Next Article in Journal
Spatial Interaction Spillover Effect of Tourism Eco-Efficiency and Economic Development
Next Article in Special Issue
Leading the Transition Towards Sustainable Affordable Public Housing (SAPH) in Small Island Developing States (SIDS)
Previous Article in Journal
Enhancing Emotional Stability and Mental Comfort in Older Adults through a Nostalgic VR Game: A Technology Acceptance Model Analysis
 
 
Font Type:
Arial Georgia Verdana
Font Size:
Aa Aa Aa
Line Spacing:
Column Width:
Background:
Article

Exploring Stakeholders in Elderly Community Retrofit Projects: A Tripartite Evolutionary Game Analysis

by
Li Guo
1,2,
Ren-Jye Dzeng
1,
Shuya Hao
3,
Chaojie Zhang
2,
Shuang Zhang
4 and
Liyaning Tang
5,*
1
Department of Civil Engineering, National Yang Ming Chiao Tung University, Hsinchu City 30010, Taiwan
2
School of Urban Economics and Management, Beijing University of Civil Engineering and Architecture, Beijing 100044, China
3
School of Management Science and Engineering, Central University of Finance and Economics, Beijing 100081, China
4
School of Architecture and Built Environment, University of Newcastle, Callaghan, NSW 2308, Australia
5
School of Architecture and Built Environment, Centre for Construction Safety and Well-Being, University of Newcastle, Callaghan, NSW 2308, Australia
*
Author to whom correspondence should be addressed.
Sustainability 2024, 16(18), 8016; https://doi.org/10.3390/su16188016
Submission received: 28 June 2024 / Revised: 11 September 2024 / Accepted: 11 September 2024 / Published: 13 September 2024

Abstract

Renovating aging housing is a critical project at the grassroots of social governance and a significant aspect of public welfare. However, renovation processes often encounter difficulties due to conflicts among muti-level stakeholders, influenced by multiple factors. This paper investigates the stakeholders involved in Elderly Community Retrofit Projects (ECRPs), categorizing them into three primary groups: government organizations, renovation enterprises, and elderly families. Through the study of evolutionary game models, it was found that bounded rational actors continually adjust their optimal strategies in response to environmental changes. The government occupies a central role among stakeholders involved in ECRP. During renovation processes, governments and enterprises should provide elderly households with material or other welfare subsidies as much as possible to promote their active cooperation and participation. The integrity of enterprises is closely tied to the strength of governmental enforcement measures; hence, governments should establish a unified standard system, clarify regulatory content, and foster the orderly development of ECRPs.

1. Introduction

China is undergoing one of the most rapid increases in its aging population globally. This substantial demographic transition has propelled the nation into an “Aging Society”, defined by a minimum of 7% of the population being 65 years or older [1]. As of the end of 2023, data from the National Bureau of Statistics of China indicate that the number of older adults, aged 60 and above, reached 290 million, constituting 21.1% of the national population [2]. In response to its rapidly aging population, Shanghai pioneered the “9073” age-friendly city initiative and established an integrated elderly care model during the 11th Five-Year Plan (2006–2010). This model proposes that 90% of the elderly receive care at home with family support; in total, 7% access community-based elderly care services, including day care [3]. From 2019 to 2023, China undertook significant urban revitalization efforts, renovating 220,000 old urban residential areas and adding 68,000 community service facilities [4]. However, community-based aging adaptation in China remains in the experimental exploration stage. The beneficiaries primarily consist of elderly individuals from particularly disadvantaged households, highlighting a significant gap compared to achieving widespread and inclusive implementation. There is an urgent need to find solutions to bridge this divide.
Elderly community retrofit projects (ECRPs) refer to the comprehensive renovation of living environments frequented by elderly individuals, including the internal spaces of residential homes, connections between indoor and outdoor spaces, outdoor traffic and activity areas, etc., which are aimed to become barrier-free, environmentally optimized, and well-serviced [5]. Many studies focus on ensuring accessible transportation routes, diversifying functional activity spaces, and enhancing community elderly care service systems [6,7,8,9]. For instance, micro-renovations of public spaces in the Jing’an Temple Street community in Shanghai, China, highlight the conversion of unused housing resources into elderly care facilities. Germany has established a nursing care insurance fund to finance necessary projects like stair lifts, fixed ramps, and improvements to bathrooms. Scholars also stress the necessity of multi-stakeholder cooperation to overcome development bottlenecks in community-based aging adaptation [10,11]. Whether they involve renovating the interiors of elderly households or transforming public spaces for community use, these projects involve multiple stakeholders with interests in renovation costs, content, and post-renovation operational strategies that need to be unified before commencing renovations [10].
An ECRP is a comprehensive effort involving multiple stakeholders, including all levels of government organizations, community governance, relevant managers, renovation enterprises, and elderly families. Each stakeholder adopts specific cooperation methods and strategies tailored to the unique requirements of the ECRP and the needs of the elderly. Effective coordination among all stakeholders is crucial to achieve the goals of the ECRPs. Balancing the demands of all involved parties is a key factor in the success of these renovation projects [12]. Researchers have put the concept of multi-stakeholder cooperation into practice, particularly by advocating for the importance of government, market, and third-sector actors in exploring pathways for enhancing the efficiency of ECRP supply [5]. Lui et al. [13] emphasize the necessity of integrating the “age-friendly” conceptual model with economic and social forces that shape urban environments. Huang and Lin [14] analyze cooperation and game behaviors among stakeholders in specific fields, and underscore the importance of regulations in fostering multi-stakeholder cooperation. Some scholars empirically analyzed the issues and influencing factors surrounding multi-stakeholder cooperation, pointing out areas needing further improvement, such as alignment of supply and demand, efficiency, collaboration, and division of responsibilities [15].
As community housing retrofitting for the elderly deepens and the number of such projects increases, stakeholders in age-friendly ECRPs continuously change and adjust their strategic choices within these projects. This means that the strategies of stakeholders are dynamic, not static. This adaptive strategic behavior aligns with the characteristics of evolutionary game theory—in which participants possess bounded rationality [14]. In the initial stages, stakeholders may not select the optimal strategy, but they will continuously adjust their strategies throughout the game to optimize outcomes. Based on this analysis and research on stakeholder conflicts in other fields, this paper employs evolutionary game theory to investigate conflict-resolution strategies among multiple stakeholders in ECRPs. Therefore, this research aims to identify key stakeholders and develop strategies to help address conflicts and achieve consensus among muti-level stakeholders.

2. Background

2.1. Research on Adapting Existing Residential Areas for ECRPs

The concept of “elderly housing” first emerged in Scandinavia in the early 1970s. The Vienna International Plan of Action on Ageing (1982) recognized the special needs of the elderly as a humanitarian concern. Within the plan, the social and physical environments where the elderly live was prioritized second among seven specific needs, highlighting the critical importance of and demand for suitable residential environments. Rosenbloom [16] argued for the provision of compact service facilities, nearby open spaces, and systematic community transportation structures. The U.S. “Age-Friendly Community Assessment and Retrofitting Guidelines” advocates for creating mutual assistance service platforms within communities, sharing public resources, and proposing retrofit recommendations for transportation, medical facilities, shopping environments, and cultural activities [6]. Singapore’s Universal Design Guidelines integrate diverse elderly care requirements into designs tailored for various populations and life stages. These guidelines also facilitate the creation of multiple financing and construction channels, promoting the broad implementation of ECRPs.
Many old residential areas in China still do not meet the aging-friendly and comfort requirements for elderly care. In May 2015, data from the Fourth Sampling Survey on the Living Conditions of Urban and Rural Older People in China, conducted by China’s Committee on Aging, showed that 58.7% of urban and rural elderly residents believe that their housing is not suitable for aging, 16.1% had experienced falls, and fewer than 50% were satisfied with their housing conditions. In various cities across China, efforts have been made to address common issues in aging communities, such as uneven ground surfaces, insufficient fall-prevention measures, incomplete lighting equipment, and lack of emergency call systems, through ECRPs [17,18]. For instance, Fangzhuang Street in Beijing has initiated over ten kitchen retrofitting projects for elderly accessibility and transformed a disused cinema into a senior community center. Hangzhou’s Harmonious Community has constructed segregated traffic lanes for pedestrians and vehicles, alongside establishing senior service centers, recreational facilities, and green parks. Meanwhile, Shanghai’s Tongji New Village focuses on creating elderly-friendly environments by emphasizing pathways, environmental repairs, and elderly care services [19]. According to a 2023 survey by Beijing Municipal Bureau of Statistics on ECRP households [20], satisfaction rates among elderly recipients of physical environment improvements, health management, and caregiving services provided by these communities exceed 90%. However, challenges remain, including the urgent need to strengthen professional service personnel, update facilities in certain community recreational venues, and improve the coverage of emergency assistance equipment.
The market potential for ECRPs in China is substantial. Research by the Ministry of Housing and Urban–Rural Development shows that China has 40 billion square meters of old buildings, with a direct market share of RMB 3 trillion for ECRPs. According to the statistics of Zhiyan Zhan Industrial Research Institute, the market size of China’s aging transformation industry will be 416,246 billion yuan in 2023 [21]. Due to strong advocacy for the home-based elderly care model in China, which promotes the integration of elderly individuals within their homes and communities, there is a heightened sensitivity to modifications in the built environment. Consequently, Chinese scholars primarily focus on creating aging-friendly environments at home.

2.2. Stakeholder Participation in ECRPs

Most of the international models of ECRPs have been progressively developed in countries such as the USA, Germany, France, and Japan, where social sectors actively participate in promoting these initiatives. These countries have conducted extensive research and established distinct renovation models, comprehensive support systems, and specific management organizations alongside clear evaluation standards. For example, Sweden has developed a complete service system for ECRPs, encompassing policy support, service request mechanisms for those in need, and the implementation, supervision, and evaluation of renovations, as well as a range of supporting service facilities [22,23]. Another illustration is the adoption of ECRPs such as “Social Architecture” in the USA, the “Machizukuri Movement” in Japan, and “Community Building” in Taiwan, China [22]. Comprehensive home environment assessments and renovation plans have also been implemented, including the Comprehensive Assessment System for Built Environment Efficiency (CASPAR), Housing Assessment Profile (HAP), Safety Assessment for Enabling Rehabilitation (SAFER), and Home Environment Promotion Assessment (HE) [23]. For further details, see Table 1.
Compared to developed countries, China, currently in a developmental phase and rapidly transitioning into an era of significant aging, has seen scholarly research in the field of ECRP on aspects such as market size, influencing factors, renovation content, models, and landscape design [24,25]. However, there is a notable lack of participation in ECRPs due to conflicts of interest among stakeholders. Some scholars have investigated government involvement and identified shortcomings in top-level design, policy support, and advancement mechanisms, along with insufficient government financial contributions [26,27,28]. Moreover, research on the participation of elderly families in aging-in-place initiatives has shown that most residents have a limited understanding of the concept, leading to a low willingness to participate in ECRPs.

2.3. Game Theory

Many scholars in the field of architecture have acknowledged the critical role of mutual collaboration among stakeholders. For instance, Huang and Lin [14] examined the coordination mechanisms among stakeholders in the energy-saving renovation of existing buildings. However, Wang et al. [29] observed that ECRP is still nascent in China, with the level of stakeholder collaboration significantly trailing behind that of developed countries. Guo et al. [5] identified that the most active participants in the ECRP process include government organizations, elderly families, community committees, property service companies, and renovation enterprises. They posited that the successful implementation of ECRPs is feasible with government organizations that are trusted to provide policies and coordination, involved renovation enterprises that realize profits, and elderly families that engage actively. Accordingly, this study draws on extensive research on stakeholder conflicts, such as Yu et al.’s [26] examination of interest conflicts in rural area renovations, and Zhang et al.’s [30] analysis of dynamic interactions among government, businesses, and the public in environmental governance within a non-cooperative three-party evolutionary game framework. The objective of this study is to explore conflicts of interest in ECRPs and establish a collaborative mechanism that effectively mitigates these conflicts.
In summary, scholars from developed countries have conducted comprehensive research on sustainable and green ECRPs, thereby establishing robust evaluation systems. In contrast, research by Chinese scholars has mainly focused on the collaborative mechanisms among stakeholders involved in ECRPs [29]. However, the implementation of ECRPs still faces challenges such as the lack of unified renovation standards, the limited willingness among elderly families to engage in such renovations, and difficulties in collaboration among stakeholders. Most studies on stakeholders utilize interviews and questionnaire-based quantitative analyses to develop data models. Although methods from game theory and social network analysis (SNA) are extensively applied, the predominant data models, game approaches, and social network analyses are static [31,32]. ECRPs not only require consideration during and after renovations, but also the addressing of stakeholders’ multiple strategies in response to changing circumstances [16]. As stakeholders often need to make decisions outside their areas of expertise, this paper proposes to start with the assumption of bounded rationality in decision-making by stakeholders in ECRPs. This study aims to construct a dynamic evolutionary game model for stakeholders and analyze the stable states of stakeholder decision-making, as well as their corresponding strategies, thus providing theoretical support for the effective implementation of ECRPs.

3. Stakeholder Analysis and Model Building Based on the Whole Process of ECRPs

3.1. Definition of Stakeholders and Identification of Their Needs

Project management across the entire lifecycle of built assets involves a detailed examination of textual materials, which reveals that the implementation process for ECRPs can be segmented into three key stages: before ECRP, during ECRP, and after ECRP. With reference to a series of studies and cases [3,13,20,33], we analyzed the varying needs of stakeholders based on their different levels. For details on how stakeholder identifications were collected and how comprehensive coverage was ensured, refer to Figure 1.
It is noteworthy that the retrofit process may exhibit regional variations, attributable to cultural distinctions. Figure 1 delineates the three phases of ECRPs, highlighting the principal stakeholders and their respective roles, as well as detailing the collaborative efforts and tasks undertaken by different stakeholders throughout the ECRP stages. A variety of stakeholders have the potential to shape ECRPs in pursuit of fulfilling their specific needs. The relevance of stakeholder theory within the realm of construction project management is on the rise. This paper delineates stakeholders as entities capable of influencing both the design and the execution of a project, who stand to either directly gain from or be detrimentally impacted by the ECRP.
Figure 1 clearly illustrates that the stakeholders in ECRPs encompass a wide array of entities, including various levels of government organizations, sub-district offices, neighborhood committees, elderly families, renovation enterprises, investment enterprise, financial institutions, and non-profit organization, among others. Addressing the interests of all these stakeholders and integrating their interrelations into a coherent research framework presents considerable challenges. To streamline the research process, this paper narrows its focus to the three most pivotal stakeholder groups: government organizations, renovation enterprises, and elderly families [5]. It delves into their strategic choices and offers scientifically grounded recommendations for the effective implementation of ECRPs.

3.1.1. Government Organizations

Initially, as the progenitor of the ECRP, the government plays a pivotal role in the project’s inception stage. Due to political interests, the government is likely to act as a planner in the ECRP. Concurrently, in terms of economic benefits, public health, comfort, and convenience, the government may also undertake the role of supervisor in the ECRP. Hence, the term “government organizations”, as utilized in this paper, collectively refers to all entities equipped with the planning and supervisory functions over an ECRP. This includes central and local governments, as well as sub-district offices.
From a government planning perspective, government organizations are central, wielding significant influence. In contrast to other stakeholders, these organizations prioritize social benefits over economic gains. Furthermore, governmental involvement in ECRPs enhances their reputation, fosters harmonious community development, and addresses the social and managerial challenges associated with an aging population. Additionally, Huang and Lin [14] suggested that ECRPs necessitate support from government organizations in terms of financial backing and social capital, which are chiefly manifested through the allocation of human resources and investments in subsidies.

3.1.2. Renovation Enterprises

Renovation enterprises, which are pivotal in executing ECRPs, primarily benefit from economic gains. Should their economic interests be compromised during the development process, these enterprises might disregard the needs of elderly families. Such oversight can strain the relationship between these entities and the government, potentially obstructing collaboration and diminishing the efficacy of ECRPs. As investors and builders, renovation enterprises undertake retrofitting in existing dwellings. This paper defines renovation enterprises as all entities seeking economic advantages from ECRPs, including construction units, investment firms, and financial institutions, with construction units being the most directly engaged in ECRPs.
In the context of ECRPs, the primary motive for renovation enterprises is the pursuit of economic benefit. On one hand, by offering aging retrofitting services, these enterprises can secure direct economic profits. Concurrently, the provision of tax incentives and other policy benefits by local governments can further augment their economic gains. On the other hand, the enterprises’ diligent involvement in delivering high-quality aging retrofitting services to community residents not only cultivates a positive corporate image but also strengthens residents’ trust and the company’s reputation. This, in turn, generates indirect economic advantages, such as enhanced brand visibility.
Naturally, the participation of renovation enterprises in ECRPs involves the allocation of resources and the assumption of risks, encompassing financial, labor, and temporal investments. Concurrently, any dishonest behavior by these enterprises can result in a loss of credibility and financial sanctions.

3.1.3. Elderly Families

Finally, the elderly families are the most highlighted and important stakeholders in ECRPs, as they are the consumers and the end users of these ECRPs. As the elderly experience a gradual decline in physical capabilities, families with elderly members increasingly require enhanced living facilities and a more comfortable environment. Retrofitting age-appropriate facilities serves as a crucial measure to effectively prevent or address various safety issues that elderly individuals may encounter while aging at home, thus representing their primary need.
It is essential to acknowledge that ECRPs necessitate economic investments [34]. Operating under economic self-interest, families with elderly members desire to benefit from aging-friendly renovation services with minimal or no financial outlay. They must carefully evaluate the economic costs against the anticipated benefits to health and well-being. Considerations such as the accuracy of pre-renovation information, the safety of household possessions during renovation, and the durability and reliability of the upgraded installations are critical. These considerations form the basis of decision-making for families contemplating aging-friendly renovations, underscoring the importance of a careful and informed approach to such projects.

3.2. Multi-Level-Stakeholder Strategy

As mentioned above, the involvement of government, businesses, and residents permeates the entire process of aging-friendly retrofitting, forming a complete chain of interest relationships. In real life, government entities, social capital, and community residents act as bounded rational agents. Due to the complexity and uncertainty of the market, actors cannot obtain complete information initially, making it difficult to grasp the optimal policy intensity and combination [15]. Therefore, adjustments must continuously be made during the game process based on feedback from the other two parties’ strategies to make appropriate decisions and achieve the optimal stable equilibrium state.
Game theory is used to address the social dilemma caused by conflicting choices between individual and collective interests [35]. In classic game theory, all parties are fully rational and adjust their strategies based on the rationality of others to maximize their own benefits. In evolutionary game theory, however, players have bounded rationality and make the most favorable choices in situations with incomplete information. This game model has been applied in the research field of community redevelopment [30,36], where stakeholders must continuously observe and learn to find the optimal strategy that maximizes their own interests, ultimately achieving a stable equilibrium state for the entire system [29]. Thus, the government, social capital, and community residents exhibit characteristics akin to those in evolutionary game theory.
In conclusion, evolutionary game theory can be applied to study the factors influencing the operation of system mechanisms and reflect their formation process, making it suitable for analyzing the multi-party collaborative mechanisms in aging-friendly retrofitting.

3.2.1. Government Organizations Strategy

Government organizations function as both planners and supervisors in the context of ECRPs, poised to accrue societal benefits from the execution of high-quality retrofit projects. When determining strategic approaches, government bodies might adopt a laissez-faire attitude, permitting market dynamics to govern the retrofitting process with minimal oversight. Conversely, the government has the option to engage deeply, actively directing and rigorously monitoring retrofitting activities, as well as working in conjunction with various stakeholders to ascertain whether ECRPs adhere to high-quality benchmarks. Consequently, government organizations have two pure strategies: active supervision, symbolized as G 1 , which is enacted with certainty, and represented by a probability of α ; and, in contrast, the strategy of abstaining from the active supervision of ECRPs, indicated as G 2 , which occurs with a probability of 1 α , indicating a complete lack of supervision. Thus, the strategic set is { G 1 , G 2 } .

3.2.2. Renovation Enterprises Strategy

Renovation enterprises are at the frontline of executing ECRPs, standing as the primary economic beneficiaries of these initiatives. Driven by profit motives, these companies have two pure strategies: to operate with integrity, assuming high incremental costs with the expectation of achieving substantial long-term economic gains, denoted as strategy E 1 , with a probability of β ; or conducting their business without integrity, reducing expenses but risking their reputation and potentially impacting their long-term profits, indicated as strategy E 2 , with a probability of 1 β . Thus, the strategy set is { E 1 , E 2 } .

3.2.3. Elderly Families Strategy

Elderly families serve not only as the end users of ECRP, but also as contributors to the costs associated with these retrofits. These stakeholders, residing within or proximate to the project areas, exhibit heightened concern for their daily living conditions due to the retrofitting of communal spaces and the disparate degrees of household aging. Consequently, disparities in the willingness to engage with and financially support ECRPs emerge, reflecting diverse demands and payment capacities among different elderly families. There are two pure strategies for elderly families: opting for engagement in ECRPs, denoted as strategy O 1 , with a probability of γ ; or choosing not to engage, indicated as strategy O 2 , with a probability of 1 γ . Consequently, the strategic choices available to them are represented by the set { O 1 , O 2 } .

3.3. Profit and Loss Analysis of Stakeholders

As ECRPs evolve, government organizations, renovation enterprises, and elderly families can compare payoffs and adjust their strategies over time to respond to each other’s dynamic strategies. When the government organizations, renovation enterprises and elderly families choose different strategies, they will obtain different benefits or losses; this is called the profit and loss value. According to the characteristics of muti-level stakeholders, the following assumptions were put forward:
Assumption 1.
ECRPs can enhance public awareness and increase the good reputation of government organizations, and the benefits are indicated as R G . The economic benefits (such as financial subsidies and tax breaks) that ECRPs offer to renovation enterprises can be regarded as R E . ECRPs can deliver benefits (such as low maintenance costs brought by long-term durability advantages) to elderly families, with the benefits indicated by R O .
Assumption 2.
Renovation enterprises can gain greater economic benefits through unethical practices, achieving profits that are multiple times greater than those obtained through ethical operations m times (m > 1). However, should such practices be identified through active governmental oversight, renovation enterprises will face penalties, indicated by C E G .
Assumption 3.
Government organizations are responsible for the supervision and management of renovation enterprises. If the government decides to implement active supervision, it will incur expenses related to governance costs, such as workforce and material costs, with the total cost of this regulation being denoted as C G . Assuming that renovation enterprises develop ECRPs with integrity, the additional costs can be regarded as C E . Assuming that elderly families participate in ECRPs, the expenditure of time and energy can be regarded as C O .
Assumption 4.
If the government organization is negligent in supervision, the public reputation and credibility of the government will be damaged when the renovation enterprises operate without integrity ( C G E ) . If elderly families do not engage in the ECRP, the government organization should spend more time and energy to engage with elderly family members. The government’s extra costs in this case are represented by C G O , and the renovation enterprises’ extra costs for developing ECPRs are denoted by C E O .
Assumption 5.
If renovation enterprises develop ECRPs with integrity, they can enhance their long-term brand value and corporate image. The additional benefits renovation enterprises gain from constructing ECRPs can be regarded as R E E , and the additional benefits for elderly families are represented by R O E .
The profits and losses resulting from the diverse strategies selected by government organizations, renovation enterprises, and elderly families are delineated in Table 2, below.

3.4. The Payoffs of Muti-Level Stakeholders and Model Building

Based on the profit and loss analysis of the above muti-level stakeholders under their respective strategy choices, the tripartite game payment matrix in Table 3 is constructed.

4. Equilibrium Points and Analysis of Tripartite Evolutionary Game Model

In evolutionary game theory, when participants observe that other individuals who adopt different strategies can achieve greater profits, they tend to change their own original choices [37]. This process ultimately eliminates disruptive mutations and returns the system to its original equilibrium state, and it is known as an evolutionary stable strategy (ESS). To depict how agents choose evolutionarily stable strategies, dynamic analysis often involves introducing replicator dynamics equations to analyze the adjustment mechanisms of strategies among all parties.

4.1. Replicator Dynamic Equation of Government Organization

When the government organization chooses the active supervision of an ECRP, we calculate the expected payoffs ( E G 1 ) of the government organization as follows:
E G 1 = γ β R G C G + 1 β R G C G C G E + C E G + 1 γ β R G C G C G O + 1 β R G C G C G E C G O + C E G = R G C G 1 β C G E 1 γ C G O + 1 β C E G
When there is a lack of government organization oversight, the expected payoffs ( E G 2 ) of the government organization are represented aa follows:
E G 2 = γ β R G + 1 β R G C G E + 1 γ β R G C G O + 1 β R G C G E C G O = R G 1 β C G E 1 γ C G O
According to Equations (1) and (2), we obtained the expected payoffs of the government organization, as follows:
E G ¯ = α E G 1 + 1 α E G 2
Finally, the replicator dynamic equation for the government organizations is as follows:
f α = d α d t = α E G 1 E G ¯ = α 1 α 1 β C E G C G

4.2. Replicator Dynamic Equation of Renovation Enterprises

When renovation enterprises develop ERCPs with integrity, the expected payoffs ( E E 1 ) of the enterprises are represented as follows:
E E 1 = γ α R E + R E E C E + 1 α R E + R E E C E + 1 γ α R E + R E E C E C E O + 1 α R E + R E E C E C E O = R E + R E E C E 1 γ C E O
When renovation enterprises develop ERCPs without integrity, the expected payoffs of the renovation enterprises are represented by ( E E 2 ):
E E 2 = γ α m R E C E G + 1 α m R E + 1 γ α m R E C E G C E O + 1 α m R E C E O = m R E α C E G + 1 γ C E O
Consequently, the expected payoffs of the renovation enterprise are as follows:
E E ¯ = β E E 1 + 1 β E E 2
The replicator dynamic equation of the renovation enterprise can be determined as follows:
f β = d β d t = β E E 1 E E ¯ = β 1 β 1 m R E + R E E C E α C E G

4.3. Replicator Dynamic Equation of Elderly Families

When an elderly family opts for engagement in an ECRP, the expected payoffs ( E O 1 ) for the elderly family are represented as follows:
E O 1 = β α p R O + R O E n C O + 1 α p R O + R O E C O + 1 β α p R O n C O + 1 α p R O C O = p R O + β R O E + α 1 α n C O
The expected payoffs ( E O 2 ) for elderly families when choosing not to engage in the ECRP are represented by
E O 2 = β α R O + R O E + 1 α R O + R O E + 1 β α R O + 1 α R O = R O + β R O E
Consequently, the expected payoffs for the elderly families are represented by
E O ¯ = γ E O 1 + 1 γ E O 2
The replicator dynamic equation of elderly families is as follows:
f γ = d γ d t = β E O 1 E O ¯ = γ 1 γ p 1 R O + α 1 α n C O

4.4. Eigenvalues and Stability Conditions of Each Equilibrium Point

According to Friedman [35], the asymptotic stability of these equilibrium points is analyzed by examining the eigenvalues of the system’s Jacobian matrix. This system is described by a set of replicator dynamic equations representing muti-level stakeholders dynamics. Therefore, the Jacobian matrix for ECRP can be obtained by taking partial derivatives of the three replicator dynamic equations with respect to the variables α ,   β ,   γ . The tripartite evolutionary game model’s Jacobian matrix was described as follows:
J = 1 2 α 1 β C E G C G α 1 α C G C E G 0 β 1 β C E G 1 2 β 1 m R E + R E E C E α C E G 0 γ 1 γ 1 n C O 0 1 2 γ [ p 1 R O + α 1 α n C O
When f α = 0 ,   f β = 0 ,   f γ = 0 , eight pure-strategy equilibrium points of the system can be determined as (0, 0, 0), (0, 0, 1) (0, 1, 0), (0, 1, 1), (1, 0, 0), (1, 0, 1), (1, 1, 0), (1, 1, 0), (1, 1, 1). According to the Lyapunov stability theory, criteria based on the Jacobian matrix are employed to ascertain whether a Nash equilibrium point constitutes an ESS [37,38]. (1) If all the eigenvalues are negative, the equilibrium point qualifies as an ESS. (2) If all the eigenvalues are positive, the equilibrium point is unstable. (3) When both positive and negative eigenvalues exist, the equilibrium point is a saddle point and remains unstable. Table 4 presents the eigenvalues and stability conditions for each equilibrium point.
Next, the stability conditions in the Table 3 were denoted as follows: C EG C G < 0 was represented by①, 1 m R E + R EE C E < 0 was represented by ②, p 1 R O C O < 0 was represented by ③, p 1 R O nC O < 0   was represented by ④, and 1 m R E + R EE C E C EG < 0 was represented by ⑤.
This indicates that if condition ④ is met, then condition ③ is necessarily satisfied, and if condition ② is met, then condition ⑤ is necessarily satisfied. The discussion of stable equilibrium points under other possible scenarios is presented in Table 5 below. According to the industry life-cycle theory, the stability conditions will be further analyzed from the perspective of ECRPs. This researchers selected the ESSes corresponding to the six scenarios for a detailed analysis.
In Scenario 1, if inequations ①, ②, and ③ are satisfied simultaneously, there exists a stable equilibrium point as E 1 0 ,   0 ,   0 . That is, the punishment ( C EG ) imposed on renovation enterprises for operating without integrity are insufficient to offset the government’s efforts ( C G ) to retrofit aging buildings. Consequently, this inadequacy in punitive measures may lead to a governmental decision not to actively supervise an ECRP. The long-term benefits accrued from corporate integrity in the development of ECRPs ( R EE ) are diminished by the additional income m 1 R E derived from its dishonest operations, and they are further reduced by the losses ( C EO ) due to the non-cooperation of elderly families, making them insufficient to cover the expenses ( C E ) associated with its ethical operations. Consequently, the renovation enterprise may cease to operate with integrity. The elderly families will evaluate the additional benefit, denoted as p 1 R O , gained from actively participating in the ECRP. If the benefit is not enough to offset the costs of time and energy ( C O ) and there is no active supervision from the government organization, their decision-making will likely lead to opting for non-participation in the ECRP. That is, the ESS of the government, the enterprises, and the elderly families is (without active supervision, without integrity, and without engagement in ECRP).
Scenario 2: If inequations ① and ② are satisfied, but ③ is not, the stable equilibrium point is E 2 0 ,   0 ,   1 . This satisfies the first two conditions of Scenario 1. Moreover, if the elderly families engage in ECRPs, the additional benefits p 1 R O exceed the costs of time and energy ( C O ), and even without active supervision by the government, their decision-making will likely lead to opting for participation in the ECRP.
When the government is aware that elderly families will actively participate in ECRPs, government organizations may choose not to actively supervise the process. In this scenario, the enterprise income meets condition ②. Therefore, the ESS of the government, the enterprises, and the elderly families is (without active supervision, without integrity, and engagement in ECRP).
Scenario 3: If condition ② is not met, but condition ③ is, and if, at this time, condition ⑤ is also not satisfied, the stable equilibrium point is E 3 0 ,   1 ,   0 .That is, the long-term benefits ( R EE ) obtained form the renovation enterprises operating with integrity minus the additional benefits from operating without integrity m 1 R E are sufficient to cover the costs of operating with integrity ( C E ) . In this case, the enterprise will choose to operate with integrity in ECRPs. Since the elderly families’ expected payoffs still meet condition ③, the ESS of the government, the enterprises, and the elderly families is (without active supervision, integrity operation, and without engagement in ECRP).
Scenario 4: If inequations ② and ③ are not satisfied, the stable equilibrium point is E 4 0 ,   1 ,   1 .That is, if the enterprise income does not meet condition ②, it will choose to operate with integrity. If the elderly families’ expected payoffs do not meet condition ③, the elderly families will choose active participation in the ECRP. Therefore, the ESS of the government, the enterprises, and the elderly families is (without active supervision, integrity operation, and engagement in ECRP).
Scenario 5: If inequation ① is not satisfied, yet inequalities ④ and ⑤ are, and if at this time, condition ③ is also satisfied, and if condition ② is not satisfied, the stable equilibrium point is E 5 1 ,   0 ,   0 . That is, the punishment ( C EG ) imposed on renovation enterprises for dishonest operations are sufficient to offset the government’s efforts ( C G ) to retrofit aging buildings. The long-term benefits ( R EE ) obtained by the corporate integrity in the ECRP are outweighed by the additional income [ 1 m R E ] derived from the enterprise’s dishonest operation. The shortfall in income is not enough to cover the cost of ethical operations C E . Consequently, the renovation enterprise will opt to act without integrity. Even under the active supervision of the government organization, the elderly families will evaluate the additional benefit, denoted as p 1 R O , of participating in the ECRP. If the benefit of this participation is not enough to offset the cost of time and energy ( nC O ), then the elderly families will probably opt for non-participation in the ECRP. Therefore, the ESS of the government, the enterprises, and the elderly families is active supervision, without integrity, and without engagement in the ECRP. If ② is satisfied, there will be two stable equilibrium points: E 3 0 ,   1 ,   0 and E 5 1 ,   0 ,   0 .
Scenario 6: If ① and ④ are not satisfied, but ⑤ is satisfied, and if ② is not satisfied, the stable equilibrium point is E 6 1 ,   0 ,   1 . This implies that government organizations can offset the efforts expended in active supervision C G , and elderly families can receive funds and inclusive subsidies to cover their time and costs while participating in the ECRP, under the active supervision of the government nC O . Consequently, both the government and the elderly families will choose to actively participate in the ECRP to enhance the effectiveness of the retrofitting process. Since the enterprise may receive higher returns through dishonest operations, its evolutionary strategy may persist in favoring operating without integrity in the ECRP, even in the face of government penalties. Therefore, the ESS of the government, the enterprises, and the elderly families is (active supervision, without integrity, and engagement in ECRP). If ② is satisfied, there will be two stable equilibrium points: E 4 0 ,   1 ,   1 and E 6 1 ,   0 ,   1 .

5. Numerical Simulations

To intuitively examine the dynamic behavioral evolution of multi-level stakeholders at each stage of the ECRP, the six scenarios in the tripartite evolutionary game model were simulated and analyzed using MATLAB R2023a software. The following are the simulation results and analysis.
The data assumptions in Section 5 were for more intuitive observation results and a verification of a tripartite evolutionary game model. The simulations also provided a reference for the efforts among government organizations, renovation enterprises, and elderly families in aging housing renovation. The researchers tested the robustness of the model for changes in specific data. The main conclusions of the model remained stable with different data, indicating that our assumptions were highly robust.

5.1. Simulation Results and Analysis of Scenario 1

The parameter values for scenario 1 in the evolutionary game model were as follows: C G = 200 ;   C EG = 50 ,   100 ,   150 ;   m = 1.2 ;   R E = 200 ;   R EE = 100 ;   C E = 100 ;   p = 1.2 ;   R O = 300 ;   n = 0.8 ;   C O = 70 .
The simulation results are shown in Figure 2.
During the ECRP process, enhanced active government supervision promotes more integrity in ECRP implementation by renovation enterprises, and elderly families also gradually engage in ECRP. Nonetheless, under constant active government regulation, an increase in penalties leads to a gradual decline in the ethical operations of renovation enterprises. This decline is attributed to the inadequate benefits from honest operations to offset the additional costs. As the probability of active supervision by the government organization decreases, renovation enterprises opt for a lower probability of integrity in ECRPs.

5.2. Simulation Results and Analysis of Scenario 2

The parameter values for scenario 2 in the evolutionary game model were as follows: C G = 200 ;   C EG = 100 ;   m = 1.2 ;   R E = 200 ;   R EE = 100 ;   C E = 100 ;   p = 1.2 ,   1.5 ,   1.8 ;   R O = 300 ;   n = 0.8 ;   C O = 50 . The simulation results are shown in Figure 3.
During the evolutionary process, as the system approaches equilibrium, the likelihood of proactive engagement by the government and renovation enterprises decreases, while it increases for elderly families. Concurrently, as the ratio of the additional benefits derived from participation in ECRPs grows, elderly families become more likely to participate in the retrofitting process. Therefore, both the government and renovation enterprises should prioritize the interests of residents, especially elderly families, in ECRPs, to facilitate cooperation between various stakeholders and improve the benefits for end users.

5.3. Simulation Results and Analysis of Scenario 3

The values of each parameter corresponding to the scenario 3 were as follows: C G = 200 ;   C EG = 100 ;   m = 1.2 ;   R E = 200 ;   R EE = 150 ,   200 ,   250 ;   C E = 100 ;   p = 1.2 ;   R O = 300 ;   n = 0.8 ;   C O = 70 . The simulation results are shown in Figure 4.
In scenario 3, if the renovation enterprises receive minimal benefits from the ECRP for enhancing their corporate image of integrity, the probability of corporate integrity within the ECRP will increase with the likelihood of government supervision. However, if the benefits from thee corporate image of integrity grow significantly, the likelihood of integrity will decrease as government oversight intensifies; at this juncture, the government should halt its active supervision. When the additional profits from operating with integrity surpass the costs, the renovation enterprises will ultimately choose to operate with integrity. Concurrently, elderly families will increasingly resist engagement in ECRPs.

5.4. Simulation Results and Analysis of Scenario 4

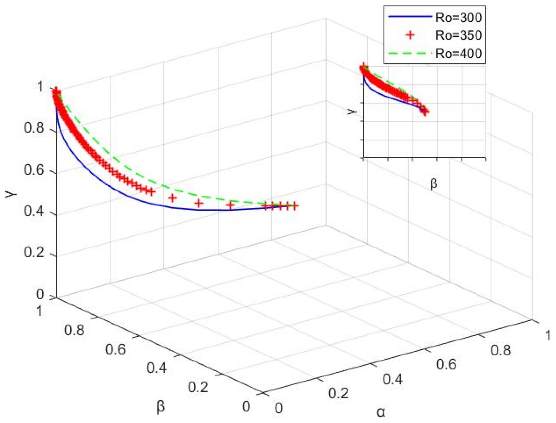
The values of each parameter corresponding to the scenario 4 were as follows: C G = 200 ;   C EG = 100 ;   m = 1.2 ;   R E = 200 ;   R EE = 200 ;   C E = 100 ;   p = 1.3 ;   R O = 300 ,   350 ,   400 ;   n = 0.8 ;   C O = 70 . The simulation results are shown in Figure 5.
During the evolutionary process, as the profits for elderly families from participating in ECRPs increase, the likelihood of active government supervision decreases, whereas the probability of honest operations by renovation enterprises rises. With a constant probability of corporate integrity, increased profits for elderly families are correlated with a higher likelihood of active participation. However, as government supervision intensifies, the increase in ethical operations remains modest, and the participation of elderly families declines. Therefore, in Scenario 4, the government should contemplate market deregulation.

5.5. Simulation Results and Analysis of Scenario 5

The values of each parameter corresponding to scenario 5 were as follows: C G = 100 ,   150 ,   200 ;   C EG = 250 ;   m = 1.2 ;   R E = 200 ;   R EE = 200 ;   C E = 100 ;   p = 1.2 ;   R O = 200 ;   n = 0.8 ;   C O = 70 . The simulation results are shown in Figure 6.
If the value of C G is small, the evolutionarily stable equilibrium point is E 5 1 ,   0 ,   0 . As the value of C G increases, the evolutionarily stable equilibrium point shifts to E 3 0 ,   1 ,   0 . When C G = 200 , evolution was simulated 50 times from unfixed initial states using MATLAB software, and the results are shown in Figure 7.
As shown in Figure 7, there are two stable equilibrium points (active supervision, without integrity, and without engagement in ECRP) and (without active supervision, integrity operation, and without engagement in ECRP). Considering that elderly families consistently opt for non-participation in ECRPs, it is crucial for the government to ensure that the benefits of engaging with integrity-driven renovation enterprises exceed the associated costs, thereby preventing corporate misconduct. Similarly, in the latter case, enterprises must ensure that the costs of government regulation and cooperation with elderly households are balanced in a way that directs the game toward a desirable outcome.

5.6. Simulation Results and Analysis of Scenario 6

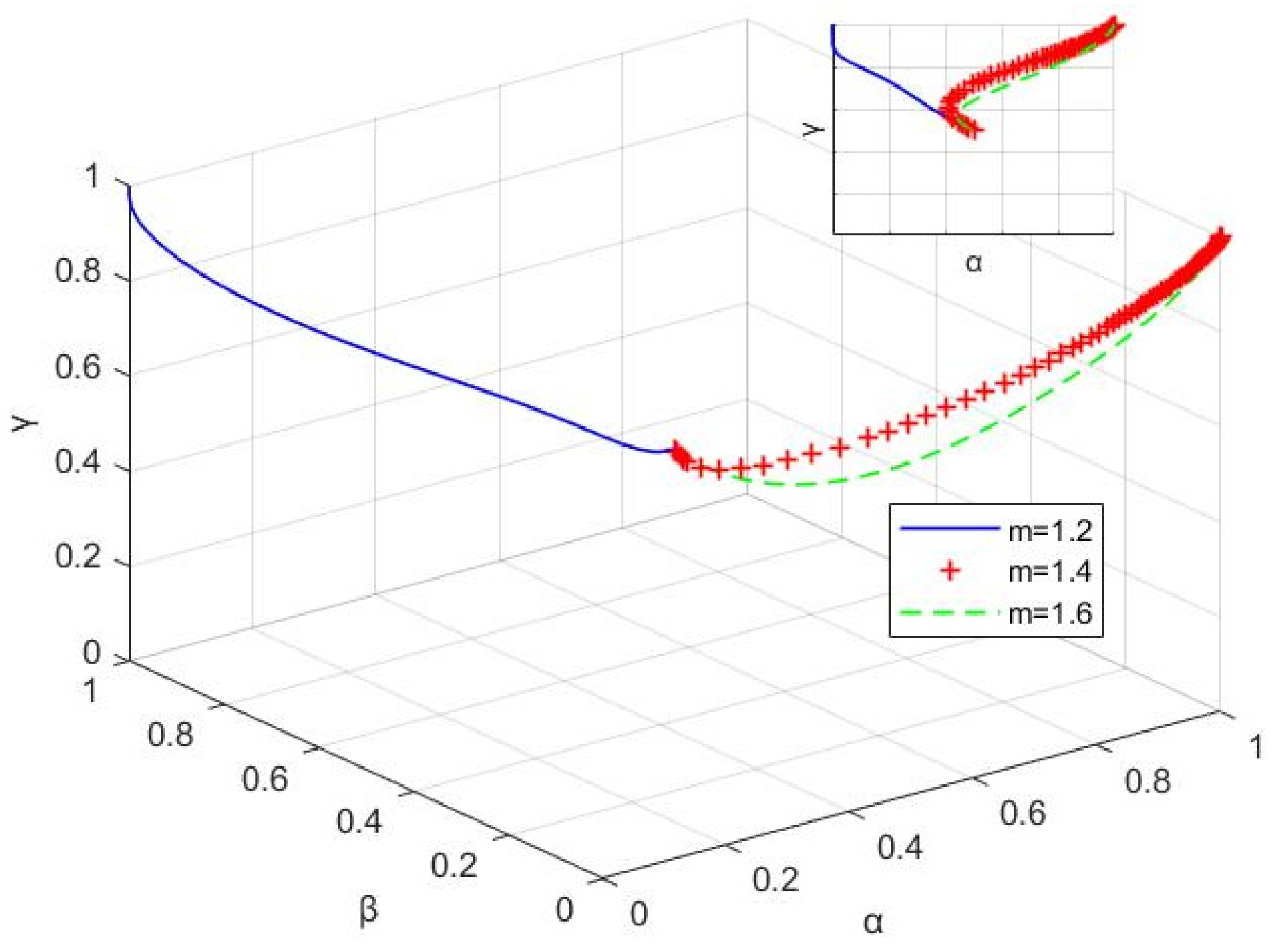
In scenario 6, the values were assigned as follows: C G = 150 ;   C EG = 200 ;   m = 1.2 ,   1.4 ,   1.6 ;   R E = 200 ;   R EE = 200 ;   C E = 100 ;   p = 1.3 ;   R O = 300 ;   n = 0.8 ;   C O = 70 . The simulation results are shown in Figure 8.
If the value of m is small, then the evolutionarily stable equilibrium point is E 4 0 ,   1 ,   1 , As the value of m increases, the evolutionarily stable equilibrium point shifts to E 6 1 ,   0 ,   1 . When m = 1.2 , the different lines in Figure 9 show the evolution process of the tripartite evolutionary game with 50 unfixed initial strategies randomly generated by MATLAB.
As can be seen from the above figures, there are two stable equilibrium points (without active supervision, integrity operation, and engagement in ECRP) and (active supervision, without integrity operation, and engagement in ECRP). Within this context, an ideal state is achieved when, irrespective of the government’s active supervision, renovation enterprises conduct aging building retrofits with integrity, and elderly families actively participate in the ECRP. This approach resolves conflicts among multi-level stakeholders and facilitates the sustainable development of ECRPs.

6. Discussion and Conclusions

6.1. Discussion

In dynamic evolutionary games, the analysis focuses on validating the applicability of these games and scrutinizing the demands of core stakeholders who are presumed to exhibit bounded rationality and continually adapt their strategies in response to environmental changes. Assuming the integration of the strategies, probabilities, and profit and loss variables all stakeholders face in the context of aging-friendly transformation, the strategies of each stakeholder are synthesized and refined, resulting in a total of eight strategic combinations. This setup posits that any alteration in strategy by one party will necessitate strategic adjustments among the other stakeholders, thus creating a complex, interconnected decision-making landscape where each player’s move influences the collective outcome.
Integrating the analyses of evolutionary game equilibrium points and simulation results under various parameter scenarios, it is evident that only the following two situations facilitate an ideal state where renovation enterprises conduct aging building retrofits with integrity, and elderly families actively participate in ECRPs.
As shown in scenario 2, the following conditions were satisfied: C E G C G < 0 , 1 m R E + R E E C E < 0 , p 1 R O C O > 0 ; moreover, scenario 6 shows C E G C G > 0 , 1 m R E + R E E C E < 0 , p 1 R O n C O > 0 1 m R E + R E E C E C E G < 0 , and the value of m is large.
Through a dynamic evolutionary game analysis, it is possible to calculate the average returns, stable strategies, and replicate dynamic equations for core stakeholders. The analysis results are as follows:
(1)
The evolutionary trends of strategies among stakeholders are not only influenced by the strategies adopted by others, but also by the prior probability judgments each stakeholder makes regarding the strategy choices of other game participants. The retrofitting and transformation for aging require a comprehensive analysis of the strategy choices of different stakeholders.
(2)
The government plays a crucial role in transitioning to an elderly-friendly society. In the early stages of community retrofitting for aging, the government, as the primary driver, needs to allocate substantial resources to provide policy support. The government can delegate some public rights to grassroots streets and communities to promote the implementation of community transformation efforts.
(3)
The behavioral choices of enterprises are significantly influenced by costs and benefits. Aging retrofitting, as a public welfare undertaking, involves long construction times, substantial cost investments, and slow returns. Enterprises exhibit low enthusiasm for such transformations. To enhance their enthusiasm, incentives should be provided. For instance, the brand benefits of operating an enterprise with integrity should outweigh the costs of integrity.
(4)
Whether elderly households participate in aging retrofitting mainly depends on costs and benefits. During the aging retrofitting process, if the costs of participation are too high for elderly residents, economic pressures will hinder their participation in the services provided by aging retrofitting, thereby affecting their willingness to participate. The government should reduce participation costs for retrofitting, increase policy support for the elderly, gradually enhance elderly residents’ recognition of aging retrofitting, and boost their participation enthusiasm.
(5)
Promoting the aging retrofitting of communities is a long-term process that requires cooperation from multiple parties. Economic factors are among the crucial influences on aging retrofitting. The government should increase support for and supervision of for-profit organizations, conduct strict qualification reviews and evaluations, and penalize renovation enterprises that engage in dishonest operations under the “Environmental Management Regulations”, according to the total costs that it stipulates.

6.2. Conclusions and Prospects

This paper analyzes the behavior strategies of agents in ECRPs by using evolutionary game theory. The results of the dynamic evolutionary model indicate that positive expected returns are not a sufficient condition for decision-makers to undertake proactive actions. During the evolutionary process, decision-makers might assess potential outcomes and subsequently display behaviors that could be perceived as negative in the current context. Furthermore, the government and elderly families emerge as the primary beneficiaries of aging-friendly transformation, with their actions being significantly influenced by policies. Therefore, it is imperative that the government enforces regulations stringently and that elderly families actively engage in the transformation process to foster the successful implementation of aging-friendly initiatives.
Moreover, varying parameters that yield different positive returns can influence the speed at which the game reaches its equilibrium. It is crucial for all parties to enhance their understanding of aging-friendly transformation to find the most satisfactory solution, maximize stakeholder interaction, and ensure the greatest benefit for all involved in the project.
The research using the literature, interviews, and strategic game analyses reveals that the honest operation of enterprises is promoted when the government, enterprises, and elderly families collectively choose to engage in aging-friendly transformation. This collaboration builds trust among elderly families in both enterprises and the government, enhancing their willingness to cooperate with the transformation. Establishing a collaborative mechanism among stakeholders in aging-friendly transformation, emphasizing the leading role of core stakeholders, and ensuring the active participation of all parties will facilitate a positive cycle of transformation, benefiting the wider community. Based on the above research conclusions, the following policy recommendations are proposed:
Enhancing the willingness of elderly populations to undergo retrofitting. Currently, many elderly individuals in China still have concerns, misunderstandings, or even fears about aging retrofitting, perceiving it as expensive, troublesome, or unnecessary, and they are thus reluctant to try it. China can refer to innovative approaches in developed countries in public education and awareness. Utilizing various media, the concept and knowledge of aging retrofitting can be promoted to elderly individuals and their families, making aging retrofitting accessible to more households.
Improving the legal and regulatory framework for aging retrofitting, and guiding supply enterprises towards self-discipline. Firstly, third-party organizations can be introduced to assess and supervise supply enterprises, imposing heavier penalties on non-compliant or violative entities. Secondly, the enhancement of government credibility can be prioritized through advocacy campaigns, training, and other means to promote community-based aging retrofitting. Lastly, the legal framework for the government procurement of services can be refined, which would lower the collaborative supply costs for enterprises and thereby encourage their active participation in aging retrofitting projects.
Establishing an efficient and sustainable interest-coordination mechanism to mitigate conflicts in interest during the game of interests. Starting from the interests of the main body, the efficiency of collaborative cooperation can be improved through enhancing collaborative operation modes, optimizing collaborative cooperation structure models, enhancing information communication and management frameworks, realizing information exchange and resource sharing, and driving the sustainable development of ECRPs.
This study also acknowledges certain limitations that present opportunities for further research. Notably, as this research was conducted in China, it opens avenues for future investigations into the applicability of these strategies across multi-level stakeholders in other developing and developed countries. Such studies could enhance our understanding of the universal applicability and adaptability of the findings. Secondly, in constructing the triadic evolutionary game model, due to the complexity of real-world gaming relationships, this paper only discusses the gaming behaviors between core and significant stakeholders, lacking further research on peripheral stakeholders. Additionally, there may be differences in the assessment of benefits by stakeholders, making it difficult to comprehensively and accurately describe the cost–benefit analysis of governments, enterprises, and elderly households in aging retrofitting. In the future, it is necessary to seek more scientifically and systematically quantitative valuation methods for the innovative application of tripartite evolutionary game analysis to improve relevant research aspects.

Author Contributions

Conceptualization, L.G., R.-J.D. and S.H.; methodology, S.H.; validation, C.Z., S.Z. and L.T.; formal analysis, S.H.; writing—original draft preparation, L.G., R.-J.D. and S.H.; writing—review and editing, C.Z., S.Z. and L.T. All authors have read and agreed to the published version of the manuscript.

Funding

This research received no external funding.

Institutional Review Board Statement

Not applicable.

Informed Consent Statement

Not applicable.

Data Availability Statement

The data presented in this study are available on request from the corresponding author.

Acknowledgments

The authors would like to express their sincere acknowledgment to the reviewers and editors for their time and efforts in providing comments and suggestions.

Conflicts of Interest

The authors declare no conflicts of interest.

References

  1. National Information Center. The Trends in our Country’s Population and Its Changes in the Global Context. Available online: http://www.sic.gov.cn/sic/81/455/0112/11770_pc.html (accessed on 18 July 2023).
  2. Central People’s Government of the People’s Republic of China. Support the Elderly, and Enhance and Expand the Silver Economy. Available online: https://www.gov.cn/yaowen/liebiao/202403/content_6938529.htm (accessed on 24 March 2024).
  3. Chen, L.; Mao, X.; Kahana, E.; Chen, S. Community-dwelling older adults’ experiences and perceptions of needs for home modification in Shanghai. Ageing Soc. 2023, 1–21. [Google Scholar] [CrossRef]
  4. Daily Headline. The National on-Site Meeting for the Renovation of Old Urban Residential Areas Was Held, with 68,000 Community Service Facilities Added from 2019 to 2023. Available online: https://www.gov.cn/lianbo/bumen/202405/content_6952285.htm (accessed on 24 May 2024).
  5. Guo, L.; Hao, S.; Ranasinghe, U.; Tang, M.L.; Hardie, M. Stakeholder collaboration mechanism in elderly community retrofit projects: Case study in China. Sustainability 2021, 13, 10759. [Google Scholar] [CrossRef]
  6. Cao, Q.; Pope, N.; Greenfield, E. “I’m Part of Something That Matters”: Exploring What Older Adults Value Through Their Engagement in Age-Friendly Community Initiatives. J. Gerontol. Soc. Work 2024, 67, 715–737. [Google Scholar] [CrossRef] [PubMed]
  7. Kaul, K.; Goodman, L.S.; McCargo, A. Instead of Aging in Place, How About Trying to Age in the Right Place? Gener.-J. Am. Soc. Aging 2020, 44, 1–8. [Google Scholar]
  8. Kim, D.; Lee, M.J.; Kang, J. Exploring Differences in Home Modification Strategies According to Household Location and Occupant Disability Status: 2019 American Housing Survey Analysis. J. Appl. Gerontol. 2024, 43, 231–241. [Google Scholar] [CrossRef]
  9. Skantz, H.; Rantanen, T.; Rantalainen, T.; Keskinen, K.E.; Palmberg, L.; Portegijs, E.; Eronen, J.; Rantakokko, M. Associations between Perceived Outdoor Environment and Walking Modifications in Community-Dwelling Older People: A Two-Year Follow-Up Study. J. Aging Health 2020, 32, 1538–1551. [Google Scholar] [CrossRef]
  10. Arentshorst, M.E.; Peine, A. From niche level innovations to age-friendly homes and neighbourhoods: A multi-level analysis of challenges, barriers and solutions. Technol. Anal. Strateg. Manag. 2018, 30, 1325–1337. [Google Scholar] [CrossRef]
  11. Mulliner, E.; Riley, M.; Maliene, V. Older People’s Preferences for Housing and Environment Characteristics. Sustainability 2020, 12, 5723. [Google Scholar] [CrossRef]
  12. Luciano, A.; Pascale, F.; Polverino, F.; Pooley, A. Measuring Age-Friendly Housing: A Framework. Sustainability 2020, 12, 848. [Google Scholar] [CrossRef]
  13. Lui, C.-W.; Everingham, J.-A.; Warburton, J.; Cuthill, M.; Bartlett, H. What makes a community age-friendly: A review of international literature. Australas. J. Ageing 2009, 28, 116–121. [Google Scholar] [CrossRef]
  14. Huang, M.-Q.; Lin, R.-J. Evolutionary Game Analysis of Energy-Saving Renovations of Existing Rural Residential Buildings from the Perspective of Stakeholders. Sustainability 2022, 14, 5723. [Google Scholar] [CrossRef]
  15. Perc, M.; Szolnoki, A. Coevolutionary games-A mini review. Biosystems 2010, 99, 109–125. [Google Scholar] [CrossRef] [PubMed]
  16. Rosenbloom, S. Meeting transportation needs in an aging-friendly community. Generations 2009, 33, 33–43. [Google Scholar]
  17. Xu, W.; Zhu, J.; Xi, W.; Cui, J. Creating Age-Friendly Environments in a Smart Society in China: A Policy Review. J. Aging Soc. Policy 2023, 1–20. [Google Scholar] [CrossRef] [PubMed]
  18. Chen, Q.; Zhang, Z.; Mao, Y.; Deng, R.; Shui, Y.; Wang, K.; Hu, Y. Investigating the Influence of Age-Friendly Community Infrastructure Facilities on the Health of the Elderly in China. Buildings 2023, 13, 341. [Google Scholar] [CrossRef]
  19. Wang, Q.; Zhang, Y.; Zhan, H. Path towards home: Exploring pathways to the development of a sense of home in residential care settings in China. Australas. J. Ageing 2023, 42, 80–89. [Google Scholar] [CrossRef]
  20. Beijing Statistics Bureau. The Transformation of Beijing’s Home Communities for Aging Has Achieved Remarkable Results. Available online: https://tjj.beijing.gov.cn/tjsj_31433/sjjd_31444/202305/t20230518_3107018.html (accessed on 18 July 2023).
  21. Zhiyanzhan Industry Research Institute. Report on Market Foresight and Investment Strategy Planning Analysis of China’s Aging Retrofit Market. Available online: https://www.zhiyanzhan.cn/report/62630.html (accessed on 24 March 2024).
  22. Sanford, J.A.; Butterfield, T. Using remote assessment to provide home modification services to underserved elders. Gerontologist 2005, 45, 389–398. [Google Scholar] [CrossRef]
  23. Hasson, H.; Arnetz, J.E. Care recipients’ and family members’ perceptions of quality of older people care: A comparison of home-based care and nursing homes. J. Clin. Nurs. 2011, 20, 1423–1435. [Google Scholar] [CrossRef]
  24. Zhong, L.; Li, C. Research on an Evaluation Methodology for Urban Regeneration in Old Residential Areas of Chengdu, China. J. Archit. Plan. Res. 2022, 37, 55–72. [Google Scholar]
  25. Xu, Y.; Juan, Y.-K. Optimal decision-making model for outdoor environment renovation of old residential communities based on WELL Community Standards in China. Archit. Eng. Des. Manag. 2022, 18, 571–592. [Google Scholar]
  26. Yu, J.; Ma, G.; Wang, S. Do Age-Friendly Rural Communities Affect Quality of Life? A Comparison of Perceptions from Middle-Aged and Older Adults in China. Int. J. Environ. Res. Public Health 2021, 18, 7283. [Google Scholar] [CrossRef] [PubMed]
  27. Liang, X.; Shen, G.Q.; Guo, L. Improving management of green retrofits from a stakeholder perspective: A case study in China. Int. J. Environ. Res. Public Health 2015, 12, 13823–13842. [Google Scholar] [CrossRef] [PubMed]
  28. Pan, Z.; Liu, Y.; Liu, Y.; Huo, Z.; Han, W. Age-friendly neighbourhood environment, functional abilities and life satisfaction: A longitudinal analysis of older adults in urban China. Soc. Sci. Med. 2024, 340, 116403. [Google Scholar] [CrossRef] [PubMed]
  29. Wang, D.; Wu, M.; Qu, J.; Fan, Y. How to motivate planners to participate in community micro-renewal: An evolutionary game analysis. Front. Psychol. 2022, 13, 943958. [Google Scholar] [CrossRef] [PubMed]
  30. Zhang, P.; Wang, M.; Deng, G. Evolutionary Game Analysis of Resilient Community Construction Driven by Government Regulation and Market. Sustainability 2023, 15, 3251. [Google Scholar] [CrossRef]
  31. Liang, X.; Shen, G.Q.; Guo, L. Optimizing incentive policy of energy-efficiency retrofit in public buildings: A principal-agent model. Sustainability 2019, 11, 3442. [Google Scholar] [CrossRef]
  32. Ellison, C.; Struckmeyer, L.; Kazem-Zadeh, M.; Campbell, N.; Ahrentzen, S.; Classen, S. A Social-Ecological Approach to Identify Facilitators and Barriers of Home Modifications. Int. J. Environ. Res. Public Health 2021, 18, 8720. [Google Scholar] [CrossRef]
  33. Aclan, R.; George, S.; Laver, K. Common home hazards among healthy older aged adults and potential modifications required for age-friendly housing. Aust. Occup. Ther. J. 2024, 71, 213–225. [Google Scholar] [CrossRef]
  34. Sheth, S.; Cogle, C.R. Home Modifications for Older Adults: A Systematic Review. J. Appl. Gerontol. 2023, 42, 1151–1164. [Google Scholar] [CrossRef]
  35. Friedman, D. Evolutionary games in economics. Econom. J. Econom. Soc. 1991, 637–666. [Google Scholar] [CrossRef]
  36. Zhang, J.; Yang, X.; Wang, H. Age-friendly regeneration of urban settlements in China: Game and incentives of stakeholders in decision-making. Land Use Policy 2021, 111, 105745. [Google Scholar] [CrossRef]
  37. Hofbauer, J.; Sigmund, K. Evolutionary game dynamics. Bull. Am. Math. Soc. 2003, 40, 479–519. [Google Scholar] [CrossRef]
  38. Young, H.P. Commentary: John Nash and evolutionary game theory. Games Econ. Behav. 2011, 71, 12–13. [Google Scholar] [CrossRef]
Figure 1. Stakeholder identification for ECRP.
Figure 1. Stakeholder identification for ECRP.
Sustainability 16 08016 g001
Figure 2. Simulation results in scenario 1.
Figure 2. Simulation results in scenario 1.
Sustainability 16 08016 g002
Figure 3. Simulation results in scenario 2.
Figure 3. Simulation results in scenario 2.
Sustainability 16 08016 g003
Figure 4. Simulation results in scenario 3.
Figure 4. Simulation results in scenario 3.
Sustainability 16 08016 g004
Figure 5. Simulation results in scenario 4.
Figure 5. Simulation results in scenario 4.
Sustainability 16 08016 g005
Figure 6. Simulation results in scenario 5.
Figure 6. Simulation results in scenario 5.
Sustainability 16 08016 g006
Figure 7. Evolution process of the system in the initial stage.
Figure 7. Evolution process of the system in the initial stage.
Sustainability 16 08016 g007
Figure 8. Simulation results in scenario 6.
Figure 8. Simulation results in scenario 6.
Sustainability 16 08016 g008
Figure 9. Evolution results under different initial states.
Figure 9. Evolution results under different initial states.
Sustainability 16 08016 g009
Table 1. ECRP examples in some countries.
Table 1. ECRP examples in some countries.
CountryOrganizationModelGuarantee SystemMeasures
USAAmerican Association of
Retired Persons (AARP)
Senior apartments,
assisted-living facilities, collective housing,
nursing homes,
continuing care retirement communities,
and supportive housing
American Senior LawRenovation of old houses;
construction of new homes;
rental housing, etc.
GermanyGerman Ministry of HealthOrdinary residences adapted for aging, senior housing constructed strictly according to accessibility design standards, and welfare-oriented eldercare and nursing facilities constitute 93%, 2%, and 5% respectivelyLong-term care insuranceThe addition of elevator facilities in multi-story residences, the elimination of indoor and outdoor ground-level differences, accessibility modifications to internal and external residential environments, the installation of safety features in bathrooms and kitchens, and the setup of communication systems.
FranceNational Housing Agency (ANAH),
Permanent Affordability Commitment Together (PACT)
Shelters, senior apartments, nursing homes, and long-term geriatric hospitalsCommunity-based family service systemFeasibility assessments and technical guidance for renovations; recommendations for relocation to senior apartments; commercial investments; and the provision of eldercare services.
JapanJapanese governmentHomes for elderly rest, senior welfare centers, and residential care homes for the elderlyThe “Eight Laws of Welfare”, and the long-term-care insurance systemProposals for “longevity housing”, “lifelong living design adaptation”, and family-based eldercare welfare policies
Table 2. Profit and loss values of each entity under different strategies.
Table 2. Profit and loss values of each entity under different strategies.
Government Organizations StrategyRenovation Enterprises StrategyElderly Family StrategyProfit and Loss Value of Each Stakeholder
Active government supervisionRenovation enterprise integrityElderly families participate in ECRPGovernment: R G C G
Enterprise: R E + R E E C E
Elderly families: p R O + R O E n C O
Elderly families do not participate in ECRPGovernment: R G C G C G O
Enterprise: R E + R E E C E C E O
Elderly families: R O + R O E
Renovation enterprise dishonestyElderly families participate in ECRPGovernment: R G C G C G E + C E G
Enterprise: m R E C E G
Elderly families: p R O n C O
Elderly families do not participate in ECRPGovernment: R G C G C G E + C E G C G O
Enterprise: m R E C E G C E O
Elderly families: R O
Lack of government oversightRenovation enterprise integrityElderly families participate in ECRP Government: R G
Enterprise: R E + R E E C E
Elderly families: p R O + R O E C O
Elderly families do not participate in ECRPGovernment: R G C G O
Enterprise: R E + R E E C E C E O
Elderly families: R O + R O E
Renovation enterprise dishonestyElderly families participate in ECRPGovernment: R G C G E
Enterprise: m R E
Elderly families: p R O C O
The elderly families do not participate in ECRPGovernment: R G C G E C G O
Enterprise: m R E C E O
Elderly families: R O
Table 3. Tripartite game payment matrix.
Table 3. Tripartite game payment matrix.
Government
Active   Supervision   α Non-Active Supervision ( 1 α )
EnterprisesSincerity
β
R G C G R E + R E E C E p R O + R O E n C O R G R E + R E E C E p R O + R O E C O Coordination
( γ )
Elderly families
Dishonesty
1 β
R G C G C G E + C E G m R E C E G p R O n C O R G C G E m R E p R O C O
Sincerity
β
R G C G C G O R E + R E E C E C E O R O + R O E R G C G O R E + R E E C E C E O R O + R O E Not cooperate
1 γ
Dishonesty
1 β
R G C G C G E C G O + C E G m R E C E G C E O R O R G C G E C G O m R E C E O R O
Table 4. Eigenvalues and stability conditions for each equilibrium point.
Table 4. Eigenvalues and stability conditions for each equilibrium point.
Equilibrium PointEigenvaluesStability ConditionResults
E 1 ( 0 ,   0 ,   0 ) λ 1 = C E G C G
λ 2 = 1 m R E + R E E C E
λ 3 = p 1 R O C O
C E G C G < 0
1 m R E + R E E C E < 0
p 1 R O C O < 0
E S S
E 2 ( 0 ,   0 ,   1 ) λ 1 = C E G C G
λ 2 = 1 m R E + R E E C E
λ 3 = p 1 R O C O
C E G C G < 0
1 m R E + R E E C E < 0
p 1 R O C O < 0
E S S
E 3 ( 0 ,   1 ,   0 ) λ 1 = C G
λ 2 = 1 m R E + R E E C E
λ 3 = p 1 R O C O
1 m R E + R E E C E < 0
p 1 R O C O < 0
E S S
E 4 ( 0 ,   1 ,   1 ) λ 1 = C G
λ 2 = 1 m R E + R E E C E
λ 3 = [ p 1 R O C O ]
1 m R E + R E E C E < 0
[ p 1 R O C O ] < 0
E S S
E 5 ( 1 ,   0 ,   0 ) λ 1 = C G C E G
λ 2 = 1 m R E + R E E C E C E G
λ 3 = p 1 R O n C O
C G C E G < 0
1 m R E + R E E C E C E G < 0
p 1 R O n C O < 0
E S S
E 6 ( 1 ,   0 ,   1 ) λ 1 = C G C E G
λ 2 = 1 m R E + R E E C E C E G
λ 3 = p 1 R O n C O
C G C E G < 0
1 m R E + R E E C E C E G < 0
p 1 R O n C O < 0
E S S
E 7 ( 1 ,   1 ,   0 ) λ 1 = C G
λ 2 = m 1 R E R E E + C E + C E G
λ 3 = p 1 R O n C O
Positive eigenvalueinstable
E 8 ( 1 ,   1 ,   1 ) λ 1 = C G
λ 2 = m 1 R E R E E + C E + C E G
λ 3 = n C O p 1 R O
Positive eigenvalueinstable
Table 5. Conditions of ESSes and stable equilibrium points.
Table 5. Conditions of ESSes and stable equilibrium points.
Whether the Condition ① Are MetWhether the Conditions ② and ⑤ Are MetWhether the Conditions ③ and ④ Are MetSituation Category
Meet ①, E 1 ,   E 2 ,   E 3 ,       E 4 Meet ②, E 1 ,   E 2 Meet ③, E 1 Scenario 1: E 1
Not satisfied ③, E 2 Scenario 2: E 2
Not satisfied ②, E 3 ,   E 4 Meet ③, E 3 Scenario 3: E 3
Not satisfied ③, E 4
Not satisfied ①, E 3 ,   E 4 ,   E 5 ,       E 6 Not satisfied ②, E 3 ,   E 4 Meet ③, E 3 Scenario 4: E 4
Not satisfied ③, E 4
Meet ⑤, E 5 ,   E 6 Meet ④, E 5 Scenario 5: E 5
Not satisfied ④, E 6 Scenario 6: E 6
Disclaimer/Publisher’s Note: The statements, opinions and data contained in all publications are solely those of the individual author(s) and contributor(s) and not of MDPI and/or the editor(s). MDPI and/or the editor(s) disclaim responsibility for any injury to people or property resulting from any ideas, methods, instructions or products referred to in the content.

Share and Cite

MDPI and ACS Style

Guo, L.; Dzeng, R.-J.; Hao, S.; Zhang, C.; Zhang, S.; Tang, L. Exploring Stakeholders in Elderly Community Retrofit Projects: A Tripartite Evolutionary Game Analysis. Sustainability 2024, 16, 8016. https://doi.org/10.3390/su16188016

AMA Style

Guo L, Dzeng R-J, Hao S, Zhang C, Zhang S, Tang L. Exploring Stakeholders in Elderly Community Retrofit Projects: A Tripartite Evolutionary Game Analysis. Sustainability. 2024; 16(18):8016. https://doi.org/10.3390/su16188016

Chicago/Turabian Style

Guo, Li, Ren-Jye Dzeng, Shuya Hao, Chaojie Zhang, Shuang Zhang, and Liyaning Tang. 2024. "Exploring Stakeholders in Elderly Community Retrofit Projects: A Tripartite Evolutionary Game Analysis" Sustainability 16, no. 18: 8016. https://doi.org/10.3390/su16188016

APA Style

Guo, L., Dzeng, R.-J., Hao, S., Zhang, C., Zhang, S., & Tang, L. (2024). Exploring Stakeholders in Elderly Community Retrofit Projects: A Tripartite Evolutionary Game Analysis. Sustainability, 16(18), 8016. https://doi.org/10.3390/su16188016

Note that from the first issue of 2016, this journal uses article numbers instead of page numbers. See further details here.

Article Metrics

Back to TopTop