The Role of Biopolymers on the Water Retention Capacity of Stabilized Sand
Abstract
1. Introduction
2. Materials Used
3. Experimental Work
3.1. Testing Variables
3.2. Mixtures and Specimen Preparation
3.3. Soil Water Retention Curve Determination
4. Results and Discussion
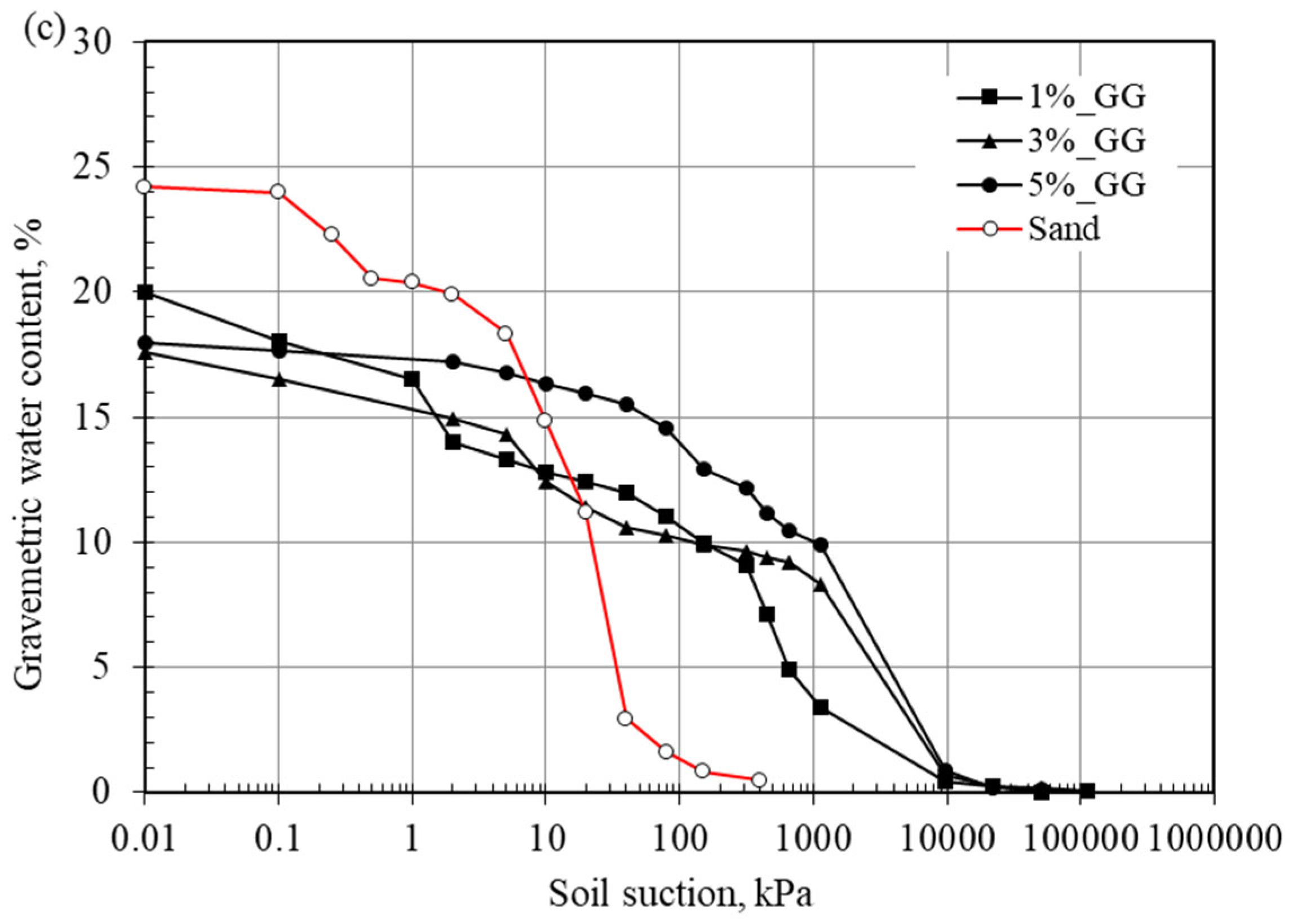
4.1. Effect of Biopolymer Content on SWRCs
4.2. Effect of Biopolymer Type on Retention Capacity
5. Conclusions
- Biopolymers induced significant changes in the different stages of SWRCs of the treated samples. In the saturation zone, biopolymers only had a slight effect on the retention capacity of the treated sand, with the saturated water content (ws) reducing by 9% for the SA specimen and 26% for the P and GG specimens.
- The plausible effect of biopolymers was observed in the desaturation zone, the untreated sand was desaturated within a low suction level range of up to 30 kPa, and the desaturation zone of the treated specimen enlarged up to a high level of suction (i.e., 10,000 kPa). Furthermore, the AEV1,2 of the treated specimens doubled several times.
- While the residual stage of pure sand was limited to the suction level of 30 kPa, the residual stage of the treated specimens reached was doubled tenths times and reached a 10,000 kPa of suction, which doubled ten times.
- The enhancement of the retention capacity can be attributed to the gel component produced from biopolymers dissolving in water, as detected from the scanning electron microscope images. This component filled the voids surrounding the sand particles and created a new series of micropores.
- At the highest content of biopolymer, SA exhibited the highest retention capacity up to a moderate level of suction. In this context, it is worth noting that the effect of biopolymers tends to be paramount at high suction levels (more than 1000 kPa).
Author Contributions
Funding
Institutional Review Board Statement
Informed Consent Statement
Data Availability Statement
Acknowledgments
Conflicts of Interest
References
- Chang, I.; Im, J.; Cho, G.C. Geotechnical engineering behaviors of gellan gum biopolymer treated sand. Can. Geotech. J. 2016, 53, 1658–1670. [Google Scholar] [CrossRef]
- Chang, I.; Im, J.; Prasidhi, A.K.; Cho, G.C. Effects of Xanthan gum biopolymer on soil strengthening. Constr. Build. Mater. 2015, 74, 65–72. [Google Scholar] [CrossRef]
- Lee, S.; Chung, M.; Park, H.M.; Song, K.I.; Chang, I. Xanthan gum biopolymer as soil-stabilization binder for road construction using local soil in Sri Lanka. J. Mater. Civ. Eng. 2019, 31, 06019012. [Google Scholar] [CrossRef]
- Almajed, A.; Lemboye, K.; Arab, M.G.; Alnuaim, A. Mitigating wind erosion of sand using biopolymer-assisted EICP technique. Soils Found. 2020, 60, 356–371. [Google Scholar] [CrossRef]
- Ni, J.; Hao, G.L.; Chen, J.Q.; Ma, L.; Geng, X.Y. The optimisation analysis of sand-clay mixtures stabilised with xanthan gum biopolymers. Sustainability 2021, 13, 3732. [Google Scholar] [CrossRef]
- Prakash, S.S.J.; Naidu, M.Y. Performance Evaluation of Polysachharide based Biomaterials for Sand Stabilization. Int. J. Sci. Res. Eng. Manag. 2023, 7, 1–13. [Google Scholar] [CrossRef]
- Fortuna, B.; Logar, J.; Sorze, A.; Valentini, F.; Smolar, J. Influence of Xanthan Gum-Based Soil Conditioners on the Geotechnical Properties of Soils. Appl. Sci. 2024, 14, 4044. [Google Scholar] [CrossRef]
- Zhang, J.; Liu, J. A Review on Soils Treated with Biopolymers Based on Unsaturated Soil Theory. Polymers 2023, 15, 4431. [Google Scholar] [CrossRef]
- Ni, J.; Li, S.S.; Ma, L.; Geng, X.Y. Performance of soils enhanced with eco-friendly biopolymers in unconfined compression strength tests and fatigue loading tests. Constr. Build. Mater. 2020, 263, 120039. [Google Scholar] [CrossRef]
- Akbulut, N.; Cabalar, A.F. Effects of biopolymer on some geotechnical properties of a sand. In New Frontiers in Geotechnical Engineering; ASCE: Reston, VA, USA, 2014; pp. 28–37. [Google Scholar]
- Lemboye, K.; Almajed, A.; Hamid, W.; Arab, M. Permeability investigation on sand treated using enzyme-induced carbonate precipitation and biopolymers. Innov. Infrastruct. Solut. 2021, 6, 167. [Google Scholar] [CrossRef]
- Wang, S.; Zhao, X.; Zhang, J.; Jiang, T.; Wang, S.; Zhao, J.; Meng, Z. Water retention characteristics and vegetation growth of biopolymer-treated silt soils. Soil Tillage Res. 2023, 225, 105544. [Google Scholar] [CrossRef]
- Ni, J.; Wang, Z.T.; Geng, X.Y. Vegetation growth promotion and overall strength improvement using biopolymers in vegetated soils. Can. Geotech. J. 2023, 61, 1294–1310. [Google Scholar] [CrossRef]
- Tran, T.P.A.; Cho, G.C.; Ilhan, C. Water Retention Characteristics of Biopolymer Hydrogel-Treated Sand-Clay Mixture. Earth Sci. Environ. 2020, 127, 5–17. [Google Scholar] [CrossRef]
- Sharma, R.; Bajpai, J.; Bajpai, A.K.; Acharya, S.; Kumar, B.; Singh, R.K. Assessment of water retention performance of pectin-based nanocarriers for controlled irrigation in agriculture. Agric. Res. 2017, 6, 139–149. [Google Scholar] [CrossRef]
- Chen, Z.; Liu, J.; Wang, Y.; Qi, C.; Ma, X.; Che, W.; Ma, K. Wetting–drying effects on the mechanical performance of xanthan gum biopolymer-stabilized soil. Environ. Earth Sci. 2024, 83, 197. [Google Scholar] [CrossRef]
- Seo, S.; Lee, M.; Im, J.; Kwon, Y.M.; Chung, M.K.; Cho, G.C.; Chang, I. Site application of biopolymer-based soil treatment (BPST) for slope surface protection: In-situ wet-spraying method and strengthening effect verification. Constr. Build. Mater. 2021, 307, 124983. [Google Scholar] [CrossRef]
- Zhang, J.; Liu, J.; Cheng, Y.; Jiang, T.; Saberian, M. Water-retention behaviour and microscopic analysis of two biopolymer-improved sandy soils. Constr. Build. Mater. 2023, 403, 133202. [Google Scholar] [CrossRef]
- Fredlund, D.G.; Rahardjo, H. Soil Mechanics for Unsaturated Soils; Wiley InterScience: New York, NY, USA, 1993. [Google Scholar]
- Fredlund, D.G. The 1999 R.M. Hardy lecture: The implementation of unsaturated soil mechanics into geotechnical engineering. Can. Geotech. J. 2000, 37, 963–986. [Google Scholar] [CrossRef]
- Al-Mahbashi, A.M.; Elkady, T.Y.; Alrefeai, T.O. Soil water characteristic curve and improvement in lime treated expansive soil. Geomech. Eng. 2015, 8, 687–706. [Google Scholar] [CrossRef]
- Bozyigit, I.; Javadi, A.; Altun, S. Strength properties of xanthan gum and guar gum treated kaolin at different water contents. J. Rock Mech. Geotech. Eng. 2021, 13, 1160–1172. [Google Scholar] [CrossRef]
- Lee, S.J.; Lee, S.R.; Kim, Y.S. An approach to estimate unsaturated shear strength using artificial neural network and hyperbolic formulation. Comput. Geotech. 2003, 30, 489–503. [Google Scholar] [CrossRef]
- Garven, E.A.; Vanapalli, S.K. Evaluation of empirical procedures for predicting the shear strength of unsaturated soils. In Proceedings of the Unsaturated Soils 2006, Carefree, AZ, USA, 2–6 April 2006; pp. 2570–2592. [Google Scholar]
- Lee, I.M.; Sung, S.G.; Cho, G.C. Effect of stress state on the unsaturated shear strength of a weathered granite. Can. Geotech. J. 2005, 42, 624–631. [Google Scholar] [CrossRef]
- Fredlund, D.G.; Vanapalli, S.K.; Pufahl, D.E. Predicting the shear strength function for unsaturated soils using the soil-water characteristic curve. In Proceedings of the First International Conference on Unsaturated Soils/Unsat’95, Paris, France, 6–8 September 1995; Volume 1. [Google Scholar]
- Goh, S.G.; Rahardjo, H.; Leong, E.C. Shear strength of unsaturated soils under multiple drying-wetting cycles. J. Geotech. Geoenviron. Eng. 2014, 140, 06013001. [Google Scholar] [CrossRef]
- Al-Mahbashi, A.M.; Elkady, T.Y. Prediction of unsaturated shear strength of expansive clays. Proc. Inst. Civ. Eng. Geotech. Eng. 2017, 170, 407–420. [Google Scholar] [CrossRef]
- Fredlund, D.G.; Xing, A.; Huang, S. Predicting the permeability function for unsaturated soils using the soil-water characteristic curve. Can. Geotech. J. 1994, 31, 533–546. [Google Scholar] [CrossRef]
- Li, J.H.; Zhang, L.M.; Li, X. Soil-water characteristic curve and permeability function for unsaturated cracked soil. Can. Geotech. J. 2011, 48, 1010–1031. [Google Scholar] [CrossRef]
- Chang, I.; Cho, G.C. Shear strength behavior and parameters of microbial gellan gum-treated soils: From sand to clay. Acta Geotech. 2019, 14, 361–375. [Google Scholar] [CrossRef]
- Chang, I.; Cho, G.C.; An Tran, T.P. Water-retention properties of xanthan-gum-biopolymer-treated soils. Environ. Geotech. 2023, 11, 152–163. [Google Scholar] [CrossRef]
- ASTM D854-14; Standard Test Methods for Specific Gravity of Soil Solids by Water Pycnometer. ASTM International: West Conshohocken, PA, USA, 2014.
- ASTM D6913-09; Standard Test Methods for Particle-Size Distribution (Gradation) of Soils Using Sieve Analysis. ASTM International: West Conshohocken, PA, USA, 2009.
- ASTM D2487-17; Standard Practice for Classification of Soils for Engineering Purposes (Unified Soil Classification System). ASTM International: West Conshohocken, PA, USA, 2017. [CrossRef]
- ASTM D698-2018; Standard Test Methods for Laboratory Compaction Characteristics of Soil Using Standard Effort (12,400 ft-lbf/ft3 (600 kNm/m3)). ASTM International: West Conshohocken, PA, USA, 2000.
- Lemboye, K.; Almajed, A. Effect of varying curing conditions on the strength of biopolymer modified sand. Polymers 2023, 15, 1678. [Google Scholar] [CrossRef]
- Biju, M.S.; Arnepalli, D.N. Effect of biopolymers on permeability of sand-bentonite mixtures. J. Rock Mech. Geotech. Eng. 2020, 12, 1093–1102. [Google Scholar] [CrossRef]
- Ghasemzadeh, H.; Modiri, F.; Darvishan, E. A novel clean biopolymer-based additive to improve mechanical and microstructural properties of clayey soil. Clean Technol. Environ. Policy 2022, 24, 969–981. [Google Scholar] [CrossRef]
- Theng, B.K.G. Formation and Properties of Clay-Polymer Complexes; Elsevier: Amsterdam, The Netherlands, 2012. [Google Scholar]
- ASTM D6836; Standard Test Methods for Determination of the Soil Water Characteristic Curve for Desorption Using a Hanging Column, Pressure Extractor, Chilled Mirror Hygrometer, and/or Centrifuge. ASTM Internation: West Conshohocken, PA, USA, 2016.
- Pham, Q.H.; Fredlund, D.G.; Padilla, J.M. Use of the GCTS apparatus for the measurement of soil-water characteristic curves. In Proceedings of the 57th Canadian Geotechnical Conference, Quebec City, QC, Canada, 24–27 October 2004; pp. 24–27. [Google Scholar]
- Padilla, J.M.; Perera, Y.Y.; Houston, W.N.; Fredlund, D.G. A new soil-water characteristic curve device. In Proceedings of the Advanced Experimental Unsaturated Soil Mechanics, an International Symposium, EXPERUS 2005, Trento, Italy, 27–29 June 2005; A.A. Balkema Publishers: Leiden, The Netherlands, 2005; pp. 15–22. [Google Scholar]
- Al-Mahbashi, A.M.; Elkady, T.Y.; Al-Shamrani, M.A. Hysteresis soil-water characteristic curves of highly expansive clay. Eur. J. Environ. Civ. Eng. 2018, 22, 1041–1059. [Google Scholar] [CrossRef]
- ASTM E 104; Standard Practice for Maintaining Constant Relative Humidity by Means of Aqueous Solutions. ASTM International: West Conshohocken, PA, USA, 2007.
- Fredlund, D.G.; Xing, A.; Fredlund, M.D.; Barbour, S.L. The relationship of the unsaturated soil shear strength to the soil-water characteristic curve. Can. Geotech. J. 1996, 33, 440–448. [Google Scholar] [CrossRef]
- Lu, N.; Likos, W.J. Unsaturated Soil Mechanics; Wiley: New York, NY, USA, 2004. [Google Scholar]
- Lu, N. Generalized soil water retention equation for adsorption and capillarity. J. Geotech. Geoenviron. Eng. 2016, 142, 04016051. [Google Scholar] [CrossRef]
- Luo, S.; Zhou, B.; Likos, W.J.; Lu, N. Determining Capillary Pore–Size Distribution of Soil from Soil–Water Retention Curve. J. Geotech. Geoenviron. Eng. 2024, 150, 04023138. [Google Scholar] [CrossRef]
- Satyanaga, A.; Rahardjo, H.; Leong, E.C.; Wang, J.Y. Water characteristic curve of soil with bimodal grain-size distribution. Comput. Geotech. 2013, 48, 51–61. [Google Scholar] [CrossRef]
- Al-Mahbashi, A.M.; Dafalla, M.; Al-Shamrani, M. Predicting soil-water characteristic curves of expansive soils relying on correlations. Geomech. Eng. 2023, 33, 625–633. [Google Scholar]
- Tuller, M.; Or, D.; Dudley, L.M. Adsorption and capillary condensation in porous media: Liquid retention and interfacial configurations in angular pores. Water Resour. Res. 1999, 35, 1949–1964. [Google Scholar] [CrossRef]
- Lu, N.; Khorshidi, M. Mechanisms for soil-water retention and hysteresis at high suction range. J. Geotech. Geoenviron. Eng. 2015, 141, 04015032. [Google Scholar] [CrossRef]
- Nassiri, S.; Zapata, C.; Mahabadi, N. Evolution of Water Retention Characteristics in Bio-Geochemically Altered Unsaturated Soils: A Pore-Scale Study. E3S Web Conf. 2023, 382, 18004. [Google Scholar] [CrossRef]
- Chen, H.; Feng, S.J. A simple water retention model of dual-porosity soils based on self-similarity of bimodal pore size distribution. Comput. Geotech. 2023, 162, 105684. [Google Scholar] [CrossRef]









Disclaimer/Publisher’s Note: The statements, opinions and data contained in all publications are solely those of the individual author(s) and contributor(s) and not of MDPI and/or the editor(s). MDPI and/or the editor(s) disclaim responsibility for any injury to people or property resulting from any ideas, methods, instructions or products referred to in the content. |
© 2024 by the authors. Licensee MDPI, Basel, Switzerland. This article is an open access article distributed under the terms and conditions of the Creative Commons Attribution (CC BY) license (https://creativecommons.org/licenses/by/4.0/).
Share and Cite
Al-Mahbashi, A.M.; Almajed, A. The Role of Biopolymers on the Water Retention Capacity of Stabilized Sand. Sustainability 2024, 16, 8612. https://doi.org/10.3390/su16198612
Al-Mahbashi AM, Almajed A. The Role of Biopolymers on the Water Retention Capacity of Stabilized Sand. Sustainability. 2024; 16(19):8612. https://doi.org/10.3390/su16198612
Chicago/Turabian StyleAl-Mahbashi, Ahmed M., and Abdullah Almajed. 2024. "The Role of Biopolymers on the Water Retention Capacity of Stabilized Sand" Sustainability 16, no. 19: 8612. https://doi.org/10.3390/su16198612
APA StyleAl-Mahbashi, A. M., & Almajed, A. (2024). The Role of Biopolymers on the Water Retention Capacity of Stabilized Sand. Sustainability, 16(19), 8612. https://doi.org/10.3390/su16198612

