Corporate Social Responsibility and Sustainability through Institutional Legitimacy in Police Forces
Abstract
1. Introduction
2. Literature Review
2.1. Corporate Social Responsibility and Sustainability
2.2. Institutional Legitimacy
2.3. Legitimacy and Procedural Justice
2.4. Social or Collective Effectiveness: More Resilient Neighbourhoods, More Cooperative Societies
3. Materials and Methods
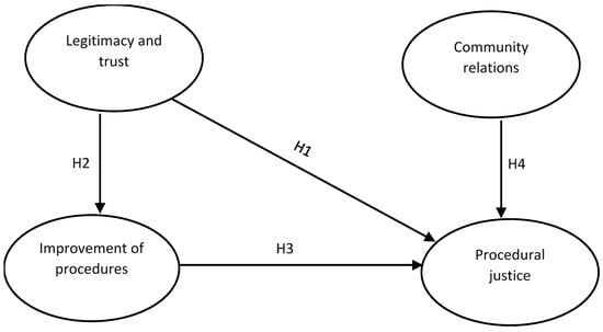
3.1. Hypotheses Based on the Theoretical Framework
3.2. Empirical Study
3.2.1. External Model: Structural Equations (SEM)
3.2.2. Internal Model: Validation of the Structural Model
4. Results
5. Discussion
6. Conclusions
6.1. Theoretical Contribution
6.2. Social Implications
6.3. Study’s Limitations
6.4. Directions for Further Research
Author Contributions
Funding
Data Availability Statement
Acknowledgments
Conflicts of Interest
References
- United Nations. Sustainable Development Goals. Take Action for the Sustainable Development Goals. Available online: https://www.un.org/sustainabledevelopment/sustainable-development-goals/ (accessed on 11 March 2024).
- ElAlfy, A.; Palaschuk, N.; El-Bassiouny, D.; Wilson, J.; Weber, O. Scoping the Evolution of Corporate Social Responsibility (CSR) Research in the sustainable Development Goals (SDGs) Era. Sustainability 2020, 12, 5544. [Google Scholar] [CrossRef]
- Pimonenko, T.; Lyulyov, O.; Us, Y. Cointegration between Economic, Ecological and Tourism Development. J. Tour. Serv. 2021, 23, 169–180. [Google Scholar] [CrossRef]
- Gunawan, J.; Permatasari, P.; Tilt, C. Sustainable Development Goal Disclosures: Do they support Responsible Consumption and Production? J. Clean. Prod. 2020, 246, 118989. [Google Scholar] [CrossRef]
- Elalfy, A. Redefining Strategic Corporate Social Responsibility (CSR) in the Sustainable Development Goals (SDGs) World. Ph.D. Thesis, University of Waterloo, Waterloo, ON, Canada, 2020. Available online: https://uwspace.uwaterloo.ca/handle/10012/16358 (accessed on 22 April 2024).
- El-Bassiouny, N.; El-Bassiouny, D.; Kolkailah, S.K.; Zahran, N.; Moharram, S. Corporate Social Responsibility in Egypt: Corporate Social Responsibility (CSR), the Sustainable Development Goals (SDGs), and Egypt 2030 Vision. In Current Global Practices of Corporate Social Responsibility: In the Era of Sustainable Development Goals; Idowu, S.O., Ed.; Springer: Berlin, Germany, 2021; pp. 421–455. [Google Scholar]
- Fallah Shayan, N.; Mohabbati-Kalejahi, N.; Alavi, S.; Zahed, M.A. Sustainable Development Goals (SDGs) as a Framework for Corporate Social Responsibility (CSR). Sustainability 2022, 14, 1222. [Google Scholar] [CrossRef]
- Setó-Pamies, D.; Papaoikonomou, E. Sustainable Development Goals: A Powerful Framework for Embedding Ethics, CSR, and Sustainability in Management Education. Sustainability 2020, 12, 1762. [Google Scholar] [CrossRef]
- Li, X.; Cai, W.; Bosma, N. The Role of Cognitive Legitimacy in Social Entrepreneurship: A Multilevel Analysis. Small Bus. Econ. 2024, 1–25. [Google Scholar] [CrossRef]
- Suchman, M. Managing Legitimacy: Strategic and Institutional Approaches. Acad. Manag. Rev. 1995, 20, 571–611. [Google Scholar] [CrossRef]
- Santos, M.C.; Veiga, C.; Águas, P.; Santos, J.A.C. Sustainability Communication in Hospitality in Peripheral Tourist Destinations. Worldw. Hosp. Tour. Themes 2019, 11, 660–676. [Google Scholar] [CrossRef]
- Abdelazimahmed, T.S.; Kassem, A.; Alajloni, A.; Alomran, A.; Ragab, A.; Shaker, E. Effect of internal corporate social responsibility activities on tourism and hospitality employees ‘normative commitment during COVID-19. Tour. Manag. Stud. 2023, 18, 21–35. [Google Scholar] [CrossRef]
- Bhargava, A.; Ligade, P. Corporate Social Responsibility (CSR) and Sustainability—A Scientometric Analysis of the Interrelationship. J. Indian Bus. Res. 2023, 15, 110–124. [Google Scholar] [CrossRef]
- Santos, J.A.C.; Fernández-Gámez, M.Á.; Guevara-Plaza, A.; Custódio Santos, M.; Pestana, M.H. The Sustainable Transformation of Business Events: Sociodemographic Variables as Determinants of Attitudes Towards Sustainable Academic Conferences. Int. J. Event Festiv. Manag. 2023, 14, 1–22. [Google Scholar] [CrossRef]
- Vavrova, J. Effects of the COVID-19 Pandemic on Corporate Social Responsibility in the Hotel Industry—Case of the Czech Republic. J. Tour. Serv. 2022, 25, 213–229. [Google Scholar] [CrossRef]
- European Commission. Corporate Sustainability and Responsibility. Available online: https://single-market-economy.ec.europa.eu/industry/sustainability/corporate-sustainability-and-responsibility_en (accessed on 11 March 2024).
- European Commission. Green Paper: Promoting a European Framework for Corporate Social Responsibility. Publications Office of the European Union. Available online: https://op.europa.eu/en/publication-detail/-/publication/18607901-76e9-47ea-91f8-436a4f412450/language-en (accessed on 12 March 2024).
- Organisation for Economic Co-Operation and Development (OECD). OECD Guidelines for Multinational Enterprises on Responsible Business Conduct. Available online: https://mneguidelines.oecd.org/mneguidelines/ (accessed on 11 March 2024).
- Plaikner, A.; Haid, M.; Kallmuenzer, A.; Kraus, S. Employer Branding in Tourism: How to Recruit, Retain and Motivate Staff. J. Tour. Serv. 2023, 14, 1–21. [Google Scholar] [CrossRef]
- Rodrigues, A.P.; Barreira, M.; Madeira, C.R.; Vieira, I. The Impact of Internal Marketing on Employee Attitudes and Behaviours in Local Public Sector Organisations. Tour. Manag. Stud. 2023, 19, 41–57. [Google Scholar] [CrossRef]
- Arcas Lario, N.; Briones-Peñalver, A.J. Responsabilidad Social Empresarial de las Organizaciones de la Economía Social. Valoración de la misma en las Empresas de la Región de Murcia. Rev. Econ. Publica Soc. Coop. 2009, 65, 143–161. [Google Scholar]
- Ponte, J.C.; Couto, G.; Pimentel, P.; Sousa, Á.S.T.; Oliveira, A. Tourism Planning in the Azores and Feedback from Visitors. Tour. Manag. Stud. 2021, 17, 7–15. [Google Scholar] [CrossRef]
- Vasanicova, P.; Jencova, S.; Gavurova, B.; Bacik, R. Coopetition of European Union Countries within Destination Management. J. Tour. Serv. 2022, 13, 71–89. [Google Scholar] [CrossRef]
- Bernal-Conesa, J.A.; de Nieves Nieto, C.; Briones-Peñalver, A.J. CSR Strategy in Technology Companies: Its Influence on Performance, Competitiveness and Sustainability. Corp. Soc. Responsib. Environ. Manag. 2017, 24, 96–107. [Google Scholar] [CrossRef]
- Matijová, M.; Šenková, A.; Dzurov Vargová, T.; Matušíková, D. Tourism Indicators and Their Differentiated Impact on Sustainable Tourism Development. J. Tour. Serv. 2023, 14, 89–117. [Google Scholar] [CrossRef]
- Pereira-Moliner, J.; López-Gamero, M.D.; Font, X.; Molina-Azorín, J.F.; Tarí, J.J.; Pertusa-Ortega, E.M. Sustainability, Competitive Advantages and Performance in the Hotel Industry: A Synergistic Relationship. J. Tour. Serv. 2021, 12, 132–149. [Google Scholar] [CrossRef]
- Bowen, H. Social Responsibilities of the Businessman, 1st ed.; Harper: New York, NY, USA, 1953; pp. 1–298. [Google Scholar]
- Frederick, W.C. The Growing Concern over Business Responsibility. Calif. Manag. Rev. 1960, 2, 54–61. [Google Scholar] [CrossRef]
- Williams, S.; Murphy, D.F. Learning from each other: UK global businesses, SMEs, CSR and the Sustainable Development Goals (SDGs). Sustainability 2023, 15, 4151. [Google Scholar] [CrossRef]
- Satapathy, J.; Paltasingh, T. CSR Practices and Sustainable Development Goals: Exploring the Connections in Indian Context. Bus. Soc. Rev. 2022, 127, 617–637. [Google Scholar] [CrossRef]
- Matten, D.; Moon, J. “Implicit” and “Explicit” CSR: A Conceptual Framework for a Comparative Understanding of Corporate Social Responsibility. Acad. Manag. Rev. 2008, 33, 404–424. [Google Scholar] [CrossRef]
- Conesa, J.A.B.; Peñalver, A.J.B.; de Nieves Nieto, C. Impacts of the CSR strategies of technology companies on performance and competitiveness. Tour. Manag. Stud. 2017, 13, 73–81. [Google Scholar] [CrossRef]
- Barrena-Martínez, J.; López-Fernández, M.; Romero-Fernández, P.M. Corporate Social Responsibility: Evolution through Institutional and Stakeholder Perspectives. Eur. J. Manag. Bus. Econom. 2016, 25, 8–14. [Google Scholar] [CrossRef]
- Stefanova, M. The CSR Professional–Undiscovered Agent of Change. Econ. Altern. 2019, 2, 313–323. [Google Scholar]
- Metzker, Z.; Marousek, J.; Hlawiczka, R.; Belas, J., Jr.; Khan, K.A. The Perception of the Market and Operational Area of Business by Service Sector and Tourism Companies in terms of CSR implementation. J. Tour. Serv. 2021, 23, 217–236. [Google Scholar] [CrossRef]
- Wei, J.; Liu, T.; Chavez, D.; Chen, H. Managing Corporate-Government Relationships in a Multi-Cultural Setting: How Political Corporate Social Responsibility (PCSR) as a Response to Legitimacy Pressures Affects Firm Reputation. Ind. Mark. Manag. 2020, 89, 1–12. [Google Scholar] [CrossRef]
- Mückenberger, U.; Jastram, S. Transnational Norm-Building Networks and the Legitimacy of Corporate Social Responsibility Standards. J. Bus. Ethics 2010, 97, 223–239. [Google Scholar] [CrossRef]
- Lin, K.; Peng, M.Y.-P.; Anser, M.K.; Yousaf, Z.; Sharif, A. Bright Harmony of Environmental Management Initiatives for Achieving Corporate Social Responsibility Authenticity and Legitimacy: Glimpse of Hotel and Tourism Industry. Corp. Soc. Responsib. Environ. Manag. 2021, 28, 640–647. [Google Scholar] [CrossRef]
- Du, S.; Vieira, J.E. Striving for Legitimacy Through Corporate Social Responsibility: Insights from Oil Companies. J. Bus. Ethics 2012, 110, 413–427. [Google Scholar] [CrossRef]
- Aranda, A.; Simons, T. Clearing the Smoke: Regulations, Moral Legitimacy, and Performance in the U.S. Tobacco Industry. J. Bus. Ethics 2022, 187, 803–819. [Google Scholar] [CrossRef]
- Kölbel, J.F.; Busch, T. Signaling Legitimacy Across Institutional Contexts: The Intermediary Role of Corporate Social Responsibility Rating Agencies. Glob. Strategy J. 2021, 11, 304–328. [Google Scholar] [CrossRef]
- Duff, A. Corporate Social Responsibility as a Legitimacy Maintenance Strategy in the Professional Accountancy Firm. Br. Account. Rev. 2017, 49, 513–531. [Google Scholar] [CrossRef]
- Gifford, B.; Kestler, A.; Anand, S. Building Local Legitimacy into Corporate Social Responsibility: Gold Mining Firms in Developing Nations. J. World Bus. 2010, 45, 304–311. [Google Scholar] [CrossRef]
- Bonner, M.; Dammert, L. Constructing Police Legitimacy During Protests: Frames and Consequences for Human Rights. Polic. Soc. 2021, 32, 629–645. [Google Scholar] [CrossRef]
- Freeman, R.E. Strategic Management: A Stakeholder Approach; Cambridge University Press: Cambridge, UK, 2010. [Google Scholar]
- Pava, M.L.; Krausz, J. Criteria for Evaluating the Legitimacy of Corporate Social Responsibility. J. Bus. Ethics 1997, 16, 337–347. [Google Scholar] [CrossRef]
- Adomako, S.; Tran, M. Doing Well and Being Responsible: The Impact of CSR Legitimacy on Responsible Entrepreneurship. Corp. Soc. Responsib. Environ. Manag. 2023, 30, 1794–1804. [Google Scholar] [CrossRef]
- Lindblom, C.K. The Implications of Organizational Legitimacy for Corporate Social Performance and Disclosure. In Proceedings of the Critical Perspectives on Accounting Conference, New York, NY, USA. 1994. Available online: https://www.semanticscholar.org/paper/The-implications-of-Organizational-Legitimacy-for-Lindblom/98df7ea8cd1d19bf94d0a235f6385d71ed253360 (accessed on 22 May 2024).
- Amos, G.J. Corporate Social and Environmental Reporting in the Mining Sector: Seeking Pragmatic and Moral Forms of Legitimacy? J. Account. Emerg. Econ. 2023, 14, 548–584. [Google Scholar] [CrossRef]
- Wang, C.; Cardon, P.W. The Networked Enterprise and Legitimacy Judgments: Why Digital Platforms Need Leadership. J. Bus. Strategy 2019, 40, 33–39. [Google Scholar] [CrossRef]
- Arianpoor, A.; Salehi, M.; Daroudi, F. Nonfinancial Sustainability Reporting, Management Legitimate Authority and Enterprise Value. Soc. Responsib. J. 2023, 19, 1900–1916. [Google Scholar] [CrossRef]
- Joutsenvirta, M.; Vaara, E. Legitimacy Struggles and Political Corporate Social Responsibility in International Settings: A Comparative Discursive Analysis of a Contested Investment in Latin America. Organ. Stud. 2015, 36, 741–777. [Google Scholar] [CrossRef]
- Kassem, R.; Salama, A.; Ganepola, C. CSR, Credibility, Employees Rights, and Legitimacy During a Crisis: A Critical Analysis of British Airways, WizAir, and EasyJet Cases. Employee Relat. 2022, 45, 1–20. [Google Scholar] [CrossRef]
- Bu, X.; Chen, L. From Efficiency to Legitimacy: The Changing Logic of Internal CSR in Emerging Multinationals During Internationalisation. Asian Bus. Manag. 2023, 22, 1418–1453. [Google Scholar] [CrossRef]
- Acuti, D.; Bellucci, M.; Manetti, G. Preventive and Remedial Actions in Corporate Reporting Among “Addiction Industries”: Legitimacy, Effectiveness and Hypocrisy Perception. J. Bus. Ethics 2023, 189, 603–623. [Google Scholar] [CrossRef] [PubMed]
- Hadani, M. The Impact of Trustworthiness on the Association of Corporate Social Responsibility and Irresponsibility on Legitimacy. J. Manag. Stud. 2024, 61, 1266–1294. [Google Scholar] [CrossRef]
- Diez-Martín, F.; González, A.; Prado-Román, C. Legitimidad como Factor Clave del Éxito Organizativo. Investig. Eur. Dir. Econ. Empresa 2010, 16, 127–143. [Google Scholar] [CrossRef][Green Version]
- Gordo-Molina, V.; Diez, F. ¿Cómo conseguir legitimidad? Una revisión sistemática. Espacios 2020, 41, 370–388. [Google Scholar] [CrossRef]
- Diez-Martín, F.; Blanco-González, A.; Prado-Román, C. Efecto de la Responsabilidad Social Empresarial sobre la Legitimidad de las Empresas. Anu. Juríd. Econ. Escur. 2014, 47, 325–348. [Google Scholar]
- LaFree, G. Losing Legitimacy: Street Crime and the Decline of Social Institutions in America; Routledge: Abingdon, UK, 2018; pp. 1–240. [Google Scholar]
- Bonner, M. Reclaiming Citizenship from Police Violence. Citizensh. Stud. 2021, 25, 317–332. [Google Scholar] [CrossRef]
- Triplett, R.; Gainey, G.; Sun, I. Institutional Strength, Social Control and Neighborhood Crime Rates. Theor. Criminol. 2003, 7, 439–467. [Google Scholar] [CrossRef]
- Weber, M. Class, Status, Party. In From Max Weber: Essays in Sociology; Gerth, H., Mills, C.W., Eds.; Routledge: London, UK, 2013; pp. 180–195. [Google Scholar]
- Hoffman, D.E.; Webb, V.J.; Snell, J.C. Freedom and Order in the Administration of Justice: A Simulation Game. Teach. Sociol. 1977, 4, 177–184. [Google Scholar] [CrossRef]
- Hyde, A. The Concept of Legitimation in the Sociology of Law; Routledge: London, UK, 2017; pp. 209–219. [Google Scholar]
- Tyler, T. Why do People Obey the Law; Princeton University Press: Princeton, NJ, USA, 2006. [Google Scholar] [CrossRef]
- Echegoyen, J.; Berger, P.L.; Luckmann, T. La construcción social de la realidad. Pap. Rev. Sociol. 1968, 1, 181. [Google Scholar]
- Beetham, D. Towards a Social-scientific Concept of Legitimacy. In The Legitimation of Power; Macmillan Education UK: London, UK, 1991; pp. 3–41. [Google Scholar]
- Bottoms, A.; Tankebe, J. Beyond Procedural Justice: A Dialogic Approach to Legitimacy in Criminal Justice. J. Crim. Law Criminol. 2012, 102, 119–170. [Google Scholar]
- Lind, E.; Tyler, T. The Social Psychology of Procedural Justice. In Critical Issues in Social Justice; Lerner, M.J., Ed.; Springer: Berlin, Germany, 1988; Volume 18. [Google Scholar]
- St. Louis, S.; Greene, J.R. Social Context in Police Legitimacy: Giving Meaning to Police/Community Contacts. Polic. Soc. 2020, 30, 656–673. [Google Scholar] [CrossRef]
- Bradford, B.; Milani, J.; Jackson, J. Identity, Legitimacy and ‘Making Sense’ of Police Use of Force. Polic. Int. J. Police Strateg. Manag. 2016, 40, 614–627. [Google Scholar] [CrossRef]
- Jackson, J.; Bradford, B. Crime, Policing, and Social Order: On the Expressive Nature of Public Confidence in Policing. Br. J. Sociol. 2009, 60, 493–521. [Google Scholar] [CrossRef] [PubMed]
- Kochel, T. Applying Police Legitimacy, Cooperation, and Collective Security Hypotheses to Explain Collective Efficacy and Violence Across Neighbourhoods. Int. J. Comp. Appl. Crim. Justice 2017, 42, 253–272. [Google Scholar] [CrossRef]
- Kochel, T.R. Can Police Legitimacy Promote Collective Efficacy? Justice Q. 2012, 29, 384–419. [Google Scholar] [CrossRef]
- Morenoff, J.; Sampson, R.; Raudenbush, S. Neighborhood Inequality, Collective Efficacy, and the Spatial Dynamics of Urban Violence. Criminology 2001, 39, 517–558. [Google Scholar] [CrossRef]
- Raudenbush, S.W.; Sampson, R.J. Ecometrics: Toward a Science of Assessing Ecological Settings, with Application to the Systematic Social Observation of Neighborhoods. Sociol. Methodol. 1999, 29, 1–41. [Google Scholar] [CrossRef]
- Sampson, R.J.; Raudenbush, S.W.; Earls, F. Neighborhoods and Violent Crime: A Multilevel Study of Collective Efficacy. Science 1997, 277, 918–924. [Google Scholar] [CrossRef]
- Silver, E.; Miller, L.L. Sources of Informal Social Control in Chicago Neighborhoods. Criminology 2004, 42, 551–584. [Google Scholar] [CrossRef]
- Maccoby, E.; Johnson, J.; Church, R. Community Integration and the Social Control of Juvenile Delinquency. J. Soc. Issues 2010, 14, 38–51. [Google Scholar] [CrossRef]
- Wells, W.; Schafer, J.A.; Varano, S.P.; Bynum, T.S. Neighborhood Residents’ Production of Order: The Effects of Collective Efficacy on Responses to Neighborhood Problems. Crime Delinq. 2006, 52, 523–550. [Google Scholar] [CrossRef]
- Elliott, D.S.; Wilson, W.J.; Huizinga, D.; Sampson, R.; Elliott, A.; Rankin, B. The effects of neighborhood disadvantage on adolescent development. J. Res. Crime Delinq. 1996, 33, 389–426. [Google Scholar] [CrossRef]
- Kasarda, J.D.; Janowitz, M. Community Attachment in Mass Society. Am. Sociol. Rev. 1974, 39, 328–339. [Google Scholar] [CrossRef]
- Taylor, R.; Gottfredson, S.; Brower, S. Block Crime and Fear: Defensible Space, Local Social Ties, and Territorial Functioning. J. Res. Crime Delinq. 1984, 21, 303–331. [Google Scholar] [CrossRef]
- Sampson, R.J.; Raudenbush, S.W. Systematic Social Observation of Public Spaces: A New Look at Disorder in Urban Neighborhoods. Am. J. Sociol. 1999, 105, 603–651. [Google Scholar] [CrossRef]
- Snell, C. Neighborhood Structure, Crime, and Fear of Crime: Testing Bursik and Grasmick’s Neighborhood Control Theory; LFB Scholarly Pub.: New York, NY, USA, 2001. [Google Scholar]
- Steptoe, A.; Feldman, P.J. Neighborhood Problems as Sources of Chronic Stress: Development of a Measure of Neighborhood Problems, and Associations with Socioeconomic Status and Health. Ann. Behav. Med. 2001, 23, 177–185. [Google Scholar] [CrossRef] [PubMed]
- Warner, B.D.; Leukefeld, C.G.; Kraman, P. Informal Social Control of Crime in High Drug Use Neighborhoods: Final Project Report; Department of Justice: Washington, DC, USA, 2002; p. 104. [Google Scholar]
- Bueno, E. El Capital Social en el Nuevo Enfoque del Capital Intelectual de las Organizaciones. Rev. Psicol. Trab. Organ. 2002, 18, 157–176. [Google Scholar]
- Nieves-Nieto, C.; Briones-Peñalver, A.J. Las Empresas de Economía Social y su Relación con las Instituciones: Colaboración con la Universidad en Asuntos Medioambientales. CIRIEC-Esp. Rev. Econom. Pública Soc. Coop. 2009, 65, 85–111. [Google Scholar]
- Wahyu Sasongko, A.; Nugraha, F. Sharia-Based Corporate Social Responsibility Disclosures for Responsible Innovation: What are the Benefits to Overcome the Grand Challenge? Bus. Manag. Res. 2023, 2, 78–94. [Google Scholar]
- Jackson, J.; Hug, A.Z.; Bradford, B.; Tyler, T.R. Monopolizing Force? Police Legitimacy and Public Attitudes Toward the Acceptability of Violence. Psychol. Psychol. Public Policy Law 2013, 19, 479–497. [Google Scholar] [CrossRef]
- Jonathan-Zamir, T.; Harpaz, A. Police Understanding of the Foundations of Their Legitimacy in the Eyes of the Public: The Case of Commanding Officers in the Israel National Police. Br. J. Criminol. 2014, 54, 469–489. [Google Scholar] [CrossRef]
- Tankebe, J. Public Cooperation with the Police in Ghana: Does Procedural Fairness Matter? Criminology 2009, 47, 1265–1293. [Google Scholar] [CrossRef]
- Adams, R.; Rohe, W.; Arcury, T. Awareness of Community-Oriented Policing and Neighborhood Perceptions in Five Small to Midsize Cities. J. Crim. Justice 2005, 33, 43–54. [Google Scholar] [CrossRef]
- Frank, J.; Smith, B.; Novak, K. Exploring the Basis of Citizens’ Attitudes Toward the Police. Police Q. 2005, 8, 206–228. [Google Scholar] [CrossRef]
- Vogel, B. Perceptions of the Police: The Influence of Individual and Contextual Factors in a Racially Diverse Urban Sample. J. Ethn. Crim. Justice 2011, 9, 267–290. [Google Scholar] [CrossRef]
- Achutegui, P. Justicia Procedimental Aplicada. Efectos de la Interacción Entre Menores y Policía. Bol. Criminol. 2016, 22, 1–10. [Google Scholar] [CrossRef]
- Hair, J.; Sarstedt, M.; Ringle, C. Rethinking some of the rethinking of partial least squares. Eur. J. Mark. 2019, 53, 566–584. [Google Scholar] [CrossRef]
- Hair, J.F.; Hult, G.T.M.; Ringle, C.M.; Sarstedt, M. A Primer on Partial Least Squares Structural Equation Modeling; Sage: Thousand Oaks, CA, USA, 2014. [Google Scholar]
- Fornell, C.; Larcker, D.F. Evaluating Structural Equation Models with Unobservable Variables and Measurement Error. J. Mark. Res. 1981, 18, 39–50. [Google Scholar] [CrossRef]
- Tenenhaus, M.; Vinzi, V.E.; Chatelin, Y.-M.; Lauro, C. PLS path modelling. Comput. Stat. Data Anal. 2008, 48, 159–205. [Google Scholar] [CrossRef]
- Hair, J.; Sarstedt, M.; Ringle, C.M.; Mena, J. An Assessment of the Use of Partial Least Squares Structural Equation Modeling in Marketing Research. J. Acad. Mark. Sci. 2012, 40, 414–433. [Google Scholar] [CrossRef]
- Carmines, E.G.; Zeller, R.A. Reliability and Validity Assessment; Sage: Thousand Oaks, CA, USA, 1979; Volume 17. [Google Scholar]
- Vinzi, V.E.; Trinchera, L.; Amato, S. PLS Path Modeling: From Foundations to Recent Developments and Open Issues for Model Assessment and Improvement. In Handbook of Partial Least Squares: Concepts, Methods and Applications; Vinzi, V.E., Chin, W.W., Henseler, J., Wang, H., Eds.; Springer: Berlin, Germany, 2010; pp. 47–82. [Google Scholar]
- Benitez-Amado, J.; Llorens-Montes, F.J.; Fernandez-Perez, V. IT Impact on Talent Management and Operational Environmental Sustainability. Inf. Technol. Manag. 2015, 16, 207–220. [Google Scholar] [CrossRef]
- Castro-Abancéns, I.; Roldán, J. A Mediation Model Between Dimensions of Social Capital. Int. Bus. Rev. 2013, 22, 1034–1050. [Google Scholar] [CrossRef]
- Dijkstra, T.; Henseler, J. Consistent Partial Least Squares Path Modeling. MIS Q. 2015, 39, 297–316. [Google Scholar] [CrossRef]
- Sarstedt, M.; Ringle, C.; Hair, J. Partial Least Squares Structural Equation Modeling. In Handbook of Market Research; Homburg, C., Klarmann, M., Vomberg, A., Eds.; Springer: Berlin, Germany, 2021; pp. 1–47. [Google Scholar]
- Nunnally, J.; Bernstein, I. Psychometric Theory, 3rd ed.; McGraw-Hill: New York, NY, USA, 1994. [Google Scholar]
- Henseler, J.; Ringle, C.; Sarstedt, M. A New Criterion for Assessing Discriminant Validity in Variance-based Structural Equation Modeling. J. Acad. Mark. Sci. 2015, 43, 115–135. [Google Scholar] [CrossRef]
- Roldán, J.; Sánchez-Franco, M.J. Variance-Based Structural Equation Modeling: Guidelines for Using Partial Least Squares in Information Systems Research. In Research Methodologies, Innovations and Philosophies in Software Systems Engineering and Information Systems; Mora, M., Gelman, O., Steenkamp, A., Raisinghani, M., Eds.; IGI Global: Hershey, PA, USA, 2012; pp. 193–221. [Google Scholar]
- Chin, W. Issues and Opinion on Structural Equation Modeling. MIS Q. 1998, 22, 8–16. [Google Scholar]
- Hair, J.; Ringle, C.; Sarstedt, M. PLS-SEM: Indeed a Silver Bullet. J. Mark. Theory Pract. 2011, 19, 139–151. [Google Scholar] [CrossRef]
- Falk, R.; Miller, N. A Primer for Soft Modeling; The University of Akron Press: Akron, OH, USA, 1992. [Google Scholar]
- Hair, J.; Sarstedt, M.; Hopkins, L.; Kuppelwieser, V. Partial Least Squares Structural Equation Modeling (PLS-SEM): An Emerging Tool for Business Research. Eur. Bus. Rev. 2014, 26, 106–121. [Google Scholar] [CrossRef]


| Frequency | Percentage | ||
|---|---|---|---|
| Valid | Male | 304 | 72.2 |
| Female | 117 | 27.8 | |
| Other | 0 | 0 | |
| Total | 421 | 100.0 | |
| Population | More than 5000 residents from the Murcia Region and the Alicante Province |
| Data collection method | Web questionnaire |
| Sample size | 421 valid answers |
| Collection period | Between July and September 2022 |
| Concepts | Items | Description |
|---|---|---|
| Legitimacy and trust | 4.1 | Security forces are necessary to maintain order and security. |
| 4.3 | Exercising in society should be reserved for professional law enforcement bodies. | |
| Improvement of procedures | 8.2 | It is important for citizens to be more aware of the role played by security forces. |
| 8.3 | Security forces should publicise their procedures and ways of operating in society. | |
| 8.5 | Security forces should use gradual procedures in the use of force. | |
| Community relations | 7.2 | There is a mutual trust relation between security forces and society. |
| 7.5 | Security forces care about young people | |
| 7.6 | Law enforcement action improves security in troubled neighborhoods | |
| Procedural justice | 11.7 | I believe that procedures to encourage citizen collaboration should be improved. |
| 11.8 | I believe that the good administration of the security forces improves the performance of their duties. |
| Items | Description | Variables | |||
|---|---|---|---|---|---|
| Legitimacy and Trust | Improvement of Procedures | Procedural Justice | Community Relations | ||
| Item 4.1 | Security forces are necessary to maintain order and security. | 0.877 | 0.428 | 0.359 | 0.409 |
| Item 4.3 | Exercising in society should be reserved for professional law enforcement bodies. | 0.864 | 0.377 | 0.376 | 0.408 |
| Item 8.2 | It is important for citizens to be more aware of the role played by security forces. | 0.458 | 0.852 | 0.436 | 0.253 |
| Item 8.3 | Security forces should publicise their procedures and ways of operating in society. | 0.102 | 0.594 | 0.233 | 0.087 |
| Item 8.5 | Security forces should use gradual procedures in the use of force. | 0.337 | 0.722 | 0.352 | 0.225 |
| Item 11.7 | I believe that procedures to encourage citizen collaboration should be improved. | 0.288 | 0.403 | 0.840 | 0.123 |
| Item 11.8 | I believe that the good administration of the security forces improves the performance of their duties. | 0.435 | 0.447 | 0.909 | 0.225 |
| Item 7.2 | There is a mutual trust relation between security forces and society. | 0.218 | 0.253 | 0.113 | 0.589 |
| Item 7.5 | Security forces care about young people. | 0.457 | 0.192 | 0.187 | 0.869 |
| Item 7.6 | Law enforcement action improves security in troubled neighborhoods. | 0.389 | 0.241 | 0.172 | 0.859 |
| ρa | Cronbach’s α | ρc | AVE | Legitimacy and Trust | Procedural Improvement | Procedural Justice | Community Relations | |
|---|---|---|---|---|---|---|---|---|
| Legitimacy and trust | 0.682 | 0.681 | 0.758 | 0.862 | ||||
| Improvement of procedures | 0.640 | 0.610 | 0.533 | 0.771 | 0.639 | |||
| Procedural justice | 0.733 | 0.699 | 0.766 | 0.867 | 0.598 | 0.717 | ||
| Community relations | 0.733 | 0.676 | 0.614 | 0.823 | 0.671 | 0.437 | 0.284 |
| Hypothesis | β | Standard Error | Confidence Interval | Accepted | |
|---|---|---|---|---|---|
| 2.5% | 97.5% | ||||
| Hypothesis 1 | 0.463 | 0.455 | 0.273 | 0.597 | YES |
| Hypothesis 2 | 0.259 | 0.249 | 0.108 | 0.379 | YES |
| Hypothesis 3 | 0.373 | 0.371 | 0.26 | 0.476 | YES |
| Hypothesis 4 | −0.021 | −0.009 | −0.094 | 0.083 | NO |
Disclaimer/Publisher’s Note: The statements, opinions and data contained in all publications are solely those of the individual author(s) and contributor(s) and not of MDPI and/or the editor(s). MDPI and/or the editor(s) disclaim responsibility for any injury to people or property resulting from any ideas, methods, instructions or products referred to in the content. |
© 2024 by the authors. Licensee MDPI, Basel, Switzerland. This article is an open access article distributed under the terms and conditions of the Creative Commons Attribution (CC BY) license (https://creativecommons.org/licenses/by/4.0/).
Share and Cite
Briones-Peñalver, A.-J.; Olmo Fernandez, I.d.; Fernández Cañavate, F.-J.; Santos, J.A.C. Corporate Social Responsibility and Sustainability through Institutional Legitimacy in Police Forces. Sustainability 2024, 16, 6300. https://doi.org/10.3390/su16156300
Briones-Peñalver A-J, Olmo Fernandez Id, Fernández Cañavate F-J, Santos JAC. Corporate Social Responsibility and Sustainability through Institutional Legitimacy in Police Forces. Sustainability. 2024; 16(15):6300. https://doi.org/10.3390/su16156300
Chicago/Turabian StyleBriones-Peñalver, Antonio-Juan, Ignacio del Olmo Fernandez, Francisco-José Fernández Cañavate, and José António C. Santos. 2024. "Corporate Social Responsibility and Sustainability through Institutional Legitimacy in Police Forces" Sustainability 16, no. 15: 6300. https://doi.org/10.3390/su16156300
APA StyleBriones-Peñalver, A.-J., Olmo Fernandez, I. d., Fernández Cañavate, F.-J., & Santos, J. A. C. (2024). Corporate Social Responsibility and Sustainability through Institutional Legitimacy in Police Forces. Sustainability, 16(15), 6300. https://doi.org/10.3390/su16156300

