Next Article in Journal
Sources Analysis and Health Risk Assessment of Heavy Metals in Street Dust from Urban Core of Zhengzhou, China
Previous Article in Journal
A Study on the Impact of China’s Prefabricated Building Policy on the Carbon Reduction Benefits of China’s Construction Industry Based on a Difference-in-Differences Method
 
 
Font Type:
Arial Georgia Verdana
Font Size:
Aa Aa Aa
Line Spacing:
Column Width:
Background:
Article

An Empirical Study on Lightweight CNN Models for Efficient Classification of Used Electronic Parts

by
Praneel Chand
1,* and
Mansour Assaf
2
1
Sydney International School of Technology and Commerce, Sydney, NSW 2000, Australia
2
School of Information Technology, Engineering, Mathematics and Physics, The University of the South Pacific, Suva 1168, Fiji
*
Author to whom correspondence should be addressed.
Sustainability 2024, 16(17), 7607; https://doi.org/10.3390/su16177607
Submission received: 7 August 2024 / Revised: 29 August 2024 / Accepted: 30 August 2024 / Published: 2 September 2024
(This article belongs to the Section Energy Sustainability)

Abstract

The problem of electronic waste (e-waste) presents a significant challenge in our society as outdated electronic devices are frequently discarded rather than recycled. To tackle this issue, it is important to embrace circular economy principles. One effective approach is to desolder and reuse electronic components, thereby reducing waste buildup. Automated vision-based techniques, often utilizing deep learning models, are commonly employed to identify and locate objects in sorting applications. Artificial intelligence (AI) and deep learning processes often require significant computational resources to perform automated tasks. These computational resources consume energy from the grid. Consequently, a rise in the use of AI can lead to higher demand for energy resources. This research empirically develops a lightweight convolutional neural network (CNN) model by exploring models utilising various grayscale image resolutions and comparing their performance with pre-trained RGB image classifier models. The study evaluates the lightweight CNN classifier’s ability to achieve an accuracy comparable to pre-trained red–green–blue (RGB) image classifiers. Experiments demonstrate that lightweight CNN models using 100 × 100 pixels and 224 × 224 pixels grayscale images can achieve accuracies on par with more complex pre-trained RGB classifiers. This permits the use of reduced computational resources for environmental sustainability.

1. Introduction

The growing issue of electronic waste (e-waste) poses a challenge in our society as old electronic items are often discarded instead of being recycled. To address this problem and promote sustainability, it is necessary for individuals and organisations to adopt the principles of circular economy [1]. One viable solution is to desolder and reuse parts, thus reducing waste accumulation (Figure 1).
An important part of the recycling process is the correct detection of objects. Automated vision-based techniques are commonly used to identify and locate objects in the workspace. These techniques often rely on artificial intelligence (AI) tools such as machine learning and deep learning [2,3,4]. Vision sensors can be mounted overhead in the environment or attached to the tool that is used to manipulate objects [5,6,7].
Depending on the location of the vision sensor, data are collected in the form of images for training a machine-learning model. The properties of the images in the dataset are a contributing factor in determining the complexity of the machine learning model. Images can be red–green–blue (RGB) colour or grayscale and have various resolutions. Low-resolution two-dimensional grayscale images can be converted into single-dimension arrays and input to shallow neural networks (SNNs) or support vector machines (SVMs) for classification [8]. Feature extraction techniques such as the bag of visual words (BoVW) [9], scale-invariant feature transform (SIFT) [10], or principal component analysis (PCA) [11] can be applied to reduce the dimensionality of the data before input into the classifier. However, traditional machine learning models such as SNNs and SVMs have limited accuracy.
Higher accuracy is typically achieved with deep learning models such as convolutional neural networks (CNNs) [12,13]. Commonly used pre-trained deep learning models employ RGB colour image inputs with resolutions such as 224 × 224 pixels (e.g., ResNet-50, MobileNet-v2, VGG-16), 227 × 227 pixels (e.g., SqueezeNet, AlexNet), or 299 × 299 pixels (e.g., Inception, Xception) [14]. However, deep learning processes often require significant computational resources to perform tasks. These computational resources consume energy from the grid. Consequently, the ever-increasing use of AI in automated systems can place high demands on energy resources. Recently, the areas of green AI [15,16,17] and energy consumption in deep learning models [18,19] have been discussed. The consensus is that researchers and practitioners need to be accountable for the carbon emissions of AI models they develop. Important considerations such as precision/energy trade-off, algorithm design, and network architecture are reviewed in [15]. According to [16], algorithmic efficiency can mitigate the upcoming energy crisis. Targeted refinement of AI algorithms can produce meaningful reductions. The focus is on energy consumption during inference (post-training execution of AI models) in [18,19]. While object detection and image classification have moderate consumption, an increase in their future applications will increase energy uptake. Therefore, it is important to balance the complexity of deep learning models against the potential performance improvements.
One of the common applications of computer vision is inspecting the quality and integrity of printed circuit boards (PCBs) [10,11,20]. Deep neural network-based image classification techniques have been employed to detect Integrated Circuit (IC) components and verify proper positioning on the completed PCB product in [20]. An upper limit accuracy of 92.31% was achieved with a Siamese network based on the VGG-16 deep learning model. Deep learning has also been used to recognise tiny surface-mount electronic components on PCBs in [11]. The SqueezeNet model was selected due to its reduced number of parameters while preserving accuracy when compared with other models such as AlexNet and VGG-16. Furthermore, an optimised faster SqueezeNet architecture was designed to produce a true positive rate (TPR) of 99.99%.
Deep learning techniques have recently been utilised to detect and classify loose electrical and electronic components [8,13,21,22,23,24]. A customised CNN architecture has been developed to classify three categories of parts: resistors, diodes, and capacitors [13]. The model uses six convolution layers and four pooling layers. Performance was benchmarked against four common pre-trained deep learning architectures (AlexNet, GoogleNet, ShuffleNet, and SqueezeNet). An accuracy of 98.99% was achieved using the custom CNN model. This was superior to the accuracy of the pre-trained models (92.95% to 96.67%).
Variations of the ‘you only look once’ (YOLO [25]) deep learning architecture have also been used to classify electronic parts [21,22]. Fast and accurate real-time object detection is one of the major advantages of YOLO. Bounding boxes and class probabilities are directly predicted from full images in one evaluation. The YOLO-v3 and MobileNet architectures have been combined to classify four electronic components (three types of capacitors and an inductor) [22]. The basic network architecture is based on YOLO-v3, where the Darknet53 backbone is replaced with the MobileNet architecture. Experiments yielded a mean average precision (mAP) of 0.9521 with a dataset containing 1000 images.
Furthermore, the YOLO-v4 tiny architecture has also been used for real-time electronic component detection [21]. On its own, YOLO-v4 was able to classify twenty types of electronic components with an accuracy of 93.74%. In conjunction with a multiscale attention module (MAM) for filtering out redundant and erroneous features, the YOLO-v4 tiny network accuracy improved to 98.6%. A large dataset comprising 12,000 608 × 608 pixels RGB images was used for the classification task.
Faster R-CNN is also a potential deep learning model for detecting and classifying electronic parts [26]. In R-CNN, a region proposal network shares full-image convolutional features with a detection network. The fully convolutional network simultaneously predicts object bounds and objectness scores at each position. However, it has been shown that Faster R-CNN performs poorly in classifying small, relatively featureless objects [20]. Electronic components such as integrated circuits (ICs) achieved a precision and recall close to zero.
Many electronic component classifiers depend on large datasets for training models. This can be a tedious process. Hence, an approach based on a Siamese network utilising a reduced-size dataset has recently been developed [23]. An improved VGG-16 model was proposed as the feature extraction part of the Siamese network for small sample conditions. A novel correlation loss function improved the model’s generalisation performance. A nearest neighbour algorithm was used to complete the classification work. The dataset comprised 17 different types of electronic components, with 182 images for each type. A 94% accuracy with 15 training samples was achieved in experimental results.
The application of CNNs for classifying electronic components in industrial settings has been discussed in [24]. Electronic components were classified on an assembly line using a fixed-mounted camera. An image dataset comprising 3994 images of 11 classes was created. This translates to approximately 363 images for each class. Both custom and pre-trained networks were developed and tested. The custom baseline model used 152 × 202 pixels RGB image inputs with two convolutional layers and two dense fully connected (FC) layers. Various settings were applied to the convolutional layer filters and FC neurons. The custom network achieved up to 96.59% accuracy. The best pre-trained network accuracies varied between 97.81% and 99.03%.
Previously, a robotic system has been developed to sort three types of electronic components (capacitors, potentiometers, and IC voltage regulators) [5,27]. A lightweight custom CNN model was used to classify components. Low-resolution 30 × 30 pixel grayscale images were input to the model. The model had three convolutional layers and one FC layer. An accuracy of 98.1% was achieved by the custom model.
This paper extends the work presented in [5] by investigating more lightweight models utilising various image resolutions and comparing performance with pre-trained RGB image classifier models. The purpose of the study is to empirically develop a lightweight CNN classifier that can achieve an accuracy close to pre-trained RGB classifiers for sustainable AI.
Many of the existing methods and systems for sorting electronic components do not consider factors to mitigate the complexity of their AI algorithms. There is an implicit assumption that processor power can always be increased to account for increased complexity. However, the proliferation of AI in automated systems can create an AI energy crisis [28].

2. Materials and Methods

2.1. Conceptual Framework

An overview of the proposed circular economy concept for learning environments is illustrated in Figure 1. It is possible to reuse electronic components from small-scale printed circuit boards (PCBs) made by students as part of their practical assessments. The current focus of the research is on sorting loose electronic components, which have already been removed from the PCB. Figure 2 shows the setup of a Niryo Ned robotic arm [29,30] and the corresponding workspace for sorting the components. A webcam is mounted above the centre of the workspace to capture images.
A broad overview of the sorting process is presented in Figure 3. The process begins with an image of the workspace being captured via the webcam. Next, the captured image is processed to detect the presence and position of objects within the workspace. The object images are then resized for CNN model input compliance. The CNN model then determines the object class, and the object is transferred from the workspace to a bin.

2.2. Object Detection

Detecting the presence of objects within an image of the workspace is an important part of the pre-processing phase. This is used to collect images of individual electronic components for the dataset. It is also used to locate an object within the workspace during the execution of the sorting task. A summary of the main stages of the object detection process [5] is illustrated in Figure 4.
First, an RGB image of the entire workspace is captured at a resolution of 960 × 720 pixels (4:3 aspect ratio high-definition image). Following this, the captured image is converted to grayscale format. Next, the Canny edge detection algorithm is applied to the grayscale image to obtain a binary image which contains the outlines (edges) of any objects. The outlines of objects are dilated to improve connectivity. Following this, a flood fill algorithm is applied to the dilated binary image to produce solid shapes. Bounding boxes of solid objects are determined and pixels within the bounding box are extracted (from the grayscale and/or RGB image(s)). Lastly, the extracted portions of the images are resized based on the CNN classifier input requirements (Table 1 and Table 2).

2.3. Deep Learning Classifier

Figure 5 illustrates the block diagram of the deep learning CNN approach used in this research. This process is similar to other CNN models discussed in Section 1. The electronic component dataset consists of three classes: capacitors, potentiometers, and IC voltage regulators. Images in the dataset are resized appropriately for input to the various CNN models. The pre-trained CNN models used in this research include ResNet-50, MobileNet-v2, VGG-16, GoogleNet, and EfficientNet-b0. Additionally, a custom CNN model derived from [5] is utilised. The dataset is randomly divided into 70% training, 15% validation, and 15% test data. Consequently, the trained model can classify the test data.

2.4. Convolutional Neural Networks (CNNs)

As outlined in Section 1, CNNs are a widely used deep learning architecture for classification tasks due to their high performance (accuracy). The fundamental structure of a CNN comprises input, convolution, activation, pooling, fully connected, and output layers. A variety of models have been developed using various combinations of these layers. A simple series combination of the basic layers is illustrated in Figure 6. Many real-world CNN models (e.g., Table 2) can be much deeper and more complex, utilising components such as skip connections, batch normalisation, and residual blocks.
The CNN starts with an input layer that receives the raw image data. There is an input neuron for each pixel in the image. Convolutional layers are the core building blocks of the CNN. These layers extract local features from the input image by applying convolution operations. The convolution process involves multiple filters (or kernels) sliding across the image and computing dot products with local patches. For example, consider a grayscale image represented as an m × m matrix with xij the entry of the matrix for i = 1, …, m and j = 1, …, m. Consider now a convolution filter H, which is taken as an n × n matrix (n is typically a small integer, such as 2,4,6, etc., that represents the filter size). The convolution of the image x with the filter H is another image matrix y given by Equation (1). For i and j that are out of range, xij is treated as zero.
y i j = a = 1 n b = 1 n H a b x i + a ( j + b )
In addition to filter size, two common parameters, padding and stride, also control the specific dimensions of the output image and the sliding movement of the filter over the input image. The output image is a feature map that highlights specific patterns (edges, textures, etc.) in the input image.
A nonlinear activation function, such as a rectified linear unit (ReLU) (Equation (2), is applied to remove negative values from the convolution process. After passing through the activation function, the feature map is downsampled via pooling layers. Common pooling methods include max pooling and average pooling, where a pooling filter size and stride are specified. The maximum value in each local region is selected in max pooling, while average pooling takes the average of the local region. For a feature map having dimensions qh × qw × qc, the dimensions of the output obtained after a pooling layer are given by Equation (3).
y a i j = f ( y i j ) = m a x   ( 0 , y i j )
r h × r w × r c = ( q h p + 1 ) / s × ( q w p + 1 ) / s × q c
where qh is the height of the feature map, qw is the width of the feature map, qc is the number of channels in the feature map, p is the pooling filter size, s is the stride of the pooling layer, rh is the height of the downsampled feature map, rw is the width of the downsampled feature map, and rc is the number of channels in the downsampled feature map.
A fully connected (FC) layer is utilised for classification after the sequence of convolution layers, activation functions, and pooling layers. The FC layer connects every neuron to every neuron in the previous layer. Finally, the output layer consists of SoftMax activation units, providing class probabilities.

2.5. Performance Metrics

The success of model classifications is dependent on the number of samples identified as true positive and true negative. False positives and false negatives lead to incorrect classifications. Performance can be summarised in the form of a confusion matrix (Figure 7) [31]. Accuracy measures how often the classifier correctly predicts the class labels (Equation (4)). Precision quantifies the proportion of true positive predictions among all positive predictions (Equation (5)). Recall (sensitivity) calculates the proportion of true positive predictions among all actual positive instances (Equation (6)). The F-Score is the harmonic mean of precision and recall (Equation (7)).
A c c u r a c y = T P + T N T P + F P + F N + T N
P r e c i s i o n = T P T P + F P
R e c a l l = T P T P + F N
F S c o r e = 2 × P r e c i s i o n × R e c a l l P r e c i s i o n + R e c a l l
Another performance measurement parameter is the receiver operating characteristic (ROC) curve. This curve assesses the effectiveness of machine learning classification algorithms by plotting the true positive rate (recall) against the false positive rate at various classification thresholds. Figure 8 illustrates an example of ROC curves.

2.6. Baseline Custom CNN Model

The baseline custom CNN model is a feedforward neural network utilising a two-dimensional grayscale image input. Inspired by [32], it has three convolution layers, two pooling layers, one fully connected layer, one softmax, and an output classification layer (Figure 9). This configuration is highly lightweight in comparison to the pre-trained models listed in Table 2. The basic structure remains the same regardless of the input image size. The number of filters in the convolution layers Conv-1, Conv-2, and Conv-3 is set to 10, 20, and 40, respectively. In previous research [5], there was little variation in accuracy around this setting.
Table 1 details the different custom CNN models tested in this research. The five model types are categorised based on input image size ranging from 10 × 10 pixels to 224 × 224 pixels. In each model type, the convolution filter size in all convolution layers is varied simultaneously (2, 4, or 6). The stride in all convolution layers is set to 1. Additionally, the pooling layer filter and stride sizes are kept the same in all pooling layers and adjusted based on the values given in Table 1. For example, model type 4 has a 100 × 100 pixels input. Within model type 4, Model 100-4-3 has a convolution filter size of 4 and a pooling filter and stride size of 3.

2.7. Pre-Trained Models

Several pre-trained CNN models are available for image classification as outlined in Section 1. These models have been trained using millions of images and have several output classes. Transfer learning [33] can be applied to adapt these pre-trained models to other image classification tasks such as electronic parts identification. By leveraging the learned features from the pre-trained model, the updated model can learn more quickly and effectively on the new classification task. Transfer learning helps prevent overfitting and allows the reuse of general features across related tasks. Since this research is investigating the merits of low-resolution images, a selection of the 224 × 224 pixel-size input image models has been selected (Table 2). During the transfer learning process, the last layers of the CNN model (typically the classification layers) are replaced with new layers for the new task. Most of the other layers are typically ‘frozen’ (i.e., kept the same) since the problem domain is similar.

3. Results

3.1. Datasets and Configuration

In this research, the classification of electronic components is performed using deep learning models with a variety of input image resolutions. The image database contains an even distribution of images, as outlined in Table 3. There are a total of 1734 images in each image set. The images in each category have been extracted from the same original images of the workspace (Figure 2). A visual comparison of the level of detail in each image set is provided in Figure 10. The lower-resolution images (30 × 30 grayscale and lower) lack detail, and this may impact classification accuracy.
Each image set was randomly divided into 70% training (1214 images), 15% validation (260 images), and 15% test (260 images). A Windows 11 Dell Inspiron 7630 laptop (Syndey, Australia) running Matlab 2021a was used to implement the various classifiers. The hardware configuration included an Intel i7-1360P processor and 16 GB RAM. The CNN model training parameters are outlined in Table 4. These values have been selected based on similar image classification tasks implemented using Matlab. The validation frequency has been determined using Equation (8) [34].
Validation   frequency = f l o o r ( T r a i n i n g   I m a g e s M i n i b a t c h   s i z e )

3.2. Custom CNN Models

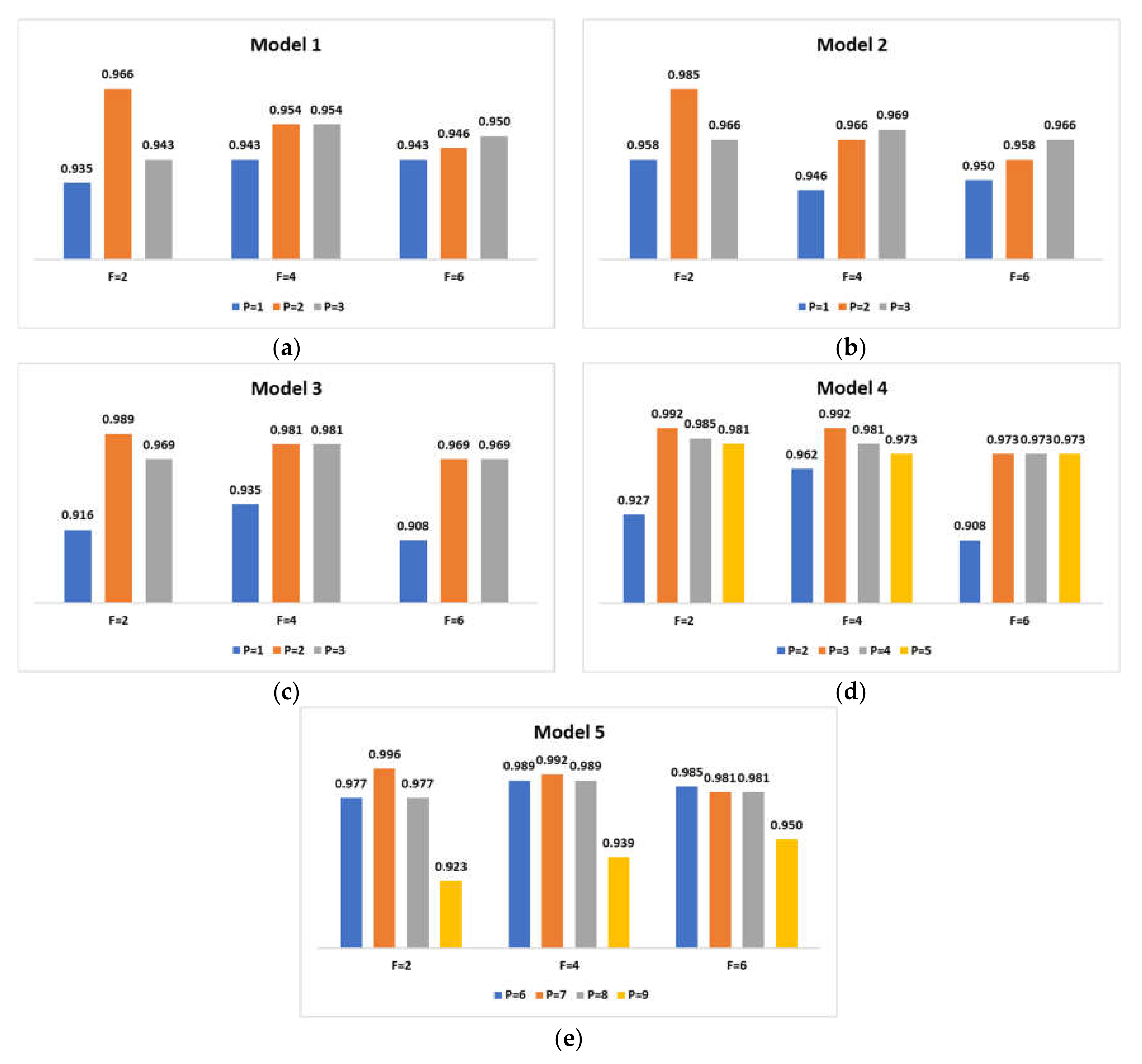
Figure 11 shows the test accuracy of the various custom CNN models listed in Table 1. Convolution filter size 2 can produce the highest classification accuracy in all model types. For the lower-resolution image model types (Model 1, Model 2, and Model 3), pooling filter and stride size 2 can produce the highest classification accuracy. In the higher-resolution image model types (Model 4 and Model 5), the pooling filter and stride size need to be increased to improve accuracy. The results indicate that there is an ‘empirically optimal’ pooling filter and stride size for convolution filter size 2 in all model types. The model with the highest accuracy within each model type is listed in Table 5.
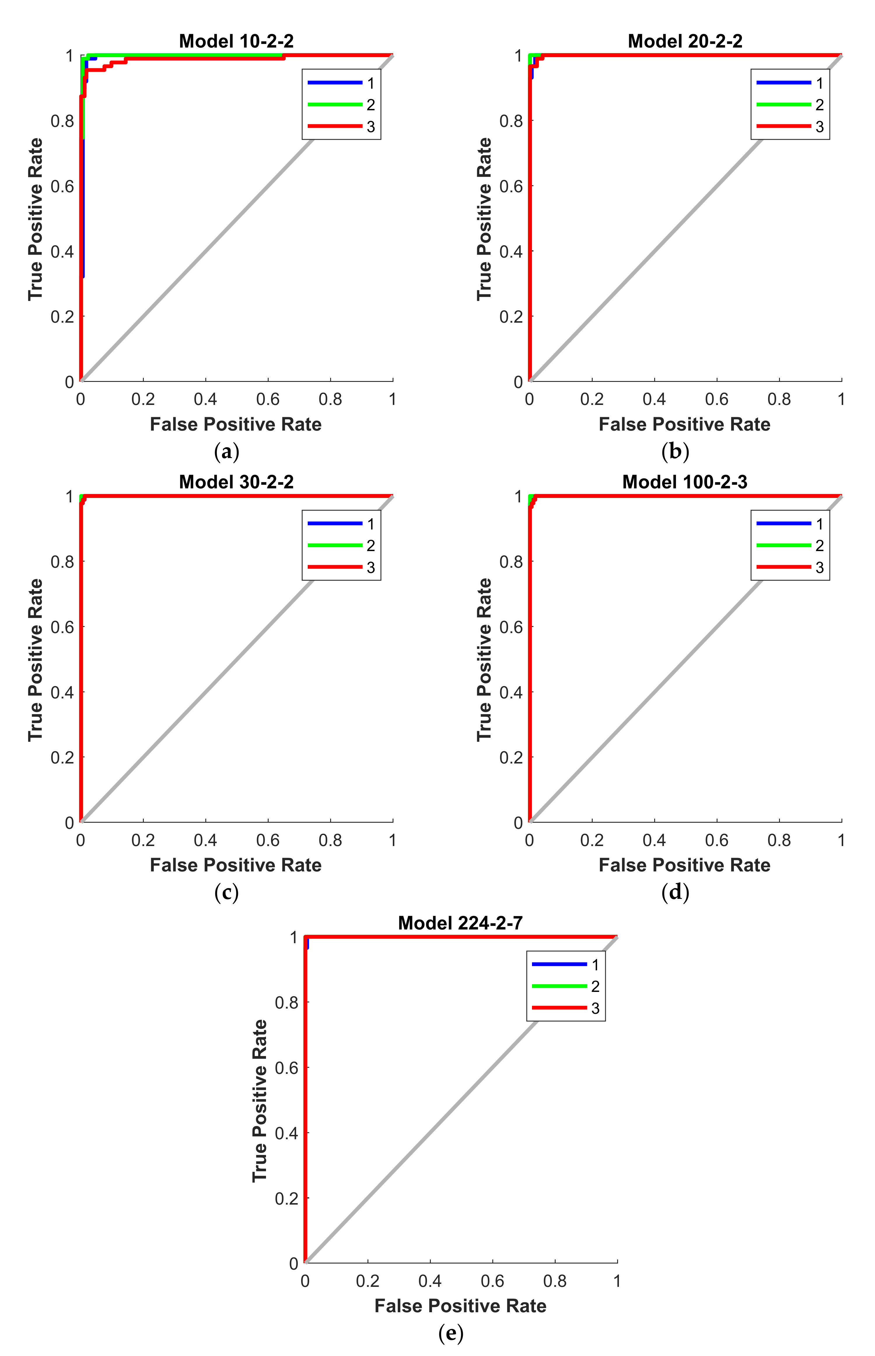
Further analysis of the models in Table 5 is provided in Figure 12 and Figure 13 and Table 6. Figure 12 illustrates the confusion matrices for each of the models. The confusion matrices illustrate the precision (at the right end of each row) and recall (at the bottom end of each column) for each class, along with the accuracy (bottom right diagonal entry). Figure 13 shows the corresponding ROC curves and the improvement as image resolution increases. Table 6 lists the average precision, recall, and F-score for each model.

3.3. Pre-Trained CNN Models

Figure 14 illustrates the confusion matrices for each of the pre-trained CNN models listed in Table 2. The corresponding ROC curves are similar to Figure 13c,d. All pre-trained models produced unity precision and recall values for class 2. The small number of misclassifications were related to classes 1 and 3. Table 7 lists the accuracy, precision, recall, and F-score for each model. The values are the averages across all classes.

4. Discussion

4.1. Custom and Pre-Trained CNN Models Comparison

The custom and pre-trained CNN model results are compared based on accuracy and model complexity. Model complexity is characterised by size and execution time. Size is determined by the memory space required to store the Matlab-based model. Execution time is calculated as the total time taken to execute ten iterations of classification on the test dataset. Table 8 details the corresponding values of the various models. The execution time and size of each custom CNN model are much smaller than those of the pre-trained CNN models. This is due to the custom models utilising grayscale image inputs instead of RGB image inputs. The use of grayscale images leads to the lightweight baseline model shown in Figure 9. The accuracy of Model 30-2-2, Model 100-2-3, and Model 224-2-7 compare favourably with the accuracies of the pre-trained CNN models. This permits the use of reduced computational resources during the inference process, where repeated calls to the classification algorithm are typically made.
Accuracy and execution time are combined into a single score using Equation (9). Execution time is normalised using a maximum value of 150 to account for the highest execution time in Table 8. Since accuracy is of primary importance, it is given a weighting of 0.99 (or 99%). Table 9 ranks each model based on descending score values. A higher score implies a better model. Two custom CNN models, Model 224-2-7 and Model 100-2-3, have the highest scores. The top-scoring pre-trained CNN model (MobileNet-v2) is in third place.
Score = 0.99 × A c c u r a c y + 0.01 ( 150 E x e c u t i o n   T i m e 150 )

4.2. Comparison with Other Studies

Grayscale images are employed by the lightweight custom CNN models presented in this paper. This inherently reduces the complexity of the classification models and facilitates implementation on standard laptop computers. However, classification accuracy should be on par with other research studies that tend to use RGB images. Table 10 compares the three best lightweight custom CNN models with the properties of a selection of other deep learning models from Section 1. The accuracy of the lightweight custom CNN models compares favourably with the models developed by other researchers.
Most of the models surveyed in Section 1 and Table 10 primarily focus on improving accuracy without considering model complexity. Atik [13] did not compare the execution time of their custom CNN model with pre-trained models. The VGG-16-based Siamese network model developed by Cheng, Wang, and Wu [23] focuses on reducing the dataset requirements for training a model but does not consider execution time.
Variations in input image resolution and class categories limit the ability to directly compare computation volume and speed across the various models. However, the results from the previous section indicate that RGB image input models are likely to be more complex and require increased computational resources. How much computational resources are saved cannot be directly quantified as this varies for different processors and computer configurations. However, execution times on the same processor/computing device configuration have been compared, and reduced execution time implies lower complexity, which in turn implies reduced computational resource requirements.
Hożyń [24] compared the execution time of their custom CNN model with pre-trained models. The ratio of their custom model’s execution time to VGG-16 and ResNet-50 is 0.1792 and 0.2035, respectively. In this research, the ratio of the lightweight custom CNN model’s (Model 224-2-7) execution time to VGG-16 and ResNet-50 is 0.0202 and 0.0551, respectively. Lower ratio values for the lightweight custom CNN model imply less computational complexity and lower computational requirements.
Some of the other models surveyed can classify more than ten types of components. It would be useful to investigate if lower-resolution grayscale images can be used to achieve similar results when the number of classes is increased.

5. Conclusions

This paper presents an empirical study on classifying used electronic parts with lightweight custom CNN deep learning models for efficient classification. The classification of used parts forms part of a recycling process in a circular economy for environmental sustainability. Moreover, the high uptake of AI automated systems is placing increasing demands on energy resources. Therefore, the development of deep learning systems should balance complexity against potential performance improvements. In this respect, the lightweight custom CNN model employs grayscale images to reduce model complexity. Various resolutions of grayscale images have been tested. Lightweight models utilising 100 × 100 pixels and 224 × 224 pixels grayscale images can achieve the same accuracy as pre-trained CNN models such as ResNet-50, MobileNet-v2, VGG-16, and EfficientNet-b0. When scoring the tested deep learning models with 1% weight for execution time and 99% weight for accuracy, two of the lightweight custom CNN models ranked highest. Similar metrics for model complexity, such as floating point operations (FLOPs), could be used to score and rank deep learning models for balancing complexity and performance (accuracy).
The broader implications of this study highlight the increasing energy demands associated with the advancement of AI automated systems. As global energy consumption inevitably continues to rise, it is imperative to consider the impact of deploying advanced automation technologies. The development and deployment of deep learning models must prioritize energy efficiency for sustainable energy utilisation.
For practitioners, it is recommended to adopt lightweight models that maintain high accuracy while reducing computational complexity and energy consumption. This approach not only supports environmental sustainability but can also enhance the scalability and accessibility of AI solutions. Policymakers should incentivise research and development in energy-efficient AI technologies and establish regulations that promote the use of sustainable practices in the tech industry.
Future work will involve extending the number of part classes that the lightweight custom CNN models can detect. Further investigation into the use of various resolution grayscale images and their performance evaluation will be conducted. Balancing the performance and complexity of deep learning models is crucial for sustainable AI development. By adopting energy-efficient practices and supporting policies, sustainable AI can be realised.

Author Contributions

Conceptualization, P.C.; methodology, P.C.; software, P.C. and M.A.; validation, P.C. and M.A.; formal analysis, P.C.; investigation, P.C. and M.A.; resources, P.C. and M.A.; data curation, P.C.; writing—original draft preparation, P.C.; writing—review and editing, P.C. and M.A.; visualization, P.C.; project administration, P.C.; funding acquisition, P.C. All authors have read and agreed to the published version of the manuscript.

Funding

This research received no external funding.

Institutional Review Board Statement

Not applicable.

Informed Consent Statement

Not applicable.

Data Availability Statement

The data presented in this study are available on request from the corresponding author.

Conflicts of Interest

The authors declare no conflicts of interest.

References

  1. Arruda, E.H.; Melatto, R.A.P.B.; Levy, W.; Conti, D.d.M. Circular economy: A brief literature review (2015–2020). Sustain. Oper. Comput. 2021, 2, 79–86. [Google Scholar] [CrossRef]
  2. Janiesch, C.; Zschech, P.; Heinrich, K. Machine learning and deep learning. Electron. Mark. 2021, 31, 685–695. [Google Scholar] [CrossRef]
  3. Sharma, N.; Sharma, R.; Jindal, N. Machine Learning and Deep Learning Applications-A Vision. Glob. Transit. Proc. 2021, 2, 24–28. [Google Scholar] [CrossRef]
  4. Sarker, I.H. Deep Learning: A Comprehensive Overview on Techniques, Taxonomy, Applications and Research Directions. SN Comput. Sci. 2021, 2, 420. [Google Scholar] [CrossRef] [PubMed]
  5. Chand, P.; Lal, S. Vision-based Detection and Classification of Used Electronics Parts. Sensors 2022, 22, 9079. [Google Scholar] [CrossRef]
  6. Wang, Y.; Zhou, Y.; Wei, L.; Li, R. Design of a Four-Axis Robot Arm System Based on Machine Vision. Appl. Sci. 2023, 13, 8836. [Google Scholar] [CrossRef]
  7. Sun, R.; Wu, C.; Zhao, X.; Zhao, B.; Jiang, Y. Object Recognition and Grasping for Collaborative Robots Based on Vision. Sensors 2024, 24, 195. [Google Scholar] [CrossRef]
  8. Chand, P. Investigating Vision Based Sorting of Used Items. In Proceedings of the 2022 IEEE International Conference on Artificial Intelligence in Engineering and Technology (IICAIET), Kota Kinabalu, Malaysia, 13–15 September 2022; pp. 1–5. [Google Scholar]
  9. Ionescu, R.T.; Popescu, M. Object Recognition with the Bag of Visual Words Model. In Knowledge Transfer between Computer Vision and Text Mining: Similarity-Based Learning Approaches; Springer International Publishing: Cham, Switzerland, 2016; pp. 99–132. [Google Scholar]
  10. Goobar, L. Machine Learning Based Image Classification of Electronic Components; KTH: Stockholm, Sweden, 2013. [Google Scholar]
  11. Xu, Y.; Yang, G.; Luo, J.; He, J. An Electronic Component Recognition Algorithm Based on Deep Learning with a Faster SqueezeNet. Math. Probl. Eng. 2020, 2020, 2940286. [Google Scholar] [CrossRef]
  12. Alzubaidi, L.; Zhang, J.; Humaidi, A.J.; Al-Dujaili, A.; Duan, Y.; Al-Shamma, O.; Santamaría, J.; Fadhel, M.A.; Al-Amidie, M.; Farhan, L. Review of deep learning: Concepts, CNN architectures, challenges, applications, future directions. J. Big Data 2021, 8, 53. [Google Scholar] [CrossRef]
  13. Atik, I. Classification of Electronic Components Based on Convolutional Neural Network Architecture. Energies 2022, 15, 2347. [Google Scholar] [CrossRef]
  14. Mathworks. Pretrained Deep Neural Networks. Available online: https://au.mathworks.com/help/deeplearning/ug/pretrained-convolutional-neural-networks.html (accessed on 18 March 2024).
  15. Verdecchia, R.; Sallou, J.; Cruz, L. A systematic review of Green AI. WIREs Data Min. Knowl. Discov. 2023, 13, e1507. [Google Scholar] [CrossRef]
  16. Tripp, C.; Bensen, E.; Hayne, L.; Perr-Sauer, J.; Lunacek, M. Green AI: Insights Into Deep Learning’s Looming Energy Efficiency Crisis. In Proceedings of the Conference: Presented at the AI and Electric Power Summit, Rome, Italy, 4–6 October 2022; U.S. Department of Energy: Washington, DC, USA, 2022. [Google Scholar]
  17. Salehi, S.; Schmeink, A. Data-Centric Green Artificial Intelligence: A Survey. IEEE Trans. Artif. Intell. 2024, 5, 1973–1989. [Google Scholar] [CrossRef]
  18. Desislavov, R.; Martínez-Plumed, F.; Hernández-Orallo, J. Trends in AI inference energy consumption: Beyond the performance-vs-parameter laws of deep learning. Sustain. Comput. Inform. Syst. 2023, 38, 100857. [Google Scholar] [CrossRef]
  19. Luccioni, S.; Jernite, Y.; Strubell, E. Power Hungry Processing: Watts Driving the Cost of AI Deployment? In Proceedings of the 2024 ACM Conference on Fairness, Accountability, and Transparency, Rio de Janeiro, Brazil, 3–6 June 2024; pp. 85–99. [Google Scholar]
  20. Reza, M.A.; Chen, Z.; Crandall, D.J. Deep Neural Network–Based Detection and Verification of Microelectronic Images. J. Hardw. Syst. Secur. 2020, 4, 44–54. [Google Scholar] [CrossRef]
  21. Guo, C.; Lv, X.-l.; Zhang, Y.; Zhang, M.-l. Improved YOLOv4-tiny network for real-time electronic component detection. Sci. Rep. 2021, 11, 22744. [Google Scholar] [CrossRef] [PubMed]
  22. Huang, R.; Gu, J.; Sun, X.; Hou, Y.; Uddin, S. A Rapid Recognition Method for Electronic Components Based on the Improved YOLO-V3 Network. Electronics 2019, 8, 825. [Google Scholar] [CrossRef]
  23. Cheng, Y.; Wang, A.; Wu, L. A Classification Method for Electronic Components Based on Siamese Network. Sensors 2022, 22, 6478. [Google Scholar] [CrossRef]
  24. Hożyń, S. Convolutional Neural Networks for Classifying Electronic Components in Industrial Applications. Energies 2023, 16, 887. [Google Scholar] [CrossRef]
  25. Redmon, J.; Divvala, S.; Girshick, R.; Farhadi, A. You Only Look Once: Unified, Real-Time Object Detection. In Proceedings of the 2016 IEEE Conference on Computer Vision and Pattern Recognition (CVPR), Las Vegas, NV, USA, 27–30 June 2016; pp. 779–788. [Google Scholar]
  26. Ren, S.; He, K.; Girshick, R.; Sun, J. Faster R-CNN: Towards Real-Time Object Detection with Region Proposal Networks. In Proceedings of the Advances in Neural Information Processing Systems 28 (NIPS 2015), Montreal, QC, Canada, 7–12 December 2015; pp. 1–9. [Google Scholar]
  27. Chand, P. A Low-Resolution Used Electronic Parts Image Dataset for Sorting Application. Data 2023, 8, 20. [Google Scholar] [CrossRef]
  28. Crawford, K. Generative AI is guzzling water and energy. Nature 2024, 626, 693. [Google Scholar] [CrossRef]
  29. Chand, P. Developing a Matlab Controller for Niryo Ned Robot. In Proceedings of the 2022 International Conference on Technology Innovation and Its Applications (ICTIIA), Tangerang, Indonesia, 23–25 September 2022; pp. 1–5. [Google Scholar]
  30. Niryo. NED User Manual. Available online: https://docs.niryo.com/robots/ned/ (accessed on 30 June 2022).
  31. Ting, K.M. Confusion Matrix. In Encyclopedia of Machine Learning; Sammut, C., Webb, G.I., Eds.; Springer: Boston, MA, USA, 2010; p. 209. [Google Scholar]
  32. Mathworks. Create Simple Deep Learning Network for Classification. Available online: https://au.mathworks.com/help/deeplearning/ug/create-simple-deep-learning-network-for-classification.html (accessed on 5 October 2023).
  33. Hosna, A.; Merry, E.; Gyalmo, J.; Alom, Z.; Aung, Z.; Azim, M.A. Transfer learning: A friendly introduction. J. Big Data 2022, 9, 102. [Google Scholar] [CrossRef]
  34. Mathworks. Train Deep Learning Network to Classify New Images. Available online: https://au.mathworks.com/help/deeplearning/ug/train-deep-learning-network-to-classify-new-images.html#TransferLearningUsingGoogLeNetExample-2 (accessed on 26 June 2024).
Figure 1. Overview of the circular economy concept in learning environments.
Figure 1. Overview of the circular economy concept in learning environments.
Sustainability 16 07607 g001
Figure 2. Robotic arm and workspace set up.
Figure 2. Robotic arm and workspace set up.
Sustainability 16 07607 g002
Figure 3. Broad overview of the sorting process.
Figure 3. Broad overview of the sorting process.
Sustainability 16 07607 g003
Figure 4. Main stages of the object detection process.
Figure 4. Main stages of the object detection process.
Sustainability 16 07607 g004
Figure 5. Block diagram of the deep learning CNN method.
Figure 5. Block diagram of the deep learning CNN method.
Sustainability 16 07607 g005
Figure 6. Fundamental structure of a CNN for image classification.
Figure 6. Fundamental structure of a CNN for image classification.
Sustainability 16 07607 g006
Figure 7. Performance summarised in a confusion matrix.
Figure 7. Performance summarised in a confusion matrix.
Sustainability 16 07607 g007
Figure 8. ROC curve examples.
Figure 8. ROC curve examples.
Sustainability 16 07607 g008
Figure 9. Layers of the baseline custom CNN model.
Figure 9. Layers of the baseline custom CNN model.
Sustainability 16 07607 g009
Figure 10. Visual comparison of sample images.
Figure 10. Visual comparison of sample images.
Sustainability 16 07607 g010
Figure 11. Test accuracy of the various custom CNN models listed in Table 1. (a) Model 1; (b) Model 2; (c) Model 3; (d) Model 4; (e) Model 5.
Figure 11. Test accuracy of the various custom CNN models listed in Table 1. (a) Model 1; (b) Model 2; (c) Model 3; (d) Model 4; (e) Model 5.
Sustainability 16 07607 g011
Figure 12. Confusion matrices of the best custom CNN models listed in Table 5. (a) Model 10-2-2; (b) Model 20-2-2; (c) Model 30-2-2; (d) Model 100-2-3; (e) Model 224-2-7.
Figure 12. Confusion matrices of the best custom CNN models listed in Table 5. (a) Model 10-2-2; (b) Model 20-2-2; (c) Model 30-2-2; (d) Model 100-2-3; (e) Model 224-2-7.
Sustainability 16 07607 g012
Figure 13. ROC curves of the best custom CNN models listed in Table 5. (a) Model 10-2-2; (b) Model 20-2-2; (c) Model 30-2-2; (d) Model 100-2-3; (e) Model 224-2-7.
Figure 13. ROC curves of the best custom CNN models listed in Table 5. (a) Model 10-2-2; (b) Model 20-2-2; (c) Model 30-2-2; (d) Model 100-2-3; (e) Model 224-2-7.
Sustainability 16 07607 g013
Figure 14. Confusion matrices of the pre-trained CNN models listed in Table 2. (a) ResNet-50; (b) MobileNet-v2; (c) VGG-16; (d) GoogleNet; (e) EfficientNet-b0.
Figure 14. Confusion matrices of the pre-trained CNN models listed in Table 2. (a) ResNet-50; (b) MobileNet-v2; (c) VGG-16; (d) GoogleNet; (e) EfficientNet-b0.
Sustainability 16 07607 g014aSustainability 16 07607 g014b
Table 1. Custom CNN model descriptions.
Table 1. Custom CNN model descriptions.
Model TypeNameInput SizeConvolution Filter Size F
(Stride = 1)
Pooling Filter and Stride Size P
1Model 10-F-P10 × 10 grayscale[2 4 6][1 2 3]
2Model 20-F-P20 × 20 grayscale[2 4 6] [1 2 3]
3Model 30-F-P30 × 30 grayscale[2 4 6] [1 2 3]
4Model 100-F-P100 × 100 grayscale[2 4 6][2 3 4 5]
5Model 224-F-P224 × 224 grayscale[2 4 6] [6 7 8 9]
Table 2. Overview of the pre-trained CNN models [14].
Table 2. Overview of the pre-trained CNN models [14].
ModelInput SizeDescription
ResNet-50224 × 224 RGB177 layers deep, 96 MB size (Matlab). Rich feature representations for a wide range of images.
MobileNet-v2224 × 224 RGB155 layers deep, 13 MB size (Matlab). Rich feature representations for a wide range of images. Designed for low memory usage.
VGG-16224 × 224 RGB41 layers deep, 515 MB size (Matlab). Larger model with a large number of weight parameters.
GoogleNet224 × 224 RGB144 layers deep, 27 MB size (Matlab). Residual connections make it possible to train deeper networks.
EfficientNet-b0224 × 224 RGB290 layers deep, 20 MB size (Matlab). Layers based on the compound scaling method that uniformly scales the depth, width, and resolution of the network.
Table 3. Image database details (refer to Section 2.3 ‘Deep Learner Classifier’ for class details).
Table 3. Image database details (refer to Section 2.3 ‘Deep Learner Classifier’ for class details).
Image Set NameDescriptionClass 1 QuantityClass 2 QuantityClass 3 Quantity
Gray110 × 10 grayscale578578578
Gray220 × 20 grayscale578578578
Gray330 × 30 grayscale578578578
Gray4100 × 100 grayscale578578578
Gray5224 × 224 grayscale578578578
Colour1224 × 224 RGB578578578
Table 4. CNN model training parameters.
Table 4. CNN model training parameters.
ParameterValue
Mini-batch size10
Optimize methodstochastic gradient descent with momentum (sgdm)
Initial learning rate0.01
Maximum epochs7
Validation frequency121 (Equation (8))
Table 5. Summary of the best model within each model type.
Table 5. Summary of the best model within each model type.
Model TypeNameAccuracy
Model 1Model 10-2-20.9655
Model 2Model 20-2-20.9847
Model 3Model 30-2-20.9885
Model 4Model 100-2-30.9923
Model 5Model 224-2-70.9962
Table 6. Additional performance metrics of the best model within each model type.
Table 6. Additional performance metrics of the best model within each model type.
Model NamePrecisionRecallF-Score
Model 10-2-20.96570.96550.9655
Model 20-2-20.98490.98470.9847
Model 30-2-20.98850.98850.9885
Model 100-2-30.99230.99230.9923
Model 224-2-70.99620.99620.9962
Table 7. Performance metrics of the pre-trained CNN models.
Table 7. Performance metrics of the pre-trained CNN models.
NameAccuracyPrecisionRecallF-Score
ResNet-500.99230.99250.99230.9923
MobileNet-v20.99230.99250.99230.9923
VGG-160.99230.99250.99230.9923
GoogleNet0.99230.99230.99230.9923
EfficientNet-b00.98850.98850.98850.9885
Table 8. Comparison of custom and pre-trained CNN models.
Table 8. Comparison of custom and pre-trained CNN models.
Model NameAccuracyExecution Time (s)Size (KB)
Model 10-2-20.96551.3623
Model 20-2-20.98471.3932
Model 30-2-20.98851.4943
Model 100-2-30.99231.8174
Model 224-2-70.99622.9628
ResNet-500.992353.7385,709
MobileNet-v20.992318.448294
VGG-160.9923146.78487,424
GoogleNet0.992325.0721,709
EfficientNet-b00.988530.7414,746
Table 9. Ranking of CNN models based on descending score values.
Table 9. Ranking of CNN models based on descending score values.
Model NameScore
Model 224-2-70.9960
Model 100-2-30.9923
MobileNet-v20.9911
GoogleNet0.9907
ResNet-500.9888
Model 30-2-20.9885
EfficientNet-b00.9865
Model 20-2-20.9848
VGG-160.9826
Model 10-2-20.9658
Table 10. Comparison of lightweight custom CNN models with other deep learning models.
Table 10. Comparison of lightweight custom CNN models with other deep learning models.
ReferenceDataset PropertiesClassesModel ComplexityAccuracy
Model 224-2-7Grayscale, 224 × 224 pixels, 1734 images3Lightweight custom CNN with 7 layers99.6%
Model 100-2-3Grayscale, 100 × 100 pixels, 1734 images3Lightweight custom CNN with 7 layers99.2%
Model 30-2-2Grayscale, 30 × 30 pixels, 1734 images3Lightweight custom CNN with 7 layers98.85%
Atik (2022) [13]RGB, 227 × 227 × 3 pixels, 5332 images 3Custom CNN with 13 layers98.99%
Huang et al. (2019) [22]RGB, 416 × 416 × 3 pixels, 43,160 images4YOLO-V3-Mobilenet with 30 layers95.21% mAP
Hozyn (2023) [24]RGB, 152 × 202 × 3 pixels, 3994 images11Custom CNN with 11 layers 96.5%
Cheng et al. (2022) [23] RGB, 224 × 224 × 3, 3094 images17Siamese network with VGG-16, 41 layers94%
Guo et al. (2021) [21]RGB, 608 × 608 × 3 pixels, 12,000 images20YOLOv4-tiny + MAM with 24 layers98.6% mAP
Xu et al. (2020) [11]RGB, 112 × 112 × 3 pixels, 40,000 images22Faster SqueezeNet with 23 layers99.999% TPR when FPR = 10−6
Disclaimer/Publisher’s Note: The statements, opinions and data contained in all publications are solely those of the individual author(s) and contributor(s) and not of MDPI and/or the editor(s). MDPI and/or the editor(s) disclaim responsibility for any injury to people or property resulting from any ideas, methods, instructions or products referred to in the content.

Share and Cite

MDPI and ACS Style

Chand, P.; Assaf, M. An Empirical Study on Lightweight CNN Models for Efficient Classification of Used Electronic Parts. Sustainability 2024, 16, 7607. https://doi.org/10.3390/su16177607

AMA Style

Chand P, Assaf M. An Empirical Study on Lightweight CNN Models for Efficient Classification of Used Electronic Parts. Sustainability. 2024; 16(17):7607. https://doi.org/10.3390/su16177607

Chicago/Turabian Style

Chand, Praneel, and Mansour Assaf. 2024. "An Empirical Study on Lightweight CNN Models for Efficient Classification of Used Electronic Parts" Sustainability 16, no. 17: 7607. https://doi.org/10.3390/su16177607

APA Style

Chand, P., & Assaf, M. (2024). An Empirical Study on Lightweight CNN Models for Efficient Classification of Used Electronic Parts. Sustainability, 16(17), 7607. https://doi.org/10.3390/su16177607

Note that from the first issue of 2016, this journal uses article numbers instead of page numbers. See further details here.

Article Metrics

Back to TopTop