Effects of Carbon-Based Modified Materials on Soil Water and Fertilizer Retention and Pollution Control in Rice Root Zone
Abstract
1. Introduction
2. Materials and Methods
2.1. Test Materials
2.2. Design of the Test Scheme
2.3. Indicator Measurement
2.4. Data Analysis Method
3. Results
3.1. Retention Characteristics of Soil Water and Fertilizer
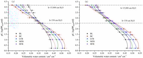
3.1.1. Characteristics of Soil Water Migration
3.1.2. Diffusion Effect of Soil Nitrogen and Phosphorus
3.1.3. Response Relationship of Soil Water and Fertilizer Loss
3.2. Prevention and Control Effects of Soil Pollution
3.2.1. Bioavailability of Soil As and Cd
3.2.2. Effect of Heavy Metal Enrichment on Plant Organs
4. Discussion
4.1. Soil Water Retention Characteristics
4.2. Soilion Exchange Capacity
4.3. Adsorption/Desorption Process of Modified Biochar
5. Conclusions
Author Contributions
Funding
Institutional Review Board Statement
Informed Consent Statement
Data Availability Statement
Acknowledgments
Conflicts of Interest
References
- Hou, R.; Wang, L.; O’Connor, D.; Rinklebe, J.; Hou, D. Natural field freeze-thaw process leads to different performances of soil amendments towards Cd immobilization and enrichment. Sci. Total. Environ. 2022, 831, 154880. [Google Scholar] [CrossRef]
- Panagopoulos, A. Water-energy nexus: Desalination technologies and renewable energy sources. Environ. Sci. Pollut. Res. 2021, 28, 21009–21022. [Google Scholar] [CrossRef]
- Tepanosyan, G.; Sahakyan, L.; Belyaeva, O.; Asmaryan, S.; Saghatelyan, A. Continuous impact of mining activities on soil heavy metals levels and human health. Sci. Total. Environ. 2018, 639, 900–909. [Google Scholar] [CrossRef]
- Rodríguez-Moro, G.; Román-Hidalgo, C.; Ramírez-Acosta, S.; Aranda-Merino, N.; Gómez-Ariza, J.; Abril, N.; Bello-López, M.; Fernández-Torres, R.; García-Barrera, T. Targeted and untargeted metabolomic analysis of Procambarus clarkii exposed to a “chemical cocktail” of heavy metals and diclofenac. Chemosphere 2022, 293, 133410. [Google Scholar] [CrossRef]
- Xu, Z.; Nie, N.; Liu, K.; Li, Q.; Cui, H.; Du, H. Analog soil organo–ferrihydrite composites as suitable amendments for cadmium and arsenic stabilization in co-contaminated soils. Sci. Total. Environ. 2023, 877, 162929. [Google Scholar] [CrossRef]
- FAO. Issues and Challenges in Rice Technological Development for Sustainable Food Security; The International Rice Commission: Bangkok, Thailand, 2002. [Google Scholar]
- Ćwieląg-Drabek, M.; Piekut, A.; Gut, K.; Grabowski, M. Risk of cadmium, lead and zinc exposure from consumption of vegetables produced in areas with mining and smelting past. Sci. Rep. 2020, 10, 1–9. [Google Scholar] [CrossRef]
- MEP. National Soil Contamination Survy Report; Ministry of Environmental: Beijing, China, 2014.
- Zeb, A.; Li, S.; Wu, J.N.; Lian, J.P.; Liu, W.T.; Sun, Y.B. Insights into the mechanisms underlying the remediation potential o earthworms in contaminated soil: A critical review of research progress and prospects. Sci. Total Environ. 2020, 740, 140145. [Google Scholar] [CrossRef]
- Gunadasa, S.G.; Tighe, M.K.; Wilson, S.C. Arsenic and cadmium leaching in co-contaminated agronomic soil and the influence of high rainfall and amendments. Environ. Pollut. 2023, 316, 120591. [Google Scholar] [CrossRef]
- Chai, Y.; Li, Y.; Chen, X.; Zhang, J.; Christie, P.; Chow, K.L.; Ai, C.; Shan, S. Potential sources and associated risk assessment of potentially toxic elements in paddy soils of a combined urban and rural area. Environ. Sci. Pollut. Res. 2019, 26, 23615–23624. [Google Scholar] [CrossRef]
- Korkanç, S.Y.; Korkanç, M.; Amiri, A.F. Effects of land use/cover change on heavy metal distribution of soils in wetlands and ecological risk assessment. Sci. Total. Environ. 2024, 923, 171603. [Google Scholar] [CrossRef]
- Hou, R.J.; Wang, L.W.; Shen, Z.T.; Alessi, D.S.; Hou, D.Y. Simultaneous reduction and immobilization of Cr(VI) in sea-sonally frozen areas: Remediation mechanisms and the role of ageing. J. Hazard. Mater. 2021, 415, 125650. [Google Scholar] [CrossRef]
- Zhou, Q.; Yang, S.; Sun, L.; Ye, J.; Sun, Y.; Qin, Q.; Xue, Y. Evaluating the protective capacity of soil heavy metals regulation limits on human health: A critical analysis concerning risk assessment Importance of localization. J. Environ. Manag. 2024, 361, 121197. [Google Scholar] [CrossRef]
- Liang, X.; Han, J.; Xu, Y.; Sun, Y.; Wang, L.; Tan, X. In situ field-scale remediation of Cd polluted paddy soil using sepiolite and palygorskite. Geoderma 2014, 235–236, 9–18. [Google Scholar] [CrossRef]
- Yang, Z.; Liu, L.; Chai, L.; Liao, Y.; Yao, W.; Xiao, R. Arsenic immobilization in the contaminated soil using poorly crystalline Fe-oxyhydroxy sulfate. Environ. Sci. Pollut. Res. 2015, 22, 12624–12632. [Google Scholar] [CrossRef]
- Ko, M.-S.; Kim, J.-Y.; Park, H.-S.; Kim, K.-W. Field assessment of arsenic immobilization in soil amended with iron rich acid mine drainage sludge. J. Clean. Prod. 2015, 108, 1073–1080. [Google Scholar] [CrossRef]
- Palansooriya, K.N.; Shaheen, S.M.; Chen, S.S.; Tsang, D.C.W.; Hashimoto, Y.; Hou, D.; Bolan, N.S.; Rinklebe, J.; Ok, Y.S. Soil amendments for immobilization of potentially toxic elements in contaminated soils: A critical review. Environ. Int. 2020, 134, 105046. [Google Scholar] [CrossRef]
- O’Connor, D.; Peng, T.; Zhang, J.; Tsang, D.C.; Alessi, D.S.; Shen, Z.; Bolan, N.S.; Hou, D. Biochar application for the remediation of heavy metal polluted land: A review of in situ field trials. Sci. Total Environ. 2018, 619–620, 815–826. [Google Scholar] [CrossRef]
- Faloye, O.; Alatise, M.; Ajayi, A.; Ewulo, B. Effects of biochar and inorganic fertiliser applications on growth, yield and water use efficiency of maize under deficit irrigation. Agric. Water Manag. 2019, 217, 165–178. [Google Scholar] [CrossRef]
- Yang, X.; Pan, H.; Shaheen, S.M.; Wang, H.; Rinklebe, J. Immobilization of cadmium and lead using phosphorus-rich animal-derived and iron-modified plant-derived biochars under dynamic redox conditions in a paddy soil. Environ. Int. 2021, 156, 106628. [Google Scholar] [CrossRef] [PubMed]
- Park, J.H.; Lee, S.J.; Lee, M.E.; Chung, J.W. Comparison of heavy metal immobilization in contaminated soils amended with peat moss and peat moss-derived biochar. Environ. Sci.-Process. Impacts 2016, 18, 514–520. [Google Scholar] [CrossRef] [PubMed]
- USDA. Soil Taxonomy; A Basic System of Soil Classification for Making and Interpreting Soil Surveys; USDA: Washington, DC, USA, 1999.
- Linam, F.A.; Limmer, M.A.; Seyfferth, A.L. Contrasting roles of rice root iron plaque in retention and plant uptake of silicon, phosphorus, arsenic, and selenium in diverse paddy soils. Plant Soil 2024. [Google Scholar] [CrossRef]
- Zhang, H.; Shao, J.; Zhang, S.; Zhang, X.; Chen, H. Effect of phosphorus-modified biochars on immobilization of Cu (II), Cd (II), and As (V) in paddy soil. J. Hazard. Mater. 2020, 390, 121349. [Google Scholar] [CrossRef]
- US EPA. Standard Operating Procedure for an In Vitro Bioaccessibility Assay for Lead in Soil; United States Environmental Protection Agency: Washington, DC, USA, 2012.
- Yuan, H.; Lu, T.; Wang, Y.; Chen, Y.; Lei, T. Sewage sludge biochar: Nutrient composition and its effect on the leaching of soil nutrients. Geoderma 2016, 267, 17–23. [Google Scholar] [CrossRef]
- Pansu, M.; Gautheyrou, J. Handbook of Soil Analysis: Mineralogical, Organic and Inorganic Methods; Springer: Berlin/Heidelberg, Germany, 2006. [Google Scholar]
- Wu, B.; Cheng, G.; Jiao, K.; Shi, W.; Wang, C.; Xu, H. Mycoextraction by Clitocybe maxima combined with metal im-mobilization by biochar and activated carbon in an aged soil. Sci. Total Environ. 2016, 562, 732–739. [Google Scholar] [CrossRef]
- Fu, Q.; Zhao, H.; Li, H.; Li, T.; Hou, R.; Liu, D.; Ji, Y.; Gao, Y.; Yu, P. Effects of biochar application during different periods on soil structures and water retention in seasonally frozen soil areas. Sci. Total. Environ. 2019, 694, 133732. [Google Scholar] [CrossRef]
- Pires, L.F.; Borges, J.A.; Rosa, J.A.; Cooper, M.; Heck, R.J.; Passoni, S.; Roque, W.L. Soil structure changes induced by tillage systems. Soil Tillage Res. 2017, 165, 66–79. [Google Scholar] [CrossRef]
- Antoniadis, V.; Levizou, E.; Shaheen, S.M.; Ok, Y.S.; Sebastian, A.; Baum, C.; Prasad, M.N.; Wenzel, W.W.; Rinklebe, J. Trace elements in the soil-plant interface: Phytoavailability, translocation, and phytoremediation–A review. Earth-Sci. Rev. 2017, 171, 621–645. [Google Scholar] [CrossRef]
- Singh, H.; Northup, B.K.; Rice, C.W.; Prasad, P.V.V. Biochar applications influence soil physical and chemical properties, microbial diversity, and crop productivity: A meta-analysis. Biochar 2022, 4, 1–17. [Google Scholar] [CrossRef]
- Fu, Q.; Zhao, H.; Li, T.; Hou, R.; Liu, D.; Ji, Y.; Zhou, Z.; Yang, L. Effects of biochar addition on soil hydraulic properties before and after freezing-thawing. CATENA 2019, 176, 112–124. [Google Scholar] [CrossRef]
- Amankwah, S.K.; Ireson, A.M.; Maulé, C.; Brannen, R.; Mathias, S.A. A Model for the Soil Freezing Characteristic Curve That Represents the Dominant Role of Salt Exclusion. Water Resour. Res. 2021, 57, e2021WR030070. [Google Scholar] [CrossRef]
- Hussain, R.; Ravi, K. Investigating unsaturated hydraulic conductivity and water retention characteristics of compacted biochar-amended soils for potential application in bioengineered structures. J. Hydrol. 2021, 603, 127040. [Google Scholar] [CrossRef]
- Fischer, B.M.C.; Manzoni, S.; Morillas, L.; Garcia, M.; Johnson, M.S.; Lyon, S.W. Improving agricultural water use efficiency with biochar—A synthesis of biochar effects on water storage and fluxes across scales. Sci. Total Environ. 2019, 657, 853–862. [Google Scholar] [CrossRef] [PubMed]
- Pokharel, P.; Qi, L.; Chang, S.X. Manure-based biochar decreases heterotrophic respiration and increases gross nitrification rates in rhizosphere soil. Soil Biol. Biochem. 2021, 154, 108147. [Google Scholar] [CrossRef]
- Parvage, M.M.; Ulén, B.; Eriksson, J.; Strock, J.; Kirchmann, H. Phosphorus availability in soils amended with wheat residue char. Biol. Fertil. Soils 2013, 49, 245–250. [Google Scholar] [CrossRef]
- Piai, L.; Langenhoff, A.; Jia, M.; de Wilde, V.; van der Wal, A. Prolonged lifetime of biological activated carbon filters through enhanced biodegradation of melamine. J. Hazard. Mater. 2022, 422, 126840. [Google Scholar] [CrossRef] [PubMed]
- Weiler, M.; Flühler, H. Inferring flow types from dye patterns in macroporous soils. Geoderma 2004, 120, 137–153. [Google Scholar] [CrossRef]
- Zheng, H.; Wang, Z.Y.; Deng, X.; Herbert, S.; Xing, B.S. Impacts of adding biochar on nitrogen retention and bioavaila-bility in agricultural soil. Geoderma 2013, 206, 32–39. [Google Scholar] [CrossRef]
- Soinne, H.; Hovi, J.; Tammeorg, P.; Turtola, E. Effect of biochar on phosphorus sorption and clay soil aggregate stability. Geoderma 2014, 219–220, 162–167. [Google Scholar] [CrossRef]
- Wang, M.H.; Fu, Y.X.; Wang, Y.; Li, Y.; Shen, J.L.; Liu, X.L.; Wu, J.S. Pathways and mechanisms by which biochar ap-plication reduces nitrogen and phosphorus runoff losses from a rice agroecosystem. Sci. Total Environ. 2021, 797, 149193. [Google Scholar] [CrossRef]
- Ahmad, M.; Rajapaksha, A.U.; Lim, J.E.; Zhang, M.; Bolan, N.; Mohan, D.; Vithanage, M.; Lee, S.S.; Ok, Y.S. Biochar as a sorbent for contaminant management in soil and water: A review. Chemosphere 2014, 99, 19–33. [Google Scholar] [CrossRef]
- El-Naggar, A.; El-Naggar, A.H.; Shaheen, S.M.; Sarkar, B.; Chang, S.X.; Tsang, D.C.; Rinklebe, J.; Ok, Y.S. Biochar composition-dependent impacts on soil nutrient release, carbon mineralization, and potential environmental risk: A review. J. Environ. Manag. 2019, 241, 458–467. [Google Scholar] [CrossRef]
- Kumar, A.; Joseph, S.; Tsechansky, L.; Privat, K.; Schreiter, I.J.; Schüth, C.; Graber, E.R. Biochar aging in contaminated soil promotes Zn immobilization due to changes in biochar surface structural and chemical properties. Sci. Total. Environ. 2018, 626, 953–961. [Google Scholar] [CrossRef]
- Xu, C.; Zhao, J.; Yang, W.; He, L.; Wei, W.; Tan, X.; Wang, J.; Lin, A. Evaluation of biochar pyrolyzed from kitchen waste, corn straw, and peanut hulls on immobilization of Pb and Cd in contaminated soil. Environ. Pollut. 2020, 261, 114133. [Google Scholar] [CrossRef]
- Jang, M.; Hwang, J.S.; Choi, S.I.; Park, J.K. Remediation of arsenic-contaminated soils and washing effluents. Chemosphere 2005, 60, 344–354. [Google Scholar] [CrossRef]
- Muehe, E.M.; Morin, G.; Scheer, L.; Le Pape, P.; Esteve, I.; Daus, B.; Kappler, A. Arsenic(V) Incorporation in Vivianite during Microbial Reduction of Arsenic(V)-Bearing Biogenic Fe(III) (Oxyhydr)oxides. Environ. Sci. Technol. 2016, 50, 2281–2291. [Google Scholar] [CrossRef]
- Cutler, W.G.; El-Kadi, A.; Hue, N.V.; Peard, J.; Scheckel, K.; Ray, C. Iron amendments to reduce bioaccessible arsenic. J. Hazard. Mater. 2014, 279, 554–561. [Google Scholar] [CrossRef]
- Doherty, S.J.; Tighe, M.K.; Wilson, S.C. Evaluation of amendments to reduce arsenic and antimony leaching from co-contaminated soils. Chemosphere 2017, 174, 208–217. [Google Scholar] [CrossRef]
- Amoakwah, E.; Frimpong, K.; Okae-Anti, D.; Arthur, E. Soil water retention, air flow and pore structure characteristics after corn cob biochar application to a tropical sandy loam. Geoderma 2017, 307, 189–197. [Google Scholar] [CrossRef]
- Greco, R.; Gargano, R. A novel equation for determining the suction stress of unsaturated soils from the water retention curve based on wetted surface area in pores. Water Resour. Res. 2015, 51, 6143–6155. [Google Scholar] [CrossRef]
- Obia, A.; Mulder, J.; Martinsen, V.; Cornelissen, G.; Børresen, T. In situ effects of biochar on aggregation, water retention and porosity in light-textured tropical soils. Soil Tillage Res. 2016, 155, 35–44. [Google Scholar] [CrossRef]
- Liu, C.; Wang, H.; Tang, X.; Guan, Z.; Reid, B.J.; Rajapaksha, A.U.; Ok, Y.S.; Sun, H. Biochar increased water holding capacity but accelerated organic carbon leaching from a sloping farmland soil in China. Environ. Sci. Pollut. Res. 2016, 23, 995–1006. [Google Scholar] [CrossRef]
- Toková, L.; Igaz, D.; Horák, J.; Aydin, E. Effect of Biochar Application and Re-Application on Soil Bulk Density, Porosity, Saturated Hydraulic Conductivity, Water Content and Soil Water Availability in a Silty Loam Haplic Luvisol. Agronomy 2020, 10, 1005. [Google Scholar] [CrossRef]
- Zhang, Y.; Hou, R.; Fu, Q.; Li, T.; Li, M.; Dong, S.; Shi, G. Soil environment, carbon and nitrogen cycle functional genes in response to freeze-thaw cycles and biochar. J. Clean. Prod. 2024, 444, 141345. [Google Scholar] [CrossRef]
- Amin, A.E.-E.A.Z. Carbon sequestration, kinetics of ammonia volatilization and nutrient availability in alkaline sandy soil as a function on applying calotropis biochar produced at different pyrolysis temperatures. Sci. Total. Environ. 2020, 726, 138489. [Google Scholar] [CrossRef]
- Li, X.; Chu, S.; Wang, P.; Li, K.; Su, Y.; Wu, D.; Xie, B. Potential of biogas residue biochar modified by ferric chloride for the enhancement of anaerobic digestion of food waste. Bioresour. Technol. 2022, 360, 127530. [Google Scholar] [CrossRef]
- Yi, Y.; Wang, X.Y.; Ma, J.; Ning, P. Fe(III) modified Egeria najas driven-biochar for highly improved reduction and ad-sorption performance of Cr(VI). Powder Technol. 2021, 388, 485–495. [Google Scholar] [CrossRef]
- Fang, C.Y.; Li, P.; Zhang, J.L.; Lu, Y.H.; Tang, Y.Y.; Tu, N.M.; Liao, Y.L.; Nie, J. Soil Cd bioavailability response characteristics to microbes in paddy fields with co-incorporation of milk vetch, rice straw and amendments. Sci. Total Environ. 2024, 935, 173306. [Google Scholar] [CrossRef] [PubMed]
- Chang, J.N.; Zhang, H.B.; Cheng, H.Y.; Yan, Y.Y.; Chang, M.C.; Cao, Y.Z.; Huang, F.; Zhang, G.S.; Yan, M. Spent Ganoderma lucidum substrate derived biochar as a new bio-adsorbent for Pb2+/Cd2+ removal in water. Chemosphere 2020, 241, 125121. [Google Scholar] [CrossRef] [PubMed]
- Banerjee, S.; Mukherjee, S.; LaminKaot, A.; Joshi, S.R.; Mandal, T.; Halder, G. Biosorptive uptake of Fe2+, Cu2+ and As5+ by activated biochar derived from Colocasia esculenta: Isotherm, kinetics, thermodynamics, and cost estimation. J. Adv. Res. 2016, 7, 597–610. [Google Scholar] [CrossRef]
- Meng, Z.; Huang, S.; Xu, T.; Lin, Z.; Wu, J. Competitive adsorption, immobilization, and desorption risks of Cd, Ni, and Cu in saturated-unsaturated soils by biochar under combined aging. J. Hazard. Mater. 2022, 434, 128903. [Google Scholar] [CrossRef]
- Park, J.-H.; Ok, Y.S.; Kim, S.-H.; Cho, J.-S.; Heo, J.-S.; Delaune, R.D.; Seo, D.-C. Competitive adsorption of heavy metals onto sesame straw biochar in aqueous solutions. Chemosphere 2016, 142, 77–83. [Google Scholar] [CrossRef] [PubMed]
- Qiao, Q.; Yang, X.; Liu, L.; Luo, Y.; Tan, W.; Liu, C.; Dang, Z.; Qiu, G. Electrochemical adsorption of cadmium and arsenic by natural Fe-Mn nodules. J. Hazard. Mater. 2020, 390, 122165. [Google Scholar] [CrossRef] [PubMed]
- Wu, X.; Bowers, B.; Kim, D.; Lee, B.; Jun, Y.-S. Dissolved Organic Matter Affects Arsenic Mobility and Iron(III) (hydr)oxide Formation: Implications for Managed Aquifer Recharge. Environ. Sci. Technol. 2019, 53, 14357–14367. [Google Scholar] [CrossRef] [PubMed]
- Wang, D.; Li, C.; Parikh, S.J.; Scow, K.M. Impact of biochar on water retention of two agricultural soils—A multi-scale analysis. Geoderma 2019, 340, 185–191. [Google Scholar] [CrossRef]
- Bondarev, A.; Mihai, S.; Pântea, O.; Neagoe, S. Use of Biopolymers for the Removal of Metal Ion Contaminants from Water. Macromol. Symp. 2011, 303, 78–84. [Google Scholar] [CrossRef]







| Treatment | Soil Texture | pH | EC (ms·cm−1) | Soil Total Porosity/ cm3·cm−3 | Total Carbon/ g·kg−1 | ||
|---|---|---|---|---|---|---|---|
| <0.005 mm | 0.005~0.02 mm | >0.02 mm | |||||
| BL | 36.82 ± 1.18 a | 33.74 ± 1.39 c | 29.44 ± 1.24 a | 6.86 ± 0.05 b | 1.57 ± 0.11 | 0.47 ± 0.03 b | 22.59 ± 1.23 c |
| BC | 29.38 ± 1.12 b | 41.83 ± 1.47 a | 28.79 ± 1.27 ab | 7.36 ± 0.04 a | 1.66 ± 0.09 c | 0.54 ± 0.04 a | 33.44 ± 1.56 a |
| LFB | 32.38 ± 1.07 b | 39.83 ± 1.33 ab | 27.79 ± 1.16 b | 7.25 ± 0.03 a | 1.72 ± 0.07 b | 0.53 ± 0.04 a | 31.37 ± 1.87 a |
| MFB | 33.11 ± 0.95 ab | 38.21 ± 1.21 ab | 28.68 ± 1.29 ab | 7.33 ± 0.06 a | 1.78 ± 0.12 a | 0.51 ± 0.03 a | 28.63 ± 1.69 b |
| HFB | 34.57 ± 1.33 ab | 36.68 ± 1.12 b | 28.75 ± 1.08 ab | 7.21 ± 0.04 a | 1.81 ± 0.13 a | 0.49 ± 0.06 ab | 27.12 ± 1.93 b |
| Indexes | Treatments | Cd | As | ||||
|---|---|---|---|---|---|---|---|
| Shoot | Leaf | Grain | Shoot | Leaf | Grain | ||
| Transfer Factor (TF) | BL | 0.637 ± 0.034 a | 0.239 ± 0.014 ab | 0.063 ± 0.004 a | 0.615 ± 0.024 a | 0.247 ± 0.012 b | 0.052 ± 0.003 a |
| BC | 0.427 ± 0.022 c | 0.207 ± 0.008 c | 0.036 ± 0.003 c | 0.542 ± 0.018 b | 0.254 ± 0.009 ab | 0.043 ± 0.002 b | |
| LFB | 0.463 ± 0.019 c | 0.249 ± 0.011 a | 0.041 ± 0.002 c | 0.575 ± 0.023 ab | 0.263 ± 0.013 a | 0.049 ± 0.003 a | |
| MFB | 0.492 ± 0.018 c | 0.226 ± 0.009 b | 0.044 ± 0.003 c | 0.531 ± 0.027 b | 0.227 ± 0.011 c | 0.042 ± 0.002 b | |
| HFB | 0.511 ± 0.023 b | 0.217 ± 0.011 c | 0.048 ± 0.002 b | 0.497 ± 0.021 c | 0.249 ± 0.010 ab | 0.038 ± 0.002 c | |
| Distribution Factor (DF) | BL | 0.683 ± 0.031 ab | 0.242 ± 0.012 c | 0.075 ± 0.005 a | 0.631 ± 0.019 c | 0.305 ± 0.013 a | 0.065 ± 0.004 a |
| BC | 0.646 ± 0.028 c | 0.309 ± 0.009 a | 0.045 ± 0.003 c | 0.675 ± 0.021 b | 0.267 ± 0.014 c | 0.058 ± 0.003 b | |
| LFB | 0.691 ± 0.034 a | 0.256 ± 0.014 c | 0.053 ± 0.003 c | 0.664 ± 0.033 b | 0.287 ± 0.011 b | 0.049 ± 0.003 c | |
| MFB | 0.637 ± 0.029 c | 0.306 ± 0.015 a | 0.057 ± 0.004 b | 0.643 ± 0.028 c | 0.312 ± 0.012 a | 0.045 ± 0.002 c | |
| HFB | 0.654 ± 0.024 b | 0.285 ± 0.011 b | 0.061 ± 0.002 b | 0.702 ± 0.035 a | 0.257 ± 0.016 c | 0.041 ± 0.003 c | |
| Bio- concentration Factor (BCF) | BL | 1.596 ± 0.089 a | 0.609 ± 0.023 a | 0.162 ± 0.012 a | 1.498 ± 0.058 a | 0.573 ± 0.024 a | 0.125 ± 0.008 a |
| BC | 1.247 ± 0.054 c | 0.545 ± 0.019 b | 0.089 ± 0.004 c | 1.354 ± 0.061 b | 0.552 ± 0.028 ab | 0.106 ± 0.005 b | |
| LFB | 1.474 ± 0.048 ab | 0.496 ± 0.028 c | 0.098 ± 0.005 c | 1.297 ± 0.049 b | 0.516 ± 0.031 c | 0.093 ± 0.006 c | |
| MFB | 1.368 ± 0.052 b | 0.575 ± 0.023 ab | 0.112 ± 0.005 b | 1.176 ± 0.067 c | 0.489 ± 0.021 c | 0.082 ± 0.004 c | |
| HFB | 1.438 ± 0.041 ab | 0.521 ± 0.022 c | 0.127 ± 0.008 b | 1.223 ± 0.052 b | 0.525 ± 0.018 b | 0.079 ± 0.006 c | |
| Treatment | Seedling Stage | Maturity Stage | ||||||
|---|---|---|---|---|---|---|---|---|
| θs/cm3·cm−3 | θr/cm3·cm−3 | α/cm−1 | n | θs/cm3·cm−3 | θr/cm3·cm−3 | α/cm−1 | n | |
| BL | 44.26 | 14.59 | 0.0682 | 1.459 | 43.12 | 13.86 | 0.595 | 1.412 |
| BC | 52.34 | 8.64 | 0.0812 | 1.315 | 50.15 | 7.68 | 0.798 | 1.287 |
| LFB | 50.12 | 10.15 | 0.0768 | 1.368 | 48.92 | 9.57 | 0.659 | 1.336 |
| MFB | 47.69 | 11.59 | 0.0742 | 1.395 | 45.32 | 10.39 | 0.721 | 1.375 |
| HFB | 46.91 | 13.48 | 0.0616 | 1.425 | 44.37 | 12.11 | 0.863 | 1.356 |
| Treatment | Heavy Metal Cd | Heavy Metal As | ||||||||||
|---|---|---|---|---|---|---|---|---|---|---|---|---|
| Langmuir Model | Freundlich Model | Langmuir Model | Freundlich Model | |||||||||
| Qm | Kl | R2 | Kf | n | R2 | Qm | Kl | R2 | Kf | n | R2 | |
| BC | 0.613 | 0.472 | 0.905 * | 1.792 | 3.257 | 0.927 * | 0.478 | 0.357 | 0.923 * | 1.104 | 4.784 | 0.931 * |
| LFB | 0.542 | 0.533 | 0.949 * | 1.374 | 3.096 | 0.952 ** | 0.519 | 0.281 | 0.956 ** | 1.133 | 3.598 | 0.981 ** |
| MFB | 0.507 | 0.395 | 0.973 ** | 1.244 | 2.890 | 0.937 ** | 0.684 | 0.412 | 0.971 ** | 1.292 | 3.389 | 0.967 ** |
| HFB | 0.497 | 0.372 | 0.968 ** | 1.047 | 3.521 | 0.935 * | 0.881 | 0.339 | 0.965 ** | 1.407 | 3.279 | 0.952 * |
Disclaimer/Publisher’s Note: The statements, opinions and data contained in all publications are solely those of the individual author(s) and contributor(s) and not of MDPI and/or the editor(s). MDPI and/or the editor(s) disclaim responsibility for any injury to people or property resulting from any ideas, methods, instructions or products referred to in the content. |
© 2024 by the authors. Licensee MDPI, Basel, Switzerland. This article is an open access article distributed under the terms and conditions of the Creative Commons Attribution (CC BY) license (https://creativecommons.org/licenses/by/4.0/).
Share and Cite
Huang, W.; Jia, Y.; Niu, C.; Zhang, H.; Wang, Y.; Feng, C. Effects of Carbon-Based Modified Materials on Soil Water and Fertilizer Retention and Pollution Control in Rice Root Zone. Sustainability 2024, 16, 6750. https://doi.org/10.3390/su16166750
Huang W, Jia Y, Niu C, Zhang H, Wang Y, Feng C. Effects of Carbon-Based Modified Materials on Soil Water and Fertilizer Retention and Pollution Control in Rice Root Zone. Sustainability. 2024; 16(16):6750. https://doi.org/10.3390/su16166750
Chicago/Turabian StyleHuang, Wei, Yangwen Jia, Cunwen Niu, Hexi Zhang, Yongtao Wang, and Cheng Feng. 2024. "Effects of Carbon-Based Modified Materials on Soil Water and Fertilizer Retention and Pollution Control in Rice Root Zone" Sustainability 16, no. 16: 6750. https://doi.org/10.3390/su16166750
APA StyleHuang, W., Jia, Y., Niu, C., Zhang, H., Wang, Y., & Feng, C. (2024). Effects of Carbon-Based Modified Materials on Soil Water and Fertilizer Retention and Pollution Control in Rice Root Zone. Sustainability, 16(16), 6750. https://doi.org/10.3390/su16166750

