018. [Google Scholar]
- ISTAT. Available online: https://www.istat.it/it/files//2021/12/CENSIMENTO-E-DINAMICA-DEMOGRAFICA-2020.pdf (accessed on 11 December 2023).
- Hasebrink, U.; Domeyer, H. Media Repertoires as Patterns of Behaviour and as Meaningful Practices, Participations. J. Audience Recept. Stud. 2012, 9, 757–783. [Google Scholar]
- McCombs, M. A look at Agenda Setting: Past, Present and Future. J. Stud. 2005, 6, 543–557. [Google Scholar] [CrossRef]
- Bentivegna, S.; Boccia Artieri, G. Rethinking Public Agenda in a Time of High-Choice Media Environment. Media Commun. 2020, 8, 6–15. [Google Scholar] [CrossRef]
- Corbetta, P. Metodologia e Tecnica della Ricerca Sociale; il Mulino: Bologna, Italy, 2014. [Google Scholar]
- Bartoletti, R.; Faccioli, F. Comunicazione e Civic Engagement. Media, Spazi Pubblici e Nuovi Processi di Partecipazione; FrancoAngeli: Milano, Italy, 2013. [Google Scholar]
- Marradi, A. Linee Guida per L’analisi Bivariata dei dati Nelle Scienze Sociali; FrancoAngeli: Milano, Italy, 1997. [Google Scholar]
- ISTAT. Available online: https://www.istat.it/it/files//2022/02/CS_Occupati-e-disoccupati_DICEMBRE_2021.pdf (accessed on 9 November 2023).
- Censis. Available online: https://www.censis.it/rapporto-annuale/55%C2%B0-rapporto-sulla-situazione-sociale-del-paese2021 (accessed on 9 November 2023).
- Katz, E.; Lazarsfeld, P.F. Personal Influence: The Part Played by People in the Flow of Mass Communications; Free Press: New York, NY, USA, 1955. [Google Scholar]
- Sunstein, C.R. Republic.Com; Princeton University Press: Princeton, NJ, USA, 2001. [Google Scholar]
- Pariser, E. The Filter Bubble: What the Internet Is Hiding from You; Penguin: London, UK, 2011. [Google Scholar]
- Lang, G.E.; Lang, K. Watergate: An exploration of the agenda building process. In Mass Communication Review Yearbook; Wilhoit, G.C., de Bock, H., Eds.; Sage: Beverly Hills, CA, USA, 1981; Volume 2, pp. 447–468. [Google Scholar]
- Bromley-Trujillo, R.; Karch, A. Salience, scientific uncertainty, and the agenda-setting power of science. Policy Stud. J. 2021, 49, 992–1018. [Google Scholar] [CrossRef]
- Jones, B.D.; Baumgartner, F.R. Representation and agenda setting. Policy Stud. J. 2004, 32, 1–24. [Google Scholar] [CrossRef]
- Morin, E. Le Methode. Tome I: La Nature de la Nature; Seuil: Paris, France, 1977. [Google Scholar]
Disclaimer/Publisher’s Note: The statements, opinions and data contained in all publications are solely those of the individual author(s) and contributor(s) and not of MDPI and/or the editor(s). MDPI and/or the editor(s) disclaim responsibility for any injury to people or property resulting from any ideas, methods, instructions or products referred to in the content. |
© 2024 by the authors. Licensee MDPI, Basel, Switzerland. This article is an open access article distributed under the terms and conditions of the Creative Commons Attribution (CC BY) license (https://creativecommons.org/licenses/by/4.0/).
