Efficiency Assessment of Urban Road Networks Connecting Critical Node Pairs under Seismic Hazard
Abstract
1. Introduction
2. Methodology
2.1. GIS-Integrated Road Network (RN) Modelling
2.2. Hazard Analysis and Damage Assessment
2.3. Post-Event RN Efficiency Assessment
3. Selected Case Studies
3.1. Selected Case Studies and Road Network (RN) Modelling
3.2. Hazard Assessment
3.3. Vulnerability Assessment
4. Application of the Proposed Methodology to the Selected Case Studies
4.1. Case Study #1: Hospital-to-Hospital Connections in Naples, Italy
4.2. Application #2: Hospital to Critical Node Connection in Turin, Italy
5. Discussion
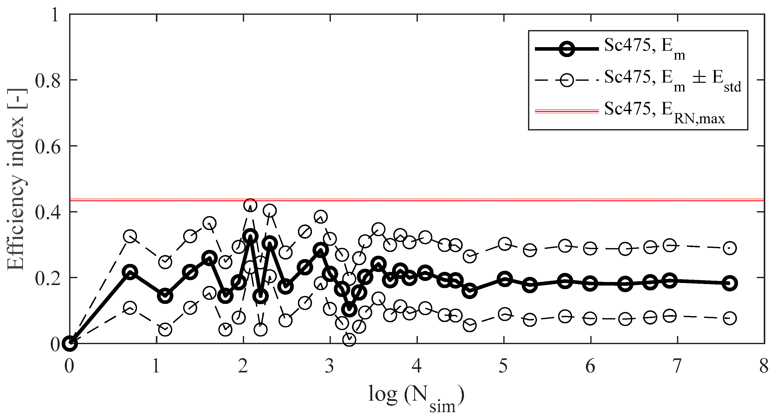
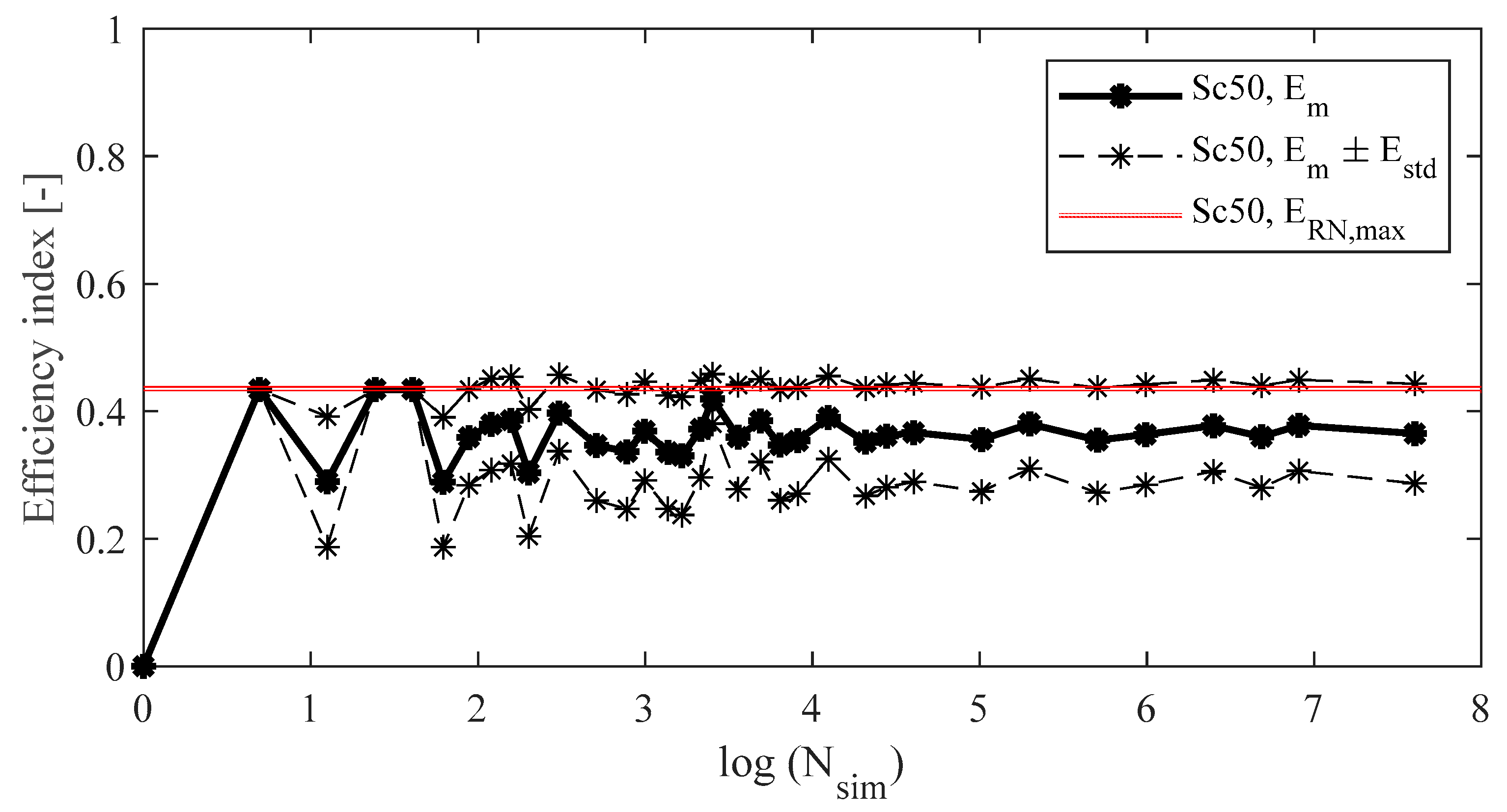
- Application #1 has highlighted that the selected seismic scenarios can produce a reduction in road network efficiency. Specifically, the RN of Application #1 has proven to be very effective, especially against the scenario with Tr = 50y. In fact, while an efficiency reduction of 50% would occur in the case of a Tr = 475 y seismic event, only a very slight decrease in the efficiency would occur for a Tr = 50 y event. This is because, according to our simulations, more road disruptions of beltway segments (Tangenziale di Napoli) would occur in the case of an event with a return period of 475 years.
- Application #2 has remarked on the potentially huge consequences of the selected earthquake scenarios. Two paths on SS10 were investigated, finding that, in the event of an interruption of the main route, the secondary road alternative (i.e., Pino Vecchio) may not be able to redistribute traffic, with potential traffic congestion and disruptions for all mobility services. Even if potentially less impactful, in the event of interruption of one of the two strategic crossings on the Po River (i.e., Corso Regina Margherita Bridge or Ponte Sassi Bridge), the traffic rerouted on the remaining crossing would still be very compromising in the case of emergency hospital-to-hospital transports.
6. Conclusions
Author Contributions
Funding
Institutional Review Board Statement
Informed Consent Statement
Data Availability Statement
Acknowledgments
Conflicts of Interest
References
- Zhou, Y.; Wang, J.; Sheu, J.-B. On connectivity of post-earthquake road networks. Transp. Res. E Logist. Transp. Rev. 2019, 123, 1–16. [Google Scholar] [CrossRef]
- Kilanitis, I.; Sextos, A. Impact of earthquake-induced bridge damage and time evolving traffic demand on the road network resilience. J. Traffic Transp. Eng. (Engl. Ed.) 2019, 6, 35–48. [Google Scholar] [CrossRef]
- Wu, Y.; Hou, G.; Chen, S. Post-earthquake resilience assessment and long-term restoration prioritization of transportation network. Reliab. Eng. Syst. Saf. 2021, 211, 107612. [Google Scholar] [CrossRef]
- Bozza, A.; Asprone, D.; Parisi, F.; Manfredi, G. Alternative Resilience Indices for City Ecosystems Subjected to Natural Hazards. Comput. -Aided Civ. Infrastruct. Eng. 2017, 32, 527–545. [Google Scholar] [CrossRef]
- Tronci, E.M.; Beigi, H.; Feng, M.Q.; Betti, R. A transfer learning SHM strategy for bridges enriched by the use of speaker recognition x-vectors. J. Civ. Struct. Health Monit. 2022, 12, 1285–1298. [Google Scholar] [CrossRef]
- Palmisano, F.; Asso, R.; Chiaia, B.; Marano, G.C.; Pellegrino, C. Structural assessment of existing R.C. half-joint bridges according to the new Italian guidelines. J. Civ. Struct. Health Monit. 2023, 13, 1551–1575. [Google Scholar] [CrossRef]
- Martucci, D.; Civera, M.; Surace, C. Bridge monitoring: Application of the extreme function theory for damage detection on the I-40 case study. Eng. Struct. 2023, 279, 115573. [Google Scholar] [CrossRef]
- Zinno, R.; Haghshenas, S.S.; Guido, G.; VItale, A. Artificial Intelligence and Structural Health Monitoring of Bridges: A Review of the State-of-the-Art. IEEE Access 2022, 10, 88058–88078. [Google Scholar] [CrossRef]
- Caldera, S.; Mostafa, S.; Desha, C.; Mohamed, S. Exploring the Role of Digital Infrastructure Asset Management Tools for Resilient Linear Infrastructure Outcomes in Cities and Towns: A Systematic Literature Review. Sustainability 2021, 13, 11965. [Google Scholar] [CrossRef]
- Argyroudis, S.; Fotopoulou, S.; Pitilakis, K. Semi-Empirical Assessment of Road Vulnerability to Seismically Induced Slides. In Landslide Science and Practice; Springer: Berlin/Heidelberg, Germany, 2013; pp. 321–326. [Google Scholar] [CrossRef]
- Byun, J.-E.; D’Ayala, D. Urban seismic resilience mapping: A transportation network in Istanbul, Turkey. Sci. Rep. 2022, 12, 8188. [Google Scholar] [CrossRef]
- Argyroudis, S.; Selva, J.; Gehl, P.; Pitilakis, K. Systemic Seismic Risk Assessment of Road Networks Considering Interactions with the Built Environment. Comput. -Aided Civ. Infrastruct. Eng. 2015, 30, 524–540. [Google Scholar] [CrossRef]
- Capacci, L.; Biondini, F.; Frangopol, D.M. Resilience of aging structures and infrastructure systems with emphasis on seismic resilience of bridges and road networks: Review. Resilient Cities Struct. 2022, 1, 23–41. [Google Scholar] [CrossRef]
- Sun, L.; D’Ayala, D.; Fayjaloun, R.; Gehl, P. Agent-based model on resilience-oriented rapid responses of road networks under seismic hazard. Reliab. Eng. Syst. Saf. 2021, 216, 108030. [Google Scholar] [CrossRef]
- Pan, S.; Yan, H.; He, J.; He, Z. Vulnerability and resilience of transportation systems: A recent literature review. Phys. A Stat. Mech. Its Appl. 2021, 581, 126235. [Google Scholar] [CrossRef]
- Borza, M. The Connection between Efficiency and Sustainability—A Theoretical Approach. Procedia Econ. Financ. 2014, 15, 1355–1363. [Google Scholar] [CrossRef]
- European Commission Sustainability and Resource Use Efficiency OP, 2021–2027. Available online: https://ec.europa.eu/regional_policy/in-your-country/programmes/2014-2020/pt/2014pt16cfop001_en (accessed on 4 April 2024).
- Miano, A.; Jalayer, F.; Forte, G.; Santo, A. Empirical fragility assessment using conditional GMPE-based ground shaking fields: Application to damage data for 2016 Amatrice Earthquake. Bull. Earthq. Eng. 2020, 18, 6629–6659. [Google Scholar] [CrossRef]
- Moschonas, I.F.; Kappos, A.J.; Panetsos, P.; Papadopoulos, V.; Makarios, T.; Thanopoulos, P. Seismic fragility curves for greek bridges: Methodology and case studies. Bull. Earthq. Eng. 2009, 7, 439–468. [Google Scholar] [CrossRef]
- Rosti, A.; Del Gaudio, C.; Rota, M.; Ricci, P.; Di Ludovico, M.; Penna, A.; Verderame, G.M. Empirical fragility curves for Italian residential RC buildings. Bull. Earthq. Eng. 2021, 19, 3165–3183. [Google Scholar] [CrossRef]
- Bellei, G.; Gentile, G.; Meschini, L.; Papola, N. A demand model with departure time choice for within-day dynamic traffic assignment. Eur. J. Oper. Res. 2006, 175, 1557–1576. [Google Scholar] [CrossRef]
- Spaite, D.W.; Valenzuela, T.D.; Meislin, H.W.; Criss, E.A.; Hinsberg, P. Prospective validation of a new model for evaluating emergency medical services systems by in-field observation of specific time intervals in prehospital care. Ann. Emerg. Med. 1993, 22, 638–645. [Google Scholar] [CrossRef]
- Lerner, E.B.; Billittier, A.J.; Sikora, J.; Moscati, R.M. Use of a Geographic Information System to Determine Appropriate Means of Trauma Patient Transport. Acad. Emerg. Med. 1999, 6, 1127–1133. [Google Scholar] [CrossRef]
- Chen, X.; Gestring, M.L.; Rosengart, M.R.; Billiar, T.R.; Peitzman, A.B.; Sperry, J.L.; Brown, J.B. Speed is not everything: Identifying patients who may benefit from helicopter transport despite faster ground transport. J. Trauma Acute Care Surg. 2018, 84, 549–557. [Google Scholar] [CrossRef] [PubMed]
- INGV—Istituto Nazionale di Geofisica e Vulcanologia I dati Online della Pericolosità Sismica in Italia. Available online: http://esse1.mi.ingv.it/ (accessed on 4 April 2024).
- Choi, E.; DesRoches, R.; Nielson, B. Seismic fragility of typical bridges in moderate seismic zones. Eng. Struct. 2004, 26, 187–199. [Google Scholar] [CrossRef]
- Erduran, E.; Yakut, A. Drift based damage functions for reinforced concrete columns. Comput. Struct. 2004, 82, 121–130. [Google Scholar] [CrossRef]
- Basöz, N.I.; Kiremidjian, A.S.; King, S.A.; Law, K.H. Statistical Analysis of Bridge Damage Data from the 1994 Northridge, CA, Earthquake. Earthq. Spectra 1999, 15, 25–54. [Google Scholar] [CrossRef]
- Gru, G. European Macroseismic Scale 1998: EMS-98; European Seismological Commission, Subcommission on Engineering Seismology, Working Group Macroseismic Scales: Luxembourg, 1998. [Google Scholar]
- FEMA-NIBS. HAZUS MH Technical Manual—Multi-Hazard Loss Estimation Methodology—Earthquake Model; FEMA-NIBS: Washington, DC, USA, 2004. [Google Scholar]










| Sc50 | Sc475 | ||||
|---|---|---|---|---|---|
| Bridge Name | Bridge Typology | M50 | B | M50 | B |
| V1-N | Masonry arch | 0.12 | 0.62 | 0.30 | 0.59 |
| V2-N | Lightweight slab deck on prestressed RC piers RC | 0.30 | 0.62 | 0.88 | 0.61 |
| V3-N | Truss deck on prestressed RC piers RC | 0.16 | 0.64 | 0.38 | 0.59 |
| V4-N | Lightweight slab deck on prestressed RC piers RC | 0.30 | 0.62 | 0.88 | 0.61 |
| V5-N | Steel box deck | 0.37 | 0.62 | 0.89 | 0.59 |
| V6-N | Truss deck on prestressed RC piers RC | 0.34 | 0.60 | 0.68 | 0.58 |
| V7-N | Lightweight slab deck on prestressed RC piers RC | 0.21 | 0.59 | 0.48 | 0.60 |
| V8-N | Truss deck on prestressed RC piers | 0.16 | 0.64 | 0.38 | 0.59 |
| V9-N | Viaduct with 6-span prestressed RC girder deck and single-span steel box deck | 0.34 | 0.60 | 0.68 | 0.58 |
| Bridge Name | Bridge Typology | Number of Spans |
|---|---|---|
| V1-T | River-crossing post-tensioned RC arch bridge | One longer central span and two significantly shorter lateral spans |
| V2-T | River-crossing RC arch bridge | three spans of equal length |
| V3-T | Simply supported viaduct with prestressed RC girder deck | nine spans |
| V4-T | Simply supported viaduct with prestressed RC girder deck | three spans |
| V5-T | Simply supported viaduct with prestressed RC girder deck | single span |
| V6-T | Simply supported viaduct with prestressed RC girder deck | nine spans |
| V7-T | Simply supported viaduct with prestressed RC girder deck | two spans |
| V8-T | Overpass viaduct with RC deck | one longer central span and two significantly shorter lateral spans |
| V9-T | Simply supported viaduct with prestressed RC girder deck | five spans |
| V10-T | Simply supported viaduct with prestressed RC girder deck | three spans |
| V11-T | RC monolithic deck | single span |
| V12-T | Simply supported viaduct with prestressed RC girder deck | four spans |
| V13-T | Simply supported viaduct with prestressed RC girder deck | six spans |
| V14-T | Simply supported viaduct with prestressed RC girder deck | two spans |
| V15-T | Simply supported, prestressed RC girder deck with seven spans (end-span RC deck replaced by mixed steel girder-RC deck) |
Disclaimer/Publisher’s Note: The statements, opinions and data contained in all publications are solely those of the individual author(s) and contributor(s) and not of MDPI and/or the editor(s). MDPI and/or the editor(s) disclaim responsibility for any injury to people or property resulting from any ideas, methods, instructions or products referred to in the content. |
© 2024 by the authors. Licensee MDPI, Basel, Switzerland. This article is an open access article distributed under the terms and conditions of the Creative Commons Attribution (CC BY) license (https://creativecommons.org/licenses/by/4.0/).
Share and Cite
Miano, A.; Civera, M.; Aloschi, F.; De Biagi, V.; Chiaia, B.; Parisi, F.; Prota, A. Efficiency Assessment of Urban Road Networks Connecting Critical Node Pairs under Seismic Hazard. Sustainability 2024, 16, 7465. https://doi.org/10.3390/su16177465
Miano A, Civera M, Aloschi F, De Biagi V, Chiaia B, Parisi F, Prota A. Efficiency Assessment of Urban Road Networks Connecting Critical Node Pairs under Seismic Hazard. Sustainability. 2024; 16(17):7465. https://doi.org/10.3390/su16177465
Chicago/Turabian StyleMiano, Andrea, Marco Civera, Fabrizio Aloschi, Valerio De Biagi, Bernardino Chiaia, Fulvio Parisi, and Andrea Prota. 2024. "Efficiency Assessment of Urban Road Networks Connecting Critical Node Pairs under Seismic Hazard" Sustainability 16, no. 17: 7465. https://doi.org/10.3390/su16177465
APA StyleMiano, A., Civera, M., Aloschi, F., De Biagi, V., Chiaia, B., Parisi, F., & Prota, A. (2024). Efficiency Assessment of Urban Road Networks Connecting Critical Node Pairs under Seismic Hazard. Sustainability, 16(17), 7465. https://doi.org/10.3390/su16177465

