Next Article in Journal
Rapid Estimation Method of Allowable Axial Load for Existing RC Building Structures to Improve Sustainability Performance
Previous Article in Journal
Green Heritage and Lanna Urban Identity: A Study of Temples in Chiang Mai Old City
Previous Article in Special Issue
Exploring Dynamic Capability Drivers of Green Innovation at Different Digital Transformation Stages: Evidence from Listed Companies in China
 
 
Font Type:
Arial Georgia Verdana
Font Size:
Aa Aa Aa
Line Spacing:
Column Width:
Background:
Article

Social Capital and Reflexivity as Conditions of Organisational Morphostasis—Studies of Selected Polish NGOs

by
Piotr Weryński
* and
Dorota Dolińska-Weryńska
Faculty of Organisation and Management, Silesian University of Technology, Roosevelta Street 26, 41-800 Zabrze, Poland
*
Author to whom correspondence should be addressed.
Sustainability 2024, 16(15), 6576; https://doi.org/10.3390/su16156576
Submission received: 23 May 2024 / Revised: 11 July 2024 / Accepted: 29 July 2024 / Published: 31 July 2024
(This article belongs to the Collection Sustainable Innovation in Organizations for Improving Decisions)

Abstract

The innovativeness of non-governmental organisations, the basic institutions of civil society, is conditioned, among other things, by the endogenous potential of agency of the entities operating within them. The article attempts to answer two research questions regarding the above-mentioned issues: (1) How individual components of binding and bridging social capital (in the area of trust, norms, and connections) determine innovative activity in a state of morphostasis, i.e., structural and cultural continuity, in selected Silesian NGOs. (2) What type of reflexivity and the related nature of agency of the members of the NGOs surveyed dominate when undertaking innovative activities? At the theoretical level, the study was based on the concept of the three components of social capital by James S. Coleman and the assumptions of Margaret Archer’s morphogenetic theory of structure and agency, in particular, the types of reflexivity as a factor conditioning social agency. Based on them and using qualitative analysis of the FGI and SWOT questionnaires of the surveyed organisations, a diagnosis of intra-organisational barriers to innovation was made. The Atlas.ti computer programme was used. This method allows for the examination of structural elements, cultural features of a given organisation, and the capabilities of individual entities. The dominance of bonding social capital components over bridging social capital components was observed (mainly in the dimension of trust) as the basic bond connecting the members of the NGOs studied. It was accompanied by a communicative type of reflexivity of the respondents, with the aim of maintaining the existing organisational and social status quo. These key sociocultural factors determine the morphostatic nature of the organisations studied, i.e., their focus on maintaining the organisational status quo. Such contexts petrify the existing power structure, but also the level of social tensions and distances, and limit the innovation potential.

1. Introduction

Social innovation is a path to change. However, this is determined by both exogenous and endogenous factors [1,2,3]. Although exogenous conditions in the vast majority of cases constitute an independent variable in relation to the social or organisational context analysed, endogenous conditions are usually influenced by participants in organisational activities. The article will devote more attention to the endogenous conditions of innovative processes in the area of activity of non-governmental organisations. The literature on the subject contains several conceptualisations on the endogenous determinants of innovation development, including social innovations [4,5,6,7]. Key determinants are generally considered: organisational culture, the potential for social and creative capital, the aspirations and educational needs of the community, in addition to ensuring the possibility of their continuous satisfaction by the educational system, and the quality of local public institutions (including nongovernmental organisations) that create the institutional microenvironment of innovation [8,9,10,11,12,13].
Barriers to agency resulting from faculty activities in the area of innovation in the organisation will be analysed from a specific cognitive perspective—from the point of view of people defined in the conceptual convention of Margaret Archer’s morphogenetic theory as collective subjects of action, that is, the participants of organisations with a high potential for agency [14,15,16,17]. The agency of executive entities has subjective and intentional characteristics that should be associated with their reflexivity. Following Archer, we use the concept of communicative reflexivity, focused on maintaining the existing social status quo, and autonomous reflexivity, focused on change. At the same time, the agency is determined and conditioned by the environment and its structural and cultural properties [18,19,20,21]. The constitutive characteristic of agency, understood in this way, is not only the ability of the entity to act but is expressed in the very existence of this entity [14,22,23]. The agency understood in this way creates conditions for innovation. It leads to innovation, provided that the appropriate structural and cultural conditions are met.
The authors distinguish between two types of agency barriers: structural and awareness. The first type of barrier is determined by the contexts derived from the economy, human resources, communication, and digital capabilities. Barriers of the second type concern the respondents’ state of mind, attitudes towards undertaking social innovations (pro- and anti-innovation), attitudes towards innovation participants (e.g., trust and normative community), and attitudes towards the need to build social ties in micro, meso, and macroenvironments. The effective implementation of innovations requires the special involvement of innovators, users, and recipients, positive feedback between these entities; in other words, the interaction between the conscious component and the objectified agency and the structural and cultural conditions. In the surveyed non-governmental organisations, the above requirements are ensured thanks to the pro-sumer attitude of their leaders and members. The agency of individuals and social groups, deprived of adequate resources of economic, social, and cultural capital sufficient for their organisational agency, is inhibited by these emergent properties.
To examine the functioning of the Polish civil society, including its most institutionalised form, non-governmental organisations, it is necessary to take into account the existing elements of both bridging and binding social capital. Perhaps defining the role of the latter is the key to explaining the Polish specificity of civic participation, also in the sphere of non-governmental organisations. Based on our own previous research and the existing literature on the subject, it seems advisable to present a thesis on the existing type of social capital as a key cultural condition shaping the functioning of Polish civil society [24,25,26].
There are many empirical sources justifying the thesis on the dominance of social relations based on the binding rather than the bridging type of social capital in Polish society. As shown by many years of research (including CBOS, GUS, and Social Diagnosis) in Poland since the political transformation [27], despite a several-fold increase in GDP per capita and a relatively high level of schooling rates, or, more broadly, human capital, there has been no increase in the level of social capital, especially in its pro-innovation and inclusive nature. Varieties [28]. Research published in 2020 by the Central Statistical Office, in which associational (bridge) and informal capital (family, neighbourhood, and social capital, i.e., defined as applicable in Putnam’s conceptual convention) were analytically distinguished and showed that only 12% of respondents aged 16 and over declared that they belonged to or identified with non-governmental organisations. Much more of the respondents’ declarations, 82%, concerned the components of informal (family) capital, measured mainly by the degree of emotional bond, frequency of contacts, and the degree of mutual help and support. Hence, the conclusion is drawn that, in Poland, the strongest element of social capital of the network is the capital of bonds, or, more precisely, its family component. Second, in maintaining social networks, the elements are the bonding capital in one’s neighbourhood and social diversity (approximately 62% of responses). Its bridging type has the smallest contribution to building social capital (e.g., measured by the level of participation in social organisations and the degree of generalised trust in people) [26,27,28].
These observations are also confirmed by comparative research from the European Social Survey [29]. The level of general trust of citizens and the scale of their membership in non-governmental organisations, as the main indicators of bridging social capital in Poland in relation to analogous indicators in other European Union and OECD countries, has remained one of the lowest for years and usually amounts to 10–15%. It seems reasonable to learn what types of social capital dominate among people actively involved in the activities of non-governmental organisations.
To the knowledge of the authors, research on the co-occurrence of social capital (in three dimensions: trust, norms, and connections) and the types of reflexivity as factors that condition organisational morphostasis have not been operationalised or empirically examined so far. Empirical scientific literature on these conditions for innovation in non-governmental organisations was not found in available Internet resources. Therefore, it was necessary to outline the ontological (structure, culture, and agency) and epistemological (critical realism) foundations of the research fields and the scope of the research questions. It was necessary to find theoretical foundations and the methodological directives resulting from them as adequate for studying the issues that had not been subject to empirical research before.
With reference to the data and observations presented, the authors will attempt to diagnose two endogenous conditions shaping the causative and innovative possibilities in the state of organisational morphostasis and the morphogenesis of collective action entities from selected Silesian non-governmental organisations: (1) The potentials of binding and bridging capital social (in the area of trust, norms, and connections), and (2) the types of reflexivity and the nature of agency related to them.
Research on the institutionalised manifestations of the functioning of civil society was carried out in a specific region of Poland. Upper Silesia is the most urbanised part of Poland, whose population lives mainly in large and medium cities (over 100,000 inhabitants). The population of the region is diverse in terms of both nationality and ethnicity. In a cultural sense, it constitutes the Polish-German-Czech border.

2. Literature on the Subject: Type of Reflexivity, Social Capital, and Innovation

The main thesis of the morphogenic approach is to say that existing social structures and cultural systems are the conditions of social interactions, but do not determine them, leading to the reproduction (morphogenic) or transformation (morphogenic) of these structures in subsequent stages of the morphogenic cycle: social and cultural conditioning, interaction, and overwork [14,15,16,17]. In such a conceptual framework, the morphological cycle, it is possible to identify and explain the dynamics of changes in the processes of participation and social innovation, as well as the transformation of reflexivity types among the participants of NGOs. These organisations, due to their embeddedness in social structure and cultural conditioning, as well as the importance of individual and group agency for their survival and transformation, seem predisposed to morphogenetic analysis. Therefore, following Archer, the authors use the concept of communicative reflexivity, focused on maintaining the existing social status quo, and autonomous reflexivity, focused on change. The ways of operationalising them will be presented in the methodological section.
From a sociological point of view, the key factor that determines the innovation potential of a given group or organisation is also its social capital potential [30,31,32]. This is an important conceptual category, both in the theoretical and operational dimensions, for analysing the relationship between structural and cultural conditions and the agency of the investigated entities affected by the contexts and effects of ressentiment. Therefore, the concept of social capital and the operationalisation of the key variables that describe it will be conceptualised. The components of social capital existing in a given cultural context constitute, in Archer’s approach, the cultural system (ideas) and its sociocultural, interactive manifestations (actions). Pattern forms of social capital developed over time, such as generalised trust and a community of values, are a component of the cultural system, that is, a set of ideas. They can be treated as social facts. However, sociocultural interactions and activities undertaken should take into account the remaining element of the definition of social capital, conceptualised after James S. Coleman [33], that is, social connections and networks. This last definitional element, i.e., connections and networks, simultaneously belongs to and characterises the structural and cultural properties of a given community because, on the one hand, it indirectly reflects the position of individuals in access to power, possession, and prestige, and, on the other hand, it reflects the specificity of sociocultural interactions related to the implementation of specific ideas and values (cultural system) in action. Therefore, the relationships that connect the social capital potentials of selected non-governmental organisations with the structural and cultural contexts (barriers) that determine their morphogenetic abilities, including the innovative ones, will be characterised. The authors also intend to demonstrate that the quality of specific forms of social capital (trust, norms, and connections) determines the effects of social innovations.
Social capital resources, in addition to human and economic capital and, to a lesser extent, cultural capital [34], are widely believed to play a decisive role in the sustainable development of local communities, regions, and societies, but also strengthen innovative processes, including social innovation [30,35,36,37,38,39,40,41,42]. The literature on the subject contains several dozen ways of defining social capital, the sources of which can be traced back to the beginning of the twentieth century [43,44]. The main macrostructural theoretical paradigms include two dominant concepts of this concept: conflict theory and functionalism. The first emphasises the importance of individual resources and exclusive group resources (environmental, social, and corporate), which testify to existing structural conditions, divisions, inequalities, tensions, and conflicts, and not to a community of values or interests. Social capital understood in the convention of the conflict paradigm according to Pierre Bourdieu [45] is a resource that an individual acquires during participation in more or less institutionalised groups that provide their members with support in the form of a lasting network of relationships based on knowledge and mutual relations. According to Bourdieu, the position of an individual in the social structure is also determined by other types of capital: economic, cultural, and the resulting symbolic capital [45].
Today, more and more researchers are highlighting the particular importance of the social relations network in multiplying the individual resources of social capital. These are resources embedded in a social network, understood as part of the structural context [46]. Janine Nahapiet and Sumantra Ghoshal define social capital as the sum of current and potential resources resulting from the network of connections that connect operating entities [47]. According to Lin, social capital is both the resources that specific individuals or groups have in the network and the structure of their contacts. In other words, Lin sees social capital as an attribute of the social structure: “resources built into the social structure that can be achieved or mobilised through purposeful action” [48]. Social capital understood in this way has its roots in social networks and relationships. However, Burt claims that the network consists of positions and social relationships in the network that provide access to specific resources and their flow within the social structure [49,50]. Both resources and relationships are important for a complete understanding of the phenomenon of social capital. Therefore, it seems appropriate to clarify that these resources, as the results of individual or group activities in the network, are of a material (wealth), cultural (prestige), or political (power) nature. They have the potential to consolidate the existing social status quo (morphostasis) and introduce changes (morphogenesis).
The second theoretical trend in research on social capital emphasises the importance of generalised trust and the collective actions based on it, which are socially resource-creating, integrating, inclusive, building bonds, and networks of connections, created on the basis of an axionormative community. Contemporary integrative concepts of social capital, most often drawing on the “associative” inspirations of A. de Tocqueville, focus mainly on finding answers to the question about the sources of the effectiveness of social institutions and identifying ways that allow given communities to solve problems, encounter innovations, and implement them. Coleman was one of the first to emphasise the integrative aspect of social capital, already in the 1980s, in parallel with P. Bourdieu, the creator of the oppositional conceptualisation of social capital, who introduced the above concept to the resources of sociological theories.
According to Coleman, the strength and scope of the bonds and networks of social relationships are determined by trust between the actors of social, economic, and public life, the normative community, and institutional, group, and personal connections [33]. By analogy to material or human capital (e.g., know-how), he stated that social capital is productive because it enables the achievement of social goals to a greater extent than when it is unavailable. He claims that, in addition to knowledge and skills, a significant part of human potential is the ability to create groups to achieve a set goal. In turn, the ability to form groups depends on the extent to which a given community recognises and shares a set of norms and values and on the extent to which members of this community are willing to sacrifice part of their individual good for the common good. Sharing the same views and values is the basis for trust—‘social capital, which often translates into economic capital’ [51].
Robert Putnam, also a classic, understands social capital in a functionalist and integrative way. He refers to features of social organisation, such as networks, norms, and social trust, that facilitate coordination and cooperation within networks. He explains the concept of social capital in the context of rational choice theory, or rather, overcoming the dilemmas of collective action. He distinguishes two basic social action strategies that lead to balance, self-sufficiency, and the durability of social systems. The first strategy is “never cooperate”, and the second strategy is the opposite, “collaborate”. Strategy two is where social capital activities such as trust, norms, and networks of associations tend to be self-reinforcing and cumulative. Positive feedback leads to social balance, characterised by high levels of cooperation, social trust, reciprocity, civic participation, and shared prosperity [52]. These characteristics define a civic community. Both positive and negative relationships determine the functioning of specific communities, but the level of effectiveness of each of them varies.
Putnam introduces an important theoretical and analytical distinction between two types of social capital: bonding and bridging, which will be helpful in the morphogenetic causal analyses of the emergence of the effects of resentment presented in the following text. Bond capital is characterised by primary groups: families, neighbourhood groups, social groups, and exclusive groups connecting individuals with similar sociodemographic characteristics who have personal trust in each other, excluding different people. Bridging capital is more universal. It connects people and groups with various sociodemographic characteristics; it allows you to build lasting bonds and networks of supragroup and intergroup ties. This is particularly important for building communities, organisations, and public institutions open to broadly understood innovations. The authors briefly and precisely describe its role: “Broadband capital can expand the boundaries of individuality (identity) and reciprocity” [52].
F. Fukuyama, Author of the work Trust, looks at society from a similarly integralist perspective. Social capital and the path to prosperity claim that the economic prosperity of nations and the ability to compete in the global market are conditioned by one cultural feature: the level of social trust of individual actors (individual or collective) in each other in a given society. However, social capital, i.e., the norms of reciprocity, moral obligations, and trust, is based on custom, not rational calculation. Social capital is renewable, but only if it is culturally and normatively based [53].
The literature on the subject also includes concepts critical of the functionalist trend, defining the effects of too strong social ties and resources, e.g., as negative social capital or the concept of two types of social capital resulting from rootedness and autonomy [54,55], which appeared in the context of criticism of Putnam’s approach [56]. These concepts are based on a critique of the position that social capital is a common good that positively affects all areas of social life: human capital, productivity, economic success, democratic governance, and individual well-being, which are, generally speaking, all aspects of human life [57]. The allegations are based on premises that may arise as a result of a level that is too high of one type of social capital in particular. They concern, among others, the discrimination of individuals outside the dominant group, resulting from the process of favouring participants of a given social structure, which has too much potential to bind social capital [58]. Pragmatics that limit freedom, innovation, entrepreneurship, and creativity also play an important role due to the excess of bonding social capital existing in closed, traditional, or extremely fundamentalist groups [59]. It is also important to limit the access of people outside the group to resources, to appropriate certain goods, to demand a share of profits by demanding the employment of relatives and friends (nepotism), and to risk perceiving individual success as a threat to group cohesion [54,60].
Too large resources of bonding social capital also favour the occurrence of amoral professionalism, which involves applying to external individual rules that go beyond moral and ethical norms and differ from those prevailing within the group (e.g., mafia activities, discrimination of ethnic minorities, manipulation of access to information to achieve one’s own benefits, etc.) [61]. In addition, they promote corruption in enterprises, including organising tenders or conducting activities that favour stakeholder groups that practise hiding information from other participants. This phenomenon is associated with a high level of trust, leading to a greater sense of security and information retention within the group [55,62]. There are also pathological lobbying behaviours, such as interest groups that seek to shape legislation and place their own benefits ahead of the good of society as a whole, including trade unions, professional corporations, and lobbying groups [63].
Taking into account the dysfunctional elements of trust capital, bonds, and social norms that are not resource-generating for a given community allows us to avoid accusations of a one-dimensional image of reality levelled against representatives of purely integrative concepts. Therefore, a distinction is made between opposing forms of social capital: those that create resources and those that do not create resources.
The authors’ operational definition of the concept of innovation is based on a pragmatic approach to truth. It accepts as true what works through its practical consequences. It is close to being identified with the effectiveness, efficiency, and adequacy of satisfying human needs in a specific situational context. Pragmatically understood, social innovation emphasises the importance of the effects of social activities, the importance of activities focused on action research, i.e., research, action, and cooperation [2,8,64]. The above-mentioned approach to social innovation includes the diagnosis of reality, identification of the problem, initiation, testing, implementation, and possibly validation of the final product of the innovation (i.e., product, service, and model), which in effect leads to a permanent and significantly predicted change in a specific environment, social group, or organisation. It is achieved through the cooperation and mutual inspiration of innovators, users, and recipients.
A social innovation is defined as an activity/model/service that is characterised by at least most (i.e., five out of nine) of the following features: intersectorality, openness and cooperation, construction and co-production, interdependence, creation of new social roles and relationships, bottom-up, more effective use of means and resources, development of new resources and opportunities, and the use of ICT technologies and tools in social and organisational communication [65].

3. Methodological Assumptions

With reference to the above conceptualisations of social capital and selected assumptions of morphogenetic theory, two research questions were asked: (1) What elements of bonding and bridging social capital (in the area of trust, norms, and connections) determine innovative activity in the state of morphostasis of selected non-governmental organisations? (2) What type of reflexivity and the related nature of agency dominates when undertaking innovative activities among entities operating in the surveyed non-governmental organisations?
The results were analysed and interpreted in relation to the following research questions according to the following schemes: (1) organising raw data, i.e., creating an integrated text document from interview transcripts, (2) data descriptions (coding and creating a code family), and (3) interpretation of the code family’s perceptual maps. The sequence of research within the interview method used, the qualitative technique, and the focus group interview (FGI) were determined through a focus group scenario in which the main research questions were operationalised. The interviews were conducted in the form of discussions under the supervision of a moderator and focused on the main thematic threads determined by the research questions.
An inductive method was used to analyse the collected research material. Therefore, no preliminary assumptions were made regarding the nature of the relationships between the variables, and no hypotheses that could be verified during focus groups were formulated. The selection of people for the research groups was purposeful. This means that in the composition of individual focus groups, there was an important saturation with people with the most diverse judgments on the scope of agency and innovative activities in the studied groups. It was also assumed, in accordance with the grounded theory, that the data collected in individual groups would be compared with each other to extract codes from the focus groups that organise and interpret the research material. More general categories were then constructed (through grounding in similar cases) to show the connections between the categories [66,67].
Focus groups were held in 2022. They covered 48 Silesian NGOs. A total of 48 focus group interviews were conducted with representatives of each of the organisations surveyed separately. Purposive selection was applied to the research sample in such a way that in each focus group, there were equal proportions of representatives of both the management board and the rank-and-file members. A total of 192 people participated in the qualitative study of the FGI, including 96 leaders (presidents and board members of non-governmental organisations) and 96 members of non-governmental organisations. When selecting non-governmental organisations for the research sample, an equal percentage of organisations from metropolitan (cities with more than 100,000 inhabitants), urban (from 30,000 to 100,000 inhabitants), and small-town and rural (less than 30,000 inhabitants) environments were taken into account.
Furthermore, the configuration of the research sample included a variable: the main area of activity of the organisation. Therefore, non-governmental organisations were selected in equal proportions for the focus research, four organisations each from the six areas of activity most frequently represented among all Polish non-governmental organisations, ie, from the area of charity and health promotion activities, education and education, sports and recreation, religious organisations and communities (incl. including parish), local governments (districts, housing estates, and housing communities), and animal care [28].
An additional criterion for selecting a given organisation for the research was its documented implementation of at least one social innovation in the last two years before the start of the research. Such innovation should be characterised by at least five of the nine parameters: cross-sectorality, openness and cooperation, pro-sumption and co-production, interdependence, creation of new social roles and relationships, bottom-up, more efficient use of means and resources, development of new resources and opportunities, and the use of ICT technologies and tools. A social innovation was granted the status of implemented when a given project underwent a final external evaluation, e.g., carried out by an intermediate body representing the European Union or national authorities, appointed to distribute funds for individual social programmes.
The group interview scenario included questions about the type of barriers and conflicts hindering the introduction of innovations in the organisation and its environment, the importance of personal and group jealousy and distrust in the implementation of innovations, the existence of social capital components (connecting and bonding diversity), such as trust in generalised others, the nature of connections with the socioeconomic environment, local government authorities, and the way of understanding the common good. The main scope of issues constituting the FGI scenario is presented in Appendix A.
In the following text, the elements of the morphogenetic analysis model will be presented, constructed based on the assumptions of Archer’s theory of structure and agency and conclusions from the research of non-governmental organisations [3,17]. It will be used to determine which type of reflexivity and the related nature of the agency dominate when respondents engage in innovative activities.
  • In the morphostatic state, that is, in the preservation of their basic interests and values, existing structural and cultural contexts limit the development of innovations (indicators of the morphostatic state are attitudes that emphasise the status quo).
  • Contextual continuity is perpetuated by the dominance of the communicative type of reflexivity. An indicator of the existence of communicative reflexivity is that respondents emphasise the structural barriers more than possibilities of overcoming them, the lack of trust in the external environment, and the domination of the bonding elements of social capital.
  • The conciliation of mutual relations between operating entities in the structural and cultural context prevents changes in the organisational status quo.
  • Morphogenesis will occur when conflict arises between the main actors regarding the distribution of structural and cultural resources and/or when new actors emerge (new interests, ideas, and values) that challenge the organisational structure and culture.
  • Interpersonal tensions (emotional trauma and conflicts) activate new actors, thus facilitating organisational changes (positive function of conflict) and the conditioning of innovation processes.
  • The factor that dynamizes the organisational morphogenesis described above is a type of autonomous reflexivity that spreads in a state of context discontinuity. This manifests itself in an increasingly critical approach to individual aspects of organisational life. It develops at the expense of the previously dominant type of communicative reflexivity.
  • In contextual discontinuity, associated with the predominance of autonomous reflexivity, surveyed organisation members (e.g., in the SWOT analysis) emphasise the opportunities to overcome structurally determined barriers to a greater extent than the limitations and threats resulting from them; there are manifestations of bridging social capital, declarations of trust in organisational connections, acceptance of the horizontal structures, and declarations of willingness to cooperate.

4. Social Capital and Innovation in a State of Organisational Morphostasis

At the beginning of the second subchapter, references were made to Coleman’s three forms of social capital, which are expressed as, respectively, (1) trust, or more precisely obligations, expectations, and trust conducive to obtaining help from others, (2) norms and effective sanctions associated with them, and (3) connections, that is, access to information and social networks [51]. The forms of social capital presented that directly refer to the above conceptualisation will be defined as resource creation, in contrast to the forms that are sometimes referred to in the literature as negative, dirty, and non-resource creation [68,69].
The proportions existing in a given social context between the level of resource-creating and non-resource-creating capitals (in the dimensions of trust, norms, and connections) and the component of bridging and bonding capital will determine the potential of social and non-resource-creating capital and the organisational innovation of a given community, enterprise, or organisation. Therefore, it is important to diagnose the type of social capital that dominates in a given social and organisational context: binding, related to the traditionally understood community, or bridging, which is based on generalised trust and task-orientated and instrumental activities.
The place in the appropriate network of connections and access to the resources of bridging (generalised) social capital, which is associated with a given network of social connections, determine the possibilities of effectively undertaking a specific social or organisational innovation. According to the Global Preferences Survey [70] conducted on a sample of 80,000 respondents from 76 countries, with 90% of the population and the share of these countries’ GDP in global GDP, social trust, which is a key component of bridge capital, is statistically significantly correlated with broadly understood economic development.
Cultural morphostasis (normative status quo) is maintained in Polish reality by the established, often taking the normative form of a social fact, the domination of patterns of behaviour, and relationships based more on binding (community, family, and social, exclusively) than on bridging (social, task-oriented, inclusive) social capital, as well as a normatively grounded orientation towards the group good (not the common good). Its dysfunctional manifestations for the social system are most visible in institutionalised interpersonal relationships, including among employees, petitioners, clients, and stakeholders of offices and institutions, enterprises, and members of non-governmental organisations. Wherever the presence of the elements of social capital is indicated for sustainable socioeconomic development and the building of long-lasting and depersonalised networks of relationships based on generalised trust or a culture of trust [58], its existence in a given context helps eliminate tensions and social distances resulting from strong and exclusive social bonds [23,24].
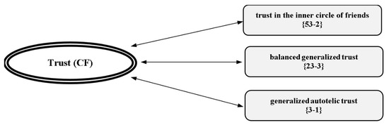
The level of trust between individual and collective actors is crucial, both in theoretical and applied contexts, i.e., when undertaking specific social innovations. Therefore, during group interviews, the respondents were asked the following question: Who should be trusted first when introducing innovations—(a) the members of the organisation, friends, and family or, maybe, (b) all people equally?
When undertaking innovative activities, approximately two-thirds of the active participants in group interviews declared that they trusted primarily their closest colleagues, friends, and family [code: trust in the inner circle of friends {53-2}]. She based her trust mainly on people in her closest circle of relatives and friends. It built social relations primarily within its primary groups on the binding, not the bridging, component of social capital.
This type of relationship is reflected in a number of statements below. The president of the management board of an organisation supporting the education of children and youth from communities at risk of social exclusion states “... I think that the trust between us on the management board of the organisation is at such a high level, first of all with the employees, also at some other level, and then less and less”. A similar opinion was expressed by a member of the board of an association whose aim is to support young people at risk of diabetes: “First of all, we trust each other, this is the first thing that trust starts here between us, and everything actually comes from there”. Another participant in the same focus group states that, ‘I think it is actually obvious. Well, that is the kind of... trust that is just put in the members. But like, well, we know that we will decide to introduce some innovations. When it comes to the school principal, we trust that the people who will use it, the people managing the school, we simply trust... Conscientious manner. However, a scout activist from a medium-sized city-state stats that, “Taking into account the fact that the organisation is an educational organisation, I believe that we should trust the members of this organisation and possibly people gathered around this organisation and their families, etc.”.
However, among the remaining (approximately one-third) active focus group participants, manifestations of generalised balanced trust were observed, i.e., to a similar extent towards members of their primary and other generalised groups, as well as several statements representing generalized autotelic trust, uncritical towards “others” [code: balanced generalised trust {23-3}], i.e., to a similar extent towards members of one’s primary and other generalised groups, and several statements representing generalized autotelic trust, uncritical towards “others” [code: generalised autotelic trust {3-1}] (see: Figure 1). This group of respondents declared, unlike the majority mentioned above, full trust in external participants in innovative activities. Such attitudes are an example of the evolution from community bonds typical of bonding capital to a relative balance between the components of bonding and bridging capital. For example, the president of an association whose goal is to activate disabled people from a large Silesian city states, “I believe that no innovation will be introduced if members and volunteers are not trusted, that is, first of all. You can count on them and have faith in them. However, family support, as psychological support, is also very, very necessary for me, and without a balance of trust in members, colleagues, and family support, there is little that can be done at least in my opinion, in my opinion” (see: Figure 2).
In mature and effective organisations, both structurally and functionally rooted in a broader sociocultural environment, there is a process of limiting emotional bonds in relationships between members in favour of instrumental and task-orientated bonds—the depersonalisation of bonds. An eloquent declaration was made by a member of the management board of an association that integrates local communities through historical reconstructions: “It seems to me that the higher the level of foundation of the organisation and its own professionalism, the greater the trust in a given person and the scope of people’s activities, greater than personal ones” and “... What we do in the group translates later into what we propose externally”. Additionally, inquiries from outside proposals often also influence what is happening on the team. The balance of both types of bond and trust among members of non-governmental organisations is also evidenced by the statement of the president of a student organisation that operates both in its micro-, meso-, and macro-environment: “I assume that it is worth trusting people who are just in it or they were there some time ago... but in order not to go too far in this direction, we should not close ourselves off to those from the outside, because they can see something that we, being inside ourselves, the bubble, do not see”. Balanced in this way, social capital, containing both a bonding and a bridging element, has been built over the years through painstaking work on the network of volunteers and cooperation with the broadly understood environment of the organisation.
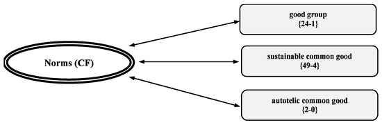
The second classic component of social capital from a functionalist perspective is norms, i.e., a set of common norms and values (see: Figure 3). The need to participate in the life of the local community, the implementation of the principle of reciprocity in social life or the principle of subsidiarity, a sense of identification with the private and ideological homeland, and acceptance based on the internalisation and externalisation of the existing axiology, the normative or legal-political order is resource-creating and is socially established as a norm. Implementing the above normative elements equally determines the social situations in which bridging and bonding capital occurs. However, it seems important to isolate the parameters of the normative component, which will be more strongly assigned to particular types of social capital and pro-innovation attitudes. Hence, in the presented research, it was operationalised as the respondents’ attitude towards the opposition: group good versus common good. Therefore, the question in the interview scenario was as follows: Does the organisation focus more on activities and matters within its members, or is it more open to the affairs of all residents of the city/municipality/region?
Among the representatives of the surveyed organisations, three types of orientations toward normative oppositions were noticed: group good (i.e., primarily, the needs of the organisation’s members) versus common good (primarily, the needs of all the inhabitants of the city, region, or country, generalised as “other”), which concerned making decisions about innovative activities. In addition, two orientations focused on the common good were distinguished. The first, much more common, is a balanced orientation, trying to combine the needs of both the general public and members of non-governmental organisations, and the second, which treats the common good as an autotelic value, not taking into account the needs of members of one’s own group [code: sustainable common good 49-4]; the second treats the common good as an autotelic value, not taking into account the needs of the members of one’s own group [code: autotelic common good 2-0].
An example of a sustainable orientation is the following statement: “This organisation is open to all residents. Yes, it is not closed” or “We are open to all residents. People often come to us with various initiatives and problems that are supposed to help them solve a specific action, and we simply come up with this idea” and “The organisation plays a role mainly towards the city’s inhabitants, it activates the inhabitants of our city. However, it also takes certain actions for itself and its members...”. The following statement by the respondents is an example of autotelic orientation: “... we act for others in practically every possible way, wherever we are... I don’t know. Well, we are based in Gliwice and operate throughout Poland and, if we take the Internet into account, throughout the world”.
The orientation towards the good of the group remained in the minority, with less than every third respondent identified [code: group good {24-1}]. The president of the management board of one of the associations surveyed states, “The organisation focused more on activities within its own members and did not reach other residents among other nongovernmental organisations”. In a similar vein, the normative orientation of an organisation whose statutory activity is aimed at the civic activation of city residents is assessed by a member of its management board: “In our case, let us say, the first place was always the organisation, the most committed people, and the rest of the members”.
The third form of social capital, understood in Coleman’s approach, is connections, which are usually defined as the scope of access to information and the degree of participation in industry, local, regional, national, and international cooperation networks. Belonging or not belonging to a network of third sector institutions (NGO), having or, respectively, lacking cooperation with residents of the local community, local government authorities, and representatives of local or regional business communities, is a manifestation of the functioning of a network of connections that, in the first case, build, and, in the second case, weaken the resources of social capital (question in the FGI scenario: What is the organisation’s cooperation with (a) city/municipal authorities; (b) with the inhabitants of the city/municipality; (c) with business; and (d) with other non-governmental organisations?
Most of the activists surveyed were able to name many different, lasting, and mutual forms of connections between their organisation and the broadly understood social environment (see: Figure 4): city/municipality residents [code: residents {51-1}], local government authorities [code: local government {46-1}], other non-governmental organisations [code: other nongovernmental organisations {49-2}], and with business representatives [code: business {39-0}].
A member of the management board of an organisation dealing with historical reconstructions talks about the connections with other non-governmental organisations with herself: “First of all, joint action, because when they lack people, we help them and vice versa, when, for example, we lack people for a certain performance or event, so we can also reach out to other teams and they will support us... I think it is an exchange, a two-way exchange, barter, favour for favour, and all that, that is cool too. It is valuable because we are on the same horse and we want everything to happen and people to benefit, so we help each other”. The effectiveness of the actions taken increases with the development of bridging connections, embedded in a coherent system of norms and values. This aspect of the activities of non-governmental organisations was pointed out by the president of an association focused on educating children and adolescents suffering from cancer: “At the beginning, we focused on our people, i.e., students, graduates, parents, and then we started to expand, including other people in need. Collections; twice a year, even on Christmas, some activities, e.g., collecting magnets for Sandra. Collections in Ukraine. Then there was a Department of Paediatric Oncology in Gliwice, so this activity is expanding to other cities and internationally”.
The key function of non-governmental organisations as institutions that permanently support and complement the activities of local government authorities, as well as connections and networks of mutual connections, was mentioned by a member of the management board of an organisation that undertakes charitable and inclusive activities among homeless people in one place. Regarding the larger cities of Upper Silesia: “I always say it—every non-governmental organisation makes sure that the city engages in certain activities. They should be and are desirable because it is done with the power of people, because the city would have to perform specific tasks for which it would have to pay”.
It is assumed that the high potential of social capital, especially bridging and resource-generating capital, contributes to social innovation. However, the presented results indicate the existence of deficits in bridging social capital in most of the organisations studied, in particular, the lack of generalised and lasting trust. Non-resource-creating forms of social capital, especially in the dimension of trust and, to a lesser extent, in the dimension of norms and values, where most respondents declared an orientation towards the lasting common good and lasting social bonds and networks, constitute a significant barrier to social activities, including innovative ones. They reinforce tensions between primary actors (deprived of agency) and collective actors (socially responsible), perpetuating distance and tensions in the group and in relation to the environment.
Historically, a conditioned low level of bridging social capital and generalised trust in social or organisational interaction partners constitutes a social fact in Durkheim’s understanding. This is one of the key sociocultural factors that negatively determine the development of innovation in civil society [71], perpetuating social distance and social morphostasis [72,73]. As numerous studies, including ours, show, this also makes it difficult to build institutionalised networks of cooperation not only between civil society participants but also relationships with research institutions and local governments.

5. Types of Reflexivity and Innovation in a State of Organisational Morphostasis

What is the dominant type of reflexivity and the related nature of agency that determines the dominance of the morphostatic or morphogenetic mode of action among the members of the surveyed non-governmental organisations? Remaining in the spirit of the assumptions of Archer’s theory, it was assumed that the determinant of the existence of communicative (morphostatic) reflexivity is the respondents’ emphasising the importance of barriers, both conscious and structural, and not the possibilities of overcoming them by the members of the organisation—the lack of trust, the domination of the binding elements of social capital, the uncritical submission to management decisions, and the applicable system of organisational norms and values (axionormatic morphostasis). The indicators of autonomous (morphogenetic) reflexivity contrast with those mentioned above. The dominance of a given type of reflexivity among group members is conditioned by the perception of existing barriers to agency. In the cases examined, conscious and intra-organisational barriers to agency dominated over structural (objectified) barriers and those resulting from relations with the external environment (see: Figure 5).
The attitude towards maintaining contextual continuity was observed, which is reinforced by the dominance of communicative reflexivity over autonomous reflexivity [15,16,18,19,20]. The respondents highlighted the importance of difficulties in overcoming both structural barriers [code: limited financial resources obtained from the environment to carry out activities and infrastructure {30-0}], [code: little help from the city and municipal authorities {29-0}], as well as the awareness barriers of their causality. It was particularly important to pay attention to the negative group emotions that block innovations, mainly group and individual jealousy [code: envy of innovators {27-1}] and personal conflicts resulting from different views on the implementation of innovations [code: personality conflicts {45-2}]. The focus group participants were also asked about the causes of conflicts and tensions in their organisations (see: Figure 6). Understanding the areas of personal and group development tensions allows you to diagnose barriers to the agency of entities operating in the organisation. In addition, in this area, the respondents emphasised the predominance of conscious barriers limiting their organisational agency over structural (objectified) barriers. Among the awareness barriers, personal conflicts turned out to be particularly important due to differences in the ways of defining strategic goals and methods of achieving them, but also the accompanying excessive personal ambitions and jealousy [code: personality conflicts, ambitions, individual and group jealousy {29-2}] and difficulties resulting from the selective, unreliable involvement of members [code: default {23-0}].
The areas of generating negative emotions, mainly individual and group jealousy, included the sphere of organisational power, [code: hierarchical structure of the organisation {25-0}] and [code: dominant role of the leader {18-0}], and the unrealized need for social prestige, [code: none own ideas and simultaneous lack of acceptance of ideas of others {16-0}] and [code: too high ambitions of members {19-1}]. In other words, the generation of negative group emotions (e.g., resentment and jealousy) occurs in two of Weber’s three dimensions of social differentiation, i.e., power and prestige (status). However, no tensions were noted in the access to economic goods, which may indicate the dominant axionormative community among respondents, the members of organisations focused on Pro Publico Bono activities. The agreement on basic values is an element of organisational morphostasis. These categories of statements are a manifestation of the implementation of the morphostatic type of innovation community by most of the respondents. Perception maps indicate the existence of serious deficits in the agency. Most of them undertake innovative activities in a conservative and conformist way toward the existing structural and cultural context. It supports their communication reflectivity, maintaining the organisational status quo.
The above observations are also confirmed by the SWOT analysis. Among the SWOT questionnaires analysed, most of the respondents emphasised the weaknesses of their organisation and existing and potential development threats that limit their ability to act (see Figure 7 and Figure 8) more often than the strengths of the organisation and the internal and external opportunities they perceived (see Figure 9 and Figure 10). The presented perception maps clearly show that the predominance of the indicated passive voices is manifested in both the scope and frequency of the indicated categories (codes).
The presented results of qualitative research prove the acceptance of the existing organisational status quo among members of most of the organisations surveyed. They demonstrate a desire to maintain the continuity in the examined non-governmental organisations. The resources of a structural agency possessed by the respondents, i.e., relatively positive relations with local government authorities, knowledge of law, the ability to obtain funds from EU funds and local business, or in short, know-how, constitute a smaller obstacle to undertaking innovations. The problem, however, is the deficits in conscious agency that inhibit the above-mentioned processes. Undertaking innovative activities among representatives of most of the surveyed non-governmental organisations is limited by the predominance of the elements of communicative reflexivity over autonomous reflexivity. Below, we summarise the results of the research on the indicators of two opposing types of reflexivity, which constitute two types of agencies that determine the morphostatic or morphogenetic mode of organisational activities. The communicative type of reflexivity (morphostatic) that dominates among the respondents (about two-thirds of non-governmental organisations) is manifested by a more frequent pointing to barriers and threats resulting from structural conditions within the organisation and its environment, rather than to the opportunities and opportunities related to them—the acceptance of the organisation’s status quo, limited trust in the external environment, and the fear of change. The above type of agency is also associated with the predominance of the elements of binding social capital, i.e., based on exclusive family and social ties—selective connections with the socioeconomic and local government environment. Representatives of the communicative type of reflexivity more often prefer a vertical management style and are characterised by a reluctance to delegate responsibility, limited trust in external collaborators, the lack of permanent communication channels, and direct consultations with rank-and-file employees, among others, in matters of innovation, which results in limited opportunities to articulate the interests and values of rank-and-file employees who are members of the organisation. However, the autonomous (morphogenetic) type of reflexivity, the manifestations of which were observed in representatives of approximately one-third of the surveyed non-governmental organisations, is characterised by noticing chances and opportunities, not barriers and threats, more often inside than outside the organisation. Organisational members representing autonomous reflexivity can observe a growing critical attitude, declarations of commitment to changes in the organisation, and perceiving change as an opportunity. Among them, the most dominant manifestations are bridging social capital, i.e., generalised, balanced trust, trust in entities and institutions in the external environment, and declarations of support for the idea of the common good, strong, and extensive connections with the environment. Moreover, they are characterised by the acceptance of a democratic, horizontal management style, the use of delegation of responsibility, the existence of permanent communication channels, and direct consultations with rank-and-file employees, including in matters of innovation and articulating the interests and values of employees. The autonomous type of reflexivity and agency develops in opposition to the previously dominant communicative type.

6. Results and Conclusions

The article sought answers to two complementary research questions. First, what elements of binding and bridging social capital (in the area of trust, norms, and connections) determine innovative activity? Second, what type of reflexivity and the related nature of agency dominate when undertaking innovative activities among entities operating in the studied non-governmental organisations? Answering the first question, it should be stated that if there is a greater level of trust among the members of a given group or organisation in the circle of family, neighbours, and friends than in others, focussing on achieving the group’s goals to a greater extent on the good than on the common good and developing a network of connections social, more personal, and emotional than depersonalised and instrumental, the potential of bonding capital outweighs the potential of bridging capital. These social relations, which were aimed at maintaining the existing social and organisational status quo (morphostasis), occurred in approximately two-thirds of the non-governmental organisations surveyed.
However, if in the studied group or organisation there is trust in generalised “others”, the normative dimension is focused on realising the common good to a greater extent than the good of the group, and, in addition, there is an extensive and balanced network of connections with the environment of a task-instrumental nature, then it can be concluded that the resource that determines the nature of existing social relations (including pro-innovation ones) is more bridging capital than bonding capital. In this morphogenetic way, social relations occurring between about one-third of the studied non-governmental organizations were diagnosed.
Answering the second research question requires a more multi-dimensional approach. Based on the adopted theoretical assumptions and the results of the presented focus group studies and previous own research [3,72], it was found that organisational morphostasis occurs with the co-occurrence of the following endogenous conditions, limiting the innovative activity of members of the studied non-governmental organisations: (1) There is a predominance of the elements of bonding social capital over bridging ones, (2) agency members are based to a greater extent on communicative rather than autonomous reflexivity, (3) the lack of new collective entities of action in non-governmental organisations questioning the existing status quo, i.e., the existence of contextual continuity (structural and/or cultural), (4) community inscribed in the above structural and cultural state petrifies social and organisational morphostasis (structural and cultural continuity of nongovernmental organisations), and also (5) the predominance of the components of bonding social capital maintains the existing contextual continuity and the level of social tensions and distances, and also limits innovation.
Organisational morphogenesis occurs with the co-occurrence of the following endogenous conditions stimulating the activities of the examined non-governmental organisations: (1) the domination of the components of bridging social capital over the binding social capital, (2) the organisational agency of the organisation’s members is based to a greater extent on autonomous rather than communicative reflexivity, (3) shaping the emergence of new collective actors and, more precisely, new interests (structural conditions) and group values (cultural conditions), i.e., cultural discontinuity; and (4) group tensions and traumas inherent in the above structural and cultural contexts dynamize the process of organisational morphogenesis. The predominance of the bridging components of social capital facilitates overcoming the existing status quo in the organisation, introducing innovations, and in the case of contextual discontinuity (structural and/or cultural changes), it facilitates overcoming the awareness barriers caused by envy and resentment.
The results presented prove the existence of relatively large potentials of bonding social capital and deficits of bridging capital in the organisations studied. The potential of the trust component turned out to be particularly important, as two-thirds of respondents emphasised the importance of trust in the inner circle of friends (members of the management board of their own organisation, friends and family), while the potential for generalised trust was low. The results presented reflect broader social processes. Historically conditioned by the loss of its own statehood (1795–1918), consolidated during the period of communist rule (1945–1989), the low level of bridge social capital and generalised trust in social or organisational interaction partners is a social fact in Poland in the Durkheim sense [73]. It normatively regulates social and organisational relations through a universally observed directive: cooperate with those you know, trust your own people, and do not trust strangers. The mentioned social fact also permanently determines today’s Polish economic, social, and political reality. This is one of the key sociocultural factors that negatively determine development, including social innovation in civil society, and perpetuate existing social distances. As numerous studies, including ours, show [72], this also makes it difficult to build institutionalised networks of cooperation not only between members of non-governmental organisations but also relationships with the broadly understood environment.

7. Discussion and Future Research

In the end of the article, there is space for minor conceptual and methodological comments and a presentation of future research plans. The aim of the article was to diagnose two endogenous determinants of innovation in organisational states and change in selected Polish (Silesian) non-governmental organisations. An attempt was made to determine what internal factors determine the processes of innovation and social and organisational changes (morphogenesis), i.e., the dominant forms of social capital (in terms of trust, norms, values, and networks of connections), as well as the types of reflexivity and the types of agencies related to it. Taking into account the elements of trust capital, bonds, and social norms that are dysfunctional for a given community allowed us to avoid accusations of a one-dimensional image of reality levelled against representatives of purely integration concepts, including Putnam or Coleman. Therefore, a distinction was made between the opposing forms of social capital: those that create resources and those that do not create resources. Example: a non-resource-generating form of social capital (in terms of norms) manifests itself in patterns of social nonparticipation and disbelief in agency.
In future research, in order to determine the endogenous conditions of agency and innovation of members of non-governmental organisations, it will be advisable, in addition to diagnosing the potential of social capital and the scope of occurrence of two opposing types of reflexivity, to determine what structural and cultural conditions favour the emergence of resentmental tensions in a given organisation and how existing group resentmental tensions determine the agency of collective entities, including innovative activities, in a state of morphostasis and morphogenesis, respectively.
Moreover, it will be cognitively important to determine what deficits in access to important places in the network of connections and the lack of resources (trust and being embedded in a common system of norms and values favouring group action) cause a sense of alienation, powerlessness, and exclusion among potential innovators [44,64,74]. Does a given organisational context create resentmental potentials in the sense of Max Scheler [7], when grassroots, innovative social and organisational activities, which have declared acceptance by representatives of organisational authorities, collide with barriers resulting from the deficit of the network of social connections, generalised trust, and the existence of individual and group jealousy? The next challenge remains to conduct the above research, this time quantitative, on a representative random sample for the entire set of Polish non-governmental organisations and, in the longer term, to carry out international comparative research [75,76].

Author Contributions

Conceptualization, P.W. and D.D.-W.; methodology, P.W.; software, D.D.-W.; validation, P.W. and D.D.-W.; formal analysis, D.D.-W.; investigation, P.W.; resources, D.D.-W.; data curation, P.W. and D.D.-W.; writing—original draft preparation, P.W.; writing—review and editing, P.W. and D.D.-W.; visualization, D.D.-W.; supervision, P.W.; project administration, D.D.-W.; funding acquisition P.W. All authors have read and agreed to the published version of the manuscript.

Funding

This research received no external funding.

Institutional Review Board Statement

The study was conducted in accordance with the Declaration of Helsinki, and approved by Ethic Committee Name: The Polish Sociological Association; Approval Code: SOCIOLOGIST’S CODE OF ETHICS, Adopted by the General Assembly of Delegates of the Polish Sociological Association on 25 March 2012.

Data Availability Statement

The data presented in this study are available on request from the corresponding author.

Conflicts of Interest

The authors declare no conflict of interest.

Appendix A

FGI scenario. The main questions that make up the focus group interviews (FGIs):
  • Questions in the area: Structural and cultural barriers.
    • What barriers to innovation do you see in your organisation?
    • Which of the barriers mentioned above result from intra-organisational relations?
    • What barriers result from the relationship with the environment?
    • Who introduces changes in the organisation and who blocks them?
    • What are the tensions and conflicts in the organisation?
    • What is the importance of personal and group envy in an organisation?
    • How can personal and group envy be reduced?
  • Questions in the area: Types of social capital.
    • What is the organisation’s cooperation with (a) city/municipal authorities; (b) with the inhabitants of the city/municipality; (c) with business; and (d) with other nongovernmental organisations? (Connections).
    • Does the organisation focus more on activities within its own members or is it more open to all residents of the city/municipality/region? (Norms—group good or common good).
    • Who should be trusted primarily when introducing innovations: (a) members of the organisation, friends, and family or, maybe, (b) all people to the same extent (trust).

References

  1. Murray, R.; Caulier-Grice, J.; Mulgan, G. Open Book of Social Innovation; Young Foundation: London, UK, 2010; pp. 22–23. [Google Scholar]
  2. Mulgan, G.; Tucker, S.; Ali, R.; Sanders, B. Social Innovation: What It Is, Why It Matters, How It Can Be Accelerated; The Young Foundation: Oxford, UK, 2007; pp. 22–23. [Google Scholar]
  3. Weryński, P.; Dolińska-Weryńska, D. Agency barriers of members of senior Silesian NGOs in the implementation of social innovation (Poland). Sustainability 2021, 13, 734. [Google Scholar] [CrossRef]
  4. Cooter, R.D.; Schaefer, H.B. How Law Can End the Poverty of Nations. In Conference, Searle Centre, Northwestern Law School; PARP: Warsaw, Poland, 2008; pp. 11–12. [Google Scholar]
  5. Bendyk, E. Kulturowe i społeczne uwarunkowania innowacyjności. In Innowacyjność 2010, Raport; PARP: Warszawa, Poland, 2010. [Google Scholar]
  6. Goldmann, M. Multilevel Education Assessments by Private and Public Institutions, Holding Governments Accountable through Information. Available online: https://www.mpil.de/en/pub/news.cfm (accessed on 19 September 2023).
  7. Scheler, M. Resentyment a Moralność; Czytelnik: Warszawa, Poland, 1997. [Google Scholar]
  8. Lubimow-Burzyska, I. Proces tworzenia innowacji społecznych. In Innowacje Społeczne w Teorii i Praktyce; Wyrwa, J., Ed.; PWE: Warszawa, Poland, 2014; pp. 83–88. [Google Scholar]
  9. Westley, F. The Social Innovation Dynamic. Available online: http://sigeneration.ca/blog/wp-content/uploads/2010/07/TheSocialInnovationDynamic.pdf (accessed on 11 May 2020).
  10. Portales, L. Social Innovation and Social Entrepreneurship; Springer Nature Switzerland AG: Cham, Switzerland, 2019. [Google Scholar]
  11. Lewandowska, A.; Cherniaiev, H. R&D Cooperation and Investments concerning Sustainable Business Innovation: Empirical Evidence from Polish SMEs. Sustainability 2022, 14, 9851. [Google Scholar] [CrossRef]
  12. Li, Y. A Framework in Analyzing the Strategies for Governing Innovation Networks for Public Innovation. Policy Stud. 2019, 42, 193–209. [Google Scholar] [CrossRef]
  13. Bekkers, V.; Tummers, L. Innovation in the Public Sector: Towards an Open and Collaborative Approach. Int. Rev. Adm. Sci. 2018, 84, 209–213. [Google Scholar] [CrossRef]
  14. Archer, M. Structure, Agency and the Internal Conversation; Cambridge University Press: Cambridge, UK, 2003; pp. 342–361. [Google Scholar]
  15. Archer, M. Człowieczeństwo. Problem Sprawstwa; Zakład Wydawniczy NOMOS: Cracow, Poland, 2013; pp. 22–25, 311–316. [Google Scholar]
  16. Archer, M. (Ed.) Morphogenesis and the Crisis of Normativity. In Introduction, Does Social Morphogenesis Threaten the Rule of Law? Springer: New York, NY, USA, 2016. [Google Scholar]
  17. Archer, M. Morfogeneza: Ramy wyjaśniające realizmu. Uniwersyteckie Czas. Socjol. UKSW 2015, 10, 16–46. [Google Scholar]
  18. Archer, M. Can Reflexivity and Habitus Work in Tandem? In Conversations about Reflexivity; Archer, M., Ed.; Routledge: London, UK; New York, NY, USA, 2010; pp. 123–143. [Google Scholar]
  19. Archer, M. Conversations about Reflexivity; Routledge: London, UK; New York, NY, USA, 2010. [Google Scholar]
  20. Archer, M. The Reflexive Imperative in Late Modernity; Cambridge University Press: Cambridge, UK, 2012. [Google Scholar]
  21. Archer, M. Structural Conditioning and Personal Reflexivity. In Distant Markets, Distant Harms: Economic Complicity and Christian Ethics; Finn, D., Ed.; Oxford University Press: Oxford, UK, 2014. [Google Scholar]
  22. Archer, M. Structure, Culture, and Agency. In The Blackwell Companion to the Sociology of Culture; Jacobs, M., Hanrahan, N., Eds.; Blackwell Publishing: Oxford, UK, 2005. [Google Scholar]
  23. Archer, M. (Ed.) How Agency is Transformed in the course of Social Transformation: Don’t forget the double morphogenesis. In Generative Mechanisms Transforming the Social Order; Springer: New York, NY, USA, 2015. [Google Scholar]
  24. Theiss, M. Krewni–Znajomi–Obywatele. Kapitał Społeczny a Lokalna Polityka Społeczna; Adam Marszałek: Toruń, Poland, 2007. [Google Scholar]
  25. Štremfelj, L.R.; Žnidaršič, J.; Marič, M. Government-Funded Sustainable Development and Professionalisation of NGOs. Sustainability 2020, 12, 7363. [Google Scholar] [CrossRef]
  26. Czapiński, J.; Panek, T. (Eds.) Diagnoza Społeczna i Jakość Życia Polaków. Available online: http://www.diagnoza.com/pliki/raporty/Diagnoza_raport_2015.pdf (accessed on 12 January 2021).
  27. Analizy Statystyczne GUS, Jakość Życia i Kapitał Społeczny w Polsce. Wyniki Badania Spójności Społecznej 2018. GUS, 2020; pp. 141–156. Available online: https://www.stat.gov.pl (accessed on 12 January 2021).
  28. Feliksiak, M. Aktywność w Organizacjach Obywatelskich; CBOS, Komunikat z badań: Warsaw, Poland, 2022; p. 41. [Google Scholar]
  29. European Social Survey [Dataset]. 2022. Available online: www.europeansocialsurvey.org (accessed on 12 January 2021).
  30. Ihm, J.; Kim, E.M. When nonprofit organizations meet information and communication technologies: How organizational culture influences the use of traditional, digital, and sharing media. VOLUNTAS Int. J. Volunt. Nonprofit Organ. 2021, 32, 678–694. [Google Scholar] [CrossRef]
  31. Berrett, J.L. Linking overhead expenses and nonprofit effectiveness: Evidence from habitat for humanity. Nonprofit Manag. Leadersh. 2022, 32, 509–530. [Google Scholar] [CrossRef]
  32. Godefroid, M.E.; Plattfaut, R.; Niehaves, B. Identifying key barriers to nonprofit organizations’ adoption of technology innovations. Nonprofit Manag. Leadersh. 2023, 94, 95–120. [Google Scholar] [CrossRef]
  33. Coleman, J.S. Social Capital in the Creation of Human Capital. Am. J. Sociol. 1988, 94, S95–S120. [Google Scholar] [CrossRef]
  34. Czapiński, J. Kapitał ludzki i kapitał społeczny a dobrobyt materialny. Polski paradoks. Zarządzanie Publicznie 2008, 2, 5–28. [Google Scholar]
  35. Bartkowski, J. Kapitał społeczny i jego oddziaływanie na rozwój w ujęciu socjologicznym. In Kapitał Ludzki i Kapitał Społeczny a Rozwój Regionalny; Herbst, M., Ed.; Scholar: Warszawa, Poland, 2007. [Google Scholar]
  36. Herbst, M. Kapitał ludzki, dochód i wzrost gospodarczy w badaniach i empirycznych. In Kapitał Ludzki i Kapitał Społeczny a Rozwój Regionalny; Herbst, M., Ed.; Scholar: Warszawa, Poland, 2007. [Google Scholar]
  37. Batorski, D. Polacy wobec technologii cyfrowych-uwarunkowania dostępności i sposobów korzystania (PL). Contemp. Econ. 2013, 7, 328–353. [Google Scholar] [CrossRef]
  38. Giza-Poleszczuk, A.; Włoch, R. Innowacje a społeczeństwo. In Świt Innowacyjnego Społeczeństwa. Trendy na Najbliższe Lata; Zadura-Lichota, E., Ed.; PARP: Warszawa, Poland, 2013. [Google Scholar]
  39. Grubb, A. Avoiding intimacy-an ethnographic study of beneficent boundaries in virtual voluntary social work. VOLUNTAS Int. J. Volunt. Nonprofit Organ. 2022, 33, 72–82. [Google Scholar] [CrossRef] [PubMed]
  40. Zhou, H.; Ye, S. Fundraising in the digital era: Legitimacy, social network, and political ties matter in China. VOLUNTAS Int. J. Volunt. Nonprofit Organ. 2021, 32, 498–511. [Google Scholar] [CrossRef]
  41. Mato-Santiso, V.; Rey-García, M.; Sanzo-Pérez, M.J. Volunteer omnichannel behavior in nonprofit organizations: Key antecedents and implications for management. Nonprofit Manag. Leadersh. 2023, 34, 433–463. [Google Scholar] [CrossRef]
  42. Pérez-Escolar, M.; Canet, F. Research on vulnerable people and digital inclusion: Toward a consolidated taxonomical framework. Univers. Access Inf. Soc. 2023, 22, 1059–1072. [Google Scholar] [CrossRef] [PubMed]
  43. Adler, P.; Kwon, S.-W. Social capital; the good, the bad ugly. In Knowledge and Social Capital, Foundation and Application; Lesser, E., Ed.; Butterworth-Heineman: Boston, MA, USA, 2000; p. 93. [Google Scholar]
  44. Asogwa, I.E.; Varua, M.E.; Humphreys, P.; Datt, R. Understanding Sustainability Reporting in Non-Governmental Organisations: A Systematic Review of Reporting Practices, Drivers, Barriers and Paths for Future Research. Sustainability 2021, 13, 10184. [Google Scholar] [CrossRef]
  45. Bourdieu, P. The Forms of Capital. In Handbook of Theory and Research in the Sociology of Education; Richardson, J.G., Ed.; Greenwald Press: New York, NY, USA, 1986. [Google Scholar]
  46. Lin, N. Building a network theory of social capital. In Social Capital: Theory and Research; Burt, R., Ed.; Cambridge University Press: Cambridge, UK, 2001; pp. 3–29. [Google Scholar]
  47. Nahapiet, J.; Ghoshal, S. Social Capital, Intellectual Capital, and the Organizational Advantage. Acad. Manag. Rev. 1998, 23, 242–266. [Google Scholar] [CrossRef]
  48. Lin, N. Social Capital: A Theory of Social Structure and Action; Cambridge University Press: Cambridge, UK, 2001. [Google Scholar]
  49. Burt, R.S. Structural Holes: The Social Structure of Competition; Harvard University Press: Cambridge, UK, 1992. [Google Scholar]
  50. Burt, R.S. A Note on Social Capital and Network Content. Soc. Netw. 1997, 19, 355–373. [Google Scholar] [CrossRef]
  51. Coleman, J.S. Foundations of Social Theory; Harvard University Press: Cambridge, MA, USA, 1990. [Google Scholar]
  52. Putnam, R.D. Demokracja w Działaniu: Tradycje Obywatelskie We Współczesnych Włoszech; Znak: Kraków, Poland, 1995; p. 276. [Google Scholar]
  53. Fukuyama, F. Zaufanie. Kapitał Społeczny a Droga Do Dobrobytu; PWN: Warszawa, Poland, 1997. [Google Scholar]
  54. Portes, A. Social Capital: Its Origins and Applications in Modern Sociology. Annu. Rewiew Sociol. 1998, 4. [Google Scholar] [CrossRef]
  55. Woolcock, S. Social capital and economic development: Toward a theoretical synthesis and policy framework. Theory Soc. 1998, 27, 151–208. [Google Scholar] [CrossRef]
  56. Zarycki, T. Kapitał społeczny a trzy polskie drogi do nowoczesności. Kult. Społeczeństwo 2004, 48, 45–65. [Google Scholar]
  57. Rymsza, A. Klasyczne koncepcje kapitału społecznego. In Kapitał Społeczny. Ekonomia Społeczna; Kaźmierczak, T., Rymsza, M., Eds.; Fundacja Instytut Spraw Publicznych: Warszawa, Poland, 2007; p. 37. [Google Scholar]
  58. Sztompka, P. Kapitał Społeczny. Teoria Przestrzeni Międzyludzkiej; Znak: Kraków, Poland, 2016; p. 329. [Google Scholar]
  59. Krzyminiewska, G. Znaczenie zaufania w tworzeniu kapitału społecznego. Ekonomiczny i społeczny wymiar zjawiska. Ruch Praw. Ekon. Socjol. 2003, LXV, 222. [Google Scholar]
  60. Bartelski, A.S. Kapitał społeczny a dobro publiczne. In Kapitał Społeczny–Interpretacje, Impresje, Operacjonalizacja; Klimowicz, M., Bokajło, W., Eds.; CeDeWu: Warszawa, Poland, 2010; p. 107. [Google Scholar]
  61. Banfield, E. The Moral Basis of a Backward Society; Free Press: New York, NY, USA, 1958. [Google Scholar]
  62. Gajowiak, M. Kapitał Społeczny. Przypadek Polski; PWE: Warszawa, Poland, 2012; pp. 124–135. [Google Scholar]
  63. Brol, M. Korupcja jako negatywny kapitał społeczny. In Kapitał Społeczny w Organizacji i Regionie; Bylok, F., Czarnecka, A., Eds.; Wydawnictwo Politechniki Częstochowskiej: Częstochowa, Poland, 2011; pp. 142–151. [Google Scholar]
  64. Greenwood, D.J.; Levin, M. Introduction to Action Research; Sage: London, UK, 1998. [Google Scholar]
  65. Olson, M. The Rise and Decline of Nations: Economic Growth, Stagflation, and Social Rigidities; Yale University Press: New Haven, CT, USA, 1982. [Google Scholar]
  66. Konecki, K.; Chomczyński, P. Słownik Socjologii Jakościowej; Difin: Warszawa, Poland, 2012. [Google Scholar]
  67. Hensel, P.; Glinka, B. Teoria ugruntowana. In Badania Jakościowe. Podejścia i Teoria; Jemielniak, D., Ed.; PWN: Warszawa, Poland, 2012. [Google Scholar]
  68. Levi, M. Social and unsocial capital. Politics Soc. 1996, 24, 45–55. [Google Scholar] [CrossRef]
  69. Poret, S. Corporate–NGO Partnerships through Sustainability Labeling Schemes: Motives and Risks. Sustainability 2019, 11, 2689. [Google Scholar] [CrossRef]
  70. Falk, A.; Becker, A.; Dohmen, T.; Enke, B.; Huffman, D.; Sunde, U. Global Evidence on Economic Preferences. Q. J. Econ. 2018, 133, 1645–1692. [Google Scholar] [CrossRef]
  71. Schachter, E.M.; Wallace, M.L. Shaken, but not stirred: Sixty years of defining social innovation. Technol. Forecast. Soc. Chang. 2017, 119, 64–79. [Google Scholar] [CrossRef]
  72. Weryński, P. Resentment barriers to innovation development of small and medium enterprises in Upper Silesia. Sustainability 2022, 14, 15687. [Google Scholar] [CrossRef]
  73. Durkheim, E. Zasady Metody Socjologicznej; PWN: Warszawa, Poland, 2000. [Google Scholar]
  74. Eichler, G.M.; Schwarz, E.J. What Sustainable Development Goals Do Social Innovations Address? A Systematic Review and Content Analysis of Social Innovation Literature. Sustainability 2019, 11, 522. [Google Scholar] [CrossRef]
  75. Roszczyńska-Kurasińska, M.; Wróblewska, M. Technological Innovations for Citizen Environmental Participation: Case of Poland. Sustainability 2023, 15, 5031. [Google Scholar] [CrossRef]
  76. Abiddin, N.Z.; Ibrahim, I.; Abdul Aziz, S.A. Non-Governmental Organisations (NGOs) and Their Part towards Sustainable Community Development. Sustainability 2022, 14, 4386. [Google Scholar] [CrossRef]
Figure 1. Code map: Types of trust of NGO members surveyed when introducing innovations. Source: Own work.
Figure 1. Code map: Types of trust of NGO members surveyed when introducing innovations. Source: Own work.
Sustainability 16 06576 g001
Figure 2. Code citation map. Trust in two categories: (a) to the inner circle of friends (left), (b) generalised balanced (right). Source: Own work.
Figure 2. Code citation map. Trust in two categories: (a) to the inner circle of friends (left), (b) generalised balanced (right). Source: Own work.
Sustainability 16 06576 g002
Figure 3. Types of norms preferred by respondents as a component of social capital. Source: Own work.
Figure 3. Types of norms preferred by respondents as a component of social capital. Source: Own work.
Sustainability 16 06576 g003
Figure 4. Relationships of the nongovernmental organisations surveyed with the environment when introducing innovations. Source: own work.
Figure 4. Relationships of the nongovernmental organisations surveyed with the environment when introducing innovations. Source: own work.
Sustainability 16 06576 g004
Figure 5. Barriers to agency and innovation in the studied non-governmental organisations. Source: Own work.
Figure 5. Barriers to agency and innovation in the studied non-governmental organisations. Source: Own work.
Sustainability 16 06576 g005
Figure 6. Causes of conflicts and tensions in the organisation. Source: Own work.
Figure 6. Causes of conflicts and tensions in the organisation. Source: Own work.
Sustainability 16 06576 g006
Figure 7. Part of the SWOT analysis. Weaknesses of the surveyed NGOs. Source: Own work.
Figure 7. Part of the SWOT analysis. Weaknesses of the surveyed NGOs. Source: Own work.
Sustainability 16 06576 g007
Figure 8. Part of the SWOT analysis. Dangers of the NGOs surveyed. Source: Own work.
Figure 8. Part of the SWOT analysis. Dangers of the NGOs surveyed. Source: Own work.
Sustainability 16 06576 g008
Figure 9. Part of the SWOT analysis. Strengths of the NGOs surveyed. Source: Own work.
Figure 9. Part of the SWOT analysis. Strengths of the NGOs surveyed. Source: Own work.
Sustainability 16 06576 g009
Figure 10. Part of the SWOT analysis. Opportunities of the surveyed SMEs. Source: Own work.
Figure 10. Part of the SWOT analysis. Opportunities of the surveyed SMEs. Source: Own work.
Sustainability 16 06576 g010
Disclaimer/Publisher’s Note: The statements, opinions and data contained in all publications are solely those of the individual author(s) and contributor(s) and not of MDPI and/or the editor(s). MDPI and/or the editor(s) disclaim responsibility for any injury to people or property resulting from any ideas, methods, instructions or products referred to in the content.

Share and Cite

MDPI and ACS Style

Weryński, P.; Dolińska-Weryńska, D. Social Capital and Reflexivity as Conditions of Organisational Morphostasis—Studies of Selected Polish NGOs. Sustainability 2024, 16, 6576. https://doi.org/10.3390/su16156576

AMA Style

Weryński P, Dolińska-Weryńska D. Social Capital and Reflexivity as Conditions of Organisational Morphostasis—Studies of Selected Polish NGOs. Sustainability. 2024; 16(15):6576. https://doi.org/10.3390/su16156576

Chicago/Turabian Style

Weryński, Piotr, and Dorota Dolińska-Weryńska. 2024. "Social Capital and Reflexivity as Conditions of Organisational Morphostasis—Studies of Selected Polish NGOs" Sustainability 16, no. 15: 6576. https://doi.org/10.3390/su16156576

APA Style

Weryński, P., & Dolińska-Weryńska, D. (2024). Social Capital and Reflexivity as Conditions of Organisational Morphostasis—Studies of Selected Polish NGOs. Sustainability, 16(15), 6576. https://doi.org/10.3390/su16156576

Note that from the first issue of 2016, this journal uses article numbers instead of page numbers. See further details here.

Article Metrics

Back to TopTop