Abstract
Numerous landslides occur in waste dumps due to unscientific placement. The behavior of waste dumps with different material layouts has yet to be understood when it comes to deformation and failure. In this research, several tests of base friction were carried out on mine waste dumps by considering various material layouts under self-weight loading conditions. The waste dump’s displacement was detected by the system composed with image-capture equipment. The findings indicate that the layout of waste materials greatly affected the way a waste dump fails and could be categorized into three types: crest-arced slip, bottom-arced slip, and composite overall slip. Sliding failure caused a gradual development of the slip surface from the dominant fine-gravel material stage to the adjacent waste dump stage. Three phases can be assigned to the waste dump’s failure process: the constant deformation phase, strain localization phase, and failed phase. The layout of waste materials exerts a significant influence on the moment that the waste dump’s deformation enters the three phases. The waste dump’s failure mechanism was explained by describing how maximum shear and volumetric strain developed and transmitted. To determine the most dominant impact during the tests by analyzing the relative degree of volumetric and shear influences on the waste dump, an effect coefficient was proposed. The stability of the waste dump was illustrated and comparatively analyzed based on a simplified approach, in which the moments of initial cracking and local failure were used as a failure index for the model tests. The design and stability analysis of mine waste dumps is strengthened by this study’s strong support, thereby minimizing the risk of landslides and promoting the sustainability of the mining industry.
1. Introduction
A waste dump is a site where waste materials are placed. Mine waste dumps are byproducts of mining excavation whose components are mainly the topsoil and removed rock. Conventionally, mine waste materials are emplaced with only incidental compaction and handled with minimizing operating costs as they have little engineering relevance to mine operators [1,2].
However, landslides associated with mine waste dumps have been common in recent decades. In particular, a landslide with a total volume of 10 million m3 took place at the southern dump of the Antaibao coal mine in Pingshuo, China, on 29 October 1991, resulting in roads and drains being destroyed and many types of equipment being trapped [3]. On 1 August 2008, a slope failure occurred in the dump of the Jianshan iron mine, which caused 93 houses to be buried and 45 people to die [4]. In December 2009, a landslide at the dump of the Singareni coal mine in India occurred with a total volume of 33.7 million m3 and sliding distance of 70 m, leading to the massive destruction of power and drainage facilities [5]. On 12 November 2014, the abandoned waste site experienced a landslide on its northern slope with a total volume of 8.45 million m3 in the Dagushan iron mine in Anshan, China, in which numerous buildings, machinery, and trucks located at the waste dump’s bottom were engulfed [6]. Unfortunately, little detailed information has been revealed on the mechanism that causes displacement and failure, and therefore, the development of basic knowledge is one of the objectives of this research.
Many factors may contribute to the failure of mine waste dumps, including the height, slope topography, and placement method of waste dumps, as well as the size and spatial distribution of waste rock materials and some external factors, such as rainfall, motion, and freeze-thaw cycling [7,8,9,10,11,12,13]. Quine [2] examined the engineering features of mine waste rock at multiple big open-pit gold mining sites in northern Nevada, USA, and utilized limit equilibrium slope stability strategies to stabilize mine waste piles. Henderson [1] developed a photo-sieving method to obtain complete particle size distributions for waste rock containing fragment sizes that are too large to sieve, and the waste rock’s shear strength was investigated within the framework of continuum soil mechanics theory. Rahmani [14] conducted a set of examinations on broken dolomitic limestone that was representative of hard bed rock to determine the stability of hard rock waste dumps under haul truck motion and evaluated the effect of rolling resistance on stability. Through numerical simulations and model tests, Mukhlisin and Khiyon [15] examined the steadiness of a waste dump in different rainfall conditions and discovered that slope stability decreased significantly when the slopes were exposed to low rainfall intensity for a long time compared to high rainfall intensities for short periods. In addition, Wang and Chen [9] showed that a waste dump with a soft foundation experienced a double-wedge failure. Wang and Chen [9] showed that a waste dump with a soft foundation experienced a double-wedge failure. At the foot of the slope, the failure initiated and then spread to the rear parts, eventually causing the landslide. In the process of dynamic loading in the dump, the dynamic load increases continuously and affects the stability of the dump. With the increase in the height of the dump, the plastic zone generally appears at the foot of the dump slope first, but the plastic zone does not expand. With the continuous dynamic loading process, the plastic zone of the slope foot expands to the interior of the dump. With the increase in height, the plastic zone expands and penetrates to the surface, and the slope of the dump is prone to landslides. In general, the existing slope control measures are generally divided into four categories, that is, cutting drainage, cutting slope and reducing load, retaining engineering, and soil improvement and reinforcement.
As a unique material, the term mine waste refers to granular soil that includes fragments that can be as small as fine sand or silt or even boulders that are up to several meters in diameter, and the different layout of waste materials plays a major role in the mine waste dumps’ stability. Two kinds of construction methods for mine waste dumps have been identified: covered construction and downslope construction. The former method stacks waste materials in horizontal layers from bottom to top on the natural ground surface, while the latter method places waste materials in inclined layers from the inner side of a slope surface to the outer side within a given distance [16]. To gain a better understanding of waste dump behavior, it is advantageous to study field observations of waste dumps related to stability or deformation. However, continuous monitoring of slope displacement during field observations can be time-intensive and costly, and field monitoring is not a suitable method to investigate failure mechanisms in waste dumps with different material layouts because it can not easily change material conditions or loading styles [17,18]. The capability to create simulations of processes that are related to gravity-related displacement and failure makes model tests such as base friction modeling tools powerful to investigate the failure mode and principle of slopes under various situations [19,20]. Wang et al. [18] carried out an investigation on base friction to reveal how soft foundation dumps unload more efficiently than hard foundation dumps. To make it easier to understand the process of unloading deformation, correlation analysis was employed to measure the waste dump’s displacement according to the captured images. These advancements have transformed the base friction model test into a specialized engineering tool that is capable of making precise quantitative predictions. Research on the waste dumps’ displacement and failure actions has not been documented with this type of test with different material layouts by considering the dumping methods, which greatly hinders the sustainable development of the mine industry.
The focus of previous studies has been on mine waste dumps with different conditions. The waste dumps’ displacement and failure actions under various material layouts have not been fully clarified, although the placement and layout of waste materials are crucial, and the unscientific placement can cause mine waste dumps to fail faster. We conducted several base friction tests on mine waste dumps with different material layouts to give a cognization of the failed peculiarity and mechanism of waste dumps constructed by different methods. The dumps’ stability was determined by a comparison. The stability of the dumps was compared based on the failed response of the models in the presence of self-weight loading. The way waste dumps deform and fail was analyzed using an updated correlation-based measurement system. The findings may play a role in reducing environmental disasters and providing scientific basis for optimizing the stability of mine waste dumps, thereby minimizing potential degradation to the environment and improving the sustainability of mining safety production.
2. Materials and Methods
2.1. Test Device
The base friction tester was used to conduct the base friction model tests at the China University of Mining and Technology-Beijing (CUMTB) [1], which are described in Figure 1. The model plane was 1 m in width and 1 m in length, and the table was 0.7 m tall. The drum had a diameter of 0.3 m and a length of 1.2 m, respectively. The motor’s speed ranged from 1.5 to 12 r/min, and the linear velocity of the belt is 0.024 m/s.
Figure 1.
Base friction tester. (a) Structure of base friction tester: 1—electromotor, 2—moving belt, 3—drums, 4—steel frame, 5—pressure cells, 6—holder, 7—bearing plate, 8—pressurized space, 9—perspex plate, 10—thin plastic sheet, 11—slot of model, 12—air duct, 13—frictional belt, 14—dynamometer rings. (b) View of the machine.
The shortcomings of bottom friction experiments are primarily due to the need for enhancement in experimental design and data analysis, as well as the impact of model accuracy and accuracy on experimental results. These limitations suggest that when conducting bottom friction experiments, the reliability and validity of experimental results can be ensured by paying more attention to experiment design’s rationality, data analysis accuracy, and model making accuracy.
The base friction model test allows the substitution of gravitational forces on a two-dimensional physical model with a resistive force acting parallel to the substrate. This resistance force is induced by the motion of the model across a surface [19]. The model represents a representation of both the lateral overturning and vertical sliding that occur on a slope that is not artificial. The base friction force’s magnitude can be determined by the friction coefficient between the seamless belt and the model. When operating normally, the equipment’s equipment maintains a constant dynamic friction force between the seamless belt and the model. The motor speed in this study was set at 1.5 r/min, and the friction coefficient during the dynamic phase was 0.75. A constant distribution of the friction force along the model’s substrate is possible if the model’s thickness is thin enough, as dictated by the Saint-Venant principle [21]. During the test, the model’s behavior after a failure can be directly observed by operating the tester in either a running or stopping mode. The base friction model theory is conventionally expressed through the subsequent mathematical equation:
where F denotes the base friction force, N; μ represents the dynamic friction coefficient; γ corresponds to the model materials’ unit weight, N/m3; h represents the model’s thickness, m; s denotes the model’s area, m2.
2.2. Models
Figure 2 shows the two generalized models. Covered construction and downslope construction are two common types of dumping methods in engineering practice; thus, these two methods were used for mine waste dumps in primary base friction tests. In the process of design and application of an open-pit dump, in order to make full use of space to discharge soil, so as to solve the cost problem. Under the premise of ensuring safety, different inclines of the dump were designed and implemented. Different slope pairs will lead to different load-bearing capacities, so it is necessary to design and study a variety of slope angles of the step design. The model of the covered construction dump includes the following parameters (Figure 2a): the first-grade slope ‘s ratio is 1:1.4 and is 60 mm high, the second-grade slope‘s ratio is 1:1.3 and is 96 mm high, and the third-grade slope‘s ratio is 1:1.3 and is 92 mm high. The downslope construction dump model parameters are as follows (Figure 2b): the first-grade slope‘s ratio is 1:1.75 and is 128 mm high, the second-grade slope‘s ratio is 1:1.75 and is 65 mm high, and the third-grade slope‘s ratio is 1:1.75 and is 65 mm high.

Figure 2.
Generalized primary waste dump models (unit: mm). (a) Covered construction dump model. (b) Downslope construction dump model.
Since the size and spatial distribution of waste rock materials are important factors affecting layouts of mine waste dumps, three different sizes of gravel, i.e., fine-gravel, medium-gravel, and coarse-gravel, were taken into consideration, and thus four comparative models were constructed by altering combinations of waste materials. All the models in this study have their properties shown in Figure 3. We built four models, conducted base friction experimental tests, and recorded the failure behavior and related parameters. Model A1 indicates that the covered construction waste dump was stacked in an idealized sequence (Figure 3a), in which the dominant coarse-grained gravels were at a first-grade stage and the dominant fine-grained gravels were at a higher-grade stage. Model A2 indicates that the covered construction waste dump was stacked in a common sequence (Figure 3b), in which the first-grade stage was composed of dominant fine-grained gravels and the higher-grade stage was composed of dominant coarse-grained gravels. Model B1 indicates that the downslope construction waste dump was stacked in a common sequence (Figure 3c), in which dominant fine-grained gravels were placed at the inside of the dump while dominant coarse-grained gravels were placed at the outside of the dump. Model B2 indicates that the downslope construction waste dump was stacked in an idealized sequence (Figure 3d), in which dominant coarse-grained gravels were placed at the inside of the dump and dominant fine-grained gravels were placed at the outside of the dump.

Figure 3.
Waste dump models in base friction tests. (a) Model A1. (b) Model A2. (c) Model B1. (d) Model B2.
2.3. Materials
Soil and rock with different particle sizes are mixed in the waste materials. Table 1 provides a list of both waste materials and bedrock’ physical and mechanical characteristics. Waste materials a, b, and c represent dominant fine-grained gravel, dominant medium-grained gravel, and dominant coarse-grained gravel, respectively. Different weight percentages of sand, lime, gesso, gravel, and water were used to construct the base friction model. The components and weight percentages of test materials are shown in Table 2. It should be noted that in engineering practice, the corresponding sizes of fine-grained gravel, medium-grained gravel, and coarse-grained gravel are 0–50 mm, 50–150 mm, and more than 150 mm, respectively [18]. The size of gravel used in this test ranged from 0–1 mm, 1–3 mm, and 3–5 mm, by equal scale scaling of actual spoil grain size based on the geometric scaling factor. Waste dumps contain particles ranging from clay and silt-sized to boulders. Due to the constraints of the size of the modeling, the gravels with diameters in the ranges of 3–5 mm were represented to simulate the boulders greater than 150 mm. It weakened the strength of the boulders to a specific level. The main focus of this research was on the comparative analysis of the dumping methods and different material layouts, and the test results were not impacted by this treatment.
Table 1.
Physical and mechanical parameters of prototype waste materials and bedrock.
Table 2.
Components and weight percentages of similar materials (unit: %).
2.4. Measurements
A new measurement system based on Sun et al. [22] was utilized to oversee the process during the base friction tests. In this system, by using a correlation-based image analysis method, the displacement history was obtained. By examining a region with a speckled distribution (black points in the following figures), the effectiveness of the system was assessed, and subpixel accuracy was used to measure the displacement history of individual points in the model.
A scheme of the system is shown in Figure 4. A camera first recorded the entire test process in high-definition video mode and then exported the video in the form of a frame sequence. The correlation analysis program imported the image series from the frame sequence. In this study, above the equipment, a camera of GoPro HERO 7 motion was positioned using a gooseneck bent neck before starting the test. Consequently, the entire process of testing base friction was recorded. Adobe Premiere software was used to handle the images at different times, and the displacement histories of the models were obtained through correlation analysis.
Figure 4.
Illustration of the measurement system.
3. Results
3.1. Image-Based Analysis
In Figure 5, you can see the information of Model A1 at various times, and t is the cumulative time. In Figure 5, the model’s real conditions for the test time of 0, 102, 158, 196, 224, and 263 s are shown. The combination of waste materials is clarified in Figure 5a. First, an initial crack f1 arose in the top of the third-grade stage (Figure 5b). When the test duration was 158 s, the second crack f2 appeared in the second-grade stage. Simultaneously, crack f1 penetrated from the top to the toe of the third-grade stage and formed an arc-shape sliding body with an area of 62.2 cm2, which accounted for 19.6% of the area of the third-grade stage (Figure 5c). It suggests that there was a local failure in an area of the third-grade stage. Subsequently, the crack f2 penetrated from the top to the toe of the second-grade stage and formed an arc-shape sliding body of area 48.4 cm2, which accounted for 10% of the area of the second-grade stage (Figure 5d). The similarity suggests that a local issue occurred in a part of the second-grade stage. As the test proceeded to 244 s, the third-grade and second-grade stage sliding bodies slid along the crack f1 and crack f2, respectively (Figure 5e). The test duration grew, and the sliding bodies of the third-grade and second-grade stages continued to slide away from their original positions (Figure 5f). The white dotted line in Figure 5f indicates the initial contour of the stages. The sliding bodies of the second-grade and third-grade stages crossed the initial contour, while no significant deformation occurred for the first-grade stage during the testing process. The images revealed that the failure mechanism of Model A1 is a slip-cracking failure of the second-grade and third-grade stages. The failure pattern is an approximately arc-shaped sliding failure in the local stages.
Figure 5.
Failure process of Model A1. (a) t = 0 s. (b) t = 102 s. (c) t = 158 s. (d) t = 196 s. (e) t = 224 s (f) t = 263 s.
The failure process of Model A2 during the test and the model’s real conditions for the test time of 69, 84, 110, 112, 119, and 129 s are shown in Figure 6. As 69 s, crack f1 appeared initially in the vicinity of the edge that is following the first-grade stage (Figure 6a). Then, the f1 crack extended to the toe of the second-grade stage and formed an arc-shape sliding body with an area of 38.3 cm2, which accounts for 20% of the area of the first-grade stage (Figure 6b). At 110 s, the second crack f2 arose in the second-grade stage and formed an arc-shape sliding body with an area of 62.8 cm2, which is responsible for 13% of the area of the second-grade stage (Figure 6c). At the same time, the sliding body of the first-grade stage exhibited evident displacement. Due to the constant increase in test time, the first-grade stage sliding body continued to slide in the left downward direction, and a vertical crack f3 showed up in the sliding body of the second-grade stage (Figure 6d). At 119 s, crack f3 gradually expanded and formed a “y”-shaped penetrating fissure with f2. Simultaneously, a microcrack f4 showed up at the bottom of the sliding body in the second-grade stage (Figure 6e). This is because the sliding mass on a larger scale would split into multiple parts due to tension. As the time of the test grew, the first-grade and second-grade stage sliding bodies continued to slide along the cracks f1 and f2, respectively (Figure 6f). The white dotted line in Figure 6f indicates the initial contour of the stages. It’s evident that the sliding bodies of the first-grade and second-grade stages crossed the initial contour, and the third-grade stage did not significantly fail during the testing process. As a result, the process of failure was finished, which demonstrated that the Model A2’s failure mechanism was the slip-cracking failure of the middle and lower stages, and the failure form was an arc-shaped sliding failure of the first-grade and second-grade stages.
Figure 6.
Failure process of Model A2. (a) t = 69 s. (b) t = 84 s. (c) t = 110 s. (d) t = 112 s. (e) t = 119 s. (f) t = 129 s.
Figure 7 displays the relevant information of Model B1 at typical test time, and the model’s real conditions for the test time of 0, 137, 172, 241, 300, and 337 s are shown, in which the combination of waste materials is also clarified. At 137 s, an initial crack f1 arose in the third-grade stage (Figure 7b). Then, crack f1 expanded and penetrated the toe of the third-grade stage (Figure 7c). At 241 s, the second crack f2 appeared in the second-grade stage. Simultaneously, crack f1 formed an arc-shape sliding body with an area of 40.17 cm2, which accounted for 6.7% of the area of the third-grade stage (Figure 7d). With the test progressing, the sliding body of the third-grade stage continued to slide along the crack f1, and the second-grade stage saw the accumulation of the compression effect. Therefore, the crack f2 formed a potential arc-shape sliding body (Figure 7e). Once the test time had arrived at 337 s, the second-grade stage formed a typical arc-shaped failure, and the failure area of 31.03 cm2 accounted for 10.3% of the area of the second-grade stage (Figure 7f). The recorded images showed that the failure form was an arc-shaped sliding failure of the second- and third-grade stages. The first-grade stage did not significantly fail during the testing process. The failure mechanism of Model B1 was extrusion-slip failure in the middle and upper stages.
Figure 7.
Failure process of Model B1. (a) t = 0 s. (b) t = 137 s. (c) t = 172 s. (d) t = 241 s. (e) t = 300 s. (f) t = 337 s.
The failure process of Model B2 during the test and the model’s real conditions for the test time of 5, 26, 49, 71, 84, 115, 144, and 150 s are shown in Figure 8. At 5 s, a marginable crack f1 due to shrinkage appeared at the contact surface between the toe of the first-grade stage and the base (Figure 8a). At 26 s, crack f1 expanded along the base, and vertical crack f2 showed up on the left side of the top of the first-grade stage (Figure 8b). As the tension effect was strengthened gradually, an inclined crack f3 arose between f1 and f2. The crack f1 continued to expand backward, while f3 and f2 extended downward, indicating that the slope in the first-grade stage was local damaged under gravitational conditions (Figure 8c). Subsequently, cracks f3 and f2 extended to the base and connected with f1. These cracks formed a failure area with a total area of 126.3 cm2, which accounts for 64.21% of the area of the first-grade stage (Figure 8d). At 84 s, crack f4 came about at the end of the first-grade stage under traction, and the contact surface between the 1st- and 2nd-grade stages completely failed at this time. The widespread destruction of the first-grade stage significantly weakened its back pressure on the deformation of the second-grade stage, and crack f5 took place at the border of the second-grade stage and formed a potential arc-shape sliding body at the same time (Figure 8f). At 144 s, the sliding body was divided into three parts by two tension cracks f6 and f7, which suggests that the second-grade stage experienced a more prominent tension effect. With the test time increasing, the sliding bodies of the third- and second-grade stages continued to slide along the extension directions of cracks f4 and f5, respectively (Figure 8g). The red dashed area in Figure 8g indicates that the sliding bodies of two different stages penetrated and formed a composite multistage landslide. At 150 s, the continuous gravitational conditions caused the rock mass in the sliding zone to be demolished; correspondingly, the process of evolution in Model B2 was finished (Figure 8h). The white dotted line in Figure 8h indicates the initial contour of the stages. According to the recorded images, the Model B2 exhibited relatively complex damage. The first-grade stage gradually developed from partial damage to integral damage. The destruction of the second-grade stage was similar to the destruction of a chair-shaped landslide, and the failure surface gradually became flat from top to bottom. Due to the presence of the first-grade stage, the lower part of the second-grade stage was blocked, and no shear outlet was formed. The failure mechanism of Model B2 was a composite multistage slip-cracking and traction failure in the lower and middle stages.
Figure 8.
Failure process of Model B2. (a) t = 5 s. (b) t = 26 s. (c) t = 49 s. (d) t = 71 s. (e) t = 84 s. (f) t = 115 s. (g) t = 144 s. (h) t = 150 s.
3.2. Displacement Field Analysis
By using the measurement system, picture information analysis was used to obtain the change fields of the models. The definition of positive displacement is when it goes in the direction of the left and downward. Due to the minimal deformation of the bedrock, the measured region did not have a foundation layer.
Figure 9 and Figure 10 display the horizontal and vertical displacement contours of Model A1. The horizontal change was much greater than the vertical, implying that shear was dominant there and that a shearing band appeared. The slope exhibited very little displacement near the surface at the start of the loading process, and as time progressed, the slope’s maximum displacement increased but it remained near the surface. At 102 s, the maximum horizontal displacement was 3.1 mm, which appeared on the upper-left corner of the third-grade stage, which was composed of mainly fine-grained gravels (Figure 9a); the maximum vertical displacement was only 1.8 mm (Figure 10a). The maximum horizontal and vertical displacements reached a height of 12.4 mm and 6.6 mm at 158 s, respectively, and accordingly, the zone where significant displacement occurred expanded during the test. It is worth mentioning that a similar displacement process occurred in the second-grade stage, although the zone where significant displacement occurred was smaller and shallower. At 196 s, the maximum horizontal displacements of the third-grade and second-grade stages increased to 26.0 mm and 23.5 mm, respectively (Figure 9c), and the vertical displacements that reached maximum were 12.5 mm and 12.3 mm, respectively (Figure 10c). The distribution of the displacement did not change as the duration of the exam increased; however, the maximum horizontal value change of the third-grade and second-grade stages increased to 42.4 mm and 31.8 mm, respectively (Figure 9d); the maximum vertical displacements of the third-grade and second-grade stages increased to 21.8 mm and 16.2 mm, respectively (Figure 10d). These results can be attributed to the penetration of the crack, and the sliding body is sliding quickly in the third- and second-grade stages. It is possible to conclude that Model A1 exhibited an initial failure at the third stage with dominant fine-grained gravels and then progressively expanded downwards.
Figure 9.
Contours of horizontal displacement in Model A1 at model dimensions (unit: mm). (a) t = 102 s. (b) t = 158 s. (c) t = 196 s. (d) t = 263 s.
Figure 10.
Contours of vertical displacement in Model A1 at model dimensions (unit: mm). (a) t = 102 s. (b) t = 158 s. (c) t = 196 s. (d) t = 263 s.
In Figure 11 and Figure 12, you can see the relative contours of Model A2. At the bottom of the model, the contour lines revealed a great concentration, but it was negligible at the top of the waste dump. At 69 s, the maximum horizontal displacement was 5.2 mm, which appeared at the left downward side of the first-grade stage (Figure 11a), and the corresponding maximum vertical value change was 2.3 mm, which appeared at the summit of the first-grade stage (Figure 12a). The distribution of displacement is divided into horizontal and vertical directions and involved only a small area at the first-grade stage; this area was initially affected by local sliding damage according to the indication. At 84 s, the area that experienced significant displacement increased in size backward and downward, and the initial grade stage now has a maximum horizontal value of 8.4 mm; the maximum vertical displacement of the first-grade stage increased to 4.3 mm. At 110 s, a sliding body formed due to the crack that penetrated in the first-grade stage, and the maximum horizontal and vertical value changes have been significantly increased to 24.0 mm and 12.0 mm, which is significantly higher than before. Moreover, the second-grade stage was displaced by a similar process, with maximum horizontal and vertical value changes of 11.6 mm and 7.0 mm in each direction. Until 129 s, the maximum horizontal displacements of the initial grade and second-grade stages increased to 32.0 mm and 18.5 mm, respectively, and the maximum vertical displacements of the first-grade and second-grade stages increased to 14.6 mm and 12.0 mm, respectively. It can be concluded that Model A2 exhibited an initial failure at the first stage, which was mainly composed of fine-grained gravels, and then progressively expanded upwards to the second-grade stage, which was mainly composed of medium-grained gravels. It is important to mention that the stage with dominant coarse-grained gravels had a good local stability performance, and no significant deformations were captured in this area during the tests for Models A1, A2, B1, and B2.
Figure 11.
Contours of horizontal displacement in Model A2 at model dimensions (unit: mm). (a) t = 69 s (b) t = 84 s. (c) t = 110 s. (d) t = 129 s.

Figure 12.
Contours of vertical displacement in Model A2 at model dimensions (unit: mm). (a) t = 69 s. (b) t = 84 s. (c) t = 110 s. (d) t = 129 s.
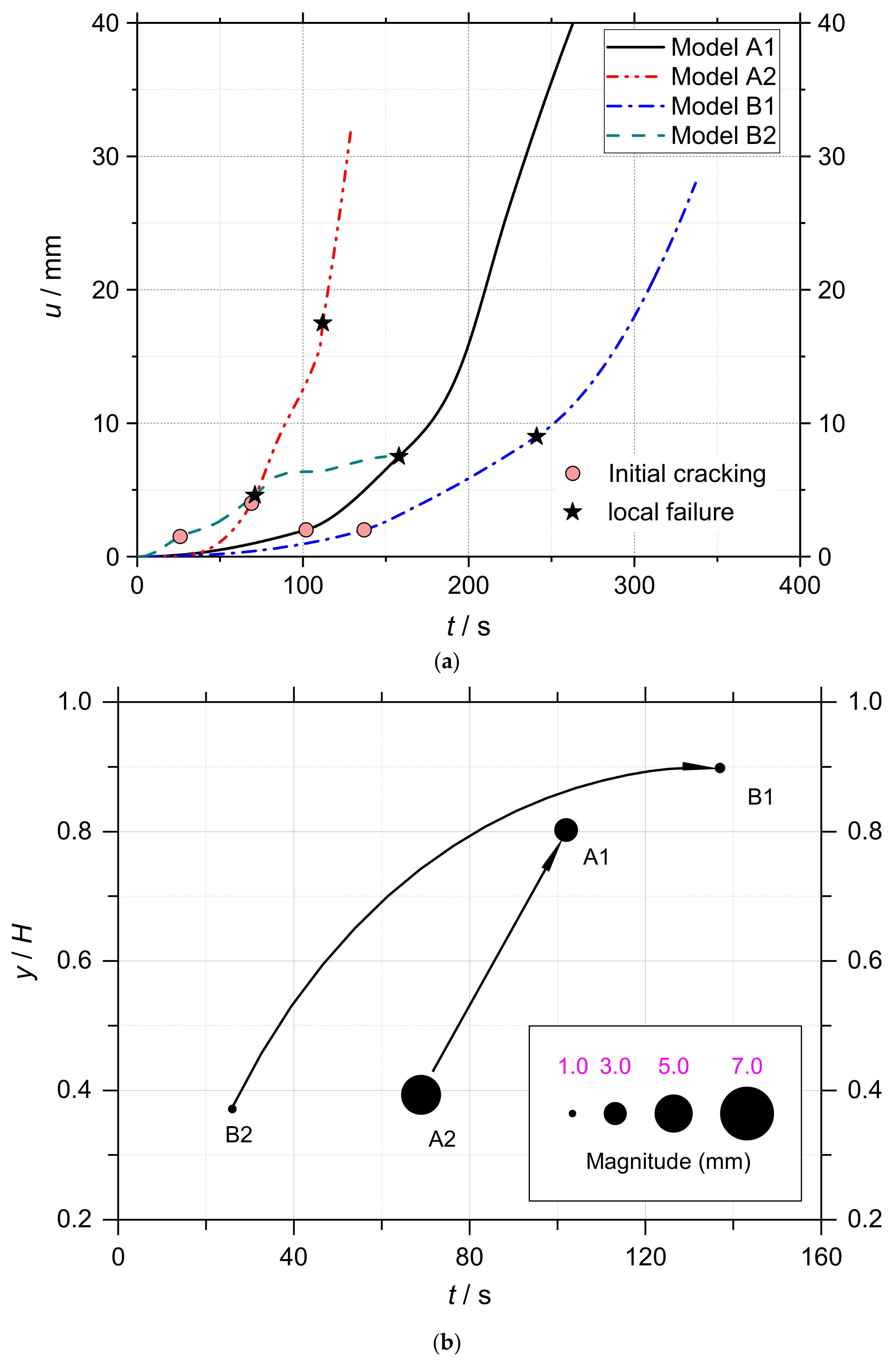
The slope’s maximum displacement in both horizontal and vertical directions is shown in Figure 11 and Figure 12. With the increase in belt running time, the maximum horizontal displacement increased. With the continuous operation of the test equipment, the simulated self-gravity continues to act on the model materials, and the shear resistance of different materials is different. When the limit value is exceeded, local failure occurs and continues. Its increasing rate exhibited significant differences in different models during the test process (Figure 13a). Figure 13b displays the maximum horizontal movement at a moment of initial cracking, which is the time frame that precedes the appearance of cracks in various model tests. The displacements were comparable due to these conditions. Because the maximum displacement often appears close to the slope surface, the location is indicated using just the elevation. The waste dump’s gravity-induced displacement can be significantly reduced, as is inferred, by changing the bottom stage from dominant fine-grained gravel materials to dominant coarse-grained gravel materials for waste dumps emplaced by the covered construction method. In addition, the moment of initial cracking can be greatly postponed by changing the bottom and outer stages from dominant fine-grained gravel materials to dominant coarse-grained gravel materials for both covered construction and downslope construction waste dumps. Models B1 and B2 had a slight variation in the maximum horizontal displacements, as noted. Models B1 and B2 showed completely different failure mechanisms, despite the significant differences in initial crack formation. Image-based analyses’ results are consistent with this. The crest had the maximum displacement position, which was located at the crest of the stage composed of mainly fine-grained gravel materials in the model, and the impact of waste rock materials’ size and spatial distribution was significant.
Figure 13.
Maximum horizontal displacement of the waste dump at model dimensions. (t: belt running time, u: horizontal displacement, y: vertical distance between slope toe and location of maximum horizontal displacement, H: slope height). (a) History of the maximum horizontal displacement in the models before and after failure. (b) Maximum horizontal displacement in different tests at a moment of initial cracking.
3.3. Point Couple Analysis
By measuring the displacement of the models, point couples were used to analyze the waste dump’s failure process. On opposite sides of the moving surface, there are two points named point couple, which have been utilized in the analysis of slope failures of various types [22,23]. The four-point couples’ positions are displayed in Figure 14; inside the sliding body, there are four points named a, c, e, and g, while the other four points, b, d, f, and h, are not inside it four points.
Figure 14.
Position of point couples in models. (a) Model A1. (b) Model A2. (c) Model B1. (d) Model B2.
The histories of point couples moving relative to each other in waste dump models are shown in Figure 15, where Δu and Δv are horizontal and vertical relative range, respectively; the subscripts u and v represent the number of monitoring points i and j, respectively. Openings in directions that can be seen both horizontally and vertically have a positive relative displacement definition.

Figure 15.
Relative displacement of point couples during tests. (a) Model A1. (b) Model A2. (c) Model B1. (d) Model B2.
There are three phases in the deformation process based on the identifiable characteristics of the distribution of displacement relative to each other, in accordance with the dashed lines in Figure 15. These phases are denoted as follows: Phase I—the uniform deformation phase, Phase II—the strain localization phase, and Phase III—the failed phase. During Phase I, when the belt running period was small, the distances between the point couples were relatively small, demonstrating that the waste dumps were distributed in a nearly uniform manner, and there was no evidence of deformation that was localized. As time increased, a crack appeared in the slope crest (e.g., t = 102 s for Model A1 in Figure 5b). Moreover, the displacement contours were clearly focused in directions that can be seen both horizontally and vertically (Figure 9a and Figure 10a). It can be concluded that the waste dumps entered Phase II; the slope showed a deformation distribution that was not uniform, and it concentrated in a narrow area. With increasing belt running time, deformation in this area developed, and a significant area of concentration came into focus in the displacement field (e.g., t = 158 s for Model A1 in Figure 9b and Figure 10b), as local relative sliding occurred along the extended crack (Figure 5c). This demonstrated that the deformation process of waste dumps entered Phase III, in which local failure took place and gradually extended to overall failure.
To illustrate the change phases in detail, the models had their relative displacement histories measured. In Phase I, it is possible to see all the relative displacement history curves for various models as horizontal lines that are approximate, indicating that the relative change slightly increased during this phase. Point couples in the upper stage of waste dumps A1 and B1 have horizontal relative displacements, which were larger than those of point couples in the lower stage (Figure 15a,c); however, the horizontal relative displacements of point couples in the lower stage of waste dumps A2 and B2 were larger than those of point couples in the upper stage (Figure 15b,d). All formation processes for collapse are similar, as revealed by the data analysis; namely, the slide first occurs in the stage composed of mainly fine-grained gravel materials in the model, which may be because the shear strength of the dominant fine-grained gravel materials makes them prone to failure. In Phase II, there was a larger horizontal relative change between the point in the lower and upper part of the stage (e.g., ucd > uab, ugh > uef, Figure 15a) during strain localization, and this difference became more significant when the models entered Phase III failure. This demonstration illustrates the progression of local failures starting at the bottom of each stage and spreading upwards to form the final arc-shaped slip surface. In Phase III, it is worth mentioning that the relative horizontal displacements of the point couples increased significantly, while the increase in the relative vertical displacement was fairly small (e.g., point couples cd and ab, Figure 15a), demonstrating that there was a bifurcation of the displacement along a horizontal direction due to failure. Evident bifurcation of displacement indicates a significant separation of the sliding body from the waste dumps.
Detailed examinations indicated that the relative displacement histories exhibited significantly different features during the strain localization in the models, implying that failure mechanisms are different for waste dumps with different construction methods and the size and spatial distribution of waste rock materials. In Model A1 (Figure 15a), both the dominant fine-gravel material stage (point couples ab and cd) and the dominant medium-gravel material stage (point couples ef and gh) produced strain localization in Phase II, because the former was more significant; thus, local failure first occurred in the dominant fine-gravel material stage and then soon occurred in the dominant medium-gravel material stage. In Model A2 (Figure 15b), the dominant fine-gravel material stage (point couples ef and gf) produced strain localization in Phase II, and the dominant medium-gravel material stage (point couples ab and cd) produced strain localization in Phase III; thus, local failure first occurred in the dominant fine-gravel material stage and after a long time in the dominant medium-gravel material stage. In Model B1 (Figure 15c), the dominant fine-gravel material stage (point couples ab and cd) produced strain localization in Phase II, and no evident strain localization occurred in the dominant medium-gravel material stage (point couples ef and gf); thus, local failure was observed only in the dominant fine-gravel material stage during the test. In Model B2 (Figure 15d), the dominant fine-gravel material stage (point couples ef and gf) produced strain localization in Phase II and then extended upwards to the dominant medium-gravel material stage, thus forming a composite multistage slip-cracking and traction failure in the two stages. This implies that the failure mechanism of Model B2 is more complex, and further study based on systematic tests is required.
3.4. Strain-Based Analysis
The strain localization of waste dumps due to belt running was further understood through a strain analysis. In this research, a square with a length of 1 cm and a four-node isoparametric element was employed to analyze strains. The strain was identified directly from a transform matrix derived on the basis of the shape functions in a manner that is comparable to conventional finite element techniques. The image system was utilized to detect the displacement vectors of the nodes. It was believed that the strain in the center was caused by this element. It is easy to derive all the strain components for an arbitrary element. Using linear interpolation, it was estimated that the strain’s accuracy was approximately 0.1%. In some instances, the computed strain had a higher resolving capacity due to the use of the isoparametric element when the strain was small. To reflect compression and shear deformation, the volumetric strain (εν) and maximum shear strain (γ) were easily derived and utilized, respectively. It was determined that the compression volumetric strain and clockwise shear strain were positive.
Three phases can be assigned to the waste dump’s failure process: the constant deformation phase, strain localization phase, and failed phase. As for the definition criterion of the dump slope entering the third stage in the research content, we adopted the model to generate blocks sliding along the failure surface.
In order to analyze the strain history, three typical elements were chosen in the models. Figure 16 shows the strains of three typical elements located in the third, second, and first stages of the models with almost the same distances from the slope top. The elements in the dominant fine-gravel material stage of the models exhibited significant strains (e.g., element 1# in Model A1 in Figure 16a), while the elements in the dominant coarse-gravel material stage exhibited notably small strains (e.g., element 3# in Model A1 in Figure 16a). The strain response of elements with the same material in the models showed similar behavior except for Model B2 due to its different failure mechanisms. Most elements had negative volumetric strains, suggesting that there was an increase in dilation while loading, with similar changes in shear strain patterns.

Figure 16.
Strain histories of typical elements in models. (a) Model A1. (b) Model A2. (c) Model B1. (d) Model B2.
The strains’ behavior can serve as a preliminary explanation for the three stages of point couples’ displacement on the slope during tests, as shown in Figure 16. At the beginning of the tests, in Phase I, the volumetric strain of the elements was evenly distributed larger than the maximum shear strain (e.g., element 1# in Models A1 and B1 in Figure 16a and Figure 16c, respectively). Since the strains of the three elements— the volumetric strain and maximum shear strain—were not as large as they should have been, it can be concluded that the dominant volumetric strain caused a small displacement during the first phase. In addition, the volumetric strain was negative; indications suggest that the dilative horizontal strain was greater in magnitude than the compressive vertical strain at that particular location. In Phase II, the initial increase during loading was followed by a greater rate of increase for both the maximum shear strain and the volumetric strain of the elements (Figure 16); this induced deformation due to the coupled compression and shear effect, which was more significant. Therefore, a significant increase was observed in the displacement of the element. After the maximum shear strain reached a significant magnitude, slippage occurred across this element and eventually formed a local collapse. With the belt running continuously in Phase III, the elements experienced a significant increase in their maximum shear strain, which was significantly larger than their volumetric strain. The rate of displacement increased during the tests, leading to the slide body separating and sliding down along the failure surface, which was demonstrated by this. Note that the strains of element 2# in Model B2 (Figure 16d) experienced minor fluctuations during Phase III, and then the volumetric strain was positive, which was distinct from the dilatory volumetric strain of conventional elements in other regions. This indicated that in the process of initial cracks extending through the upward dominant medium-gravel material stage to form composite multistage failure, an approximate vertical shear band appeared in that location.
To describe the stress development process in material mechanics, the dominant effect concept and expression were widely used. The introduction of the effect coefficient (EC) allowed for visual depiction of the relative degree between the volumetric effect and the shear effect. The EC is capable of analyzing the development of the volumetric effect and maximum shear effect and identifying which effect has a greater impact on the elements. Figure 17 shows the EC of the above elements during loading for each test, in which EC was defined as the distinction between the absolute value of the volumetric strain and maximum shear strain, and a positive value of EC means that the volumetric effect is dominant.


Figure 17.
Effect coefficient histories of typical elements in different models during tests. (a) Model A1. (b) Model A2. (c) Model B1. (d) Model B2.
In the whole process of Model A1 (Figure 17a), the shear effect always prevailed in elements 1 and 2, while the volumetric effect always prevailed in element 3. In Model A2 (Figure 17b), the shear effect always dominated for the three elements, although the shear effect of element 1 was much weaker. In Model B1 (Figure 17c), the dominant shear effect was evident in elements 1 and 2. However, element 3 exhibited a complicated change in the extent to which the two effects are compared. That is, for element 3, the volumetric effect dominated under the initial load, the volumetric effect tended to decrease, and at the end, the shear effect prevailed as the load grew. In Model B2 (Figure 17d), the shear effect has always been the dominant force for element 3. In contrast, for element 2, the early loading phase saw the shear effect dominate and then the volumetric effect dominated as the belting continued. In addition, element 1 showed a similar pattern of change to that of element 2, although the EC value was totally different. The shear and compression effects of the elements were examined closely, and it was found that the shear effect increased as the element approached the dominant fine-gravel area of the waste dump. The shear deformation of the waste dump in its vicinity was significantly influenced by the fine gravel area, as evidenced by these findings, and this effect can easily expand upwards within a downslope waste dump. This inherently provides an explanation for why the failure process of waste dumps was different with different construction methods and/or with different spatial distributions of waste rock materials.
4. Discussion
In an attempt to evaluate the stability of waste dumps for different models, the failure process of four tests was analyzed by examining correlations between potential factors and the failure process. In practical geotechnical engineering, although the concept of slope stability is well understood, there is no single definition for slope failure. In numerical analysis, three common definitions of slope failure are commonly used to assess stability levels: (i) the calculation fails to converge [24,25,26]; (ii) the contour line of generalized plastic strain runs continuously from the slope’s bottom to the top [27]; and the plastic zones are completely sealed from the bottom of the slope (slide) to the top. However, the definitions are based on soil/rock strength and are dependent on the solution algorithm, which is not capable of quantifying model test results effectively. A simplified approach is used here to demonstrate the concept of waste dump stability, which includes two characteristic moments, namely, the initial cracking moment (the start point of Phase II) and the local failure moment (the start point of Phase III). It was deemed to be a suitable indicator of failure. It should be noted that the stability level for the same problem can differ depending on the measures used. When analyzing using the same definition, the stability index is both effective and valuable when compared to other indicators.
Characteristic moments for waste dump models with different layouts are summarized in Figure 18. Model B2 had the earliest initial cracking moment and the earliest local failure moment, indicating that Model B2 had the lowest stability level. However, Model B1 had the latest initial cracking moment and the latest local failure moment, implying that Model B1 had the highest stability level. Both the initial cracking and the local failure moments for Model A1 were later than those of Model A2, demonstrating that placement of the coarse-grained dominant gravels at the bottom is better than that at the top for a covered construction waste dump. Furthermore, closer examination of the differences for models showed that Model A2 had the shortest duration of the failure process (41 s), implying that the failure of Model A2 developed the fastest. The weight of the overburdened layers may cause extra stress, which is why this may happen.
Figure 18.
Comparison of the characteristic moments of failure in different models.
Several factors, including slope geometry, waste type, layout of waste materials, and load conditions, had a significant impact on the slip surface of a waste dump in the test results. Consequently, during failure in different tests, the waste dump displayed a variety of morphological characteristics. The waste dump’s slip surface and waste material arrangement have a connection; the failed modes of waste dumps can be summarized into three primary types. The first failure mode (crest arced slip) occurred in Models A1 and B1. The slip surface was arc-shaped, and the failure mechanism was slip-cracking failure of the upper stages (Figure 19a,c). Failure mode can often occur due to the waste dump’s upper part of predominant fine-gravel material. The second failure mode (bottom arced slip) occurred in Model A2, which was arc-shaped sliding of the lower stages (Figure 19b), and slip-cracking failure was sequentially observed in the first and second stages. The third failure mode (composite overall slip) occurred in Model B2, which was mainly induced by the multistage composite deformation (Figure 19d). This failure mode was accomplished by slip cracking and traction fracture and was commonly found in practice if the dominant fine-gravel material was placed at the outer side of the downslope waste dumps.

Figure 19.
Failure modes and conditions of the idealized. (a) Model A1. (b) Model A2. (c) Model B1. (d) Model B2.
The failure modes of waste dumps are primarily dependent on the dump’s shape, as indicated by the above analysis. The qualities of waste materials can be impacted by the layout and strength of the dominant fine-gravel material, which makes it even more remarkable. Hence, a simplified continuum mechanical interpretation of the behavior of the dominant fine-gravel material was also illustrated in Figure 19. The dominant fine-gravel layer was simplified as a rectangular box and analogically analyzed by the triaxial compression failure of rock samples. Thus, the box is flat for covered waste dumps, but for downslope waste dumps, the box should be tilted, which is shown upright here for ease of understanding. When the box is placed as the inner side layer of a downslope waste dump (Figure 19c), lateral confining pressure (σah) would be given by the outer side layers, and thus the box would be invulnerable to failure under the confining effect. Similarly, when the box is placed as the bottom layer of a covered waste dump (Figure 19b), additional vertical pressure (σav) would be generated by the upper overburden layers, which makes the box overload and vulnerable to failure. Particularly in Model B2 (Figure 19d), with the damage of the box, the support for the adjacent layer was rapidly weakened, and the adjacent layer was quickly destroyed, thus resulting in the composite overall slip. The total area of the sliding bodies in Model B2 was the largest among the four models, and the damage was therefore the most severe.
A series of friction models was used to represent all possible failure processes of mine waste dumps. In this research, all the possible failure processes of mine waste dumps were represented by a series of friction models. The prerequisites for a variety of failure modes can be qualitatively determined using this method and provided resounding support to validate the efficiency of a stability analysis technique in simulated various failed modes with a set of parameters. It should be noted that internal and external factors can be used to control mine waste dumps’ stability. Further research is required on the mine waste dumps’ displacement mechanism under complex conditions. However, the findings may play a role in reducing environmental disasters and providing a scientific basis for optimizing the stability of mine waste dumps, thereby minimizing potential degradation to the environment and improving the sustainability of mining safety production.
At present, the limit equilibrium theory uses the ratio of anti-sliding force and sliding force to determine the safety factor of slope, and the strength reduction coefficient is usually used in data analysis. The calculation of non-convergence, plastic zone penetration, characteristic point strain or displacement mutation, and infinite development are three types of criteria. The present methods for obtaining the safety factor are mostly based on the shear strength and calculation criteria of rock and soil, making it challenging to use them for characterization of model results.
5. Conclusions
The waste dumps were subjected to relevant basic friction tests by considering various material layouts in the presence of self-weight loading. Measurements of displacement histories of points on the dump using a captured image and displacement system were used to analyze the displacement and failure action of waste dumps. The main conclusions were obtained as follows:
The combination of waste materials had a significant impact on the failed type of the waste dump, and there are three types that could be grouped together: crest-arced slip, bottom-arced slip, and composite overall slip. The gradual occurrence of sliding failure results in a gradual increase in the slip surface; it developed from the dominant fine-gravel material stage to the adjacent stage of the waste dump.
The waste dump’s failure process can be broken down into multiple phases with distinct displacement distribution features, such as the constant displacement phase, the strain localization phase, and the failed phase. The layout of waste materials has a significant effect on the moment at which the displacement of a waste dump enters the three phases.
By utilizing maximum shear strain and volumetric strain, it was possible to describe the waste dump’s failed principle. The waste dump’s relative degree of volumetric and shear effects was analyzed using an index named the EC to determine the dominant effect. As a result of sliding failure, the slip surface grew gradually, and the volumetric effect dominated for the elements far away from the potential slip surface and did not change much during the test. Slip-cracking failure was observed in the covered waste dumps and in a downslope waste dump with the dominant fine-gravel materials in the inner side layer, while a more complex slip-cracking and traction failure was observed in the waste dump that is situated downhill with the dominant fine-gravel materials in the outer side layer.
The stability of the waste dump was illustrated and comparatively analyzed based on a simplified approach, in which the initial cracking moment and the local failure moment were taken as an index of failure for the model tests. The downslope waste dump with the dominant fine gravel materials in the inner side layer had the highest stability level, while the downslope waste dump with the dominant fine gravel materials in the outer side layer had the lowest stability level. The covered waste dump with the dominant fine gravel materials in the bottom layer had the shortest failure process duration. The scientific basis for the stacking of waste materials in open-pit mine dumping sites is provided by the papers results, efficiently maintaining the safety and cost control of open-pit coal mine dumping projects and reducing potential harm to surrounding ecosystems, providing strong support for achieving more sustainable mining operations.
The response is significantly influenced by the properties of waste dump materials. The base friction tests lacked sufficient attention to the different physical states of waste dumps due to the limited type of waste material used. The conclusions presented in this paper should be carefully implemented in actual waste dump designs. Based on the findings of this study, future studies should conduct systematic investigations that take into account more details about the waste material properties.
Author Contributions
Conceptualization, H.D.; methodology, S.S.; software, Q.L.; validation, H.D.; formal analysis, H.D.; investigation, H.D. and S.S.; resources, J.H.; data curation, R.G.; writing—original draft preparation, H.D. and S.S.; writing—review and editing, H.D. and S.S.; visualization, Q.L.; supervision, B.Z.; project administration, R.G.; funding acquisition, J.H. All authors have read and agreed to the published version of the manuscript.
Funding
This research was funded by the Chinese National Key Research and Development Project (2017YFC1503103) and the Chinese National Science Fund (51574245).
Institutional Review Board Statement
Not applicable.
Informed Consent Statement
Not applicable.
Data Availability Statement
The scripts and datasets used and/or analyzed during the current study are available from the corresponding author on reasonable request.
Conflicts of Interest
The authors declare no conflicts of interest.
References
- Henderson, S.J. Analysis of The Long-Term Slope Stability of Waste-Rock Dumps. Master’s Dissertation, University of Adelaide, Adelaide, Australia, 1992. [Google Scholar]
- Quine, R.L. Stability and Deformation of Mine Waste Dumps in North-Central Nevada. Doctoral Dissertation, University of Nevada, Reno, NV, USA, 1993. [Google Scholar]
- Wang, G.J.; Kong, X.Y.; Yang, C.H. Research on the slope stability considering random distribution and size grading of granular in the dumping site. Disaster Adv. 2013, 6, 102–107. [Google Scholar]
- Wang, H.B.; Li, X.C.; Mi, Z.J. Research on formation evolution mechanism of waste dumps landslides on loess foundation. Rock Soil Mech. 2011, 32, 3672–3678. [Google Scholar]
- Poulsen, B.; Khanal, M.; Rao, A.M. Mine overburden dump failure: A case study. Geotech. Geol. Eng. 2014, 32, 297–309. [Google Scholar] [CrossRef]
- Sun, S.W.; Liu, L.; Yang, Z.X.; Fu, X.Y. Toward a sound understanding of a large-scale landslide at a mine waste dump, Anshan, China. Landslides 2023, 20, 2583–2602. [Google Scholar] [CrossRef]
- Yellishetty, M.; Darlington, W.J. Effects of monsoonal rainfall on waste dump stability and respective geo-environmental issues: A case study. Environ. Earth Sci. 2011, 63, 1169–1177. [Google Scholar] [CrossRef]
- Doraiswamy, D.; Ankem, S. The effect of grain size and stability on ambient temperature tensile and creep deformation in metastable beta titanium alloys. Acta. Mater. 2003, 51, 1607–1619. [Google Scholar] [CrossRef]
- Wang, J.C.; Chen, C. Stability analysis of slope at a disused waste dump by two-wedge model. Int. J. Min. Reclam. Environ. 2017, 31, 575–588. [Google Scholar] [CrossRef]
- Rassam, D.W.; Williams, D.J. 3-Dimensional effects on slope stability of high waste rock dumps. Int. J. Sur. Min. Reclam. Environ. 1999, 13, 19–24. [Google Scholar] [CrossRef]
- Baumberger, T.; Heslot, F.; Perrin, B. Crossover from creep to inertial motion in friction dynamics. Nature 1994, 367, 544–546. [Google Scholar] [CrossRef]
- Tan, P.; Chen, Z.W.; Huang, L.K.; Zhao, Q.; Shao, S.R. Evaluation of the combined influence of geological layer property; institu stresses on fracture height growth for layered formations. Pet. Sci. 2024. [Google Scholar] [CrossRef]
- Fu, H.; Huang, L.; Hou, B.; Weng, D.; Guan, B.; Zhong, T.; Zhao, Y. Experimental and Numerical Investigation on Interaction Mechanism Between Hydraulic Fracture and Natural Fracture. Rock. Mech. Rock. Eng. 2024, 1–12. [Google Scholar] [CrossRef]
- Rahmani, N. Scale Testing Hard Rock Waste Dump Stability Under Hauler Motion. Master’s Dissertation, University of Alberta, Edmonton, AB, Canada, 2014. [Google Scholar] [CrossRef]
- Mukhlisin, M.; Khiyon, K.N. The effects of cracking on slope stability. J. Geol. Soc. India 2018, 91, 704–710. [Google Scholar] [CrossRef]
- Wang, J.C.; Sun, S.W. Open Pit Slope Engineering; Science Press: Beijing, China, 2016. [Google Scholar]
- Chen, C.; Lv, H.Y.; Gao, H.N. Research on failure mode of slope dump on soft layer by model test. Chin. J. Rock Mech. Eng. 2018, 37, 2093–2109. [Google Scholar]
- Wang, H.B.; Yan, F.; Li, X.C. Evolution mechanism study of flow slide catastrophes in large waste dumps at the Nanfen iron mine. Bull. Eng. Geol. Environ. 2020, 79, 4733–4747. [Google Scholar] [CrossRef]
- Bray, J.W.; Goodman, R.E. The theory of base friction models. Int. J. Rock Mech. Min. Sci. Geomech. Abstr. 1981, 18, 453–468. [Google Scholar] [CrossRef]
- Liu, H.E.; Guang, W.U.; Wang, H. Study of base friction simulation tests based on a complicated engineered bridge slope. Front. Struct. Civ. Eng. 2012, 6, 393–397. [Google Scholar]
- Zheng, D.; Frost, J.D.; Huang, R.Q.; Liu, F.Z. Failure process and modes of rockfall induced by underground mining: A case study of Kaiyang Phosphorite Mine rockfalls. Eng. Geol. 2015, 197, 145–157. [Google Scholar] [CrossRef]
- Sun, S.; Hu, J.; Deng, A.; Xu, X.; Ding, H. Comparative tests on the failure characteristics and mechanisms of slopes with curved surfaces. Bull. Eng. Geol. Environ. 2023, 82, 357. [Google Scholar] [CrossRef]
- Zhang, G.; Hu, Y.; Zhang, J.M. New image analysis-based displacement-measurement system for geotechnical centrifuge modeling tests. Measurement 2009, 42, 87–96. [Google Scholar] [CrossRef]
- Ryu, C.H. Modeling characteristics of base friction method and distinct element method under quasi-static force field. Geosystem. Eng. 1998, 1, 23–29. [Google Scholar] [CrossRef]
- Do, T.N.; Wu, J.H. Verifying discontinuous deformation analysis simulations of the jointed rock mass behavior of shallow twin mountain tunnels. Int. J. Rock Mech. Min. 2020, 130, 104322. [Google Scholar] [CrossRef]
- Wu, J.H.; Hsieh, P.H. Numerical assessment of the impact area and the geometry of a landslide dam: The Nan-shi-keng landslide, Taiwan. J. Geo. Eng. 2021, 16, 155–167. [Google Scholar]
- Goricki, A.; Goodman, R.E. Failure modes of rock slopes demonstrated with base friction and simple numerical models. Felsbau 2003, 21, 25–30. [Google Scholar]
Disclaimer/Publisher’s Note: The statements, opinions and data contained in all publications are solely those of the individual author(s) and contributor(s) and not of MDPI and/or the editor(s). MDPI and/or the editor(s) disclaim responsibility for any injury to people or property resulting from any ideas, methods, instructions or products referred to in the content. |
© 2024 by the authors. Licensee MDPI, Basel, Switzerland. This article is an open access article distributed under the terms and conditions of the Creative Commons Attribution (CC BY) license (https://creativecommons.org/licenses/by/4.0/).