Seasonal Dynamics of the Silica-Scaled Chrysophytes as Potential Markers of Climate Change in Natural Model: Deep Cold Lake–Shallow Warmer Reservoir
Abstract
1. Introduction
2. Materials and Methods
Sampling and Microscopy
3. Results
3.1. Water Variables
3.2. Analysis of Factors Affecting the Structure of Silica-Scaled Chrysophytes Communities
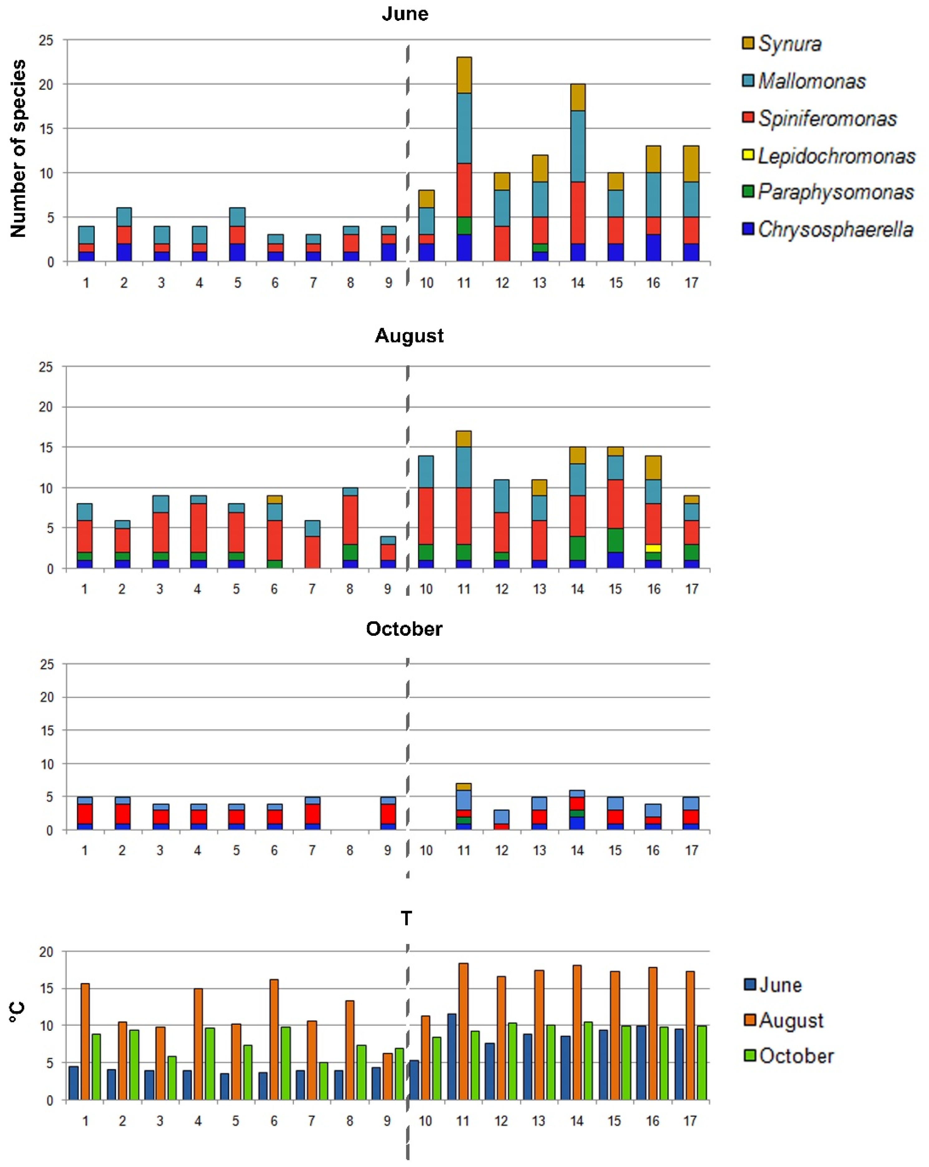
3.3. Seasonal Dynamics of Silica-Scaled Chrysophytes
3.4. Spatio-Temporal Distribution of Silica-Scaled Chrysophytes in the Context of Differences Trophic Modes
4. Discussion
4.1. Species Diversity of Silica-Scaled Chrysophytes in the Study Area
4.2. Features of Seasonal Dynamics of Silica-Scaled Chrysophytes
4.3. Silica-Scaled Chrysophytes as Markers of Climate Change
5. Conclusions
Supplementary Materials
Author Contributions
Funding
Institutional Review Board Statement
Informed Consent Statement
Data Availability Statement
Acknowledgments
Conflicts of Interest
References
- Cardinale, B.J.; Duffy, J.E.; Gonzalez, A.; Hooper, D.U.; Perrings, C.; Venail, P.; Narwani, A.; Mace, G.M.; Tilman, D.; Wardle, D.A.; et al. Biodiversity loss and its impact on humanity. Nature 2012, 486, 59–67. [Google Scholar] [CrossRef] [PubMed]
- Wu, Q.; Li, Q.; Luo, H.; Chen, Q.; Chen, H.; Dong, Y.; Li, S. Comparison in phytoplankton diversity-productivity-community stability between river-type reservoir and lake-type reservoir. J. Oceanol. Limnol. 2022, 40, 1485–1507. [Google Scholar] [CrossRef]
- Siver, P.A.; Lott, A.M. History of the Giraffe Pipe locality inferred from microfossil remains: A thriving freshwater ecosystem near the Arctic Circle during the warm Eocene. J. Paleontol. 2023, 97, 271–291. [Google Scholar] [CrossRef]
- Reynolds, C.S. The Ecology of Freshwater Phytoplankton; Cambridge University Press: Cambridge, UK, 1984. [Google Scholar]
- Gusev, E.S.; Čertnerová, D.; Škaloudová, M.; Škaloud, P. Exploring cryptic diversity and distribution patterns in the Mallomonas kalinae/rasilis species complex with a description of a dew taxon—Mallomonas furtiva sp. nov. J. Eukaryot. Microb. 2018, 65, 38–47. [Google Scholar] [CrossRef]
- Siver, P.A.; Kapustin, D.; Gusev, E. Investigations of two-celled colonies of Synura formerly described as Chrysodidymus with descriptions of two new species. Europ. J. Phycol. 2018, 53, 245–255. [Google Scholar] [CrossRef]
- Siver, P.A. The Distribution of Chrysophytes along Environmental Gradients: Their Use as Biological Indicators. In Chrysophyte Algae: Ecology, Phylogeny and Growth; Sandgren, C.D., Smol, J.P., Kristiansen, J., Eds.; Cambridge University Press: Cambridge, UK, 1995; pp. 232–268. [Google Scholar]
- Siver, P.A. Synurophyte algae. In Freshwater Algae of North America: Ecology and Classification, 2nd ed.; Academic Press: Boston, MA, USA, 2015; pp. 607–651. [Google Scholar]
- Siver, P.A.; Wolfe, A.P. Eocene scaled chrysophytes with pronounced modern affinities. Int. J. Plant Sci. 2005, 166, 533–536. [Google Scholar] [CrossRef]
- Siver, P.A.; Wolfe, A.P. Tropical ochrophyte algae from the Eocene of Northern Canada: A biogeographical response to past global warming. Palaios 2009, 24, 192–198. [Google Scholar] [CrossRef]
- Siver, P.A.; Lott, A.M. Fossil species of Mallomonas from an Eocene maar lake with recessed dome structures: Early attempts at securing bristles to the cell covering? Nova Hedwig. 2012, 95, 517–529. [Google Scholar] [CrossRef]
- Siver, P.A.; Jo, B.Y.; Kim, J.I.; Shin, W.; Lott, A.M.; Wolfe, A.P. Assessing the evolutionary history of the class Synurophyceae (Heterokonta) using molecular, morphometric, and paleobiological approaches. Am. J. Bot. 2015, 102, 921–941. [Google Scholar] [CrossRef]
- Siver, P.A.; Lott, A.M.; Wolfe, A.P. A summary of Synura taxa in early Cenozoic deposits from northern Canada. Nova Hedwig. Beih. 2013, 142, 181–190. [Google Scholar]
- Zachos, J.; Dickens, G.R.; Zeebe, R.E. An early Cenozoic perspective on greenhouse warming and carbon-cycle dynamics. Nature 2008, 451, 279–283. [Google Scholar] [CrossRef] [PubMed]
- Gusev, E.S.; Martynenko, N.; Shkurina, N.; Huan, P.T.; Dien, T.D.; Thanh, N.T.H. An annotated checklist of algae from the order Synurales (Chrysophyceae) of Viet Nam. Diversity 2023, 15, 183. [Google Scholar] [CrossRef]
- Gusev, E.S.; Shkurina, N.; Huan, P.T. Mallomonas acidophila sp. nov. (Synurales, Chrysophyceae)—A new species from the tropics with morphological features of fossil taxa. Phytotaxa 2023, 620, 157–166. [Google Scholar] [CrossRef]
- Bessudova, A.; Galachyants, Y.; Firsova, A.; Hilkhanova, D.; Nalimova, M.; Marchenkov, A.; Mikhailov, I.; Sakirko, M.; Likhoshway, Y. Changes in Diversity of Silica-Scaled Chrysophytes during Lake–River–Reservoir Transition (Baikal–Angara–Irkutsk Reservoir). Life 2023, 13, 2052. [Google Scholar] [CrossRef] [PubMed]
- Vorobyova, S.S. Fitoplankton Vodoemov Angary (Phytoplankton of Water Bodies Formed on the Angara River); Nauka: Novosibirsk, Russia, 1995; p. 126. (In Russian) [Google Scholar]
- Bessudova, A.; Domysheva, V.M.; Firsova, A.D.; Likhoshway, Y.V. Silica-scaled chrysophytes of Lake Baikal. Acta Biol. Sib. 2017, 3, 47–56. [Google Scholar] [CrossRef][Green Version]
- Bessudova, A.; Firsova, A.D.; Hilkhanova, D.; Makarov, M.; Sakirko, M.; Bashenkhaeva, M.; Khanaev, I.; Zakharova, Y.; Likhoshway, Y.V. Two new species, Mallomonas baicalensis sp. nov. and M. grachevii sp. nov. (Synurales Chrysophyceae), found under the ice of Lake Baikal. Water 2023, 15, 2250. [Google Scholar] [CrossRef]
- McKnight, D.M.; Howes, B.L.; Taylor, C.D.; Goehringer, D.D. Phytoplankton dynamics in a stably stratified Antarctic Lake during winter darkness. J. Phycol. 2000, 36, 852–861. [Google Scholar] [CrossRef]
- Wolfe, A.P.; Siver, P.A. A hypothesis linking chrysophyte microfossils to lake carbon dynamics on ecological and evolutionary time scales. Glob. Planet. Chang. 2013, 111, 189–198. [Google Scholar] [CrossRef]
- Lengyel, E.; Barreto, S.; Padisák, J.; Stenger-Kovács, C.; Lázár, D.; Buczkó, K. Contribution of silica-scaled chrysophytes to ecosystems services: A review. Hydrobiologia 2023, 850, 2735–2756. [Google Scholar] [CrossRef]
- Bessudova, A.Y.; Gabyshev, V.A.; Firsova, A.D.; Gabysheva, O.I.; Bukin, Y.S.; Likhoshway, Y.V. Diversity of silica-scaled chrysophytes and physicochemical parameters of their environment in the estuaries of rivers in the Arctic watershed of Yakutia, Russia. Sustainability 2021, 13, 13768. [Google Scholar] [CrossRef]
- Wolfe, A.P.; Perren, B.B. Chrysophyte microfossils record marked responses to recent environmental changes in highand mid-arctic lakes. Can. J. Bot. 2001, 79, 747–752. [Google Scholar]
- Mushet, G.R.; Laird, K.R.; Das, B.; Hesjedal, B.; Leavitt, P.R.; Scott, K.A.; Simpson, G.L.; Wissel, B.; Wolfe, J.D.; Cumming, B.F. Regional climate changes drive increased scaled-chrysophyte abundance in lakes downwind of Athabasca Oil Sands nitrogen emissions. J. Paleolimnol. 2017, 58, 419–435. [Google Scholar] [CrossRef]
- Rühland, K.M.; Evans, M.; Smol, J.P. Arctic warming drives striking twenty-first century ecosystem shifts in Great Slave Lake (Subarctic Canada), North America’s deepest lake. Proc. R. Soc. B 2023, 290, 20231252. [Google Scholar] [CrossRef] [PubMed]
- Forsström, L. Phytoplankton Ecology of the Subarctic Lakes in Finnish Lapland. Ph.D. Thesis, Department of Biological and Environmental Sciences, Aquatic Sciences and Kilpisjärvi Biological Station, Faculty of Biosciences, University of Helsinki, Helsinki, Finland, 2006; 42p. [Google Scholar]
- Cen, C.K.; Zhang, K.; Zhang, T.; Zhou, X.; Pan, R. Algae-induced taste and odour problems at low temperatures and the cold stress response hypothesis. Appl. Microb. Biotechnol. 2020, 104, 9079–9093. [Google Scholar] [CrossRef] [PubMed]
- Voloshko, L.N. Golden Algae of Waters of North Russia; Komarov Botanical Institute of the Russian Academy of Sciences: Sankt-Petersburg, Russia, 2017; p. 378. (In Russian) [Google Scholar]




| Station Number | ID/Name Station | Coordinates N/E |
|---|---|---|
| Southern Baikal | ||
| 1. | 12K_12 km from Kultuk | 51° 40.578/103° 52.309 |
| 2. | 3M_3 km from Marituy | 51° 45.546/104° 13.222 |
| 3. | MS_Marituy-Solzan | 51° 38.710/104° 13.715 |
| 4. | 3S_3 km from Solzan | 51° 31.428/104° 14.417 |
| 5. | TS_cape Tolsty-Snezhnaya River | 51° 36.402/104° 44.147 |
| 6. | 3T_3 km from Tankhoi | 51° 35.440/105° 06.968 |
| 7. | KM_cape Kadilny-Mishikha | 51° 46.731/105° 22.528 |
| 8. | LT_Listvyanka-Tankhoi | 51° 42.262/105° 00.720 |
| 9. | 3L_3 km from Listvyanka | 51° 49.033/104° 54.616 |
| Angara River | ||
| 10. | B_Burduguz | 52° 04.105/104° 59.451 |
| Irkutsk Reservoir | ||
| 11. | KB_Kurma Bay | 52° 06.845/104° 45.926 |
| 12. | cKB_center against Kurma Bay | 52° 10.874/104° 47.935 |
| 13. | ElB_Elovy Bay | 52° 09.906/104° 25.172 |
| 14. | cElB_center against Elovy Bay | 52° 14.548/104° 45.243 |
| 15. | cErB_center against Ershovsky Bay | 52° 21.511/104° 37.550 |
| 16. | IErB_Ershovsky Bay | 52° 20.851/104° 34.439 |
| 17. | Ups_head water | 52° 23.478/104° 33.722 |
| No. | Species | Station Number (See Table 1) | Month of Sampling | ||||||||||||||||
|---|---|---|---|---|---|---|---|---|---|---|---|---|---|---|---|---|---|---|---|
| Southern Baikal | Irkutsk Reservoir | ||||||||||||||||||
| 1 | 2 | 3 | 4 | 5 | 6 | 7 | 8 | 9 | 10 | 11 | 12 | 13 | 14 | 15 | 16 | 17 | |||
| 1. | Chrysosphaerella baikalensis Popovskaya | 2 | 2 | 2 | 2 | 2 | 2 | 2 | 1 | 1 | 1 | 1 | 1 | 1 | 1 | 1 | 1 | June | |
| 1 | October | ||||||||||||||||||
| 2. | C. brevispina Korshikov | 1 | 1 | 1 | 1 | 1 | 1 | 1 | 1 | 1 | 1 | June | |||||||
| 1 | August | ||||||||||||||||||
| 3. | C. coronacircumspina Wujek & Kristiansen | 1 | 1 | June | |||||||||||||||
| 1 | 1 | 1 | 1 | 1 | 1 | 1 | 1 | 1 | 1 | 1 | 1 | 1 | 1 | 1 | August | ||||
| 1 | 1 | 1 | 1 | 1 | 1 | 1 | 1 | 1 | 1 | 1 | 1 | 1 | 1 | October | |||||
| 4. | Paraphysomonas bandaiensis Takahashi | 1 | June | ||||||||||||||||
| 5. | P. gladiata * Preisig & Hibberd | 1 | 1 | 1 | 1 | 1 | 1 | 1 | 1 | 1 | 1 | 1 | 1 | 1 | 1 | August | |||
| 6. | P. uniformis hemiradia * Scoble & Cavalier-Smith | 1 | 1 | 1 | 1 | August | |||||||||||||
| 1 | October | ||||||||||||||||||
| 7. | Paraphysomonas sp. 1 | 1 | June | ||||||||||||||||
| 1 | 1 | 1 | 1 | 1 | August | ||||||||||||||
| 8. | Paraphysomonas sp. 2 | 1 | June | ||||||||||||||||
| 9. | Paraphysomonas sp. 3 * | 1 | October | ||||||||||||||||
| 10. | Lepidochromonas cf. stephanolepis (Preisig & Hibberd) Kapustin & Guiry * | 1 | August | ||||||||||||||||
| 11. | L. cf. canistrum (Preisig & Hibberd) Kapustin & Guiry * | 1 | August | ||||||||||||||||
| 12. | Spiniferomonas abrupta Nielsen | 1 | 1 | 1 | 1 | June | |||||||||||||
| 1 | 1 | 1 | 1 | August | |||||||||||||||
| 1 | October | ||||||||||||||||||
| 13. | S. bourrellyi Takahashi | 1 | 1 | 1 | 1 | 1 | June | ||||||||||||
| 1 | 1 | 1 | 1 | 1 | 1 | 1 | 1 | 1 | 1 | 1 | 1 | 1 | August | ||||||
| 14. | S. cornuta Balonov | 1 | June | ||||||||||||||||
| 1 | 1 | 1 | 1 | 1 | 1 | 1 | 1 | 1 | 1 | 1 | 1 | 1 | 1 | 1 | August | ||||
| 1 | October | ||||||||||||||||||
| 15. | S. septispina * Nicholls | 1 | 1 | 1 | August | ||||||||||||||
| 1 | 1 | October | |||||||||||||||||
| 16. | S. silverensis Nicholls | 1 | 1 | 1 | 1 | June | |||||||||||||
| 1 | 1 | 1 | August | ||||||||||||||||
| 17. | S. takahashii * Nicholls | 1 | 1 | 1 | 1 | 1 | 1 | 1 | 1 | 1 | 1 | 1 | August | ||||||
| 18. | S. triangularis Siver | 1 | 1 | June | |||||||||||||||
| 19. | S. trioralis Takahashi | 1 | 1 | 1 | 1 | 1 | 1 | 1 | 1 | 1 | 1 | June | |||||||
| 2 | 2 | 2 | 2 | 2 | 2 | 2 | 2 | 2 | 1 | 1 | 2 | 1 | 1 | 1 | 1 | 1 | August | ||
| 1 | 1 | 1 | 1 | 1 | 1 | 1 | 1 | 1 | 1 | 1 | 1 | 1 | 1 | October | |||||
| 20. | S. trioralis f. cuspidata Balonov | 1 | 1 | 1 | 2 | 1 | 1 | 1 | 1 | 1 | 1 | 1 | 1 | 1 | 1 | 1 | 1 | June | |
| 1 | 1 | 1 | 1 | 1 | 1 | 1 | 1 | 1 | 1 | 1 | 2 | 1 | 1 | 1 | 1 | 1 | August | ||
| 2 | 2 | 2 | 2 | 2 | 1 | 2 | 2 | 2 | 1 | 1 | 1 | 1 | October | ||||||
| 21. | Mallomonas acaroides Perty | 2 | 1 | 2 | 1 | June | |||||||||||||
| 1 | 1 | 1 | 1 | 1 | 1 | 1 | 1 | 1 | August | ||||||||||
| 22. | M. alpina Pascher & Ruttner | 2 | 1 | 2 | 2 | 2 | 1 | 1 | 1 | 1 | 1 | 3 | 3 | 3 | 3 | 3 | 3 | 3 | June |
| 1 | 1 | 1 | 1 | 1 | 1 | 1 | 1 | 1 | 1 | 2 | 1 | 1 | 1 | 1 | 1 | 1 | August | ||
| 1 | 1 | 1 | 1 | 1 | 1 | 1 | 1 | 2 | 1 | 1 | 1 | 1 | 2 | 2 | October | ||||
| 23. | M. crassisquama (Asmund) Fott | 2 | 1 | 1 | 1 | 1 | 1 | 1 | June | ||||||||||
| 1 | 1 | 1 | August | ||||||||||||||||
| 2 | 1 | 1 | 1 | 2 | 1 | October | |||||||||||||
| 24. | M. elongata Reverdin | 1 | June | ||||||||||||||||
| 1 | October | ||||||||||||||||||
| 25. | M. getseniae (Voloshko) Bessudova Voloshko | 1 | June | ||||||||||||||||
| 26. | M. grachevii Bessudova | 1 | 1 | 1 | June | ||||||||||||||
| 27. | M. punctifera Korshikov | 1 | 1 | 1 | June | ||||||||||||||
| 28. | M. striata Asmund | 1 | 1 | June | |||||||||||||||
| 1 | 1 | August | |||||||||||||||||
| 29. | M. tonsurata Teiling | 1 | June | ||||||||||||||||
| 1 | 1 | 1 | 1 | 1 | 1 | 1 | 1 | 1 | 1 | 1 | August | ||||||||
| 30. | M. trummensis Cronberg | 1 | June | ||||||||||||||||
| 31. | M. vannigera Asmund | 1 | 1 | 1 | 1 | 1 | 1 | 1 | 1 | 1 | June | ||||||||
| 32. | Mallomonas sp. | 1 | 1 | June | |||||||||||||||
| 33. | Synura echinulata Korshikov | 1 | June | ||||||||||||||||
| 34. | S. glabra (Korshikov) Škaloud & Kynclová | 1 | 3 | 3 | 3 | 3 | 3 | 3 | 3 | June | |||||||||
| 1 | 1 | 1 | 1 | 1 | 1 | August | |||||||||||||
| 1 | October | ||||||||||||||||||
| 35. | S. punctulosa Balonov | 1 | 1 | 1 | June | ||||||||||||||
| 36. | S. spinosa f. longispina Petersen & Hansen | 1 | June | ||||||||||||||||
| 37. | Synura sp. 1 | 1 | 1 | June | |||||||||||||||
| 1 | 1 | 1 | 1 | 1 | August | ||||||||||||||
| 38. | Synura sp. 2 | 1 | 1 | 1 | 1 | 1 | 1 | 1 | 1 | June | |||||||||
| 1 | 1 | August | |||||||||||||||||
| SB Spring T, °C 3.6–4.5 | IR Spring T, °C 7.6–11.5 | SB Summer T, °C 6.3–15.6 | IR Summer T, °C 16.6–18.3 | SB Autumn T, °C 5.1–9.8 | IR Autumn T, °C 9.3–10.5 |
|---|---|---|---|---|---|
| C. baikalensis | S. abrupta | S. abrupta | M. tonsurata | S. cornuta | Paraphysomonas sp. 3 |
| M. vannigera | S. triangularis | M. tonsurata | Paraphysomonas sp. 1 | C. coronacircumspina | M. elongata |
| S. trioralis | S. bourrellyi | Paraphysomonas sp. 1 | S. cornuta | S. septispina | M. crassisquama |
| S. trioralis f. cuspidata | Synura sp. 1 | S. cornuta | P. gladiata | S. trioralis | S. trioralis |
| M. alpina | Synura sp. 2 | P. gladiata | S. takahashii | S. trioralis f. cuspidata | S. trioralis f. cuspidata |
| S. glabra | S. takahashii | C. coronacircumspina | M. alpina | M. alpina | |
| S. silverensis | C. coronacircumspina | S. septispina | |||
| M. acaroides | S. septispina | S. trioralis | |||
| M. crassisquama | S. trioralis | S. trioralis f. cuspidata | |||
| C. coronacircumspina | S. trioralis f. cuspidata | M. alpina | |||
| S. trioralis | M. alpina | ||||
| S. trioralis f. cuspidata | |||||
| M. alpina |
Disclaimer/Publisher’s Note: The statements, opinions and data contained in all publications are solely those of the individual author(s) and contributor(s) and not of MDPI and/or the editor(s). MDPI and/or the editor(s) disclaim responsibility for any injury to people or property resulting from any ideas, methods, instructions or products referred to in the content. |
© 2024 by the authors. Licensee MDPI, Basel, Switzerland. This article is an open access article distributed under the terms and conditions of the Creative Commons Attribution (CC BY) license (https://creativecommons.org/licenses/by/4.0/).
Share and Cite
Bessudova, A.; Galachyants, Y.; Firsova, A.; Hilkhanova, D.; Marchenkov, A.; Nalimova, M.; Sakirko, M.; Likhoshway, Y. Seasonal Dynamics of the Silica-Scaled Chrysophytes as Potential Markers of Climate Change in Natural Model: Deep Cold Lake–Shallow Warmer Reservoir. Sustainability 2024, 16, 7299. https://doi.org/10.3390/su16177299
Bessudova A, Galachyants Y, Firsova A, Hilkhanova D, Marchenkov A, Nalimova M, Sakirko M, Likhoshway Y. Seasonal Dynamics of the Silica-Scaled Chrysophytes as Potential Markers of Climate Change in Natural Model: Deep Cold Lake–Shallow Warmer Reservoir. Sustainability. 2024; 16(17):7299. https://doi.org/10.3390/su16177299
Chicago/Turabian StyleBessudova, Anna, Yuri Galachyants, Alena Firsova, Diana Hilkhanova, Artyom Marchenkov, Maria Nalimova, Maria Sakirko, and Yelena Likhoshway. 2024. "Seasonal Dynamics of the Silica-Scaled Chrysophytes as Potential Markers of Climate Change in Natural Model: Deep Cold Lake–Shallow Warmer Reservoir" Sustainability 16, no. 17: 7299. https://doi.org/10.3390/su16177299
APA StyleBessudova, A., Galachyants, Y., Firsova, A., Hilkhanova, D., Marchenkov, A., Nalimova, M., Sakirko, M., & Likhoshway, Y. (2024). Seasonal Dynamics of the Silica-Scaled Chrysophytes as Potential Markers of Climate Change in Natural Model: Deep Cold Lake–Shallow Warmer Reservoir. Sustainability, 16(17), 7299. https://doi.org/10.3390/su16177299

