Effects of Planting Density and Nitrogen Fertilization on Growth Traits and Leaf and Wood Characteristics of Three Poplar Clones
Abstract
1. Introduction
2. Materials and Methods
2.1. Study Area and Experimental Design
2.2. Measurement of Growth Traits
2.3. Measurement of Leaf and Wood Properties
2.4. Statistical Analysis
3. Results
3.1. Effect of Clone Type, Planting Density, and N Fertilization on Growth Traits
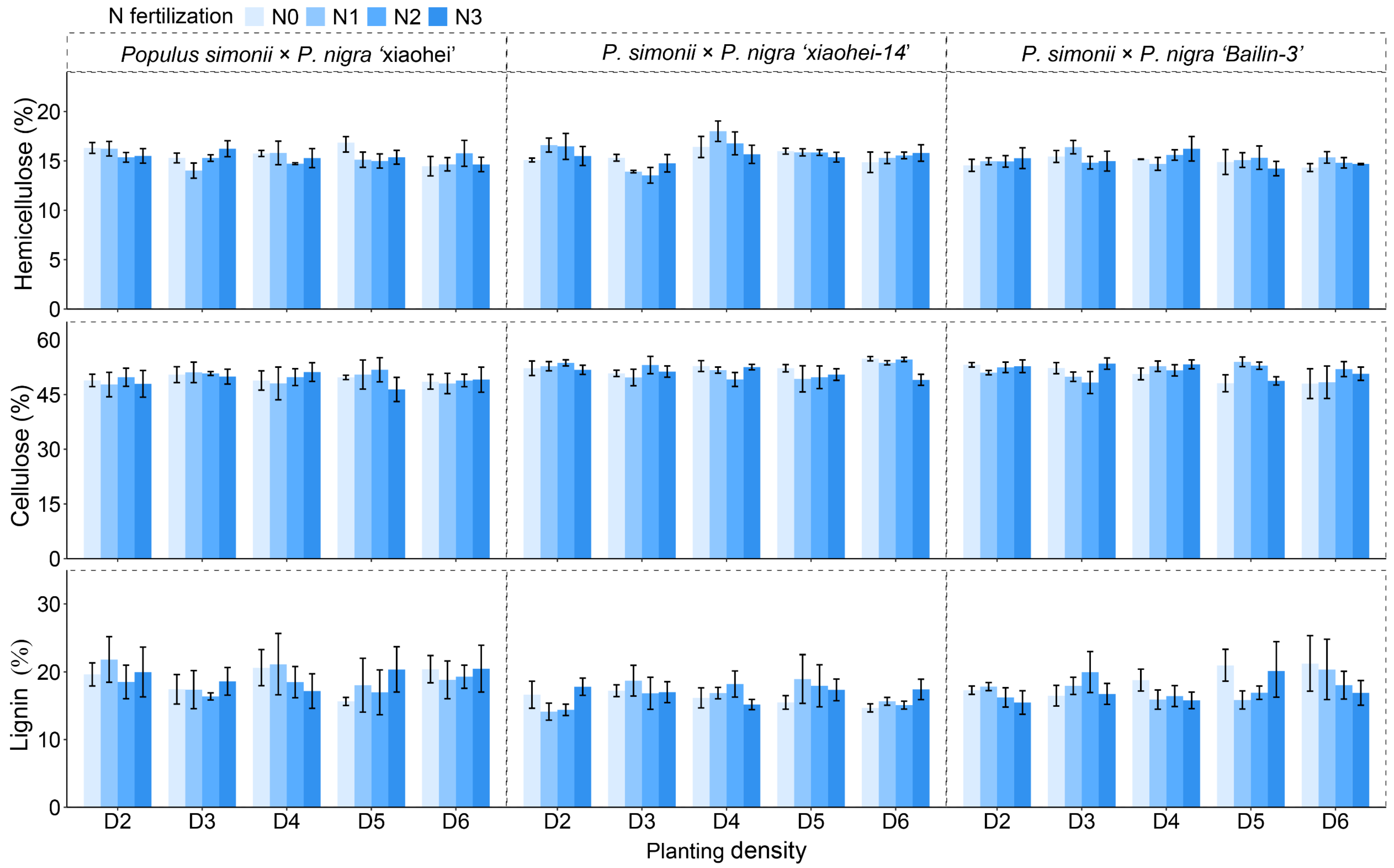
3.2. Effect of Clone Type, Planting Density, and N Fertilization on Wood Chemical Composition
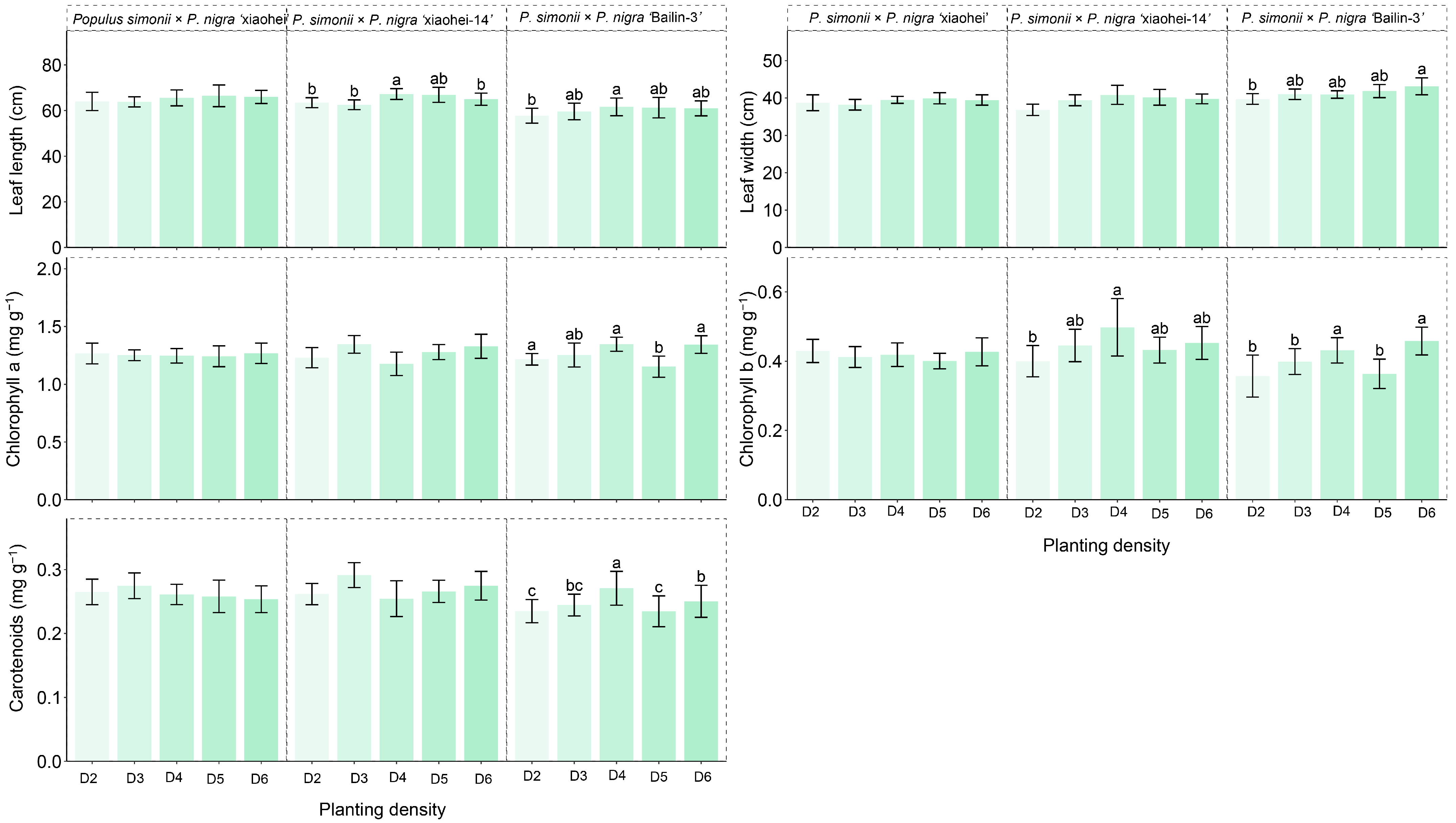
3.3. Effect of Clone Type, Planting Density, and N Fertilization on Leaf Characteristics
3.4. Correlations among Growth Traits, Wood Properties, and Leaf Physiological Characteristics
4. Discussion
4.1. Effects of Clone Type, Planting Density, and N Fertilization on Growth Traits
4.2. Effects of the Clone Type, Planting Density, and N Fertilization on Wood and Leaf Characteristics
5. Conclusions
Author Contributions
Funding
Institutional Review Board Statement
Informed Consent Statement
Data Availability Statement
Conflicts of Interest
References
- Akers, M.K.; Kane, M.; Zhao, D.; Teskey, R.O.; Daniels, R.F. Effects of Planting Density and Cultural Intensity on Stand and Crown Attributes of Mid-Rotation Loblolly Pine Plantations. For. Ecol. Manag. 2013, 310, 468–475. [Google Scholar] [CrossRef]
- Benomar, L.; DesRochers, A.; Larocque, G.R. The Effects of Spacing on Growth, Morphology and Biomass Production and Allocation in Two Hybrid Poplar Clones Growing in the Boreal Region of Canada. Trees Struct. Funct. 2012, 26, 939–949. [Google Scholar] [CrossRef]
- Prasad, J.V.N.S.; Korwar, G.R.; Rao, K.V.; Mandal, U.K.; Rao, G.R.; Srinivas, I.; Venkateswarlu, B.; Rao, S.N.; Kulkarni, H.D. Optimum Stand Density of Leucaena leucocephala for Wood Production in Andhra Pradesh, Southern India. Biomass Bioenergy 2011, 35, 227–235. [Google Scholar] [CrossRef]
- Arias-Aguilar, D.; Valverde, J.C.; Campos, R. Effect of Planting Density and Tree Species Selection on Forest Bioenergy Systems: Tree Growth, Nutrient Storage and Wood Chemical Properties. Greenh. Gases Sci. Technol. 2020, 10, 1165–1175. [Google Scholar] [CrossRef]
- Truax, B.; Fortier, J.; Gagnon, D.; Lambert, F. Planting Density and Site Effects on Stem Dimensions, Stand Productivity, Biomass Partitioning, Carbon Stocks and Soil Nutrient Supply in Hybrid Poplar Plantations. Forests 2018, 9, 293. [Google Scholar] [CrossRef]
- Zhang, Y.; Tian, Y.; Ding, S.; Lv, Y.; Samjhana, W.; Fang, S. Growth, Carbon Storage, and Optimal Rotation in Poplar Plantations: A Case Study on Clone and Planting Spacing Effects. Forests 2020, 11, 842. [Google Scholar] [CrossRef]
- Zhang, X.; Wang, Z.; Chhin, S.; Wang, H.; Duan, A.; Zhang, J. Relative Contributions of Competition, Stand Structure, Age, and Climate Factors to Tree Mortality of Chinese Fir Plantations: Long-Term Spacing Trials in Southern China. For. Ecol. Manag. 2020, 465, 118103. [Google Scholar] [CrossRef]
- Gabira, M.M.; Girona, M.M.; DesRochers, A.; Kratz, D.; da Silva, R.B.G.; Duarte, M.M.; de Aguiar, N.S.; Wendling, I. The Impact of Planting Density on Forest Monospecific Plantations: An Overview. For. Ecol. Manag. 2023, 534, 120882. [Google Scholar] [CrossRef]
- Harrington, T.B.; Harrington, C.A.; DeBell, D.S. Effects of Planting Spacing and Site Quality on 25-Year Growth and Mortality Relationships of Douglas-Fir (Pseudotsuga menziesii var. menziesii). For. Ecol. Manag. 2009, 258, 18–25. [Google Scholar] [CrossRef]
- Liziniewicz, M.; Ekö, P.M.; Agestam, E. Effect of Spacing on 23-Year-Old Lodgepole Pine (Pinus contorta Dougl. var. latifolia) in Southern Sweden. Scand. J. For. Res. 2012, 27, 361–371. [Google Scholar] [CrossRef]
- Silva, W.G.; da Conceição Laura dos Santos, D.M.; Lima, A.P.L.; Mattos, F.D.; Lima, S.F.; de Cássia Mariano de Paula, R. Growth and Volumetric Production of Eucalyptus Clones in Different Planting Spaces. Rev. Agric. Neotrop. 2019, 6, 38–47. [Google Scholar] [CrossRef]
- Ahmed, A.K.M.; Jiang, L.; Wang, F.; Chen, S.; Zhou, X.; Pei, X.; Zhao, X.; Qu, G. Variation Analysis of Growth Traits of Four Poplar Clones under Different Water and Fertilizer Management. J. For. Res. 2020, 31, 45–55. [Google Scholar] [CrossRef]
- Cheng, X.; Yuan, H.; Xing, W.; Wang, Y.; Yu, M. Effects of Provenance and Initial Planting Density on Growth and Wood Properties in Young Sawtooth Oak (Quercus acutissima) Plantations. Eur. J. For. Res. 2020, 139, 1067–1078. [Google Scholar] [CrossRef]
- Schwerz, F.; Neto, D.D.; Caron, B.O.; Tibolla, L.B.; Sgarbossa, J.; Eloy, E.; Elli, E.F.; Carvalho, L.G. Carbon Stocks, Partitioning, and Wood Composition in Short-Rotation Forestry System under Reduced Planting Spacing. Ann. For. Sci. 2020, 77, 67. [Google Scholar] [CrossRef]
- Xi, B.; Clothier, B.; Coleman, M.; Duan, J.; Hu, W.; Li, D.; Di, N.; Liu, Y.; Fu, J.; Li, J.; et al. Irrigation Management in Poplar (Populus spp.) Plantations: A Review. For. Ecol. Manag. 2021, 494, 119330. [Google Scholar] [CrossRef]
- Bracho, R.; Vogel, J.G.; Will, R.E.; Noormets, A.; Samuelson, L.J.; Jokela, E.J.; Gonzalez-Benecke, C.A.; Gezan, S.A.; Markewitz, D.; Seiler, J.R.; et al. Carbon Accumulation in Loblolly Pine Plantations Is Increased by Fertilization across a Soil Moisture Availability Gradient. For. Ecol. Manag. 2018, 424, 39–52. [Google Scholar] [CrossRef]
- Li, X.; Duan, A.; Zhang, J. Long-Term Effects of Planting Density and Site Quality on Timber Assortment Structure Based on a 41-Year Plantation Trial of Chinese Fir. Trees For. People 2023, 12, 100396. [Google Scholar] [CrossRef]
- Sharapov, E.; Demakov, Y.; Korolev, A. Effect of Plantation Density on Some Physical and Technological Parameters of Scots Pine (Pinus sylvestris L.). Forests 2024, 15, 233. [Google Scholar] [CrossRef]
- Iddrisu, A.-Q.; Hao, Y.; Issifu, H.; Getnet, A.; Sakib, N.; Yang, X.; Abdallah, M.M.; Zhang, P. Effects of Stand Density on Tree Growth, Diversity of Understory Vegetation, and Soil Properties in a Pinus koraiensis Plantation. Forests 2024, 15, 1149. [Google Scholar] [CrossRef]
- Hart, Q.J.; Tittmann, P.W.; Bandaru, V.; Jenkins, B.M. Modeling Poplar Growth as a Short Rotation Woody Crop for Biofuels in the Pacific Northwest. Biomass Bioenergy 2014, 79, 12–27. [Google Scholar] [CrossRef]
- He, J.; Dong, T.; Huang, K.; Yang, Y.; Li, D.; Xu, X.; He, X. Sex-Specific Floral Morphology, Biomass, and Phytohormones Associated with Altitude in Dioecious Populus cathayana Populations. Ecol. Evol. 2017, 7, 3976–3986. [Google Scholar] [CrossRef] [PubMed]
- Zabek, L.M.; Prescott, C.E. Steady-State Nutrition of Hybrid Poplar Grown from Un-Rooted Cuttings. New For. 2007, 34, 13–23. [Google Scholar] [CrossRef]
- Di Matteo, G.; Sperandio, G.; Verani, S. Field Performance of Poplar for Bioenergy in Southern Europe after Two Coppicing Rotations: Effects of Clone and Planting Density. iForest 2012, 5, 224–229. [Google Scholar] [CrossRef]
- Lutter, R.; Tullus, A.; Kanal, A.; Tullus, T.; Tullus, H. Above-Ground Growth and Temporal Plant–soil Relations in Midterm Hybrid Aspen (Populus tremula L. × P. tremuloides Michx.) Plantations on Former Arable Lands in Hemiboreal Estonia. Scand. J. For. Res. 2017, 32, 688–699. [Google Scholar] [CrossRef]
- Bo, H.; Zhu, J.; Zhang, R.; Nie, L.; Song, L. Effects of Planting Density and Clone Type on Growth and Wood Volume of Populus tomentosa Stands. J. For. Res. 2020, 25, 444–449. [Google Scholar] [CrossRef]
- Toillon, J.; Fichot, R.; Dallé, E.; Berthelot, A.; Brignolas, F.; Marron, N. Planting Density Affects Growth and Water-Use Efficiency Depending on Site in Populus deltoides × P. nigra. For. Ecol. Manag. 2013, 304, 345–354. [Google Scholar] [CrossRef]
- Wang, C.; Ruan, R.W.; Yuan, X.H.; Hu, D.; Yang, H.; Li, Y.; Yi, Z.L. Effects of Nitrogen Fertilizer and Planting Density on the Lignin Synthesis in the Culm in Relation to Lodging Resistance of Buckwheat. Plant Prod. Sci. 2015, 18, 218–227. [Google Scholar] [CrossRef]
- Lasserre, J.P.; Mason, E.G.; Watt, M.S. The Effects of Genotype and Spacing on Pinus radiata [D. Don] Corewood Stiffness in an 11-Year Old Experiment. For. Ecol. Manag. 2005, 205, 375–383. [Google Scholar] [CrossRef]
- Lee, Y.J.; Lenhart, J.D. Influence of Planting Density on Diameter and Height in East Texas Pine Plantations. South. J. Appl. For. 1998, 22, 241–244. [Google Scholar] [CrossRef]
- Pinkard, E.A.; Neilsen, W.A. Crown and Stand Characteristics of Eucalyptus nitens in Response to Initial Spacing: Implications for Thinning. For. Ecol. Manag. 2003, 172, 215–227. [Google Scholar] [CrossRef]
- Radtke, P.J.; Burkhart, H.E. Closure in a Loblolly Pine Spacing Trial Managers age motivated the Potential Value. For. Sci. 1999, 45, 35–44. [Google Scholar]
- Dimitriou, I.; Mola-Yudego, B. Poplar and Willow Plantations on Agricultural Land in Sweden: Area, Yield, Groundwater Quality and Soil Organic Carbon. For. Ecol. Manag. 2017, 383, 99–107. [Google Scholar] [CrossRef]
- Will, R.; Hennessey, T.; Lynch, T.; Holeman, R.; Heinemann, R. Effects of Planting Density and Seed Source on Loblolly Pine Stands in Southeastern Oklahoma. For. Sci. 2010, 56, 437–443. [Google Scholar] [CrossRef]
- Ahmed, A.K.M.; Fu, Z.; Ding, C.; Jiang, L.; Han, X.; Yang, A.; Ma, Y.; Zhao, X. Growth and Wood Properties of a 38-Year-Old Populus simonii × P. nigra Plantation Established with Different Densities in Semi-Arid Areas of Northeastern China. J. For. Res. 2020, 31, 497–506. [Google Scholar] [CrossRef]
- Yin, S.; Xiao, Z.; Zhao, G.; Zhao, X.; Sun, X.; Zhang, Y.; Wang, F.; Li, S.; Zhao, X.; Qu, G.Z. Variation Analyses of Growth and Wood Properties of Larix olgensis Clones in China. J. For. Res. 2017, 28, 687–697. [Google Scholar] [CrossRef]
- Lichtenthaler, H.K. Chlorophylls and Carotenoids: Pigments of Photosynthetic Biomembranes. Methods Enzymol. 1987, 148, 350–382. [Google Scholar] [CrossRef]
- Porra, R.J.; Thompson, W.A.; Kriedemann, P.E. Determination of Accurate Extinction Coefficients and Simultaneous Equations for Assaying Chlorophylls a and b Extracted with Four Different Solvents: Verification of the Concentration of Chlorophyll Standards by Atomic Absorption Spectroscopy. Biochim. Biophys. Acta Bioenerg. 1989, 975, 384–394. [Google Scholar] [CrossRef]
- Hu, Y.; Li, C.; Jiang, L.; Liang, D.; Zhao, X. Growth Performance and Nitrogen Allocation within Leaves of Two Poplar Clones after Exponential and Conventional Nitrogen Applications. Plant Physiol. Biochem. 2020, 154, 530–537. [Google Scholar] [CrossRef]
- Waghorn, M.J.; Mason, E.G.; Watt, M.S. Influence of Initial Stand Density and Genotype on Longitudinal Variation in Modulus of Elasticity for 17-Year-Old Pinus radiata. For. Ecol. Manag. 2007, 252, 67–72. [Google Scholar] [CrossRef]
- Zhang, Q.; Zhou, Z.; Huang, G.; Zhao, W.; Wang, X.; Yang, G.; Liu, G. Effects of Fertilizing on Trees Growth and Understory Vegetation of Young Teak Plantation. Bull. Bot. Res. 2022, 42, 694–703. [Google Scholar] [CrossRef]
- Zhang, Q.; Pei, X.; Lu, X.; Zhao, C.; Dong, G.; Shi, W.; Wang, L.; Li, Y.; Zhao, X.; Tigabu, M. Variations in Growth Traits and Wood Physicochemical Properties among Pinus koraiensis Families in Northeast China. J. For. Res. 2022, 33, 1637–1648. [Google Scholar] [CrossRef]
- Jiang, L.; Pei, X.; Hu, Y.; Chiang, V.L.; Zhao, X. Effects of Environment and Genotype on Growth Traits in Poplar Clones in Northeast China. Euphytica 2021, 217, 169. [Google Scholar] [CrossRef]
- Johansson, T.; Karačić, A. Increment and Biomass in Hybrid Poplar and Some Practical Implications. Biomass Bioenergy 2011, 35, 1925–1934. [Google Scholar] [CrossRef]
- Sotelo Montes, C.; Hernández, R.E.; Beaulieu, J.; Weber, J.C. Genetic Variation in Wood Color and Its Correlations with Tree Growth and Wood Density of Calycophyllum Spruceanum at an Early Age in the Peruvian Amazon. New For. 2008, 35, 57–73. [Google Scholar] [CrossRef]
- Ghezehei, S.B.; Ewald, A.L.; Hazel, D.W.; Zalesny, R.S.; Nichols, E.G. Productivity and Profitability of Poplars on Fertile and Marginal Sandy Soils under Different Density and Fertilization Treatments. Forests 2021, 12, 869. [Google Scholar] [CrossRef]
- Guo, X.Y.; Zhang, X.S. Performance of 14 Hybrid Poplar Clones Grown in Beijing, China. Biomass Bioenergy 2010, 34, 906–911. [Google Scholar] [CrossRef]
- Nan, W.; Ta, F.; Meng, X.; Dong, Z.; Xiao, N. Effects of Age and Density of Pinus sylvestris var. mongolica on Soil Moisture in the Semiarid Mu Us Dunefield, Northern China. For. Ecol. Manag. 2020, 473, 118313. [Google Scholar] [CrossRef]
- Khan, G.S.; Chaudhry, A.K. Effect of Spacing and Plant Density on the Growth of Poplar (Populus deltoides) Tress under Agro-Forestry System. Pak. J. Agri. Sci. 2007, 44, 321–327. [Google Scholar]
- Sang, Y.; Kang, X.; Zhang, P. Effect of Initial Planting Density on the Moisture Content and Chemical Composition of the Triploid Chinese White Poplar (Populus × tomentosa Carrière) Plantation. Forests 2022, 13, 1494. [Google Scholar] [CrossRef]
- Naji, H.R.; Nia, M.F.; Kiaei, M.; Abdul-Hamid, H.; Soltani, M.; Faghihi, A. Effect of Intensive Planting Density on Tree Growth, Wood Density and Fiber Properties of Maple (Acer velutinum Boiss.). iForest 2016, 9, 325–329. [Google Scholar] [CrossRef]
- Boyden, S.; Binkley, D.; Stape, J.L. Competition among Eucalyptus Trees Depends on Genetic Variation and Resource Supply. Ecology 2008, 89, 2850–2859. [Google Scholar] [CrossRef] [PubMed]
- Woodruff, D.R.; Bond, B.J.; Ritchie, G.A.; Scott, W. Effects of Stand Density on the Growth of Young Douglas-Fir Trees. Can. J. For. Res. 2002, 32, 420–427. [Google Scholar] [CrossRef]
- Kholdaenko, Y.A.; Belokopytova, L.V.; Zhirnova, D.F.; Upadhyay, K.K.; Tripathi, S.K.; Koshurnikova, N.N.; Sobachkin, R.S.; Babushkina, E.A.; Vaganov, E.A. Stand Density Effects on Tree Growth and Climatic Response in Picea obovata Ledeb. Plantations. For. Ecol. Manag. 2022, 519, 120349. [Google Scholar] [CrossRef]
- Bergante, S.; Barbetti, R.; Coaloa, D.; Facciotto, G. Nitrogen Fertilization of “I-214” Poplar Trees with Urea and Different Slow-Release Fertilizers: Yield, Economic and Environmental Aspects. Biomass Bioenergy 2023, 173, 106806. [Google Scholar] [CrossRef]
- Fang, S.; Wen, Y. Interclonal and within-Tree Variation in Wood Properties of Poplar Clones. J. For. Res. 2003, 14, 263–268. [Google Scholar] [CrossRef]
- Fang, S.; Liu, Y.; Yue, J.; Tian, Y.; Xu, X. Assessments of Growth Performance, Crown Structure, Stem Form and Wood Property of Introduced Poplar Clones: Results from a Long-Term Field Experiment at a Lowland Site. For. Ecol. Manag. 2021, 479, 118586. [Google Scholar] [CrossRef]
- Fukatsu, E.; Hiraoka, Y.; Matsunaga, K.; Tsubomura, M.; Nakada, R. Genetic Relationship between Wood Properties and Growth Traits in Larix kaempferi Obtained from a Diallel Mating Test. J. Wood Sci. 2015, 61, 10–18. [Google Scholar] [CrossRef]
- Giuggiola, A.; Ogée, J.; Rigling, A.; Gessler, A.; Bugmann, H.; Treydte, K. Improvement of Water and Light Availability after Thinning at a Xeric Site: Which Matters More? A Dual Isotope Approach. New Phytol. 2016, 210, 108–121. [Google Scholar] [CrossRef]
- Wang, Y.; Wei, X.; del Campo, A.D.; Winkler, R.; Wu, J.; Li, Q.; Liu, W. Juvenile Thinning Can Effectively Mitigate the Effects of Drought on Tree Growth and Water Consumption in a Young Pinus contorta Stand in the Interior of British Columbia, Canada. For. Ecol. Manag. 2019, 454, 117667. [Google Scholar] [CrossRef]
- Zhao, D.; Bullock, B.P.; Montes, C.R.; Wang, M.; Westfall, J.; Coulston, J.W. Long-Term Dynamics of Loblolly Pine Crown Structure and Aboveground Net Primary Production as Affected by Site Quality, Planting Density and Cultural Intensity. For. Ecol. Manag. 2020, 472, 118259. [Google Scholar] [CrossRef]






| Parameters | Clone | Density | Nitrogen | Clone × Density | Clone × Nitrogen | Density × Nitrogen | Clone × Density × Nitrogen | |||||||
|---|---|---|---|---|---|---|---|---|---|---|---|---|---|---|
| F | p | F | p | F | p | F | p | F | p | F | p | F | p | |
| Height | 147.89 | <0.01 | 33.49 | <0.01 | 0.76 | ns | 7.51 | <0.01 | 2.95 | 0.01 | 2.08 | 0.02 | 1.37 | ns |
| DBH | 44.80 | <0.01 | 151.13 | <0.01 | 3.08 | 0.03 | 7.82 | <0.01 | 1.43 | ns | 1.62 | ns | 1.46 | ns |
| Hemicellulose | 6.41 | <0.01 | 2.34 | ns | 0.38 | ns | 1.32 | ns | 0.48 | ns | 0.90 | ns | 1.34 | ns |
| Cellulose | 5.59 | <0.01 | 0.47 | ns | 0.03 | ns | 1.62 | ns | 0.86 | ns | 1.46 | ns | 0.91 | ns |
| Lignin | 4.39 | 0.01 | 0.66 | ns | 0.05 | ns | 2.05 | ns | 0.91 | ns | 1.07 | ns | 0.93 | ns |
| Leaf length | 42.53 | <0.01 | 8.29 | <0.01 | 1.46 | ns | 2.48 | 0.01 | 2.07 | ns | 2.35 | 0.01 | 2.47 | <0.01 |
| Leaf width | 19.30 | <0.01 | 10.01 | <0.01 | 1.83 | ns | 0.50 | ns | 3.65 | <0.01 | 1.77 | ns | 1.92 | <0.01 |
| Leaf mass per area | 35.53 | <0.01 | 35.93 | <0.01 | 5.17 | <0.01 | 1.35 | ns | 2.87 | 0.01 | 3.21 | <0.01 | 2.58 | <0.01 |
| N content | 21.99 | <0.01 | 19.89 | <0.01 | 10.69 | <0.01 | 16.36 | <0.01 | 8.88 | <0.01 | 2.68 | 0.01 | 4.60 | <0.01 |
| Chlorophyll a | 1.86 | ns | 1.58 | ns | 1.70 | ns | 2.21 | 0.03 | 1.98 | ns | 1.81 | ns | 1.21 | ns |
| Chlorophyll b | 10.02 | <0.01 | 12.71 | <0.01 | 1.64 | ns | 8.08 | <0.01 | 7.72 | <0.01 | 4.55 | <0.01 | 4.27 | <0.01 |
| Carotenoids | 18.45 | <0.01 | 4.27 | <0.01 | 1.81 | ns | 5.50 | <0.01 | 2.11 | ns | 2.76 | <0.01 | 3.68 | <0.01 |
| Chlorophyll | 0.94 | ns | 8.03 | <0.01 | 5.89 | <0.01 | 7.11 | <0.01 | 3.56 | <0.01 | 4.37 | <0.01 | 4.58 | <0.01 |
| Soluble sugar | 6.39 | <0.01 | 12.78 | <0.01 | 43.07 | <0.01 | 16.71 | <0.01 | 7.03 | <0.01 | 8.37 | <0.01 | 6.53 | <0.01 |
| Soluble protein | 47.42 | <0.01 | 19.03 | <0.01 | 11.17 | <0.01 | 15.31 | <0.01 | 10.30 | <0.01 | 8.42 | <0.01 | 11.22 | <0.01 |
| Factors | Height Increment (m) | DBH Increment (cm) | Hemicellulose (%) | Cellulose (%) | Lignin (%) |
|---|---|---|---|---|---|
| Clone | |||||
| Xiaohei | 2.34 ± 0.32 c | 2.47 ± 0.64 c | 15.45 ± 1.41 ab | 17.83 ± 2.8 ab | 49.39 ± 4.28 b |
| Xiaohei-14 | 2.43 ± 0.30 b | 2.63 ± 0.67 b | 15.81 ± 1.23 a | 18.85 ± 4.22 a | 51.67 ± 2.60 a |
| Bailin-3 | 2.85 ± 0.31 a | 2.93 ± 0.59 a | 15.08 ± 1.02 b | 16.69 ± 2.28 b | 51.17 ± 3.23 a |
| Planting density | |||||
| D2 | 2.27 ± 0.42 C | 1.91 ± 0.45 D | 15.60 ± 1.02 | 17.67 ± 3.64 | 51.00 ± 3.57 |
| D3 | 2.59 ± 0.39 B | 2.48 ± 0.37 C | 15.22 ± 1.45 | 17.67 ± 2.22 | 50.75 ± 2.83 |
| D4 | 2.54 ± 0.29 B | 2.7 ± 0.44 B | 15.88 ± 1.33 | 17.47 ± 3.41 | 51.13 ± 3.56 |
| D5 | 2.59 ± 0.30 B | 2.87 ± 0.41 B | 15.44 ± 1.34 | 17.92 ± 3.47 | 50.32 ± 3.64 |
| D6 | 2.76 ± 0.32 A | 3.43 ± 0.50 A | 14.99 ± 0.92 | 18.51 ± 3.73 | 50.29 ± 4.23 |
| Nitrogen fertilization | |||||
| N0 | 2.51 ± 0.32 | 2.50 ± 0.64 b | 15.47 ± 1.34 | 17.97 ± 3.19 | 50.71 ± 3.46 |
| N1 | 2.55 ± 0.38 | 2.71 ± 0.67 ab | 15.45 ± 1.58 | 17.95 ± 3.97 | 50.65 ± 4.00 |
| N2 | 2.57 ± 0.44 | 2.79 ± 0.69 a | 15.43 ± 0.96 | 17.39 ± 2.56 | 51.09 ± 2.90 |
| N3 | 2.55 ± 0.39 | 2.72 ± 0.61 ab | 15.36 ± 1.05 | 18.07 ± 3.48 | 50.34 ± 3.92 |
| Factors | Leaf Length (mm) | Leaf Width (mm) | Leaf Mass per Area (g cm−2) | N Content (mg g−1) | Chlorophyll a (mg g−1) | Chlorophyll b (mg g−1) | Carotenoids (mg g−1) | Chlorophyll (mg g−1) | Soluble Sugar (mg g−1) | Soluble Protein (mg g−1) |
|---|---|---|---|---|---|---|---|---|---|---|
| Clone | ||||||||||
| Xiaohei | 65.09 ± 5.11 a | 39.15 ± 2.45 b | 0.16 ± 0.03 a | 8.37 ± 0.53 c | 1.26 ± 0.10 | 0.42 ± 0.04 a | 0.26 ± 0.03 a | 1.67 ± 0.14 | 273.41 ± 19.62 b | 5.54 ± 1.56 b |
| Xiaohei-14 | 65.05 ± 4.46 a | 39.38 ± 3.08 b | 0.16 ± 0.03 a | 8.86 ± 0.72 a | 1.27 ± 0.13 | 0.44 ± 0.10 a | 0.27 ± 0.03 a | 1.71 ± 0.18 | 280.74 ± 25.79 a | 5.79 ± 1.3 b |
| Bailin-3 | 60.10 ± 5.94 b | 41.6 ± 2.67 a | 0.14 ± 0.03 b | 8.60 ± 0.50 b | 1.26 ± 0.14 | 0.40 ± 0.07 b | 0.25 ± 0.03 b | 1.68 ± 0.18 | 278.09 ± 23.76 ab | 6.57 ± 1.92 a |
| Planting density | ||||||||||
| D2 | 61.88 ± 5.12 B | 38.38 ± 2.58 B | 0.13 ± 0.02 B | 8.18 ± 0.56 C | 1.24 ± 0.11 B | 0.40 ± 0.07 B | 0.26 ± 0.03 AB | 1.64 ± 0.16 B | 269.28 ± 15.51 C | 5.75 ± 1.11 B |
| D3 | 61.96 ± 4.27 B | 39.56 ± 2.60 B | 0.14 ± 0.02 B | 8.57 ± 0.60 B | 1.26 ± 0.12 A | 0.41 ± 0.05 B | 0.27 ± 0.03 A | 1.67 ± 0.16 B | 273.95 ± 25.84 BC | 4.97 ± 1.58 C |
| D4 | 64.88 ± 5.90 A | 40.9 ± 2.83 A | 0.17 ± 0.02 A | 8.79 ± 0.53 A | 1.28 ± 0.13 A | 0.45 ± 0.11 AB | 0.26 ± 0.04 AB | 1.73 ± 0.16 AB | 288.58 ± 26.88 A | 6.32 ± 1.62 AB |
| D5 | 65.13 ± 6.24 A | 40.69 ± 2.66 A | 0.15 ± 0.03 A | 8.57 ± 0.66 B | 1.22 ± 0.14 B | 0.40 ± 0.06 B | 0.25 ± 0.03 B | 1.66 ± 0.17 B | 277.54 ± 28.37 BC | 6.12 ± 1.81 AB |
| D6 | 62.61 ± 6.03 AB | 40.85 ± 3.19 A | 0.17 ± 0.03 A | 8.88 ± 0.44 A | 1.31 ± 0.11 A | 0.45 ± 0.05 A | 0.26 ± 0.03 AB | 1.76 ± 0.16 A | 277.18 ± 32.87 B | 6.70 ± 1.70 A |
| Nitrogen fertilization | ||||||||||
| N0 | 62.34 ± 5.30 | 39.58 ± 2.42 | 0.15 ± 0.03 b | 8.59 ± 0.7 ab | 1.25 ± 0.11 | 0.41 ± 0.08 | 0.26 ± 0.03 | 1.66 ± 0.16 | 263.18 ± 26.53 c | 5.55 ± 1.32 c |
| N1 | 63.61 ± 5.22 | 39.73 ± 2.98 | 0.16 ± 0.03 ab | 8.62 ± 0.6 ab | 1.26 ± 0.13 | 0.42 ± 0.09 | 0.27 ± 0.03 | 1.69 ± 0.18 | 279.24 ± 26.51 b | 5.87 ± 2.12 b |
| N2 | 62.70 ± 6.67 | 40.37 ± 3.29 | 0.15 ± 0.03 ab | 8.68 ± 0.62 a | 1.25 ± 0.14 | 0.42 ± 0.07 | 0.26 ± 0.03 | 1.69 ± 0.16 | 279.48 ± 24.70 b | 6.32 ± 1.53 a |
| N3 | 64.62 ± 5.53 | 40.68 ± 2.92 | 0.16 ± 0.03 a | 8.48 ± 0.52 b | 1.28 ± 0.12 | 0.43 ± 0.05 | 0.26 ± 0.03 | 1.71 ± 0.17 | 287.31 ± 25.26 a | 6.19 ± 1.56 ab |
Disclaimer/Publisher’s Note: The statements, opinions and data contained in all publications are solely those of the individual author(s) and contributor(s) and not of MDPI and/or the editor(s). MDPI and/or the editor(s) disclaim responsibility for any injury to people or property resulting from any ideas, methods, instructions or products referred to in the content. |
© 2024 by the authors. Licensee MDPI, Basel, Switzerland. This article is an open access article distributed under the terms and conditions of the Creative Commons Attribution (CC BY) license (https://creativecommons.org/licenses/by/4.0/).
Share and Cite
Wang, H.; Jiang, L.; Zhang, F.; Zhao, X. Effects of Planting Density and Nitrogen Fertilization on Growth Traits and Leaf and Wood Characteristics of Three Poplar Clones. Sustainability 2024, 16, 8561. https://doi.org/10.3390/su16198561
Wang H, Jiang L, Zhang F, Zhao X. Effects of Planting Density and Nitrogen Fertilization on Growth Traits and Leaf and Wood Characteristics of Three Poplar Clones. Sustainability. 2024; 16(19):8561. https://doi.org/10.3390/su16198561
Chicago/Turabian StyleWang, Hongxing, Luping Jiang, Feifan Zhang, and Xiyang Zhao. 2024. "Effects of Planting Density and Nitrogen Fertilization on Growth Traits and Leaf and Wood Characteristics of Three Poplar Clones" Sustainability 16, no. 19: 8561. https://doi.org/10.3390/su16198561
APA StyleWang, H., Jiang, L., Zhang, F., & Zhao, X. (2024). Effects of Planting Density and Nitrogen Fertilization on Growth Traits and Leaf and Wood Characteristics of Three Poplar Clones. Sustainability, 16(19), 8561. https://doi.org/10.3390/su16198561

