Next Article in Journal
Blockchain-Driven Supply Chain Analytics and Sustainable Performance: Analysis Using PLS-SEM and ANFIS
Next Article in Special Issue
Material Recycling of Plastics—A Challenge for Sustainability
Previous Article in Journal
Organic Fraction Municipal Solid Waste Compost and Horse Bean Green Manure Improve Sustainability of a Top-Quality Tobacco Cropping System: The Beneficial Effects on Soil and Plants
 
 
Font Type:
Arial Georgia Verdana
Font Size:
Aa Aa Aa
Line Spacing:
Column Width:
Background:
Article

Employing Artificial Intelligence for Enhanced Microbial Fuel Cell Performance through Wolf Vitamin Solution Optimization

1
Department of Chemical Engineering, University of Qom, Qom 3716146611, Iran
2
Chemical Engineering Section, Faculty of Engineering, Sohar University, Sohar 311, Oman
*
Author to whom correspondence should be addressed.
Sustainability 2024, 16(15), 6468; https://doi.org/10.3390/su16156468
Submission received: 30 May 2024 / Revised: 11 July 2024 / Accepted: 25 July 2024 / Published: 28 July 2024
(This article belongs to the Special Issue Sustainable Waste Treatment, Disposal, and Pollution Control)

Abstract

The culture medium composition plays a critical role in optimizing the performance of microbial fuel cells (MFCs). One under-investigated aspect of the medium is the impact of the Wolf vitamin solution. This solution, known to contain essential vitamins like biotin, folic acid, vitamin B12, and thiamine, is believed to enhance bacterial growth and biofilm formation within the MFC. The influence of varying Wolf vitamin solution concentrations (2, 4, 6, 8, and 10 mL) on microbial fuel cell (MFC) performance is investigated in this study. Python 3.7.0 software is employed to enhance and anticipate the performance of MFC systems. Four distinct machine-learning algorithms, namely adaptive boosting (AdaBoost), extreme gradient boosting (XGBoost), categorical boosting algorithm (CatBoost), and support vector regression (SVR), are implemented to predict power density. In this study, a data split of 80% for training and 20% for testing was employed to optimize the artificial intelligence (AI) model. The analysis revealed that the optimal concentration of Wolf mineral solution was 5.8 mL. The corresponding error percentages between the experimental and AI-predicted values for current density, power generation, COD removal, and coulombic efficiency were found to be remarkably low at 0.79%, 0.5%, 1.89%, and 1.27%, respectively. These findings highlight the significant role of Wolf mineral solution in maximizing MFC performance and demonstrate the exceptional precision of the AI model in accurately predicting MFC behavior.

1. Introduction

Global leaders prioritize securing reliable access to energy and water resources. This challenge is particularly acute in developing nations, where depleting fossil fuel reserves threaten energy security. Additionally, the reliance on fossil fuels for energy production presents a significant environmental concern due to the associated carbon dioxide emissions and their contribution to climate change. Another serious concern of the world is the lack of water and environmental pollution due to the large amount of untreated pollution, especially the wastewater generated by industries being discharged into the environment [1,2,3]. To solve these difficulties, scientists are looking into replacing these types of fuels with cleaner and more sustainable fuels because they include a variety of hazardous and heavy metals as well as developing a waste management system [4,5]. Despite the advancements in wastewater treatment efficiency and the exploration of renewable and clean energy sources, a significant portion of these initiatives have exhibited limitations in both efficacy and economic feasibility. Furthermore, certain methods may generate greenhouse gasses, thus contributing to climate change and replicating the environmental concerns associated with fossil fuels [4,5].
Microbial fuel cells (MFCs) are becoming increasingly popular due to their ability to convert the chemical energy of organic substances into clean energy, specifically electricity. MFCs use the metabolism of organic materials in wastewater to generate energy, making them an eco-friendly alternative to traditional energy sources [6,7]. MFCs are a type of bioelectrochemical process that uses wastewater to generate clean energy. MFCs are designed with two chambers separated by an ion-exchange membrane [6,8]. This two-chambered system is designed to optimize the biological activity for a specific purpose. One chamber is devoid of oxygen (anaerobic), while the other chamber possesses oxygen (aerobic). Within the anaerobic anodic chamber, organic substrates undergo oxidation facilitated by microorganisms acting as biocatalysts. This process generates electrons and protons as metabolic byproducts. In the system, there are also bacteria that consume organic molecules for energy production. These bacteria harvest energy from the chemical bonds within these organic molecules and utilize it to generate electrons and protons [9,10]. Electrons are transferred from an external circuit to reach the cathode chamber, which generates electrical energy that can be used in other applications such as electronic instruments. It is important to note that microorganisms should be attached to the electrode surface (carbon paper) in the anode chamber. Carbon paper is commonly used as the electrode in both cathode and anode chambers due to its high conductivity and low cost in most studies [11,12].
AI (artificial intelligence) and ML (machine learning) tools have been used to solve various engineering problems. AI methods are particularly effective in handling different types of data, including those that are uncertain or complex. This article employs machine-learning techniques for data analysis. Machine learning (ML) constitutes a subfield of artificial intelligence (AI) concerned with empowering computers with the capability for autonomous learning and reasoning. The fundamental objective lies in enabling computers to dynamically adapt their operational processes with the aim of achieving enhanced accuracy. Accuracy, in this context, is operationalized as the frequency with which chosen actions yield correct outcomes [6]. Machine learning can be broadly categorized into three types: supervised learning, unsupervised learning, and reinforcement learning [13]. AI methods can improve the efficiency of MFCs by assisting in optimization, control, and decision-making processes. Through the analysis of diverse attributes and operational constraints, artificial intelligence (AI) can optimize the power output and efficacy of electricity generation in microbial fuel cells (MFCs). This optimization is achieved by identifying the most suitable electrode materials, reactor configurations, and operational parameters. Furthermore, AI systems can be instrumental in the real-time monitoring and management of MFC operations. Machine-learning techniques, specifically employed for the analysis of sensor data, microbial activity, and other pertinent parameters, can yield valuable insights into the functional dynamics of MFCs. By using this data, it is feasible to adjust operating parameters, improve power generation efficiency, and prevent system malfunctions. Artificial intelligence can aid in creating predictive models for microbial fuel cells (MFCs) based on performance metrics [14].
Ghasemi et al. (2021) [15] investigated the optimization of power output and COD removal utilizing two AI models [16]. The investigated variables included aeration rate, degree of sulfonation, and the amount of Pt cathode catalyst. Single-objective optimization yielded a power density of 62.44 mW/m2 and a COD removal efficiency of 99.9%. Conversely, multi-objective optimization resulted in a power density of 61.7 mW/m2 and a COD removal efficiency of 96.21%. Abdollahfard et al. (2023) [17] investigated the application of artificial intelligence (AI) for optimizing power output and chemical oxygen demand (COD) removal in a recent study [18]. They employed particle swarm optimization (PSO) as the optimization algorithm. Their investigation revealed that the degree of sulfonation (DS) and the quantity of cathode catalyst (Pt) were the most significant parameters influencing power output. The optimal values for DS and Pt were determined to be 67% and 0.3943 mg/cm2, respectively. These findings demonstrate the efficacy of AI in optimizing the system and achieving accurate estimations.
This investigation leverages machine-learning algorithms to elucidate the complex interplay between operational parameters and power generation within microbial fuel cells (MFCs). The developed models hold the potential to predict MFC performance across diverse operational scenarios, thereby informing decision-making processes and, ultimately, optimizing system efficacy. Furthermore, artificial intelligence (AI) presents a promising avenue for enhancing MFC efficiency through automation of specific tasks and decision-making procedures. AI algorithms can continuously analyze operational data, dynamically adjust operating conditions, and optimize resource allocation, leading to a more efficient and responsive MFC system. This investigation explores the potential application of artificial intelligence (AI) techniques to enhance power generation, optimize energy efficiency, and streamline the operational processes of microbial fuel cells (MFCs). It is noteworthy that the integration of AI in MFCs is an evolving field of research, with ongoing efforts to maximize its potential impact. The selection of specific AI methodologies and approaches hinges on the unique characteristics of the MFC system under study, the availability of data, and the desired optimization or control objectives. Ultimately, the incorporation of AI technology within the research and development of MFCs holds significant promise for advancing their overall performance, efficiency, and sustainability [19]. Optimization of the MFC, which works with vitamin-rich waste such as that from food industries, can open a new window for the production of energy from wastes and better treatment of them.

2. Materials and Methods

The MFC was constructed with two chambers, an anode and a cathode, similar to our previous study. The dimensions of these cubic chambers are 7 cm × 6 cm × 8 cm. The active chamber has a volume of approximately 300 cubic milliliters. The anode and cathode chambers were separated by a Nafion 117 proton-exchange membrane. To establish an anaerobic environment within the anode chamber, nitrogen gas was purged into the compartment. Conversely, air was delivered to the cathode chamber using an aquarium pump to facilitate the oxygen reduction reaction (ORR) process. A schematic illustration of the MFC is depicted in Figure 1. To optimize microbial growth within the anode chamber, the pH was adjusted to a range of 6.5–7.

2.1. Enrichment

The anaerobic sludge of palm mill oil effluent (POME) from Selangor, Malaysia was used to inoculate the media in the anode chamber. The media was kept in an anaerobic condition and fed at a temperature of 25 °C.

2.2. Analysis and Calculations

Field emission scanning electron microscopy (FESEM, SUPRA, 55vp-Zeiss, Oberkochen, Germany) was used to investigate the morphology of the microorganisms adhered to the electrode surface. Prior to scanning electron microscopy (SEM) analysis, samples necessitate a thin gold coating applied within a nitrogen-rich environment. Voltage measurements were obtained utilizing a multi-meter, with the data subsequently recorded on a computer. The aforementioned formula serves as a tool for the computation of current density and voltage:
I = V R
P = V × I
The external resistance is denoted by R, while I and V represent the current and voltage produced, respectively. To determine the COD, a sample of media was collected from the anode chamber. The sample was diluted with water ten times, and then 2 mL of the diluted sample was added to high-range COD vials. The vials were heated to a temperature of 150 °C, and once the liquid inside the vials became uniform, they were placed inside a spectrophotometer to measure COD. The coulombic efficiency (CE), a metric representing the reversibility of a charge–discharge cycle, can be quantified by the following formula, which expresses it as the ratio of the retrieved charge to the maximum theoretical charge introduced into the system:
C E = M 0 t I d t F   b   V a n   C O D
The Faraday number is represented by F, while b denotes the number of electrons transferred per mole of oxygen. M is the molecular weight of an oxygen molecule. The volume of the anode is denoted by V a n , the change in chemical oxygen demand is represented by ∆COD, and t is the time [16]. To ensure the reliability of the findings, the experiments were replicated three times. The results presented herein represent the average of these replications.

2.3. Adaptive Boosting (AdaBoost)

AdaBoost is a learning algorithm that has a strong theoretical foundation and has been successful in practical applications. It can improve the performance of a weak-learning algorithm by transforming it into a highly accurate, strong-learning algorithm, surpassing random guessing. This approach introduces a new method and design concept to the field of learning algorithms [16]. AdaBoost employs a sequential ensemble learning approach. Each iteration identifies misclassified samples and assigns them greater weight within the subsequent training dataset. This reweighted collection is then fed back into the beginning of the next cycle, fostering enhanced model accuracy. Iteratively, a new base learner is trained by leveraging the ensemble’s error information accumulated up to that point. Freund et al on 2019 [18], introduced a weight-adjustment technique to bolster the performance of individual learners within the ensemble. This strategy subsequently formed the foundation of the AdaBoost algorithm [16]. The key steps of the AdaBoost technique are as follows [20]:
  • Identifying weights: wj = 1 n , j = 1, 2, …, n;
  • At each iteration, the training data are set to a weak learner using weights, and the weighted error is calculated;
    E r r i = j = 1 n w j I ( t j w l i ( x ) ) j = 1 n w j , I x = 0   i f   x = f a l s e 1   i f   x = t r u e
  • For each i, specify weights for predictors a s   β = log ( ( 1 E r r i ) E r r i ) ;
  • Modify data weights for each i to N (N is the number of learners);
  • As an output, change the weak learner for the data test (x).

2.4. Extreme Gradient Boosting (XGBoost)

XGBoost can be characterized as an extension of the gradient boosting decision tree (GBDT) algorithm, achieving optimization and enhancement. It leverages the framework of boosting trees while incorporating regularization techniques to demonstrably improve its performance [20,21]. XGBoost is capable of parallel and distributed computing, utilizing the CPU’s multithreading capability to enhance the computational speed [21]. The fundamental essence of the algorithm can be summarized as follows. If the model is made up of k decision trees, the integrated model can be described as follows:
y ^ i = 1 k f k x i , f k F
F is a set of regression trees, and f is one of the regression trees in F. The algorithm works on the assumption that each update depends on the predicted results of the previous model. To account for the residual error between the predicted outcomes of the previous tree and the actual values, a new tree, shown as tree f, is integrated into the model. This procedure results in the creation of a new model, which acts as the foundation for subsequent model learning. The specifics are as follows:
y ^ i = 0 y ^ i ( 0 ) + f 1 x i y ^ i 2 = y ^ i ( 1 ) + f 2 x i y ^ i t = y ^ i t 1 + f t x i
y ^ i ( t ) represents the t-th prediction outcome, y ^ i ( t 1 ) represents the prior (t − 1) prediction outcome, and f t x i represents the residual fitting value produced from the newly inserted regression tree. In the domain of prediction, the primary objective is to achieve minimal discrepancy between anticipated and realized values within a defined numerical set. Furthermore, it is crucial to optimize the generalizability of this prediction to unseen data. Consequently, from a mathematical perspective, this translates to a functional optimization problem, where the objective function can be simplified as follows:
o b j ( t ) = l y i y ^ i t + Ω ( f i )
The error function, commonly known as the loss function, is denoted by the equation y i y ^ i t . The error function’s goal is to improve the model’s fit to the sample data by minimizing the difference between the expected and desired outcomes through iterative learning [22]. The regularization component is represented by the word Ω(ft). The regularization term quantifies the tree’s complexity and improves the model’s robustness by gradually simplifying it using the following formula:
Ω f t = γ T + 1 2 λ j = 1 T w j 2
The number of leaf nodes in the tree is denoted by the first section of the representation. The square of the L2 modulus of the weight function w assigned to each leaf node in the tree is represented by the second portion. This L2 regularization of w is equal to putting L2 smoothing into each leaf node’s score to prevent overfitting.

2.5. Categorical Boosting (CatBoost)

Prokhorenkova et al. (https://papers.nips.cc/paper_files/paper/2018/hash/14491b756b3a51daac41c24863285549-Abstract.html, accessed on 24 July 2024) introduced CatBoost, a novel approach to the gradient boosting decision tree technique. Their core proposition lies in the iterative combination of weak regressors to construct a robust model. CatBoost has exhibited effectiveness in handling intricate and non-linear data, demonstrating its potential for complex learning tasks [23]. The training process involves minimizing the expected loss function through gradient descent:
h t = arg m i n E L y , F t 1 x + h x
The output is represented by y, and the gradient step function h is selected from a family of functions H. The step function can be computed using the following formula:
h x = j = 1 J b j I x R j
Rj denotes the distinct regions that correspond to the tree’s leaves, bj reflects the region’s predictive value, whereas I is a function that identifies a specific condition or occurrence. The estimation in Equation (10) is approximated using the same dataset, resulting in a bias in gradients and a deviation in predictions. The aforementioned limitations contribute to overfitting within the model. CatBoost addresses these challenges by implementing an ordered boosting technique. This strategy enhances the model’s robustness and generalizability [24].

2.6. Support Vector Regression (SVR)

Support vector regression (SVR) is a reliable and data-driven approach that consistently yields reproducible results. It is a useful technique for controlling regression. It incorporates concepts from support vector machines (SVM), such as support vectors, ideal hyperplane, and minimizing total deviation and structural risk [25,26]. Support vector machines (SVMs) encompass a family of supervised learning algorithms applicable to both regression and clustering tasks. Within this framework, support vector regression (SVR) offers a systematic approach to soft computing, grounded in rigorous mathematical principles. The technique has garnered significant interest due to its demonstrably robust performance in modeling diverse complex systems. Consequently, the core concepts underlying SVR are a frequent topic of discussion within the machine-learning literature. The support vector regression (SVR) algorithm attempts to compute a regression function f(x) for a given dataset [(x1, y1), …, (xn, yn)], where x∈Rd represents the d-dimensional input space and y ∈ R represents the output vector that is dependent on the input data. Based on the input data, the purpose is to estimate the output.
f x = w Φ ( x i )
The variables b and w represent the bias vectors, respectively, while φ(x) denotes the kernel function. To acquire the right values for the weight and bias vectors, the Vapnik minimization issue must be solved.
m i n i m i z e 1 2 w T w + C j = 1 N ( ζ j + ζ j + )
w . Φ x i + b y i ε + ζ j y i w . Φ x i + b ε + ζ j +   ζ j + , ε + ζ j 1 , 2 , , m
T represents the transposition operator, ε signifies the error tolerance, C is a positive regularization parameter that determines the departure from ε, and ζ j and ζ j + are positive parameters that represent the upper and lower excess variations, respectively. Lagrange multipliers were employed to formulate the aforementioned constrained optimization problem as a dual function. This framework facilitates the derivation of the optimal solution, which can be expressed as follows:
f x = j = 1 n a k a k * K x k , x 1 + b
The kernel function is denoted as K(xk, x1), while the Lagrange multipliers that satisfy the restrictions 0k and kC are represented by a k and a k * , respectively [27].

3. Results

3.1. Attachment of Microorganisms

Figure 2 illustrates microbial attachment to the electrode surface. The image depicts a dense biofilm comprised of various bacterial morphologies adhering to and completely enveloping the electrode. This biological activity, as evidenced by the consumption of organic substrates, facilitates electricity generation. The electrochemical characterization of this process, verifying the ability of the substrates to generate electricity, is presented in Figure 3 via cyclic voltammetry (CV) tests.
Figure 3 exhibits distinct peaks of oxidation and reduction. The oxidation and reduction activities of the microorganisms are highlighted, as no peak was observed before inoculation. This suggests that exoelectrogenic bacteria are present in the medium, which results in catalytic activity, removal of chemical oxygen demand (COD), and production of electrons and protons [28].

3.2. Soft Computing Results

This study collected experimental data on five MFCs. In Figure 4, box plots are employed to visually depict the distribution of the extracted dataset. Box plots are a graphical representation of the minimum, first quartile (Q1), median, third quartile (Q3), and maximum values within a dataset. The body of the box plot represents the interquartile range (IQR), with the bottom and top of the box corresponding to Q1 and Q3, respectively. The median value is denoted by a line positioned within the box. In the domain of data analysis, box plots serve as a vital instrument for conveying a dataset’s distributional properties in a clear and succinct manner. Figure 5 depicts a Pearson correlation coefficient matrix, which quantifies the degree of linear association between input and output characteristics. A Pearson correlation matrix effectively summarizes the linear relationships between multiple variables within a dataset. This matrix is a table where each cell represents the Pearson correlation coefficient, ranging from −1 to 1. A coefficient of 1 signifies a perfectly positive linear association, −1 indicates a perfectly negative linear association, and 0 signifies no linear association. Our analysis reveals a significant positive correlation between COD removal and vitamin content. Furthermore, the vitamin content exhibits a direct linear relationship with both power density and coulombic efficiency (CE).
This investigation leveraged a diverse ensemble of machine-learning models, encompassing adaptive boosting (AdaBoost), extreme gradient boosting (XGBoost), categorical boosting (CatBoost), and support vector regression (SVR), to generate predictions for the power density of microbial fuel cell systems. The utilization of a multifaceted approach through the application of multiple models facilitates a more holistic analysis and demonstrably enhances the fidelity and robustness of the generated predictions. Furthermore, acknowledging inherent uncertainties within the training data is paramount to bolstering the reliability and generalizability of the employed machine-learning models. The incorporation of an ensemble forecasting approach, whereby predictions from each model are averaged, can further contribute to the quantification of these uncertainties [29]. This study employed a grid search technique for hyperparameter optimization during model construction. This approach aimed to mitigate overfitting by systematically exploring a range of potential hyperparameter values for each model. The selection of these hyperparameters was informed by a combination of theoretical underpinnings and practical considerations, with each model requiring a unique set of hyperparameters for optimal performance. Table 1 provides a comprehensive overview of the hyperparameters utilized for each model in this study:
The input variables considered were the amount of vitamin solution (mL) and current density (mA/m2), while the output variable was power density (W/m2). This study evaluated the performance of various machine-learning models in predicting the output parameter using statistical criteria, such as root mean square error (RMSE) and correlation coefficient (R2). The models were tested on training, testing, and total data, and the results are presented in Table 1. The mathematical expressions for the statistical variables used in the analysis are as follows:
R M S E = 1 n i = 1 n ( X i   e x p X i   p r e d ) 2
R 2 = 1 ( i = 1 n ( X i , e x p X ¯ ) 2 ) / ( i = 1 n ( X i , e x p X ¯ ) 2 )
Xi,exp represents the empirical value of the parameters, while Xi,pred denotes the parameter value predicted by the proposed prediction tools. Table 2 presents a quantitative evaluation of the proposed strategies using the aforementioned indicators for power density. The assessment provides a detailed display of the accuracy of the training and testing sets for evaluation metrics. According to this evaluation, all the created models are capable of calculating power density for both training and testing data.
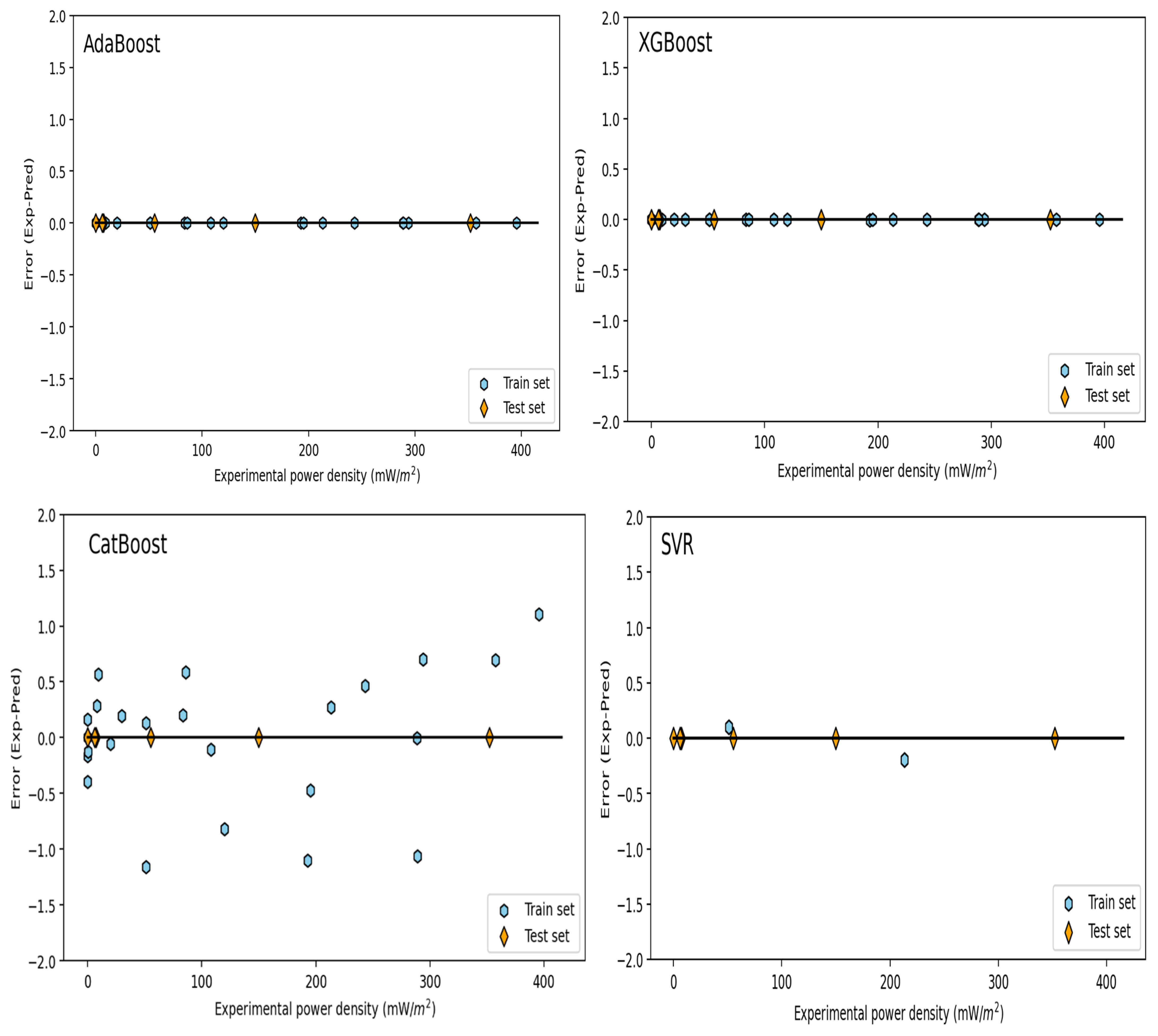
An evaluation of the models’ performance revealed that the XGBoost model achieved superior outcomes. This is substantiated by Table 2, which demonstrates that the XGBoost model attained the highest performance and prediction accuracy (R2 = 0.8942, RMSE = 40.997) amongst all models employed in this study. To represent the accuracy of the developed models in the present study, graphical error analysis was also applied in addition to statistical error analysis. The graphical analysis of the models includes a cross-plot of training and test sets for the developed models, which is presented in Figure 6, for power density. These graphs plot the predicted power density against the actual value. The XGBoost model shows a dense accumulation of both training and test sets around the unit slope line. The error distribution diagram offers valuable insights into the magnitude and distribution of the discrepancies between the experimentally observed and predicted power density values across the experimental range. A high concentration of data points around the zero-error line denotes the model’s accuracy. As depicted in Figure 7, the error distribution for the developed power density models reveals that the XGBoost model exhibits superior precision.
Figure 8a depicts the power density values generated by MFC1, MFC2, MFC3, MFC4, and MFC5. These values correspond to a maximum power density of 150, 243, 395.6, 352.08, and 770.6352.4 mW/m2, respectively. The data presented suggest a statistically significant and rapid increase in power output as the concentration of Wolf vitamin solution is augmented from 2 mL to 6 mL per liter. This observation aligns with the hypothesis that an increased concentration of Wolf vitamin solution leads to an intracellular accumulation of the vitamin, potentially disrupting bacterial energy metabolism and favoring specific functions within the organisms. This can result in a subsequent decrease in power generation. The text suggests that the cell undergoes dehydration through osmosis [25]. Figure 8b illustrates the polarization curve of the MFCs, which is used to determine the external resistance of the systems.
Figure 9 illustrates the COD removal and CE of MFC systems due to the catalytic activity of microorganisms in wastewater. MFC4 and MFC5 had the highest COD removal rates of 80% and 90%, respectively, while MFC2 could only remove the COD by 59%. MFC3 had the lowest CE of 29%, while MFC4 had the highest CE of 50%.

3.3. Optimization

In this study, the MFC was optimized using the NSGA-II method. This method is a widely recognized and frequently cited algorithm in the field of multi-objective optimization. This optimization algorithm leverages non-dominated sorting and crowding distance mechanisms to achieve a balance between diversity and convergence within the Pareto front. The process involves the consolidation of parent and offspring populations, followed by the selection of optimal solutions based on a multi-criteria evaluation that considers both dominance rank and crowding distance. This approach is characteristic of elitist algorithms, prioritizing the retention of superior solutions throughout the optimization process [27].
The results of the optimization process and the subsequent validation of the optimized result are presented in Table 3. The percentage errors for current density, power density, COD removal, and coulombic efficiency are 0.79%, 0.50%, 1.89%, and 1.27%, respectively. In general, percentage errors below 5.2% are deemed acceptable. While the model identifies a high-performing solution involving a specific quantity of Wolf vitamin solution, further investigation is necessary to establish the optimal optimization strategy. This is because the most favorable conditions may differ based on the chosen economic perspective. The model’s accuracy in pinpointing the peak performance level is noteworthy, with demonstrably low error.
Figure 10 depicts the long-term performance of MFC3. A gradual increase in voltage is observed, culminating in a maximum value at approximately 100 h. Subsequently, the voltage plateaus, indicating a stable operating state. The pattern of COD (chemical oxygen demand) elimination exhibits a close correlation with the voltage profile, with a slight deviation. Notably, the COD removal reaches its peak at approximately 80 h. This initial phase is likely attributed to the biofilm formation process, where bacteria adhere to the electrode surface and initiate the degradation of the substrate structure [26]. The coulombic efficiency (CE) displays a consistent upward trend in contrast to the aforementioned distinction where the CE exhibits a continual increase over time. This suggests that an increasing number of exoelectrogenic bacteria are involved in breaking down the substrate and generating electrons and protons over time [30].

4. Conclusions

The performance of the microbial fuel cell was evaluated in this study by examining the impact of several MFCs containing varying amounts of Wolf vitamin solution, which is a critical component of the media. According to this study, increasing the concentration of Wolf vitamin solution to 6 mL per liter results in a 2.45-fold increase in power density. However, beyond this point, the power density gradually decreases, possibly due to the precipitation of vitamins and deactivation of microorganisms. The CV test showed that microorganisms have significant catalytic capabilities. The presence of oxidation and reduction peaks provides compelling evidence of the robust bio-catalytic activities exhibited by microorganisms that facilitate the conversion of substrates into electricity. In this study, four AI models, namely AdaBoost, XGBoost, CatBoost, and SVR, were utilized to predict power density. An investigation into the influence of vitamin solution concentration on MFC performance revealed an optimal configuration at 5.8 mL/m2. This configuration achieved a power density of 576.8 mW/m2, a COD removal efficiency of 78%, and a coulombic efficiency of 12%. These findings demonstrate the effectiveness of artificial intelligence (AI) for optimizing and predicting MFC behavior and highlight the direct impact of vitamin solution concentration on MFC performance.

Author Contributions

Conceptualization, N.R.; Methodology, H.F. and M.S.; Software, H.F.; Validation, M.S.; Investigation, N.R.; Resources, M.G.; Writing—original draft, H.F.; Writing—review & editing, M.G. All authors have read and agreed to the published version of the manuscript.

Funding

This research received no external funding.

Institutional Review Board Statement

Not applicable.

Informed Consent Statement

Not applicable.

Data Availability Statement

The original contributions presented in the study are included in the article, further inquiries can be directed to the corresponding author.

Conflicts of Interest

The authors declare no conflict of interest.

References

  1. Sharif, H.M.A.; Farooq, M.; Hussain, I.; Ali, M.; Mujtaba, M.; Sultan, M.; Yang, B. Recent innovations for scaling up microbial fuel cell systems: Significance of physicochemical factors for electrodes and membranes materials. J. Taiwan Inst. Chem. Eng. 2021, 129, 207–226. [Google Scholar] [CrossRef]
  2. Rejano, C.J.F.; Chen, B.-Y.; Sobremisana, G.S.; Tayo, L.L.; Wang, K.-T.; Tsai, P.-W. Electrochemical analysis via microbial fuel cells reveals electron-stimulating characteristics, immunomodulation and antiviral properties of Ji Qin Yin. J. Taiwan Inst. Chem. Eng. 2023, 152, 105193. [Google Scholar] [CrossRef]
  3. Ghasemi, M.; Qazani, M.R.C.; Lennon, C.W.; Sedighi, M. Analysis and prediction of microbial fuel cell behaviour using MLP and SVR. J. Taiwan Inst. Chem. Eng. 2023, 151, 105101. [Google Scholar] [CrossRef]
  4. Khater, D.Z.; El-Khatib, K.M.; Hassan, R.Y.A. Effect of vitamins and cell constructions on the activity of microbial fuel cell battery. J. Genet. Eng. Biotechnol. 2018, 16, 369–373. [Google Scholar] [CrossRef]
  5. Islam, J.; Chilkoor, G.; Jawaharraj, K.; Dhiman, S.S.; Sani, R.; Gadhamshetty, V. Vitamin-C-enabled reduced graphene oxide chemistry for tuning biofilm phenotypes of methylotrophs on nickel electrodes in microbial fuel cells. Bioresour. Technol. 2020, 300, 122642. [Google Scholar] [CrossRef] [PubMed]
  6. Becker, J.; Liebal, U.W.; Phan, A.N.T.; Ullmann, L.; Blank, L.M. Renewable carbon sources to biochemicals and -fuels: Contributions of the smut fungi Ustilaginaceae. Curr. Opin. Biotechnol. 2023, 79, 102849. [Google Scholar] [CrossRef] [PubMed]
  7. Hu, X.; Tan, X.; Shi, X.; Liu, W.; Ouyang, T. An integrated assessment of microfluidic microbial fuel cell subjected to vibration excitation. Appl. Energy 2023, 336, 120852. [Google Scholar] [CrossRef]
  8. Agrawal, K.; Nair, L.G.; Chaturvedi, V.; Verma, P. Designing microbial cellulases using genetic engineering approach: A promising strategy towards zero-waste cellulosic biorefinery. Biocatal. Agric. Biotechnol. 2023, 52, 102830. [Google Scholar] [CrossRef]
  9. Yang, Y.-R.; Guo, Y.-X.; Wang, Q.-Y.; Hu, B.-Y.; Tian, S.-Y.; Yang, Q.-Z.; Cheng, Z.-A.; Chen, Q.-J.; Zhang, G.-Q. Impacts of composting duration on physicochemical properties and microbial communities during short-term composting for the substrate for oyster mushrooms. Sci. Total Environ. 2022, 847, 157673. [Google Scholar] [CrossRef] [PubMed]
  10. Song, B.; Li, Z.; Li, S.; Zhang, Z.; Fu, Q.; Wang, S.; Li, L.; Qi, S. Functional metagenomic and enrichment metatranscriptomic analysis of marine microbial activities within a marine oil spill area. Environ. Pollut. 2021, 274, 116555. [Google Scholar] [CrossRef]
  11. Mohyudin, S.; Farooq, R.; Jubeen, F.; Rasheed, T.; Fatima, M.; Sher, F. Microbial fuel cells a state-of-the-art technology for wastewater treatment and bioelectricity generation. Environ. Res. 2022, 204, 112387. [Google Scholar] [CrossRef]
  12. Sayed, E.T.; Rezk, H.; Abdelkareem, M.A.; Olabi, A.G. Artificial neural network based modelling and optimization of microalgae microbial fuel cell. Int. J. Hydrogen Energy 2023, 52, 1015–1025. [Google Scholar] [CrossRef]
  13. Lee, M.K.; Allareddy, V.; Rampa, S.; Elnagar, M.H.; Oubaidin, M.; Yadav, S.; Rengasamy, S. Applications and Challenges of Implementing Artificial Intelligence in Orthodontics: A Primer for Orthodontists. Semin. Orthod. 2024, 30, 72–76. [Google Scholar] [CrossRef]
  14. Asadi, M.R.; Ghasabehi, M.; Ghanbari, S.; Shams, M. The optimization of an innovative interdigitated flow field proton exchange membrane fuel cell by using artificial intelligence. Energy 2024, 290, 130131. [Google Scholar] [CrossRef]
  15. Available online: https://onlinelibrary.wiley.com/doi/10.1002/er.5484 (accessed on 24 July 2024).
  16. Cheng, C.-Y.; Chung, F.-Y.; Chou, P.-Y.; Huang, C. Surface modification of polytetrafluoroethylene by atmospheric pressure plasma-grafted polymerization. Plasma Chem. Plasma Process. 2020, 40, 1507–1523. [Google Scholar] [CrossRef]
  17. Abdollahfard, Y.; Sedighi, M.; Ghasemi, M. A New Approach for Improving Microbial Fuel Cell Performance Using Artificial Intelligence. Sustainability 2023, 15, 1312. [Google Scholar] [CrossRef]
  18. Freund, M. Functional dissociations revealed by representational similarity analysis of color-word Stroop. Master’s Thesis, Washington University in St. Louis, Saint Louis, MO, USA, 2019. [Google Scholar]
  19. Yilmaz, U.; Turksoy, O. Artificial intelligence based active and reactive power control method for single-phase grid connected hydrogen fuel cell systems. Int. J. Hydrogen Energy 2023, 48, 7866–7883. [Google Scholar] [CrossRef]
  20. Mohammadi, M.-R.; Hadavimoghaddam, F.; Pourmahdi, M.; Atashrouz, S.; Munir, M.T.; Hemmati-Sarapardeh, A.; Mosavi, A.H.; Mohaddespour, A. Modeling hydrogen solubility in hydrocarbons using extreme gradient boosting and equations of state. Sci. Rep. 2021, 11, 17911. [Google Scholar] [CrossRef]
  21. Homafar, A.; Nasiri, H.; Chelgani, S.C. Modeling coking coal indexes by SHAP-XGBoost: Explainable artificial intelligence method. Fuel Commun. 2022, 13, 100078. [Google Scholar] [CrossRef]
  22. Hong, Z.; Tao, M.; Liu, L.; Zhao, M.; Wu, C. An intelligent approach for predicting overbreak in underground blasting operation based on an optimized XGBoost model. Eng. Appl. Artif. Intell. 2023, 126, 107097. [Google Scholar] [CrossRef]
  23. Ge, Z.; Feng, S.; Ma, C.; Wei, K.; Hu, K.; Zhang, W.; Dai, X.; Fan, L.; Hua, J. Quantifying and comparing the effects of key chemical descriptors on metal–organic frameworks water stability with CatBoost and SHAP. Microchem. J. 2024, 196, 109625. [Google Scholar] [CrossRef]
  24. Wang, Z.; Li, C.; Liu, Y.; Wu, Y.; Zhang, S.; Deng, C. Atomically dispersed Fe-Ni dual sites in heteroatom doped carbon tyres for efficient oxygen electrocatalysis in rechargeable Zn-Air battery. J. Energy Chem. 2023, 83, 264–274. [Google Scholar] [CrossRef]
  25. Chin, W.L.; Kee, P.E.; Ng, H.S.; Lan, J.C.-W.; Tan, J.S. Selective screening Lactobacillus spp. against Escherichia coli and Salmonella typhimurium and optimizing a cane molasses-based medium with Lactobacillus acidophilus as a guiding model. J. Taiwan Inst. Chem. Eng. 2023, 160, 105197. [Google Scholar] [CrossRef]
  26. Singh, A.; Rao, A.; Kaushik, A. Achieving high electrogenic output from microbial fuel cell by chloroform-biotin pretreatment of wetland soil inoculum. J. Environ. Chem. Eng. 2023, 11, 109403. [Google Scholar] [CrossRef]
  27. Ghasemi, M.; Rezk, H. Performance improvement of microbial fuel cell using experimental investigation and fuzzy modelling. Energy 2024, 286, 129486. [Google Scholar] [CrossRef]
  28. Santos, J.S.; Tarek, M.; Sikora, M.S.; Praserthdam, S.; Praserthdam, P. Anodized TiO2 nanotubes arrays as microbial fuel cell (MFC) electrodes for wastewater treatment: An overview. J. Power Source 2023, 564, 232872. [Google Scholar] [CrossRef]
  29. Li, K.-Q.; Yin, Z.-Y.; Zhang, N.; Liu, Y. A data-driven method to model stress-strain behaviour of frozen soil considering uncertainty. Cold Reg. Sci. Technol. 2023, 213, 103906. [Google Scholar] [CrossRef]
  30. Han, J.-Y.; Zhang, H.-L.; Guo, H.; Liu, A.-Q.; Nawab, S.; Liu, N.; Hui, M.; Zhai, D.-D.; Yong, Y.-C. A rational designed synthetic three-species alliance system for synergetic improvement on power generation from microbial fuel cell. Chem. Eng. J. 2023, 481, 148366. [Google Scholar] [CrossRef]
Figure 1. Schematic of MFC.
Figure 1. Schematic of MFC.
Sustainability 16 06468 g001
Figure 2. SEM photo of the multi-culture attached microorganisms on the surface of the electrode.
Figure 2. SEM photo of the multi-culture attached microorganisms on the surface of the electrode.
Sustainability 16 06468 g002
Figure 3. Cyclic voltammetry of the microorganisms, current vs. voltage.
Figure 3. Cyclic voltammetry of the microorganisms, current vs. voltage.
Sustainability 16 06468 g003
Figure 4. Box plot of the input and output variables.
Figure 4. Box plot of the input and output variables.
Sustainability 16 06468 g004
Figure 5. Pearson correlation matrix between the input and output variables.
Figure 5. Pearson correlation matrix between the input and output variables.
Sustainability 16 06468 g005
Figure 6. Cross-plots of methods for power density.
Figure 6. Cross-plots of methods for power density.
Sustainability 16 06468 g006
Figure 7. Error distribution diagram of the methods for power density.
Figure 7. Error distribution diagram of the methods for power density.
Sustainability 16 06468 g007
Figure 8. (a) Power density and (b) polarization curve of the MFCs.
Figure 8. (a) Power density and (b) polarization curve of the MFCs.
Sustainability 16 06468 g008
Figure 9. COD removal and CE of different MFCs.
Figure 9. COD removal and CE of different MFCs.
Sustainability 16 06468 g009
Figure 10. Produced voltage of MFC3 vs. time with 1000 ohm load.
Figure 10. Produced voltage of MFC3 vs. time with 1000 ohm load.
Sustainability 16 06468 g010
Table 1. Hyperparameters and their optimal values for each of the four machine-learning models.
Table 1. Hyperparameters and their optimal values for each of the four machine-learning models.
ModelHyperparameterSearch RangeOptimum Value
AdaBoostn_estimators1–200040
max_depth1–166
Learing_rate0.01–0.90.1
loss linear, square, exponentiallinear
XGBoostn_estimators1–2000150
max_depth1–205
Learing_rate0.01–0.90.1
min_child_weight1–42
Subsample0.1–10.2
CatBoostn_estimators1–2000100
max_depth1–103
Learing_rate0.1–0.90.1
Subsample0.1–10.3
SVRKernel functionlinear, polynomial, radial basis functionlinear
gammascale, auto, floatscale
Table 2. Statistical results of developed models for predicting power density.
Table 2. Statistical results of developed models for predicting power density.
RankModelDataR2RMSE
1XGBoostTrain1.0000.003
Test0.89440.997
Total1.0000.002
2CatBoostTrain0.9991.079
Test 0.89341.277
Total0.9992.359
3AdaBoostTrain0.9997.113
Test0.86132.641
Total0.9990.002
4SVRTrain0.284179.772
Test0.39797.877
Total0.9992.359
Table 3. The result of optimization by NSGA-II algorithm.
Table 3. The result of optimization by NSGA-II algorithm.
Vitamin Solution (mL/m2)Current Density (mA/m2)Power Density (mW/m2)COD Removal (%)Coulombic Efficiency (%)
Optimal values5.8576.8395.67812
Validation5.80 581.4397.679.511.85
Error %-0.79 0.50 1.89 1.27
Disclaimer/Publisher’s Note: The statements, opinions and data contained in all publications are solely those of the individual author(s) and contributor(s) and not of MDPI and/or the editor(s). MDPI and/or the editor(s) disclaim responsibility for any injury to people or property resulting from any ideas, methods, instructions or products referred to in the content.

Share and Cite

MDPI and ACS Style

Farahani, H.; Ghasemi, M.; Sedighi, M.; Raut, N. Employing Artificial Intelligence for Enhanced Microbial Fuel Cell Performance through Wolf Vitamin Solution Optimization. Sustainability 2024, 16, 6468. https://doi.org/10.3390/su16156468

AMA Style

Farahani H, Ghasemi M, Sedighi M, Raut N. Employing Artificial Intelligence for Enhanced Microbial Fuel Cell Performance through Wolf Vitamin Solution Optimization. Sustainability. 2024; 16(15):6468. https://doi.org/10.3390/su16156468

Chicago/Turabian Style

Farahani, Hamed, Mostafa Ghasemi, Mehdi Sedighi, and Nitin Raut. 2024. "Employing Artificial Intelligence for Enhanced Microbial Fuel Cell Performance through Wolf Vitamin Solution Optimization" Sustainability 16, no. 15: 6468. https://doi.org/10.3390/su16156468

APA Style

Farahani, H., Ghasemi, M., Sedighi, M., & Raut, N. (2024). Employing Artificial Intelligence for Enhanced Microbial Fuel Cell Performance through Wolf Vitamin Solution Optimization. Sustainability, 16(15), 6468. https://doi.org/10.3390/su16156468

Note that from the first issue of 2016, this journal uses article numbers instead of page numbers. See further details here.

Article Metrics

Back to TopTop