Next Article in Journal
An Experimental Study of the Morphological Evolution of Rills on Slopes under Rainfall Action
Previous Article in Journal
Are South Korea’s Environmental Policies Rational? An Analysis Focusing on Fine Dust Programs in the Seoul Metropolitan Area
 
 
Font Type:
Arial Georgia Verdana
Font Size:
Aa Aa Aa
Line Spacing:
Column Width:
Background:
Article

How to Choose Recycling Mode between Monopoly and Competition by Considering Blockchain Technology?

by
Xuemei Zhang
1,2,
Haodong Zheng
1,
Tao Hang
1 and
Qiang Meng
1,2,*
1
Business School, Fuyang Normal University, Fuyang 236037, China
2
Anhui Provincial Key Laboratory of Regional Logistics Planning and Modern Logistics Engineering, Fuyang Normal University, Fuyang 236037, China
*
Author to whom correspondence should be addressed.
Sustainability 2024, 16(15), 6296; https://doi.org/10.3390/su16156296
Submission received: 3 June 2024 / Revised: 4 July 2024 / Accepted: 20 July 2024 / Published: 23 July 2024

Abstract

Enterprises adopting a circular economy approach can effectively solve the severe situation of resources and the environment, and recycling is considered an effective means to solve environmental issues. Simultaneously, blockchain technology (BT) has been used to enhance product quality trust. However, there is limited literature on how to choose between monopolistic and competitive recycling modes by considering BT. This paper uses a game involving a manufacturer, a retailer, and a third-party recycler (TPR) in a closed-loop supply chain (CLSC). The retailer can recycle on itself and compete with the TPR for recycling used products. The results show that BT adoption could increase the recycling rate and demand for remanufactured products. BT benefits the firms in the CLSC when they control usage costs, regardless of whether competitive recycling mode is used or not. In addition, whether BT is adopted or not, CLSC firms prefer competitive recycling mode only when the competitive intensity exceeds a specific threshold. Moreover, choosing an appropriate recycling mode can alleviate the negative impact of BT on the environment, then an all-win result can be obtained for CLSC firms, consumers, and society. These results can give suggestions for managers to optimize their supply chains regarding adopting BT and implementing recycling mode. In the future, we can expand our research on the transfer price of used products, the positive and negative effects of BT, and BT cost-sharing strategies.

1. Introduction

With the continuous shortening of product lifecycles, the consumption of products in the world is increasing exponentially [1], leading to problems such as raw material shortages and environmental pollution [2]. The 2023 Global Carbon Emissions Report pointed out that the global carbon dioxide emissions in 2023 were 37.4 billion tons, with a growth rate of 1.1% [3]. In the face of severe environmental challenges, the United Nations has issued Sustainable Development Goals aimed at promoting economic development and environmental protection [4]. In industry practice, the methods of circular economy such as product recycling and remanufacturing in closed-loop supply chains (CLSCs) have been proposed as a solution that reduces environmental impacts [5,6,7]. Many enterprises, including Apple Inc, HP, and Xerox, have integrated recycling with green innovative investments [8]. Recycling not only improves the image of companies but also brings significant economic benefits to them [9,10,11]. For instance, Xerox saves USD 200 million annually by implementing a CLSC program [12]. Moreover, Duduhuandian has partnered with Antdigital to leverage blockchain technology for the efficient recycling and cascading reuse of power batteries, saving substantial dismantling costs [13].
During the recycling process, as retail enterprises are closer to consumers, manufacturers often incentivize retailers to recycle used products [14]. For instance, Kodak camera company authorized its retailers to collect used cameras from consumers. Similarly, HP allows its dealers to directly collect used products from customers during sales and installation. [9,15]. In other industries, manufacturers commission independent third parties and retailers to collectively recycle used products and core components. In the electric vehicle sector, for example, Tesla recycles used batteries through both retailers and a third-party recycler (TPR) [16]. Savaskan et al. [17] compared an original equipment manufacturer, retailer, and third-party recycler collecting alternatives to design a recycling channel and found that retailer collecting is the best recycling mode. However, only a few studies have focused on competitive recycling mode [1,18]. Following these studies, this paper focuses on the competition between retailers and TPRs for recycling.
From consumers’ perspective, product quality issues have attracted the attention of enterprises [19]. Product informational traceability can improve consumer trust and purchasing intentions [20]. However, in CLSCs, it is challenging for consumers to identify whether a product is newly manufactured or remanufactured from recycled products or components. This uncertainty prevents consumers from trusting the authenticity of products [21]. Blockchain technology (BT), as a tamper-resistant and traceable distributed ledger, has been widely applied in supply chain networks. It records and traces product information, significantly enhancing transparency and increasing consumer confidence [22]. For example, IBM utilizes blockchain for food traceability, enabling rapid transmission of vital information about food origin, production, storage, and more to users on the blockchain service within seconds [23,24].
Despite BT’s importance, many issues must be considered. One of those is that the adoption of BT will incur significant costs [25], and enterprises need to weigh the benefits and costs of BT to decide whether to adopt it. In addition, there is still relatively little research on how BT affects the selection of recycling modes, especially the issue of competitive recycling modes. Thus, enterprises in CLSCs must decide whether adopt BT and how to select recycling modes by considering their interrelationship.
This paper explores the effect of blockchain technology adoption on the recycling mode selection between monopolistic and competitive recycling modes. The impact of recycling mode and blockchain technology adoption strategy on pricing, recycling rate, related firms’ profits, consumers, environment, and society also is investigated. We focus on the following questions:
(1)
How does BT adoption affect CLSC firms’ decisions regarding pricing and recycling rate? What is the optimal BT adoption strategy?
(2)
How do enterprises choose between monopolistic and competitive recycling modes by considering BT? What is the optimal recycling mode in the CLSC?
(3)
What is the effect of BT adoption and recycling mode selection on the performances of CLSC? Do enterprises have a consistent choice, and how does this choice affect consumers and society?
To answer these questions, we establish a CLSC structure to examine recycling mode choice and BT adoption strategies. First, we explore a scenario where neither BT nor competitive recycling mode is adopted. Then, two scenarios are constructed: one incorporating BT and another regarding competitive recycling mode. In addition, we develop a scenario that considers the adoption of BT and competitive recycling mode in the CLSC. Subsequently, we explore the effect of BT and competitive recycling mode on CLSC operational performance, consumers, the environment, and society.
Our research makes several contributions. First, while most existing research discussed the monopolistic recycling mode in CLSCs, we expand the field by investigating how to choose between monopolistic and competitive recycling modes for CLSC enterprises. Furthermore, we find that when the competitive intensity is higher than a threshold, CLSC firms will choose the competitive recycling mode. Second, we examine the influence of BT adoption on the decisions and management in a CLSC. The results indicate that blockchain technology adoption can incentivize retailers and TPRs to increase their recycling rates and actively participate in used product recycling. Notably, we derive that instead of implementing a monopolistic recycling mode, it is more effective to enable retailers and TPRs to maintain a certain level of competitive intensity. Implementing a competitive recycling mode has been rarely discussed in existing research. Finally, previous studies indicate that the interests of supply chain enterprises are conflicting, but we find a win–win outcome for CLSC firms, consumers, and society under some conditions. Specifically, an appropriate recycling mode can alleviate the negative environmental impact of BT. These results give insights for firms to adopt blockchain technology and choose recycling mode in CLSCs.
The paper is organized as follows. The literature overview is given in Section 2. Section 3 describes the problems and assumptions. Section 4 derives the equilibrium outcomes. Section 5 analyzes the impact of competitive intensity and BT usage costs on the operations of CLSC. The influence of BT and recycling mode on consumers, the environment, and society is given in Section 6. Conclusions are given in Section 7.

2. Literature Review

We focus on two streams of the literature relevant to our research: recycling modes in CLSCs and BT adoption in supply chains. Finally, we present the overview and the gaps.

2.1. Recycling Modes in CLSCs

The research on recycling modes has attracted widespread attention from scholars [12,26,27,28,29,30,31]. For example, Savaskan et al. [17] derived that the retailer being closer to the customer proves to be the most efficient in collecting products for the manufacturer. Zheng et al. [32] found that both manufacturer recycling mode and retailer recycling mode may be optimal depending on the competitive intensity of the sales channel, recycling price, and remanufacturing savings cost. Wang et al. [30] examined the choice of recycling modes and the platform’s transaction modes, and their results showed that transaction modes would determine the choice of recycling modes. Fan et al. [26] found that the recycling mode choice of manufacturers depends on salvage value. Hong et al. [28] explored hybrid recycling channels and found that the hybrid channel of manufacturer and retailer is superior to other modes. Under government subsidy policies, Wan and Hong [29] revealed how the transfer pricing decisions impact the dual channel CLSC. These papers extended the research on the recycling modes of CLSCs to many scenarios without competition and enriched the relevant research regarding monopolistic recycling modes.
Unlike the aforementioned research, some studies considered competition among the CLSC members [1,16,33,34,35]. For instance, Liu et al. [9] considered a manufacturer with three competing hybrid recycling modes, and their results showed that the optimal reverse recycling mode is the manufacturer–retailer competitive recycling mode. The results are the same as Shekarian et al. [36]. Huang et al. [18] investigated the recycling strategies within a dual recycling channel. By comparing with previous studies of single recycling channels, the parameter range of competitive intensity for which dual-recycling channels perform better is determined. Zhang et al. [37] explored the choice of recycling channels in the electric vehicle sector, and their results showed that when the competitive intensity is low, a common recycling channel should be chosen. Unlike the above studies that investigate the competition between two members, Zhou et al. [16] examined the competitive recycling channels among the three members.
Like the aforementioned investigations, we also focus on the recycling mode selection in CLSCs. However, unlike their study, ours focuses on the impact of BT adoption on recycling mode selection between monopolistic and competitive recycling modes, which have not been fully explored. Regarding recycling modes, scholars have concentrated on which enterprise collects used products, and neglecting the impact of advanced technology such as BT on the performance of CLSC operations management.

2.2. BT Adoption in Supply Chains

BT is widely applied in different supply chain fields, such as fresh food supply chains [38,39], agricultural supply chains [40,41], medicine supply chains [42], and luxury supply chains [43]. BT plays an important role in supply chains, enabling consumers to trace product information and bolstering their trust in product quality [21,22,44]. For example, Biswas et al. [45] found that BT can solve the problem of consumer trust in product quality. Ji et al. [23] explored the optimal timing for manufacturers to adopt BT, finding that its benefits are realized only when consumer sensitivity to BT exceeds a threshold. Fan et al. [46] found that adopting BT is not only related to consumer awareness of traceability but also to the BT usage cost. Like the above studies, our research also uses BT to improve product information transparency and increase consumer trust.
The adoption of BT not only improves consumer trust but also has a significant impact on the decisions of firms [47,48,49]. Zhang et al. [50] solved the problem of gray markets in global supply chains by leveraging the information traceability of BT. Li et al. [51] studied BT adoption strategies in a competitive market and found that the adoption of BT affects the retailer’s information leakage strategies. In addition, BT can reduce transaction costs [45,52,53] and improve information-sharing capabilities [51,54]. Liu et al. [38] and Prajapati et al. [55] given that BT plays an important role in the supply chain. However, Liu et al. [56] investigated the impact of BT on the performance of supply chains and derived that BT adoption does not bring more benefits to manufacturers.
The existing studies have explored the adoption strategy of BT and its effect on the operational performance of supply chains. However, less of the literature investigates the impact of BT on the recycling mode selection, especially since there is no consideration for competitive recycling. Consumers face difficulties in recycling due to a lack of awareness of new and remanufactured product-related information in CLSCs. We propose adopting BT to encourage more businesses and consumers to participate in the recycling of used products, thereby addressing environmental pollution problems.
Our research differs from the existing literature as follows. First, different from the literature on recycling modes in CLSCs, such as Wang et al. [30] and Zhang et al. [31], we investigate how to choose the recycling mode between monopolistic and competitive recycling modes, which is recognized as one of the effective ways to stimulate recycling. Monopolistic recycling by enterprises has long dominated the majority of the recycling market, and competitive recycling by different enterprises can bring more benefits to consumers, society, and other agents. Second, previous studies have explored the impact of BT adoption on supply chains [44,57], but there is limited literature on the impact of BT on competitive recycling. Our study investigates the interaction between BT and recycling mode, focusing on whether firms should choose competitive or monopolistic recycling by considering BT adoption. Then we explore their impacts on CLSC operational decisions, consumers, and society. We contribute to the supply chain operation principles and give management insights for enterprises regarding strategies of BT adoption and recycling mode selection.

3. Problem Description and Model Assumptions

We consider a CLSC consisting of a manufacturer, a retailer, and a TPR. In the forward logistic, the manufacturer wholesales new and remanufactured products to the retailer at wholesale prices w n and w r , and then the retailer sells them to consumers at prices p n and p r . In reverse logistics, following Ranjbar et al. [1] and Matsui [58], we define two recycling modes: retailer monopolistic recycling mode (R-mode), and retailer and third-party recycler competitive recycling mode (C-mode). In the two modes, the retailer and TPR recycle used products from consumers at price A , which are transferred to the manufacturer for remanufacturing at price B .
Considering the BT and recycling modes, we construct four models: R-mode without BT (Model N ), R-mode with BT (Model B ), C-mode without BT (Model C N ), and C-mode with BT (Model C B ). The four models are shown in Figure 1, and the notations are described in Table 1.
The following assumptions are introduced.
Blockchain technology. When manufacturers produce new and remanufactured products, they disclose product information through labels or manuals, including production dates and locations. We denote the transparency of product information as t . When the manufacturer uses traditional methods to disclose product information, the information is not only limited but also difficult for consumers to verify, making it hard for them to fully trust the product. In this case, 0 < t < 1 . However, when the manufacturer adopts BT to disclose product information, its decentralized, tamper-proof, and traceable features allow consumers to access the products’ entire lifecycle information—from origin to transportation, storage, and sales—within seconds. In this scenario, the transparency of product information is t = 1 , and consumers fully trust the product information [24,45].
Consumer. We assume that the market size is 1 [59,60]. The consumers’ willingness to pay for a new product is θ , where θ is uniformly distributed on [0, 1]. Since consumers can identify from the product label whether a product is new or remanufactured, and they perceive remanufactured products as inferior to new ones, their willingness to pay for a remanufactured product is δ θ , where δ is the discount factor and δ ( 0 , 1 ) [59,61,62]. Additionally, the transparency of product information t also affects consumers’ purchasing utility. The consumer’s utility functions are U n = θ p n + λ t and U r = δ θ p r + λ t [45], λ is the effect coefficient of information transparency on consumer utility, when BT is adopted, we have t = 1 [24].
Demand. Following Gong et al. [63], Jia and Li [64], and Zheng et al. [65], consumers will buy new products when U n > U r and U n 0 , on the contrary, consumers will buy remanufactured products. Following Zhang et al. [59], the demands are q n = 1 p n p r 1 δ and q r = δ p n p r + ( 1 δ ) λ t δ ( 1 δ ) , respectively, when BT is adopted, we have t = 1 .
Cost. To ensure the economic viability of recycling and remanufacturing used parts and components, it is assumed that 0 < c r < c n and c r + B < c n [9,59]. In addition, to promote retailers or TPRs to recycle used products, the unit transferring price is higher than the unit recycling price, i.e., B > A > 0 [65,66].
Decision framework. Following Zhang et al. [59] and Gong et al. [63], we consider a Stackelberg game in a single period. The manufacturer, being the Stackelberg leader, first chooses between monopolistic and competitive recycling and decides whether to adopt BT, as well as sets the wholesale prices of new and remanufactured products. Then the retailer decides on the retail prices and recycling rate, while the TPR determines its recycling rate simultaneously. The decision sequence is shown in Figure 2.
Recycling investment. Following Ranjbar et al. [1] and Hong et al. [34], we assume that in a competitive recycling situation (i.e., C-mode), the retailer’s (TPR’s) recycling investment will affect the TPR’s (retailer’s) recycling rate, i.e., τ R = I R α I T C and τ T = I T α I R C , where 0 τ R + τ T 1 , and the investment cost coefficient C of recycling is sufficiently large. When α = 0 , there is no competition between the retailer and TPR. In practice, one party’s investment typically has a greater impact on its own effective investment than on that of its competitor. Therefore, we assume 0 α < 1 [9,16,18].
Environmental impact. The carbon emission of producing remanufactured products is less than that of producing new products, i.e., e n > e r > 0 [63,67]. The environmental impact is assumed to be E = e n q n + e r q r [59,68].

4. Model

In this part, we explore the models N , B , C N and C B to present the equilibrium decisions. We focus on the case of C > ( B A ) 2 4 δ to obtain equilibrium results [69,70].

4.1. Model N

In the model N , the retailer monopolistically recycles used products, but BT is not adopted. The manufacturer first determines wholesale prices, and then the retailer determines retail prices and recycling rate. The optimization models are as follows:
max w n N , w r N π M N = ( w n N c n ) q n N + ( w r N c r ) q r N τ R N B ( q n N + q r N )
s . t . max p n N , p r N , τ R N π R N = ( p n N w n N ) q n N + ( p r N w r N ) q r N + τ R N ( B A ) ( q n N + q r N ) C τ R N 2
Using backward induction, we derive the optimal decisions in the model N , which are given in Table 2.
The proof of equilibrium results in the model N can be found in Appendix A. And to ensure decision variables are non-negative (i.e., τ R N * 0 ) [21], we assume that δ + λ t c r 0 .

4.2. Model B

In the model B , the retailer monopolistically recycles used products, and BT is adopted (i.e., t = 1 ). The manufacturer first determines wholesale prices, and then the retailer decides retail prices and recycling rate. The optimization models are as follows:
max w n B , w r B π M B = ( w n B c n c b ) q n B + ( w r B c r c b ) q r B τ R B B ( q n B + q r B )
s . t . max p n B , p r B , τ R B π R B = ( p n B w n B ) q n B + ( p r B w r B ) q r B + τ R B ( B A ) ( q n B + q r B ) C τ R B 2
Using backward induction, we derive the optimal decisions in the model B , which are given in Table 3.
The proof of equilibrium results in the model B can be found in Appendix B. And to ensure decision variables are non-negative (i.e., τ R B * 0 ) [21], we assume that δ + λ c r c b 0 .

4.3. Model CN

In the model C N , the retailer and TPR competitively recycle used products, but BT is not adopted. The manufacturer first determines wholesale prices, then the retailer decides retail prices and recycling rate, and TPR simultaneously decides the recycling rate. The optimization models are as follows:
max w n C N , w r C N π M C N = ( w n C N c n ) q n C N + ( w r C N c r ) q r C N B ( τ R C N + τ T C N ) ( q n C N + q r C N )
s . t . max p n C N , p r C N , τ R C N π R C N = ( p n C N w n C N ) q n C N + ( p r C N w r C N ) q r C N + τ R C N ( B A ) ( q n C N + q r C N ) C τ R C N 2 + α C τ T C N 2 1 α 2 max τ T C N π T C N = τ T C N ( B A ) ( q n C N + q r C N ) C τ T C N 2 + α C τ R C N 2 1 α 2
Using backward induction, we derive the optimal decisions in the model C N , which are given in Table 4.
The proof of equilibrium results in the model C N can be found in Appendix C.

4.4. Model CB

In the model C B , the retailer and TPR competitively recycle used products, and BT is adopted. The manufacturer first determines the wholesale prices, then the retailer decides the retail prices and recycling rate, and TPR simultaneously decides the recycling rate. The optimization models are as follows:
max w n C B , w r C B π M C B = ( w n C B c n c b ) q n C B + ( w r C B c r c b ) q r C B B ( τ R C B + τ T C B ) ( q n C B + q r C B )
s . t . max p n C B , p r C B , τ R C B π R C B = ( p n C B w n C B ) q n C B + ( p r C B w r C B ) q r C B + τ R C B ( B A ) ( q n C B + q r C B ) C τ R C B 2 + α C τ T C B 2 1 α 2 max τ T C B π T C B = τ T C B ( B A ) ( q n C B + q r C B ) C τ T C B 2 + α C τ R C B 2 1 α 2
Using backward induction, we derive the optimal decisions in the model C B , which are given in Table 5.
The proof of equilibrium results in the model C B can be found in Appendix D.

5. Equilibrium Results Analysis

We first explore the influence of the relevant parameters of competitive intensity α and unit BT usage cost c b on supply chain members’ decisions. Then, we compare the equilibrium outcomes to examine how to operate the CLSC and provide advice to supply chain members.

5.1. Sensitivity Analysis

The influence of competitive intensity α and the unit BT usage cost c b on the optimal decisions of supply chain members is analyzed, and the following conclusions are derived.
Proposition 1. 
When the retailer and TPR competitively recycle used products, a higher competitive intensity decreases wholesale prices, retail prices, and recycling rates, i.e., w n i α = w r i α 0 , p n i α = p r i α 0 , and τ R i α = τ T i α 0 , i { C N , C B } .
The proof of Proposition 1 can be found in Appendix E. Proposition 1 shows that a higher competitive intensity decreases the wholesale prices, retail prices, and recycling rates. After TPR joining the competitive recycling, the manufacturer will decrease the wholesale prices to motivate the retailer to increase the orders. And then, the retailer decreases retail prices to improve market demand to derive more profits. In addition, when the competitive intensity increases, the retailer and TPR will all decrease the recycling rates. That is to say, competition is not conducive to product recycling. Whether BT is adopted or not, the effects of competitive intensity on the equilibrium results are the same. This different from that of Ranjbar et al. [1] and Matsui [58]. This indicates that whether BT is adopted or not, CLSC members should set appropriate prices according to the competitive intensity.
Proposition 2. 
When BT is adopted, a higher BT usage cost increases the wholesale and retail prices, but it decreases the recycling rates, i.e., w n i c b = w r i c b > 0 , p n i c b = p r i c b > 0 , τ R i c b < 0 , τ R i c b = τ T i c b < 0 , i { B , C B } .
The proof of Proposition 2 can be found in Appendix F. Proposition 2 indicates that regardless of whether monopolistic recycling or competitive recycling is implemented, a higher BT usage cost increases the wholesale and retail prices but decreases the recycling rates. A higher BT usage cost will lead the manufacturer to increase wholesale prices to compensate for the cost increase brought about by BT adoption. And thus, the retailer also sets higher retail prices to deal with rising wholesale prices. Specially, a higher BT usage cost will let the retailer and TPR to decrease the recycling rates regardless of whether monopolistic recycling or competitive recycling, which is different from Zhang et al. [21]. This indicates that enterprises should make their decisions of prices and recycling rates according to the parameters of BT.

5.2. Comparison Analysis

We comparatively analyze the optimal outcomes among the models N , B , C N and C B , and derive the following conclusions.
First, we compare the optimal results between the two models B ( C B ) and N ( C N ) to explore how enterprises optimize the CLSC while integrating BT.
Proposition 3. 
The relationships of results between the two models B ( C B ) and N ( C N ) are described in Table 6.
The proof of Proposition 3 can be found in Appendix G. From Proposition 3 and Table 6, we can derive that the usage cost c b of BT does not affect the optimal wholesale and retail prices and demands for new products between the two models B ( C B ) and N ( C N ), while it significantly affect the optimal recycling rates and demands for remanufactured products. First, irrespective of whether monopolistic or competitive recycling mode is implemented, the wholesale and retail prices in the model B are higher than these in the model N . When BT is adopted, the manufacturer and retailer will increase their wholesale and retail prices, respectively. But the demands for new products are the same, they are not affected by the BT adoption and recycling mode. Second, we derive that BT can increase the recycling rates when the BT usage cost c b is low (i.e., c b < λ ( 1 t ) ), regardless of whether monopolistic or competitive recycling mode is implemented. That is because BT adoption can expand the potential demand and motivate the retailer or TPR to recycle more used products. When the BT usage cost c b is low (i.e., c b < λ ( 1 t ) ), regardless of whether recycling mode is implemented or not, the BT adoption can also expand the demands for remanufactured products. This shows that BT adoption can expand the potential market demand and recycling volume of used products. Therefore, CLSC members should control the BT usage cost c b and set appropriate prices, which can motivate the retail and TPR to increase recycling rates of used products, thereby improving market demand. These results validated the conclusion of Qiao et al. [71].
Next, we compare the optimal decisions between the two models C N ( C B ) and N ( B ) to explore the impact of recycling mode on CLSC members’ decisions.
Proposition 4. 
The relationships of outcomes between the two models C N ( C B ) and N ( B ) are shown in Table 7.
The proof of Proposition 4 can be found in Appendix H. Proposition 4 and Table 7 show that the competitive intensity α affects the wholesale and retail prices, and demands for remanufactured products in the four models N , B , C N , and C B . First, regardless of whether BT is adopted or not, comparing the case under the R-mode, when the competitive intensity α is lower than a threshold (i.e., 0 < α 4 C δ ( B A ) 2 8 C δ ( B A ) 2 or 0 < α B A + B ), the manufacturer and retailer will increase the wholesale and retail prices when the C-mode is used, respectively. Otherwise, the manufacturer and retailer will set lower wholesale and retail prices under the C-mode, respectively. Second, comparing the case under the R-mode, the retailer decreases the recycling rates when the competitive recycling mode is implemented, whether BT is adopted or not. This indicates that although enterprises can set higher wholesale or retail prices when the competitive intensity is low, the competition will reduce their enthusiasm for recycling used products. These findings are different from the conclusions in Ranjbar et al. [1]. Third, the recycling mode and BT adoption do not affect the demands for new products in the four models, and they only affect the demands for remanufactured products. Whether BT is adopted or not, when the competitive intensity is low (i.e., 0 < α B A + B ), the demand for remanufactured products is higher when R-mode is implemented than that when C-mode is implemented. That is because the retailer increases the retail prices when C-mode is implemented. Therefore, enterprises should set appropriate prices and decide recycling rates according to the competitive intensity. This finding validates the conclusion of He et al. [72].

5.3. Choice of CLSC Members

We compare the optimal profits of CLSC members among the models N , B , C N and C B , and analyze the impacts of the recycling mode and BT on their profits.
Proposition 5. 
The manufacturer’s profits satisfy:
(1)
If c b ( 1 t ) λ , then π M B π M N ( π M C B π M C N ); otherwise, π M B < π M N ( π M C B < π M C N ).
(2)
If α B A + B , then π M C N π M N ( π M C B π M B ); otherwise, π M C N < π M N ( π M C B < π M B ).
The proof of Proposition 5 can be found in Appendix I. From Proposition 5(1), we know that whether the monopolistic (i.e., R-mode) or competitive recycling mode (i.e., C-mode) is implemented, when the BT usage cost c b is lower than a threshold (i.e., c b ( 1 t ) λ ), BT adoption always brings more profits to the manufacturer. That is because when the BT usage cost is small, the retailer increases the recycling rates, thereby expanding the demand for remanufactured products. In addition, the manufacturer also increases the wholesale prices, thus obtaining more benefits to the manufacturer. This verifies the impact of BT adoption on manufacturers’ profits in Zhang et al. [21]. In contrast, BT adoption will damage manufacturers’ benefits. Therefore, CLSC enterprises should control BT usage costs to motivate retailers to increase the recycling rates, and thus expanding demands for remanufactured products. These results explain why many firms have adopted BT to solve recycling issues [73]. For example, Audi, a well-known German car manufacturer, partnered with the blockchain startup Circularise to precisely track the complex details of the battery supply chain and promote sustainable design decisions. This collaboration aligns well with the growing consumer demand for information transparency and sustainability [74].
Proposition 5(2) indicates that whether BT is adopted or not, when the competitive intensity α is higher than a threshold (i.e., α B A + B ), the competitive recycling mode (i.e., C-mode) can bring more benefits to the manufacturer, and thus, manufacturers prefer retailers and TPRs to competitively recycle used products. For example, Tesla recycles used batteries from the market through retailers while encouraging third-party recyclers to participate in the recycling competition [16]. This finding is contrary to our common sense and conclusion in Hong et al. [34]. That is because the retailer decreases the retail prices when the competitive intensity is high, thereby expanding the demands for remanufactured products. The profits brought by the increase in demands is greater than the profits brought by the decrease in wholesale prices. Therefore, whether BT is adopted or not, manufacturers prefer the competitive recycling mode only when the competitive intensity is sufficiently large. On the contrary, manufacturers prefer the retailers to monopolistically recycle used products. As a result, the competitive recycling mode can benefit manufacturers only under certain conditions. These findings are different from the conclusions in Ranjbar et al. [1].
To describe the effect of recycling mode and BT and meet the above parameter assumptions, following Zhou et al. [16] and Zhang et al. [59], we set c n = 0.5 , c r = 0.2 , δ = 0.7 , λ = 0.5 , t = 0.5 , A = 0.1 , B = 0.2 , and C = 0.1 . We calculate the thresholds c b 0 = ( 1 t ) λ = 0.25 , α 0 = B A + B = 0.82 , and c b 1 = δ + λ c r = δ + 0.3 , parameters c b , and α vary within [ 0 , 1 ] . We also take α = 0.65 and α = 0.95 to examine the effect of value discount and BT usage cost on the manufacturer’s profit when δ varies within [ 0 , 1 ] . The impact of recycling mode, BT, and consumer’s value discount on the manufacturer’s optimal profit is shown in Figure 3.
Figure 3a indicates that BT adoption benefits the manufacturer when the BT usage cost c b is low (i.e., c b c b 0 = 0.25 ), regardless of whether monopolistic or competitive recycling mode is implemented. It is suggested that enterprises should control BT usage costs. For example, Bosch has partnered with Fetch.ai, an artificial intelligence company, to leverage their blockchain technology for the industrial sector. Fetch.ai provides expertise in blockchain, while Bosch brings its industrial and engineering knowledge to the collaboration. Through this partnership, Bosch has successfully reduced the usage cost of blockchain technology [75]. However, small manufacturers do not possess the same industrial expertise and scale advantages as Bosch. Therefore, their ability to control the usage cost of blockchain technology is lower than that of larger manufacturers. Moreover, manufacturers can derive more profits from implementing competitive recycling mode only when the competitive intensity is high (i.e., α α 0 = 0.82 ). Under most conditions, the competitive recycling mode is disadvantageous to manufacturers. Different from Han et al. [27], we suggest that enterprises should choose the recycling mode according to the recycling competitive intensity between retailers and TPRs.
From Figure 3b, we can find that the competitive intensity, BT usage cost, and consumer’s value discount significantly affect the manufacturer’s profits. Only when the BT usage cost is low (i.e., c b c b 0 = 0.25 ) and competitive intensity is great (i.e., α α 0 = 0.82 ), the C-mode with BT is the best choice for the manufacturer. On the contrary, the R-mode without BT is the most beneficial for the manufacturer. When the BT usage cost is high (i.e., c b c b 1 = δ + 0.3 ), an invalid range arises. Different from Ma et al. [76], we suggested enterprises can adopt BT to improve recycling the rate by controlling the usage costs of BT. This also indicates that appropriate competition is beneficial for product recycling and enterprises.
Proposition 6. 
The retailer’s profits satisfy:
(1)
If c b ( 1 t ) λ , then π R B π R N ; otherwise, π R B < π R N .
(2)
If c b ( 1 t ) λ and 5 1 2 α < 1 or c b > ( 1 t ) λ , 0 < α < 5 1 2 and ( B A ) 2 4 δ < C < ( 1 α 2 ) ( 1 + α ) ( B A ) 2 4 δ , then π R C B π R C N ; otherwise, π R C B < π R C N .
(3)
If α α 1 , then π R C N π R N , π R C B π R B ; otherwise, π R C N < π R N , π R C B < π R B .
The proof of Proposition 6 can be found in Appendix J. From Proposition 6(1), we can find that when R-mode (i.e., models B and N ) is implemented and the BT usage cost is low (i.e., c b ( 1 t ) λ ), BT adoption can bring more benefits to the retailer. On the contrary, BT will damage the retailer’s profits. This is a unanimous choice between manufacturers and retailers.
Proposition 6(2) shows that when C-mode (i.e., models C B and C N ) is implemented, only when the BT usage cost is small (i.e., c b ( 1 t ) λ ) and the competitive intensity is high (i.e., 5 1 2 α < 1 ) or the BT usage cost is great, the competitive intensity is low and the investment cost coefficient of recycling is in a certain range (i.e., c b > ( 1 t ) λ , 0 < α < 5 1 2 and ( B A ) 2 4 δ < C < ( 1 α 2 ) ( 1 + α ) ( B A ) 2 4 δ ), the BT can benefit the retailer, otherwise, the retailer does not prefer BT. These findings partly verify the conclusions in Dwivedi et al. [77]. Therefore, it is suggested that retailers should motivate manufacturers to control usage costs of BT, and increase recycling rates by adopting appropriate BT.
Proposition 6(3) indicates that whether BT is adopted or not, when the competitive intensity α is higher than a threshold (i.e., α α 1 ), comparing the R-mode, the competitive recycling mode (i.e., C-mode) benefits the retailer, therefore, retailers prefer to recycle used products together with TPR. That is because the retailer decreases the retail prices when the competitive intensity is great, thereby expanding the demands for remanufactured products. The profits brought by the increase in demands is greater than the profits brought by the decrease in retail prices. Therefore, whether BT is adopted or not, retailers prefer the competitive recycling mode only when the competitive intensity is sufficiently large. On the contrary, retailers would like to monopolistically recycle used products. As a result, the competitive recycling mode can benefit retailers only under certain conditions. These findings are different from the conclusions in Ranjbar et al. [1].
Under the above parameter settings, we calculate the thresholds c b 0 = 0.25 , α 1 = 0.78 , and c b 1 = δ + 0.3 . When δ [ 0 , 1 ] , the root we solved for α is α 1 [ 0.7838 , 0.7839 ] . The impact of recycling mode, BT, and consumer’s value discount on the retailer’s optimal profit is shown in Figure 4.
From Figure 4a, we can find that regardless of whether R-mode or C-mode is implemented, BT adoption benefits the retailer only when the BT usage cost c b is small (i.e., c b c b 0 = 0.25 ). In addition, retailers can benefit from implementing competitive recycling mode only when the competitive intensity is high (i.e., α α 1 = 0.78 ). That is to say, under most conditions, the competitive recycling mode is disadvantageous to retailers. Different from the conclusions obtained by Liu et al. [9], we suggest that enterprises should choose the recycling mode according to the recycling competitive intensity between retailers and TPRs.
Similar to Figure 3b, Figure 4b shows that the competitive intensity, BT usage cost, and consumer’s value discount also significantly affect the retailer’s profits. Only when the BT usage cost is small (i.e., c b c b 0 ) and competitive intensity is great (i.e., α α 1 = 0.78 ), the C-mode with BT (i.e., Model C B ) is the best choice for retailers. On the contrary, the R-mode without BT (i.e., Model N ) is the best choice. When the BT usage cost is high (i.e., c b c b 1 = δ + 0.3 ), an invalid range arises. Different from He et al. [72], we suggested CLSC enterprises can adopt BT to improve the recycling rate by controlling its usage costs, and maintaining appropriate competition is beneficial for both firms and product recycling.
From Figure 3 and Figure 4, we obtain a consistent choice for CLSC members, as shown in Figure 5.
From Figure 5, we can find that when the competitive intensity and BT usage cost satisfy certain conditions, the manufacturer and retailer have different choices. First, whether BT is adopted or not, when the competitive intensity is low (i.e., α α 1 = 0.78 ), the R-mode (i.e., Models N and B ) is the best choice for manufacturers and retailers. While when the competitive intensity is great (i.e., α α 0 = 0.82 ), the C-mode (i.e., Models C N and C B ) is the most beneficial for CLSC enterprises. Different from Ranjbar et al. [1] and Liu et al. [9], we suggest that CLSC firms should choose an appropriate recycling mode according to the competitive intensity. Second, regardless of whether monopolistic or competitive recycling mode is implemented, BT adoption benefits CLSC firms under most conditions. For example, Everledger and Lazada have adopted BT to enhance transparency in their supply chains [22,78]. Especially, when the BT usage cost is low (i.e., c c b 0 = 0.25 ) and competitive intensity is high (i.e., α α 0 = 0.82 ), C-mode with BT (i.e., Model C B ) can bring more benefits for CLSC enterprises. On the contrary, R-mode without BT (i.e., Model N ) is the consistent choice for CLSC firms. Finally, whether BT is adopted or not, manufacturers and retailers have a consistent choice for recycling mode only the threshold is different. Whether monopolistic or competitive recycling mode is implemented, manufacturers and retailers also have a consistent choice regarding the BT adoption. This is different from the conclusion of Ranjbar et al. [1]. Therefore, CLSC firms should carefully evaluate decisions according BT usage costs and competitive intensities between retailers and TPRs.

6. Impact of BT and Recycling Mode on Consumers, the Environment and Society

The influence of BT usage cost and competitive intensity on consumers, the environment, and society in the models N , B , C N , and C B are investigated.
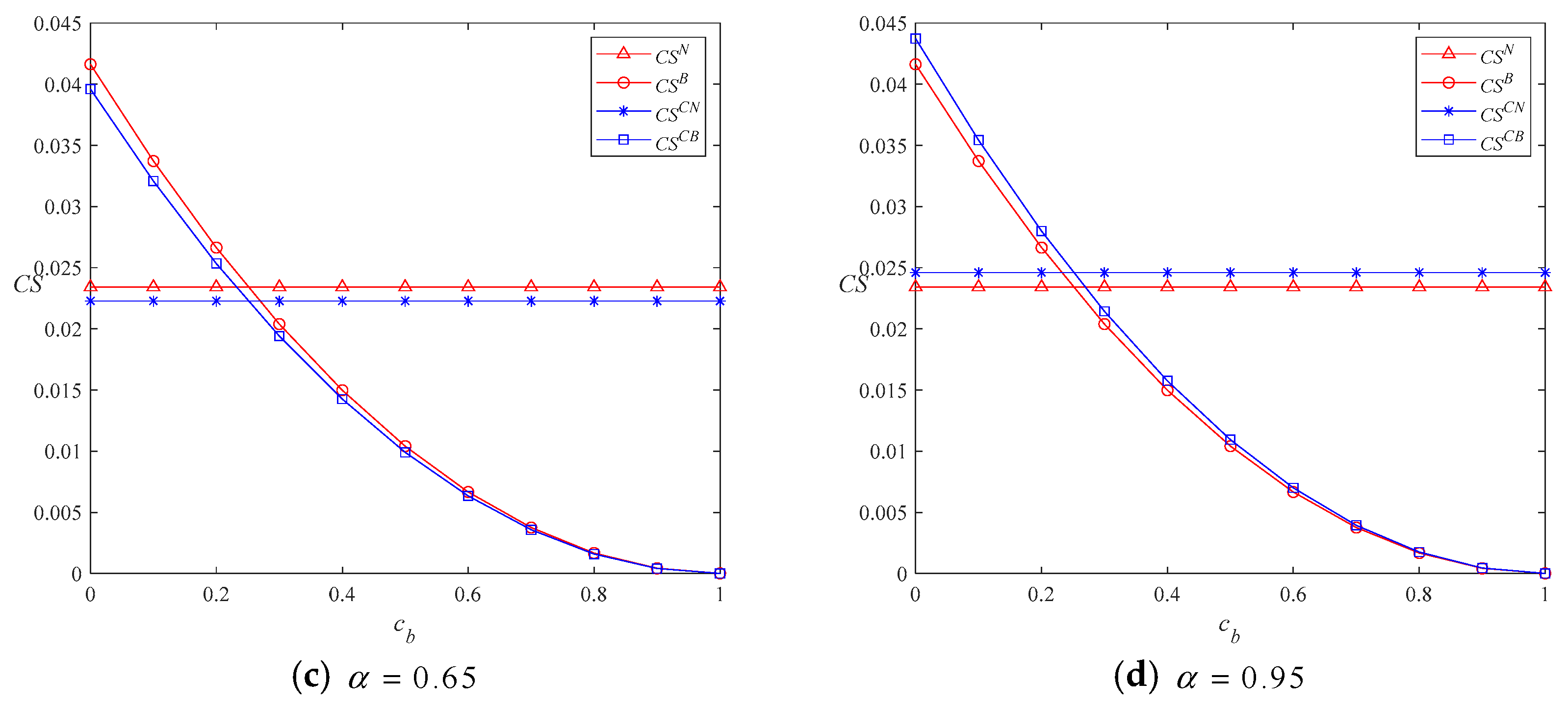
In a CLSC, consumer surplus refers to the difference between the highest price consumers are willing to pay and the price they actually pay. Following Zhang et al. [59] and Ding et al. [79], the consumer surplus in the CLSC is calculated as C S = 1 q r q n 1 q n ( δ θ p r + λ t ) d θ + 1 q n 1 ( θ p n + λ t ) d θ . Thus, the impact of BT and recycling mode on consumer surplus is shown in Figure 6.
Figure 6 shows that a higher competitive intensity increases the consumer surplus in the model C N or C B . While a higher BT usage cost decreases the consumer surplus (i.e., model B or C B ). When the BT usage cost is lower than 0.25, BT adoption benefits CLSC firms, and when the competitive intensity is higher than 0.82, CLSC firms will implement competitive recycling mode. Especially, from Figure 6a,b, we can find that no matter monopolistic or competitive recycling mode is implemented, the consumers surplus in the model B ( C B ) is higher than that in the model N ( C N ) when BT is adopted (i.e., c b 0.25 ). BT adoption always benefits consumers. Therefore, CLSC enterprises should adopt BT to expand potential demand and motivate consumers to recycle products. This finding verifies the conclusion in Li et al. [80]. Moreover, when the competitive intensity is larger than a given threshold, the consumer surplus in the model C B is the highest when BT is adopted. On the contrary, the consumer surplus in the model C N is the highest. In other words, when the BT usage cost is low and competitive intensity is high, consumers prefer C-model with BT, which is also the consistent choice for CLSC firms. Different from Ranjbar et al. [1], these findings indicate that moderate competition is also beneficial for consumers. In short, the choices of BT adoption and recycling mode are consistent between CLSC enterprises and consumers.
Figure 6c,d indicates that whether BT is adopted or not, when the competitive intensity is lower than a threshold (i.e., α 0.82 ), the consumer surplus in the model B ( N ) is larger than that in the model C B ( C N ). Otherwise, the consumer surplus when C-mode is implemented is larger than that when R-mode is implemented. This shows that whether BT is adopted or not, the competitive recycling mode is beneficial for consumers when the competitive intensity is high. In addition, when the competitive intensity is high and BT usage cost is low, the consumer surplus in the model C B is the largest. This indicates that consumers prefer the competitive recycling mode and BT adoption when CLSC firms control BT usage costs and competitive intensity is high. These findings also indicate that CLSC firms should control BT usage costs, and retailers and TPRs maintain moderate competition in recycling used products regarding implementing competitive recycling mode to improve consumer satisfaction.
In a CLSC, environmental impact refers to the effects of each stage of the supply chain on the environment. When manufacturers produce new and remanufactured products, they consume raw materials and energy, emitting greenhouse gases and other pollutants, which negatively impact the environment [81]. Following Zhang et al. [59], Gong et al. [63] and Ding et al. [79], the environmental impact is calculated as E = e n q n + e r q r . According to the report of the Government of Canada, compared to new products, remanufactured products not only reduce raw material consumption but also decrease air pollution by 80% and save 60% of energy [82]. We set e n = 0.3 and e r = 0.1 [24]. Thus, the impact of BT and recycling mode on the environment is shown in Figure 7.
Figure 7 show that no matter whether BT is adopted or not, a higher competitive intensity increases the environmental impact when the competitive recycling mode is implemented (i.e., Model C N or C B ). While a higher BT usage cost decreases the environmental impact in the model B or C B , regardless of whether monopolistic or competitive recycling mode is implemented. From Figure 7a,b, we can find that when the BT usage cost is low, the environmental impact in the model B ( C B ) is always higher than that in the model N ( C N ). Irrespective of whether monopolistic or competitive recycling mode is implemented, BT adoption damage the environment. This finding verifies the conclusion in Zhang et al. [21]. That is because BT adoption can expand potential market demand, thereby increasing the environmental impact. In addition, after adopting BT (i.e., c b 0.25 ), when the competitive intensity is a higher threshold, the environmental impact in the model B is lower, otherwise, the environmental impact in the model C B is lower. In other words, the monopolistic recycling mode is beneficial for the environment when the competitive intensity is high. On the contrary, the competitive recycling mode benefits the environment. Therefore, CLSC enterprises should reasonably adopt BT and implement recycling mode according to the BT usage costs and competitive intensity.
Figure 7c,d indicate that whether BT is adopted or not, when the competitive intensity is low, CLSC firms will choose R-mode, which is detrimental to the environment. On the contrary, C-mode is implemented, which is also detrimental to the environment. In other words, the recycling mode chose by CLSC enterprises is detrimental to the environment. In addition, when the BT usage cost is lower than a threshold, the environmental impact in the model C N is the lowest, otherwise, the environmental impact in the model C B is the lowest. This indicates that the choice of recycling mode and BT adoption from an environmental perspective is inconsistent with the choice of CLSC enterprises. This is different from Ranjbar et al. [1] and Zhang et al. [21]. Therefore, CLSC firms should comprehensively consider whether to adopt BT and which recycling mode to implement, while increasing recycling efforts to reduce environmental impact.
Social welfare is a comprehensive measure of the total economic and social benefits for all parties involved in the supply chain. Specifically, social welfare in a CLSC includes the following aspects: the profits of manufacturers, retailers, and TPRs, consumer surplus, and environmental benefits. Following Zhang et al. [59] and Cao et al. [67], the environmental cost is a linear function of environmental impact, i.e., v E , thus, the social welfare is described as S W = π M + π R + π T + C S v E [65], and v is set to be v = 0.5 [59,68]. The impact of BT and recycling mode on society is shown in Figure 8.
Figure 8 shows that a higher competitive intensity increases the social welfare in the model C N or C B , while a higher BT usage cost decreases the social welfare in the model B or C B . Only when the competitive intensity is higher than 0.82, CLSC firms will choose the competitive recycling mode (i.e., C-mode), and when the BT usage cost is lower than 0.25, CLSC firms will adopt BT. Figure 8a,b show that, when the BT usage cost is low, regardless of whether monopolistic or competitive recycling mode is implemented, BT adoption is beneficial for society, which is the same in Zhang et al. [21], Li et al. [80], and Xu and Duan [83]. Moreover, whether BT is adopted or not, when the competitive intensity is low, the social welfare in the model B is the highest, while when the competitive intensity is high, the social welfare in the model C B is the highest. In other words, when the competitive intensity is high, CLSC firms choose the competitive recycling mode (i.e., C-mode), which is also beneficial for society. On the contrary, R-mode chosen by CLSC firms benefits society.
From Figure 8c,d, we can derive that when the competitive intensity is low, that is to say, when CLSC firms implement the monopolistic recycling mode, no matter whether BT is adopted or not, CLSC firms implement the monopolistic or competitive recycling mode under certain conditions, which is also beneficial for the society. In addition, when the competitive intensity and BT usage cost are all low, the social welfare in the model B is the highest, that is, R-mode with BT benefits the society. When the competitive intensity is low and BT usage cost is high, the R-mode without BT is the best choice for the society, which is consistent with the choice of CLSC enterprises. When the competitive intensity is high and BT usage cost is low, the C-mode with BT is the most beneficial for the society. While when the competitive intensity and BT usage cost are all high, the C-mode without BT is the best choice. In summary, from the perspective of society, the competitive recycling mode is the best choice when the competitive intensity is high, and BT adoption is beneficial when CLSC firms control BT usage costs. These findings partly verify the conclusion in Xu and Duan [84]. As a result, CLSC firms should control BT usage costs, and choose the recycling mode according to competitive intensities.
From Figure 3, Figure 4, Figure 5, Figure 6, Figure 7 and Figure 8, we can determine that regardless of whether monopolistic or competitive recycling mode is implemented, the manufacturer will adopt BT when the BT usage cost is low, which is also the best choice for the retailer, consumers, and society [21,80]. For example, internationally recognized food manufacturer Nestle and Dole Food Company uses IBM’s blockchain-based food traceability system (Food Trust) to provide consumers with real-time access to food information to prevent fraud and increase consumer trust [84]. In addition, the retailer will choose the monopolistic recycling mode when the competitive intensity is low, and he will choose the competitive recycling mode only when the competitive intensity is high, which also benefits the manufacturer, consumers, and society. Consequently, maintaining a certain level of competition under certain conditions is beneficial for all parties involved in CLSC. This finding is different from Ranjbar et al. [1]. Thus, CLSC firms should choose an appropriate recycling mode. Therefore, a consistent outcome can be derived by selecting recycling mode and BT.

7. Conclusions

7.1. Main Findings

This paper investigates the impact of blockchain technology (BT) on recycling modes, i.e., monopolistic recycling mode (R-mode) and competitive recycling mode (C-mode) in a closed-loop supply chain (CLSC). We construct four models N , B , C N , and C B , and propose a Stackelberg game involving a manufacturer and a retailer or a third-party recycler (TPR). We delve into the strategies for adopting BT and implementing recycling mode in a CLSC. Additionally, we analyze the impact of BT and recycling mode on consumers, the environment, and society. The results are as follows.
First, we investigate how to implement recycling mode between monopolistic and competitive recycling mode, considering both cases with and without BT. Previous studies have demonstrated that enterprises will choose competitive recycling mode when the competitive intensity is low [9]. Different from them, we find that as the competitive intensity increases, the manufacturer and retailer reduce wholesale and retail prices, respectively. And the competitive recycling mode is the most beneficial for CLSC firms only when the competitive intensity is higher than a specific threshold. For example, BYD, China’s largest electric vehicle manufacturer, reached a cooperation with GEM as early as 2015 to jointly build a power battery recycling system [85], and recycle waste power batteries through 4S stores [86]. These two recycling channels operate in a competitive relationship, each endeavoring to attract consumers to recycle their used EV batteries.
Second, we explore the impact of BT adoption on CLSC members’ decisions. Several scholars have demonstrated that BT can help consumers access product information and expand benefits of firms [51,87]. Conversely, we derive that CLSC firms will adopt BT only when the BT usage cost is low, whether monopolistic or competitive recycling mode is implemented. For instance, Next Energy, a solar PV manufacturer in Japan, has partnered with the Mitsubishi Research Institute to utilize BT to recycle used solar modules and authentically record solar module recycling information [76].
Third, our study examines the impact of BT on recycling mode, and their effects on CLSC firms, consumers, the environment, and society. Previous studies have separately considered BT and recycling mode [22,27], with even less consideration given to competitive recycling mode [1]. In contrast, we demonstrate that affected by BT adoption, only when the competitive intensity is higher than a specific threshold, CLSC enterprises will implement a competitive recycling mode, which also benefits consumers and society. On the contrary, CLSC firms will implement a monopolistic recycling mode when the competitive intensity is sufficient low.

7.2. Managerial Implications

Based on these findings, we make several managerial recommendations as follows.
First, we find that under specific conditions of competitive intensity, manufacturers will decrease wholesale prices, and then retailers will decrease the recycling rate and retail prices when they compete with TPRs to recycling used products. But the demand for remanufactured products is increased, which is beneficial for consumers and the environment. To choose the appropriate recycling mode, manufacturers should thoroughly investigate the competitive intensity of the recycling market before making their decision. When competitive intensity is high, manufacturers should opt for a competitive recycling mode, which not only yields higher profits but also benefits consumers and society. Conversely, when competitive intensity is low, manufacturers should choose a monopolistic recycling mode, which is more advantageous for their own profits, consumers, and society.
Second, we observed that manufacturers will adopt BT when the usage cost is below a specific threshold. The BT adoption can enable CLSC enterprises to increase wholesale and retail prices, recycling rates, while increasing demands, and thereby bringing more benefits to firms, consumers, and society, however, it also damages the environment. As a result, CLSC manufacturers should investigate and choose the appropriate blockchain adoption strategy, then balance the benefits and drawbacks of BT adoption and adjustment their operational strategies by considering the environmental impact. CLSC retailers should increase recycling efforts to alleviate the environmental impact of BT adoption.
Third, we deduce that the implementing competitive recycling mode with BT brings more benefits to CLSC firms, consumers, and society only when the BT usage cost is low and competitive intensity is high. It is imperative for CLSC enterprises to strategically implement recycling mode and adopt BT, thereby deriving benefits. In addition, they should engage in recycling used products to mitigate the environmental impact caused by adopting BT. Therefore, enterprises need to maintain a certain level of competition to implement a competitive recycling mode and use the information sharing convenience brought by BT.

7.3. Limitations and Future Research

Our research can be expanded from the following aspects. First, the transfer price for manufacturers to recycle used products from retailers and TPRs is a fixed parameter in our study. However, in practice, manufacturers decide the transfer price according to different scenarios to ensure that they obtain higher outcomes [88]. In the future, transfer price can be used as a decision variable. Second, we only consider the ability of blockchain technology (BT) to improve the transparency of product information and did not consider consumers’ concerns about privacy leakage [63] and the high energy consumption of BT [45]. Future research can fully explore the positive and negative impacts of BT on supply chain operations. Third, in our study, manufacturers adopt and bear usage costs of BT, but some scholars argue that retailers should share usage costs. Relevant future research should investigate the different usage cost sharing strategies in closed-loop supply chain operations.

Author Contributions

Conceptualization, X.Z. and H.Z.; methodology, H.Z.; software, H.Z. and T.H.; validation, X.Z., H.Z. and Q.M.; formal analysis, X.Z.; investigation, H.Z.; writing—original draft preparation, X.Z., H.Z. and T.H.; writing—review and editing, X.Z. and Q.M.; visualization, Q.M.; supervision, X.Z.; project administration, X.Z.; funding acquisition, X.Z. and Q.M. All authors have read and agreed to the published version of the manuscript.

Funding

This research was supported by Outstanding Youth Scientific Research Project of Philosophy and Social Sciences in Colleges and University of Anhui Province (Grant No. 2022AH020080), the University Top-notch Personnel Funding Project (Grant No. gxbjZD2022036), and the Humanities and Social Sciences Project of Anhui University (Grant No. 2022AH051291).

Institutional Review Board Statement

Not applicable.

Informed Consent Statement

Not applicable.

Data Availability Statement

Data are contained within the article.

Conflicts of Interest

The authors declare no conflicts of interest.

Appendix A

Proof of equilibrium results in the model N. 
In the model N , by substituting q n N and q r N into π M N and π R N , the Hessian matrix of π R N in terms of p n N , p r N , and τ R N is H N 1 = 2 1 δ 2 1 δ 0 2 1 δ 2 δ ( 1 δ ) A B δ 0 A B δ 2 C . From the assumptions 0 < δ < 1 and A < B , it is shown that H 1 N 1 = 2 1 δ < 0 , H 2 N 1 = 4 δ ( 1 δ ) > 0 , and H 3 N 1 = 2 ( ( B A ) 2 4 C δ ) δ 2 ( 1 δ ) . If C > ( B A ) 2 4 δ , then H 3 N 1 < 0 , thus, H N 1 is negative definite, and π R N is strictly concave with respect to p n N , p r N , and τ R N . Therefore, we only focus on the case of C > ( B A ) 2 4 δ , which is held throughout this paper. It can be obtained from π R N p n N = π R N p r N = π R N τ R N = 0 that, p n N = 4 C δ ( 1 + λ t + w n N ) ( B A ) 2 ( 1 + δ + 2 λ t + w n N w r N ) 2 ( 4 C δ ( B A ) 2 ) , p r N = 2 C δ ( δ + λ t + w r N ) ( B A ) 2 ( δ + λ t ) 4 C δ ( B A ) 2 , and τ R N = ( B A ) ( δ + λ t w r N ) 4 C δ ( B A ) 2 .
By substituting p n N , p r N , and τ R N into π M N , the Hessian matrix of π M N in terms of w n N and w r N is H N 2 = 1 1 δ 1 1 δ 1 1 δ 4 C δ ( A 2 3 A B + 2 B 2 4 C ) ( B A ) ( ( B A ) 3 + 4 A C ) ( 1 δ ) ( 4 C δ ( B A ) 2 ) 2 . It is shown that H 1 N 2 < 0 and H 2 N 2 = 4 C ( 4 C δ + A B A 2 ) ( 1 δ ) ( 4 C δ ( B A ) 2 ) > 0 , thus H N 2 is negative definite, and π M N is strictly concave with respect to w n N and w r N . From π M N w n N = π M N w r N = 0 , we have w n N * = 1 + c n + λ t 2 + B ( B A ) ( δ + λ t c r ) 2 ( A B A 2 + 4 C δ ) and w r N * = δ + c r + λ t 2 + ( B 2 A B ) ( δ + λ t c r ) 2 ( A ( B A ) + 4 C δ ) .
Substituting w n N * and w r N * into p n N , p r N , and τ R N , we have p n N * = 3 + c n + 3 λ t 4 + ( A B A 2 ) ( δ + λ t c r ) 4 ( A ( B A ) + 4 C δ ) , p r N * = δ + λ t + C δ ( c r δ λ t ) A B A 2 + 4 C δ , and τ R N * = ( B A ) ( δ + λ t c r ) 2 ( ( A B A 2 ) + 4 C δ ) . In order to make the results meaningful, we assume that δ + λ t c r 0 . □

Appendix B

Proof of equilibrium results in the model B. 
In the model B , by substituting q n B and q r B into π M B and π R B , the Hessian matrix of π R B in terms of p n B , p r B , and τ R B is H B 1 = 2 1 δ 2 1 δ 0 2 1 δ 2 δ ( 1 δ ) A B δ 0 A B δ 2 C . From the assumption C > ( B A ) 2 4 δ , we have H 1 B 1 = 2 1 δ < 0 , H 2 B 1 = 4 δ ( 1 δ ) > 0 , and H 3 B 1 = 2 ( ( B A ) 2 4 C δ ) δ 2 ( 1 δ ) < 0 , thus, H B 1 is negative definite, and π R B is strictly concave with respect to p n B , p r B , and τ R B . It can be obtained from π R B p n B = π R B p r B = π R B τ R B = 0 that, p n B = 4 C δ ( 1 + t + w n B ) ( B A ) 2 ( 1 + δ + 2 t + w n B w r B ) 2 ( 4 C δ ( B A ) 2 ) , p r B = 2 C δ ( δ + t + w r B ) ( B A ) 2 ( δ + t ) 4 C δ ( B A ) 2 , and τ R B = ( B A ) ( δ + t w r B ) 4 C δ ( B A ) 2 .
By substituting p n B , p r B , and τ R B into π M B , the Hessian matrix of π M B in terms of w n B and w r B is H B 2 = 1 δ 1 1 1 δ 1 1 δ 4 C δ ( A 2 3 A B + 2 B 2 4 C ) ( B A ) ( ( B A ) 3 + 4 A C ) ( 1 δ ) ( 4 C δ ( B A ) 2 ) 2 . It is shown that H 1 B 2 = 1 δ 1 < 0 and H 2 B 2 = 4 C ( 4 C δ + A B A 2 ) ( 1 δ ) ( 4 C δ ( B A ) 2 ) > 0 , thus H B 2 is negative definite, and π M B is strictly concave with respect to w n B and w r B . From π M B w n B = π M B w r B = 0 , we have w n B * = 1 + c b + c n + t 2 + ( B 2 A B ) ( δ + t c b c r ) 2 ( A B A 2 + 4 C δ ) and w r B * = c b + c r + δ + t 2 + ( B 2 A B ) ( δ + t c b c r ) 2 ( A B A 2 + 4 C δ ) .
Substituting w n B * and w r B * into p n B , p r B , and τ R B , we have p n B * = 3 + c b + c n + 3 t 4 + ( A B A 2 ) ( δ + t c b c r ) 4 ( A ( B A ) + 4 C δ ) , p r B * = δ + t + C δ ( c b + c r δ t ) A ( B A ) + 4 C δ , and τ R B * = ( B A ) ( δ + t c r c b ) 2 ( A B A 2 + 4 C δ ) . In order to make the results meaningful, we assume that δ + t c r c b 0 . □

Appendix C

Proof of equilibrium results in the model CN. 
In the model C N , by substituting q n C N and q r C N into π M C N , π R C N and π T C N , the Hessian matrix of π R C N in terms of p n C N , p r C N and τ R C N is H C N 1 = 2 1 δ 2 1 δ 0 2 1 δ 2 δ ( 1 δ ) A B δ 0 A B δ 2 C 1 α 2 . From the assumption C > ( B A ) 2 4 δ , we have H 1 C N 1 = 2 1 δ < 0 , H 2 C N 1 = 4 δ ( 1 δ ) > 0 , and H 3 C N 1 = 2 ( 4 C δ ( 1 α 2 ) ( B A ) 2 ) δ 2 ( 1 δ ) ( 1 α 2 ) < 0 , thus, H C N 1 is negative definite, and π R C N is strictly concave with respect to p n C N , p r C N , and τ R C N . Since 2 π T C N τ T C N 2 = 2 C ( 1 α 2 ) < 0 , π T C N is strictly concave with respect to τ T C N . From π R C N p n C N = π R C N p r C N = π R C N τ R C N = 0 and π T C N τ T C N = 0 , we have p n C N = 4 C δ ( 1 + λ t + w n C N ) ( B A ) 2 ( 1 + δ + 2 λ t + w n C N w r C N ) 2 ( 4 C δ ( 1 α 2 ) ( B A ) 2 ) , p r C N = 2 C δ ( δ + λ t + w r C N ) ( 1 α 2 ) ( B A ) 2 ( δ + λ t ) 4 C δ ( 1 α 2 ) ( B A ) 2 , and τ R C N = τ T C N = ( 1 α 2 ) ( B A ) ( δ + λ t w r C N ) 4 C δ ( 1 α 2 ) ( B A ) 2 .
By substituting p n C N , p r C N , τ R C N , and τ T C N into π M C N , the Hessian matrix of π M C N in terms of w n C N and w r C N is H C N 2 = 1 1 δ 1 1 δ 1 1 δ 4 C δ ( ( 1 α 2 ) ( B A ) ( 3 B A ) 4 C ) ( 1 α 2 ) ( 4 C ( B 2 A 2 ) + ( 1 α 2 ) ( B A ) 4 ) ( 1 δ ) ( 4 C δ ( 1 α 2 ) ( B A ) 2 ) 2 . From the assumption C > ( B A ) 2 4 δ , we have H 1 C N 2 = 1 1 δ < 0 and H 2 C N 2 = 4 C ( 4 C δ + ( 1 α 2 ) ( B 2 A 2 ) ) ( 1 δ ) ( 4 C δ ( 1 α 2 ) ( B A ) 2 ) 2 > 0 , thus, H C N 2 is negative definite, and π M C N is strictly concave with respect to w n C N and w r C N . From π M C N w n C N = π M C N w r C N = 0 , we have w n C N * = 1 + c n + λ t 2 + ( 1 α 2 ) ( B 2 A B ) ( δ + λ t c r ) ( 1 α 2 ) ( B 2 A 2 ) + 4 C δ and w r C N * = c r + δ + λ t 2 + ( 1 α 2 ) ( B 2 A B ) ( δ + λ t c r ) ( 1 α 2 ) ( B 2 A 2 ) + 4 C δ .
Substituting w n C N * and w r C N * into p n C N , p r C N , τ R C N , and τ T C N , we have p n C N * = 3 + c n + 3 λ t 4 + ( 1 α 2 ) ( B 2 A 2 ) ( δ + λ t c r ) 4 ( ( 1 α 2 ) ( B 2 A 2 ) + 4 C δ ) , p r C N * = δ + λ t C δ ( δ + λ t c r ) ( 1 α 2 ) ( B 2 A 2 ) + 4 C δ , and τ R C N * = τ T C N * = ( 1 α 2 ) ( B A ) ( δ + λ t c r ) 2 ( ( 1 α 2 ) ( B 2 A 2 ) + 4 C δ ) . □

Appendix D

Proof of equilibrium results in the model CB
In the model C B , by substituting q n C B and q r C B into π M C B , π R C B , and π T C B , the Hessian matrix of π R C B in terms of p n C B , p r C B , and τ R C B is H C B 1 = 2 δ 1 2 1 δ 0 2 1 δ 2 δ ( δ 1 ) A B δ 0 A B δ 2 C α 2 1 . From the assumption C > ( B A ) 2 4 δ , we have H 1 C B 1 = 2 δ 1 < 0 , H 2 C B 1 = 4 δ ( 1 δ ) > 0 , and H 3 C B 1 = 2 ( 4 C δ ( 1 α 2 ) ( B A ) 2 ) δ 2 ( 1 δ ) ( 1 α 2 ) < 0 , thus, H C B 1 is negative definite, and π R C B is strictly concave with respect to p n C B , p r C B , and τ R C B . Since 2 π T C B τ T C B 2 = 2 C α 2 1 < 0 , π T C B is strictly concave with respect to τ T C B . From π R C B p n C B = π R C B p r C B = π R C B τ R C B = 0 and π T C B τ T C B = 0 , we have p n C B = 4 C δ ( 1 + t + w n C B ) ( 1 α 2 ) ( B A ) 2 ( 1 + δ + 2 t + w n C B w r C B ) 2 ( 4 C δ ( 1 α 2 ) ( B A ) 2 ) , p r C B = 2 C δ ( δ + t + w r C B ) ( 1 α 2 ) ( B A ) 2 ( δ + t ) 4 C δ ( 1 α 2 ) ( B A ) 2 , and τ R C B = τ T C B = ( 1 α 2 ) ( B A ) ( δ + t w r C B ) 4 C δ ( 1 α 2 ) ( B A ) 2 .
By substituting p n C B , p r C B , τ R C B , and τ T C B into π M C B , the Hessian matrix of π M C B in terms of w n C B and w r C B is H C B 2 = 1 δ 1 1 1 δ 1 1 δ 4 C δ ( ( 1 α 2 ) ( B A ) ( 3 B A ) 4 C ) ( 1 α 2 ) ( 4 C ( B 2 A 2 ) + ( 1 α 2 ) ( B A ) 4 ) ( 1 δ ) ( 4 C δ ( 1 α 2 ) ( B A ) 2 ) 2 . From the assumption C > ( B A ) 2 4 δ , we have H 1 C B 2 = 1 δ 1 < 0 and H 2 C B 2 = 4 C ( 4 C δ + ( 1 α 2 ) ( B 2 A 2 ) ) ( 1 δ ) ( 4 C δ ( 1 α 2 ) ( B A ) 2 ) 2 > 0 , thus, H C B 2 is negative definite, and π M C B is strictly concave with respect to w n C B and w r C B . From π M C B w n C B = π M C B w r C B = 0 , we have w n C B * = 1 + c b + c n + t 2 + ( 1 α 2 ) ( B 2 A B ) ( δ + t c r c b ) ( 1 α 2 ) ( B 2 A 2 ) + 4 C δ and w r C B * = δ + t + c b + c r 2 + ( 1 α 2 ) ( B 2 A B ) ( δ + t c b c r ) ( 1 α 2 ) ( B 2 A 2 ) + 4 C δ .
Substituting w n C B * and w r C B * into p n C B , p r C B , τ R C B , and τ T C B , we have p n C B * = 3 + c n c r + δ + 4 t 4 C δ ( δ + t c r c b ) ( 1 α 2 ) ( B 2 A 2 ) + 4 C δ , p r C B * = δ + t + C δ ( c r + c b δ t ) ( 1 α 2 ) ( B 2 A 2 ) + 4 C δ , and τ R C B * = τ T C B * = ( 1 α 2 ) ( B A ) ( δ + t c r c b ) 2 ( ( 1 α 2 ) ( B 2 A 2 ) + 4 C δ ) . □

Appendix E

Proof of Proposition 1. 
From the assumptions 0 < α < 1 , 0 < A < B , C > 0 , δ > 0 , t > 0 , δ + λ t c r 0 , and δ + λ c b c r 0 , we can easily verify that
w n C N α = w r C N α = 8 C δ α B ( A B ) ( δ + λ t c r ) ( ( 1 α 2 ) ( B 2 A 2 ) + 4 C δ ) 2 0 ,
w n C B α = w r C B α = 8 α C δ B ( A B ) ( δ + λ c r c b ) ( ( 1 α 2 ) ( B 2 A 2 ) + 4 C δ ) 2 0 ,
p n C N α = p r C N α = 2 α C δ ( A 2 B 2 ) ( δ + λ t c r ) ( ( 1 α 2 ) ( B 2 A 2 ) + 4 C δ ) 2 0 ,
p n C B α = p r C B α = 2 α C δ ( A 2 B 2 ) ( δ + λ c b c r ) ( ( 1 α 2 ) ( B 2 A 2 ) + 4 C δ ) 2 0 ,
τ R C N α = τ T C N α = 4 α C δ ( A B ) ( δ + λ t c r ) ( ( 1 α 2 ) ( B 2 A 2 ) + 4 C δ ) 2 0 ,
τ R C B α = τ T C B α = 4 α C δ ( A B ) ( δ + λ c b c r ) ( ( 1 α 2 ) ( B 2 A 2 ) + 4 C δ ) 2 0 .

Appendix F

Proof of Proposition 2. 
From the assumptions δ > 0 , A < B , C > ( B A ) 2 4 δ , and 0 < α < 1 , it is easily verified that
w n B c b = w r B c b = 4 C δ ( B A ) 2 2 ( A ( B A ) + 4 C δ ) > 0 ,
w n C B c b = w r C B c b = 4 C δ ( 1 α 2 ) ( B A ) 2 2 ( ( 1 α 2 ) ( B 2 A 2 ) + 4 C δ ) > 0 ,
p n B c b = p r B c b = C δ 4 C δ + A ( B A ) > 0 ,
p n C B c b = p r C B c b = C δ ( 1 α 2 ) ( B 2 A 2 ) + 4 C δ > 0 ,
τ R B c b = A B 2 ( 4 C δ + A ( B A ) ) < 0 ,
τ R C B c b = τ T C B c b = ( 1 α 2 ) ( A B ) 2 ( ( 1 α 2 ) ( B 2 A 2 ) + 4 C δ ) < 0 .

Appendix G

Proof of Proposition 3. 
From the assumptions δ > 0 , α > 0 , A < B , 0 < t < 1 , and C > ( B A ) 2 4 δ , by comparing the optimal equilibrium results between the models B ( C B ) and N ( C N ), we have
w n B w n N = w r B w r N = c b ( 4 C δ ( B A ) 2 ) + ( 1 t ) λ ( 4 C δ + B 2 A 2 ) 2 ( 4 C δ + A B A 2 ) > 0 ,
w n C B w n C N = w r C B w r C N = c b ( 4 C δ ( 1 α 2 ) ( B A ) 2 ) + λ ( 1 t ) ( 4 C δ + ( 1 α 2 ) ( B A ) ( A + 3 B ) ) 2 ( 4 C δ + ( 1 α 2 ) ( B 2 A 2 ) ) > 0 ;
p n B p n N = p r B p r N = C δ c b + λ ( 1 t ) ( 3 C δ + A B A 2 ) 4 C δ + A B A 2 > 0 ,
p n C B p n C N = p r C B p r C N = C δ c b + λ ( 1 t ) ( ( 1 α 2 ) ( B 2 A 2 ) + 3 C δ ) 4 C δ + ( 1 α 2 ) ( B 2 A 2 ) > 0 ;
τ R B τ R N = ( B A ) ( ( 1 t ) λ c b ) 2 ( 4 C δ + A B A 2 ) ,
τ R C B τ R C N = τ T C B τ T C N = ( 1 α 2 ) ( B A ) ( ( 1 t ) λ c b ) 2 ( 4 C δ + ( 1 α 2 ) ( B 2 A 2 ) ) ,
if c b < ( 1 t ) λ , then τ R B τ R N > 0 , τ R C B τ R C N = τ T C B τ T C N > 0 ; otherwise, τ R B τ R N 0 , τ R C B τ R C N = τ T C B τ T C N 0 ; q n B q n N = q n B q n N = 0 ; q r B q r N = C ( λ ( 1 t ) c b ) 4 C δ + A B A 2 , q r C B q r C N = C ( λ ( 1 t ) c b ) 4 C δ + ( 1 α 2 ) ( B 2 A 2 ) , if c b < ( 1 t ) λ , then q r B q r N > 0 , q r C B q r C N > 0 ; otherwise, q r B q r N 0 , q r C B q r C N 0 . □

Appendix H

Proof of Proposition 4. 
From the assumptions δ > 0 , 0 < α < 1 , B > A , t > 0 , C > ( B A ) 2 4 δ , δ + λ t c r 0 , and δ + λ c b c r 0 , by comparing the optimal equilibrium results between the models N ( B ) and C N ( C B ), we have
w n C N w n N = w r C N w r N = B ( B A ) ( δ + λ t c r ) ( 4 C δ ( 1 2 α 2 ) ( 1 α 2 ) ( B A ) 2 ) 2 ( 4 C δ + A B A 2 ) ( ( 1 α 2 ) ( B 2 A 2 ) + 4 C δ ) ,
w n C B w n B = w r C B w r B = B ( B A ) ( δ + λ c b c r ) ( 4 C δ ( 1 2 α 2 ) ( 1 α 2 ) ( B A ) 2 ) 2 ( 4 C δ + A B A 2 ) ( ( 1 α 2 ) ( B 2 A 2 ) + 4 C δ ) ,
if 0 < α 4 C δ ( B A ) 2 8 C δ ( B A ) 2 , then w n C N w n N = w r C N w r N 0 , w n C B w n B = w r C B w r B 0 ; otherwise, w n C N w n N = w r C N w r N < 0 , w n C B w n B = w r C B w r B < 0 ;
p n C N p n N = p r C N p r N = C δ ( B A ) ( δ + λ t c r ) ( B α 2 ( A + B ) ) ( 4 C δ + A B A 2 ) ( 4 C δ + ( 1 α 2 ) ( B 2 A 2 ) ) ,
p n C B p n B = p r C B p r B = C δ ( B A ) ( δ + λ c b c r ) ( B α 2 ( B + A ) ) ( 4 C δ + A B A 2 ) ( 4 C δ + ( 1 α 2 ) ( B 2 A 2 ) ) ,
if 0 < α B A + B , then p n C N p n N = p r C N p r N 0 , p n C B p n B = p r C B p r B 0 ; otherwise, p n C N p n N = p r C N p r N < 0 , p n C B p n B = p r C B p r B < 0 ;
τ R C N τ R N = ( A B ) ( δ + λ t c r ) ( ( 1 α 2 ) ( B A ) B + 4 C δ α 2 ) 2 ( 4 C δ + A B A 2 ) ( ( 1 α 2 ) ( B 2 A 2 ) + 4 C δ ) 0 ,
τ R C B τ R B = ( A B ) ( δ + λ c b c r ) ( ( 1 α 2 ) ( B A ) B + 4 C δ α 2 ) 2 ( 4 C δ + A B A 2 ) ( ( 1 α 2 ) ( B 2 A 2 ) + 4 C δ ) 0 ;
q n C N q n N = q n C B q n B = 0 ;
q r C N q r N = C ( B A ) ( δ + λ t c r ) ( α 2 ( A + B ) B ) ( 4 C δ + A B A 2 ) ( 4 C δ + ( 1 α 2 ) ( B 2 A 2 ) ) ,
q r C B q r B = C ( B A ) ( δ + λ c b c r ) ( α 2 ( A + B ) B ) ( 4 C δ + A B A 2 ) ( 4 C δ + ( 1 α 2 ) ( B 2 A 2 ) ) ,
if 0 < α B A + B , then q r C N q r N 0 , q r C B q r B 0 ; otherwise, q r C N q r N > 0 , q r C B q r B > 0 . □

Appendix I

Proof of Proposition 5. 
From the assumptions δ > 0 , 0 < α < 1 , 0 < t < 1 , C > ( B A ) 2 4 δ , δ + λ t c r 0 , and δ + λ c r c b 0 , by comparing the optimal profits of manufacturer in the four models, we have
π M B π M N = C ( ( 1 t ) λ c b ) ( 2 δ + ( 1 + t ) λ 2 c r c b ) 2 ( A B A 2 + 4 C δ ) ,
π M C B π M C N = C ( ( 1 t ) λ c b ) ( 2 δ + ( 1 + t ) λ 2 c r c b ) 2 ( ( 1 α 2 ) ( B 2 A 2 ) + 4 C δ ) ,
if c b ( 1 t ) λ , then π M B π M N 0 , π M C B π M C N 0 ; otherwise, π M B π M N < 0 , π M C B π M C N < 0 .
π M C N π M N = C ( B A ) ( α 2 A ( 1 α 2 ) B ) ( δ + λ t c r ) 2 2 ( A B A 2 + 4 C δ ) ( ( 1 α 2 ) ( B 2 A 2 ) + 4 C δ ) ,
π M C B π M B = C ( B A ) ( α 2 A ( 1 α 2 ) B ) ( δ + λ c r c b ) 2 2 ( A B A 2 + 4 C δ ) ( ( 1 α 2 ) ( B 2 A 2 ) + 4 C δ ) ,
if α B A + B , then π M C N π M N 0 , π M C B π M B 0 ; otherwise, π M C N π M N < 0 , π M C B π M B < 0 . □

Appendix J

Proof of Proposition 6. 
From the assumptions δ > 0 , 0 < α < 1 , 0 < t < 1 , C > ( B A ) 2 4 δ , δ + λ t c r 0 , and δ + λ c r c b 0 , by comparing the optimal profits of retailer in the four models, we have
π R B π R N = C ( 4 C δ ( B A ) 2 ) ( ( 1 t ) λ c b ) ( 2 δ + ( 1 + t ) λ 2 c r c b ) 4 ( A B A 2 + 4 C δ ) 2 ,
if c b ( 1 t ) λ , then π R B π R N ; otherwise, π R B < π R N .
π R C B π R C N = C ( 4 C δ ( 1 α 2 ) ( 1 + α ) ( B A ) 2 ) ( ( 1 t ) λ c b ) ( 2 δ + ( 1 + t ) λ 2 c r c b ) 4 ( ( 1 α 2 ) ( B 2 A 2 ) + 4 C δ ) 2 ,
if 5 1 2 α < 1 , c b λ ( 1 t ) , or 0 < α < 5 1 2 , ( B A ) 2 4 δ < C ( 1 α 2 ) ( 1 + α ) ( B A ) 2 4 δ , c b > λ ( 1 t ) , then π R C B π R C N 0 ; otherwise, π R C B π R C N < 0 .
π R C N π R N = C ( A B ) ( δ + λ t c r ) 2 ( ( 4 C δ ( B A ) 2 ) ( B A ) ( B + A ) 2 α 4 ( B A ) ( 4 C δ + A B A 2 ) 2 α 3 + ( ( B A ) 3 ( A 2 + 4 A B + 2 B 2 ) + 8 C δ A ( A B ) ( A + 3 B ) 16 C 2 δ 2 ( A + 3 B ) ) α 2 + ( B A ) ( 4 C δ + A B A 2 ) α B ( ( B A ) ( 2 A + B ) + 8 C δ ) ) 4 ( 4 C δ + A B A 2 ) 2 ( 4 C δ + ( 1 α 2 ) ( B 2 A 2 ) ) 2 ,
if α α 1 , π R C N π R N ; otherwise, π R C N < π R N , where α 1 is the root of ( 4 C δ ( B A ) 2 ) ( B A ) ( B + A ) 2 α 4 ( B A ) ( 4 C δ + A B A 2 ) 2 α 3 + ( ( B A ) 3 ( A 2 + 4 A B + 2 B 2 ) + 8 C δ A ( A B ) ( A + 3 B ) 16 C 2 δ 2 ( A + 3 B ) ) α 2 + ( B A ) ( 4 C δ + A B A 2 ) α B ( ( B A ) ( 2 A + B ) + 8 C δ ) = 0 in the range [ 0 , 1 ] .
π R C B π R B = C ( A B ) ( δ + λ c b c r ) 2 ( ( 4 C δ ( B A ) 2 ) ( B A ) ( B + A ) 2 α 4 ( B A ) ( 4 C δ + A B A 2 ) 2 α 3 + ( ( B A ) 3 ( A 2 + 4 A B + 2 B 2 ) + 8 C δ A ( A B ) ( A + 3 B ) 16 C 2 δ 2 ( A + 3 B ) ) α 2 + ( B A ) ( 4 C δ + A B A 2 ) α B ( ( B A ) ( 2 A + B ) + 8 C δ ) ) 4 ( 4 C δ + A B A 2 ) 2 ( 4 C δ + ( 1 α 2 ) ( B 2 A 2 ) ) 2 ,
if α α 1 , π R C B π R B ; otherwise, π R C B < π R B . □

References

  1. Ranjbar, Y.; Sahebi, H.; Ashayeri, J.; Teymouri, A. A competitive dual recycling channel in a three-level closed loop supply chain under different power structures: Pricing and collecting decisions. J. Clean. Prod. 2020, 272, 122623. [Google Scholar] [CrossRef]
  2. Xuan, V.N.; Hoa, P.X.; Thu, N.T.P.; Huong, L.M. Factors affecting environmental pollution for green economy: The case of ASEAN countries. Environ. Chall. 2024, 14, 100827. [Google Scholar] [CrossRef]
  3. IEA. The 2023 Global Carbon Emissions Report. Available online: https://www.sohu.com/a/762199347_121123868 (accessed on 6 March 2024).
  4. Moussa, T.; Allam, A.; Elmarzouky, M. Global modern slavery and sustainable development goals: Does institutional environment quality matter? Bus. Strateg. Environ. 2022, 31, 2230–2244. [Google Scholar] [CrossRef]
  5. Chai, Q.; Sun, M.; Lai, K.H.; Xiao, Z. The effects of government subsidies and environmental regulation on remanufacturing. Comput. Ind. Eng. 2023, 178, 109126. [Google Scholar] [CrossRef]
  6. Choi, T.M.; Chen, Y. Circular supply chain management with large scale group decision making in the big data era: The macro-micro model. Technol. Forecast. Soc. Change 2021, 169, 120791. [Google Scholar] [CrossRef]
  7. Wang, Y.; Jiang, Q.; Guan, X.; Guan, X. Recycling channel design and coordination in a reverse supply chain with customer green preference. Transp. Res. E Logist. Transp. Rev. 2023, 179, 103329. [Google Scholar] [CrossRef]
  8. Chen, J.H.; Tian, Y.; Chan, F.T.S.; Tang, H.J.; Che, P.H. Pricing, greening, and recycling decisions of capital-constrained closed-loop supply chain with government subsidies under financing strategies. J. Clean. Prod. 2024, 438, 140797. [Google Scholar] [CrossRef]
  9. Liu, L.; Wang, Z.; Xu, L.; Hong, X.; Govindan, K. Collection effort and reverse channel choices in a closed-loop supply chain. J. Clean. Prod. 2017, 144, 492–500. [Google Scholar] [CrossRef]
  10. Wang, N.; He, Q.; Jiang, B. Hybrid closed-loop supply chains with competition in recycling and product markets. Int. J. Prod. Econ. 2019, 217, 246–258. [Google Scholar] [CrossRef]
  11. Moussa, A.S.; Elmarzouky, M. Does Capital Expenditure Matter for ESG Disclosure? A UK Perspective. J. Risk Financ. Manag. 2023, 16, 429. [Google Scholar] [CrossRef]
  12. Wang, Q.; Chen, K.; Wang, S.; Liu, W. Channel structures and information value in a closed-loop supply chain with corporate social responsibility based on the third-party collection. Appl. Math. Modell. 2022, 106, 482–506. [Google Scholar] [CrossRef]
  13. Tencent. Blockchain Technology Helps the Cascade Utilization of Lithium Batteries, and the Battery Recycling Price Is Up to 3 Times. Available online: https://new.qq.com/rain/a/20230817A08VGT00 (accessed on 17 August 2023).
  14. Ding, Y.K.; Shen, C.; Feng, D.Z. Pricing and collection for printer cartridge recycling under retailers’ ordering and collection. J. Clean. Prod. 2020, 276, 122814. [Google Scholar] [CrossRef]
  15. Hong, X.; Xu, L.; Du, P.; Wang, W. Joint advertising, pricing and collection decisions in a closed-loop supply chain. Int. J. Prod. Econ. 2015, 167, 12–22. [Google Scholar] [CrossRef]
  16. Zhou, Y.; Zhang, Y.; Wahab, M.I.M.; Goh, M. Channel leadership and performance for a closed-loop supply chain considering competition. Transp. Res. E Logist. Transp. Rev. 2023, 175, 103151. [Google Scholar] [CrossRef]
  17. Savaskan, R.C.; Bhattacharya, S.; Van Wassenhove, L.N. Closed-loop supply chain models with product remanufacturing. Manag. Sci. 2004, 50, 239–252. [Google Scholar] [CrossRef]
  18. Huang, M.; Song, M.; Lee, L.H.; Ching, W.K. Analysis for strategy of closed-loop supply chain with dual recycling channel. Int. J. Prod. Econ. 2013, 144, 510–520. [Google Scholar] [CrossRef]
  19. Chang, S.H.; Ma, H.T.; Hou, P.W.; Cao, L. Who should adopt blockchain? The interplay between blockchain adoption and online channel under competition. Electron. Commer. Res. Appl. 2023, 62, 101316. [Google Scholar] [CrossRef]
  20. Appelhanz, S.; Osburg, V.S.; Toporowski, W.; Schumann, M. Traceability system for capturing, processing and providing consumer-relevant information about wood products: System solution and its economic feasibility. J. Clean. Prod. 2016, 110, 132–148. [Google Scholar] [CrossRef]
  21. Zhang, X.M.; Zheng, H.D.; Zheng, X.X. Impact of government fund policy and blockchain technology on closed-loop supply chains in textile and apparel industry. J. Clean. Prod. 2024, 434, 140037. [Google Scholar] [CrossRef]
  22. Kang, Y.W.; Dong, P.W.; Ju, Y.B.; Zhang, T.Y. Differential game theoretic analysis of the blockchain technology investment and carbon reduction strategy in digital supply chain with government intervention. Comput. Ind. Eng. 2024, 189, 109953. [Google Scholar] [CrossRef]
  23. Ji, G.; Zhou, S.; Lai, K.H.; Tan, K.H.; Kumar, A. Timing of blockchain adoption in a supply chain with competing manufacturers. Int. J. Prod. Econ. 2022, 247, 108430. [Google Scholar] [CrossRef]
  24. Yang, L.; Gao, M.; Feng, L. Competition versus cooperation? Which is better in a remanufacturing supply chain considering blockchain. Transp. Res. E Logist. Transp. Rev. 2022, 165, 102855. [Google Scholar] [CrossRef]
  25. Choi, T.M.; Feng, L.; Li, R. Information disclosure structure in supply chains with rental service platforms in the blockchain technology era. Int. J. Prod. Econ. 2020, 221, 107473. [Google Scholar] [CrossRef]
  26. Fan, X.; Guo, X.; Wang, S. Optimal collection delegation strategies in a retail-/dual-channel supply chain with trade-in programs. Eur. J. Oper. Res. 2022, 303, 633–649. [Google Scholar] [CrossRef]
  27. Han, J.L.; Wang, N.M.; He, Z.W.; Jiang, B. Product pricing and recycling mode considering competition under used product error classification. Comput. Ind. Eng. 2023, 186, 109735. [Google Scholar] [CrossRef]
  28. Hong, X.; Wang, Z.; Wang, D.; Zhang, H. Decision models of closed-loop supply chain with remanufacturing under hybrid dual-channel collection. Int. J. Adv. Manuf. Technol. 2013, 68, 1851–1865. [Google Scholar] [CrossRef]
  29. Wan, N.; Hong, D. The impacts of subsidy policies and transfer pricing policies on the closed-loop supply chain with dual collection channels. J. Clean. Prod. 2019, 224, 881–891. [Google Scholar] [CrossRef]
  30. Wang, Y.Y.; Chen, Y.L.; Cheng, W.; Wang, J.C.; Tao, F. Equilibrium analysis of transaction modes and recycling channels in a closed-loop supply chain with an online platform. Comput. Ind. Eng. 2023, 177, 109090. [Google Scholar] [CrossRef]
  31. Zhang, C.; Tian, Y.X.; Han, M.H. Recycling mode selection and carbon emission reduction decisions for a multi-channel closed-loop supply chain of electric vehicle power battery under cap-an-trade policy. J. Clean. Prod. 2022, 375, 134060. [Google Scholar] [CrossRef]
  32. Zheng, B.; Chu, J.; Jin, L. Recycling channel selection and coordination in dual sales channel closed-loop supply chains. Appl. Math. Modell. 2021, 95, 484–502. [Google Scholar] [CrossRef]
  33. Guo, Y.; Wang, M.M.; Yang, F. Joint emission reduction strategy considering channel inconvenience under different recycling structures. Comput. Ind. Eng. 2022, 169, 108159. [Google Scholar] [CrossRef]
  34. Hong, X.; Govindan, K.; Xu, L.; Du, P. Quantity and collection decisions in a closed-loop supply chain with technology licensing. Eur. J. Oper. Res. 2017, 256, 820–829. [Google Scholar] [CrossRef]
  35. Suvadarshini, P.; Biswas, I.; Srivastava, S.K. Impact of reverse channel competition, individual rationality, and information asymmetry on multi-channel closed-loop supply chain design. Int. J. Prod. Econ. 2023, 259, 108818. [Google Scholar] [CrossRef]
  36. Shekarian, E.; Marandi, A.; Majava, J. Dual-channel remanufacturing closed-loop supply chains under carbon footprint and collection competition. Sustain. Prod. Consum. 2021, 28, 1050–1075. [Google Scholar] [CrossRef]
  37. Zhang, C.; Chen, Y.X.; Tian, Y.X. Collection and recycling decisions for electric vehicle end-of-life power batteries in the context of carbon emissions reduction. Comput. Ind. Eng. 2023, 175, 108869. [Google Scholar] [CrossRef]
  38. Liu, S.; Hua, G.; Kang, Y.; Cheng, T.E.; Xu, Y. What value does blockchain bring to the imported fresh food supply chain? Transp. Res. E Logist. Transp. Rev. 2022, 165, 102859. [Google Scholar] [CrossRef]
  39. Zhang, Y.; Chen, L.; Battino, M.; Farag, M.A.; Xiao, J.; Simal-Gandara, J.; Gao, H.; Jiang, W. Blockchain: An emerging novel technology to upgrade the current fresh fruit supply chain. Trends Food Sci. Technol. 2022, 124, 1–12. [Google Scholar] [CrossRef]
  40. Cao, Y.; Yi, C.; Wan, G.; Hu, H.; Li, Q.; Wang, S. An analysis on the role of blockchain-based platforms in agricultural supply chains. Transp. Res. E Logist. Transp. Rev. 2022, 163, 102731. [Google Scholar] [CrossRef]
  41. Köhler, S.; Bager, S.; Pizzol, M. Sustainability standards and blockchain in agro-food supply chains: Synergies and conflicts. Technol. Forecast. Soc. Change 2022, 185, 122094. [Google Scholar] [CrossRef]
  42. Niu, B.; Dong, J.; Liu, Y. Incentive alignment for blockchain adoption in medicine supply chains. Transp. Res. E Logist. Transp. Rev. 2021, 152, 102276. [Google Scholar] [CrossRef]
  43. Choi, T.M. Blockchain-technology-supported platforms for diamond authentication and certification in luxury supply chains. Transp. Res. E Logist. Transp. Rev. 2019, 128, 17–29. [Google Scholar] [CrossRef]
  44. Liu, R.H.; Zhao, C.W.; Tan, C.Q. Vaccine supply chain decision and coordination with manufacturers competition under blockchain technology. Comput. Ind. Eng. 2024, 190, 110031. [Google Scholar] [CrossRef]
  45. Biswas, D.; Jalali, H.; Ansaripoor, A.H.; De Giovanni, P. Traceability vs. sustainability in supply chains: The implications of blockchain. Eur. J. Oper. Res. 2023, 305, 128–147. [Google Scholar] [CrossRef]
  46. Fan, Z.P.; Wu, X.Y.; Cao, B.B. Considering the traceability awareness of consumers: Should the supply chain adopt the blockchain technology? Ann. Oper. Res. 2022, 309, 837–860. [Google Scholar] [CrossRef]
  47. Akram, M.W.; Akram, N.; Shahzad, F.; Rehman, K.U.; Andleed, S. Blockchain technology in a crisis: Advantages, challenges, and lessons learned for enhancing fool supply chains during the COVIN-19 pandemic. J. Clean. Prod. 2024, 434, 140034. [Google Scholar] [CrossRef]
  48. Modak, N.M.; Senapati, T.; Simic, V.; Pamucar, D.; Saha, A.; Cárdenas-Barrón, L.E. Managing a sustainable dual-channel supply chain for fresh agricultural products using blockchain technology. Expert Syst. Appl. 2024, 244, 122929. [Google Scholar] [CrossRef]
  49. Wang, Y.Y.; Gao, J.H.; Cheng, T.C.E.; Gong, Y.; Wu, T.H. Does blockchain technology need to be introduced in the closed-loop supply chain based on product lifecycle management? Comput. Ind. Eng. 2024, 188, 109881. [Google Scholar] [CrossRef]
  50. Zhang, Q.; Jiang, X.; Zheng, Y. Blockchain adoption and gray markets in a global supply chain. Omega 2023, 115, 102785. [Google Scholar] [CrossRef]
  51. Li, Q.; Ma, M.; Shi, T.; Zhu, C. Green investment in a sustainable supply chain: The role of blockchain and fairness. Transp. Res. E Logist. Transp. Rev. 2022, 167, 102908. [Google Scholar] [CrossRef]
  52. Kshetri, N. 1 Blockchain’s roles in meeting key supply chain management objectives. Int. J. Inf. Manag. 2018, 39, 80–89. [Google Scholar] [CrossRef]
  53. Tönnissen, S.; Teuteberg, F. Analysing the impact of blockchain-technology for operations and supply chain management: An explanatory model drawn from multiple case studies. Int. J. Inf. Manag. 2020, 52, 101953. [Google Scholar] [CrossRef]
  54. Kamble, S.S.; Gunasekaran, A.; Sharma, R. Modeling the blockchain enabled traceability in agriculture supply chain. Int. J. Inf. Manag. 2020, 52, 101967. [Google Scholar] [CrossRef]
  55. Prajapati, D.; Jauhar, S.K.; Gunasekaran, A.; Kamble, S.S.; Pratap, S. Blockchain and IoT embedded sustainable virtual closed-loop supply chain in E-commerce towards the circular economy. Comput. Ind. Eng. 2022, 172, 108530. [Google Scholar] [CrossRef]
  56. Liu, S.S.; Hua, G.W.; Ma, B.J.; Cheng, T.C.E. Competition between green and non-green products in the blockchain ear. Int. J. Prod. Econ. 2023, 264, 108970. [Google Scholar] [CrossRef]
  57. Zhu, X.X.; Qi, Z.F.; Chiong, R.M.; Zhang, P.L.; Ren, M.L. The dilemma of introducing blockchain technology into an assembly supply chain: A double-edged sword of profit and upstream invasion. Comput. Ind. Eng. 2024, 188, 109830. [Google Scholar] [CrossRef]
  58. Matsui, K. Dual-recycling channel reverse supply chain design of recycling platforms under acquisition price competition. Int. J. Prod. Econ. 2023, 259, 108769. [Google Scholar] [CrossRef]
  59. Zhang, X.M.; Li, Q.W.; Liu, Z.; Chang, C.T. Optimal pricing and remanufacturing mode in a closed-loop supply chain of WEEE under government fund policy. Comput. Ind. Eng. 2021, 151, 106951. [Google Scholar] [CrossRef]
  60. Zhang, Z.X.; Xu, H.Y.; Chen, K.B. Operational decisions and financing strategies in a capital-constrained closed-loop supply chain. Int. J. Prod. Res. 2021, 59, 4690–4710. [Google Scholar] [CrossRef]
  61. Tang, J.; Li, B.; Li, K.W.; Liu, Z.; Huang, J. Pricing and warranty decisions in a two-period closed-loop supply chain. Int. J. Prod. Res. 2020, 58, 1688–1704. [Google Scholar] [CrossRef]
  62. Nageswaran, L.; Cho, S.H.; Scheller-wolf, A. Consumer return policies in omnichannel operations. Manag. Sci. 2020, 66, 5484–6064. [Google Scholar] [CrossRef]
  63. Gong, B.; Zhang, H.; Gao, Y.; Liu, Z. Blockchain adoption and channel selection strategies in a competitive remanufacturing supply chain. Comput. Ind. Eng. 2023, 175, 108829. [Google Scholar] [CrossRef]
  64. Jia, D.F.; Li, S.J. Optimal decisions and distribution channel choice of closed-loop supply chain when e-retailer offers online marketplace. J. Clean. Prod. 2020, 265, 121767. [Google Scholar] [CrossRef]
  65. Zheng, X.X.; Liu, Z.; Li, K.W.; Huang, J.; Chen, J. Cooperative game approaches to coordinating a three-echelon closed-loop supply chain with fairness concerns. Int. J. Prod. Econ. 2019, 212, 92–110. [Google Scholar] [CrossRef]
  66. Zhao, J.J.; Wang, C.X.; Xu, L. Decision for pricing, service, and recycling of closed-loop supply chains considering different remanufacturing roles and technology authorizations. Comput. Ind. Eng. 2019, 132, 59–73. [Google Scholar] [CrossRef]
  67. Cao, K.; He, P.; Liu, Z. Production and pricing decisions in a dual-channel supply chain under remanufacturing subsidy policy and carbon tax policy. J. Oper. Res. Soc. 2020, 71, 1199–1215. [Google Scholar] [CrossRef]
  68. Yenipazarli, A. Managing new and remanufactured products to mitigate environmental damage under emissions regulation. Eur. J. Oper. Res. 2016, 249, 117–130. [Google Scholar] [CrossRef]
  69. Gautam, P.; Maheshwari, S.; Jaggi, C.K. Sustainable production inventory model with greening degree and dual determinants of defective items. J. Clean. Prod. 2022, 367, 132879. [Google Scholar] [CrossRef]
  70. Xu, X.; He, P.; Zhou, L.; Cheng, T.C.E. Coordination of a platform-based supply chain in the marketplace or reselling mode considering cross-channel effect and blockchain technology. Eur. J. Oper. Res. 2023, 309, 170–187. [Google Scholar] [CrossRef]
  71. Qiao, H.K.; Zhang, Z.J.; Su, Q. Blockchain technology adoption of the manufacturers with product recycling considering green consumers. Comput. Ind. Eng. 2023, 177, 109021. [Google Scholar] [CrossRef]
  72. He, Q.D.; Wang, N.M.; Browning, T.R.; Jiang, B. Competitive collection with convenience-perceived customers. Eur. J. Oper. Res. 2022, 303, 239–254. [Google Scholar] [CrossRef]
  73. Liu, Y.; Ma, D.Q.; Hu, J.S. Reseller or market? E-platform strategy under blockchain-enabled recycling. Expert Syst. Appl. 2024, 243, 122811. [Google Scholar] [CrossRef]
  74. Circularise. Circularise Joins Audi’s Material Loop Project to Test the Circular Economy Potential of End-of-Life Vehicles. Available online: https://www.circularise.com/press-releases/audi-materialloop-project (accessed on 3 March 2023).
  75. Cointelegraph. Bosch Partners with AI firm for $100M Fund to Empower Web3 Development. Available online: https://cointelegraph.com/news/bosch-partners-in-100-million-web3-development-foundation (accessed on 21 February 2023).
  76. Ma, D.Q.; Qin, H.Q.; Hu, J.S. Achieving triple sustainability in closed-loop supply chain: The optimal combination of online platform sales format and blockchain-enabled recycling. Comput. Ind. Eng. 2022, 174, 108763. [Google Scholar] [CrossRef]
  77. Dwivedi, Y.K.; Balakrishnan, J.; Dad, R.; Dutot, V. Resistance to innovation: A dynamic capability model based enquiry into retailers’ resistance to blockchain adaptation. J. Bus. Res. 2023, 157, 113632. [Google Scholar] [CrossRef]
  78. Krish Compusoft Services. How Blockchain Steals the Show of e-Commerce Industry. Available online: https://www.kcsitglobal.com/blogs/detail-blog/how-blockchain-steals-the-show-of-e-commerce-industry (accessed on 5 December 2019).
  79. Ding, J.; Chen, W.; Wang, W. Production and carbon emission reduction decisions for remanufacturing firms under carbon tax and take-back legislation. Comput. Ind. Eng. 2020, 143, 106419. [Google Scholar] [CrossRef]
  80. Li, Z.W.; Xu, X.H.; Ba, Q.G.; Chen, C.; Wang, H.W.; Xia, P. Implications of information sharing on blockchain adoption in reducing carbon emissions: A mean-variance analysis. Transp. Res. E Logist. Transp. Rev. 2023, 178, 103254. [Google Scholar] [CrossRef]
  81. Niu, B.; Ruan, Y.; Zeng, F. Promoting remanufacturing through subsidy and environment tax: Channel co-opetition, incentive alignment and regulation optimization. Transp. Res. E Logist. Transp. Rev. 2022, 166, 102880. [Google Scholar] [CrossRef]
  82. Government of Canada. Executive Summary of the Socio-Economic and Environmental Study of the Canadian Remanufacturing Sector and Other Value-Retention Processes in the Context of a Circular Economy. Available online: https://www.canada.ca/en/services/environment/conservation/sustainability/circular-economy/summary-study-remanufacturing-sector-value-retention-processes.html (accessed on 11 February 2022).
  83. Xu, J.; Duan, Y.R. Pricing and greenness investment for green products with government subsidies: When to apply blockchain technology? Electron. Commer. Res. Appl. 2022, 51, 101108. [Google Scholar] [CrossRef]
  84. Zhou, Y.; Yan, S.; Li, G.; Xiong, Y.; Lin, Z. The impact of consumer skepticism on blockchain-enabled sustainability disclosure in a supply chain. Transp. Res. E Logist. Transp. Rev. 2023, 179, 103323. [Google Scholar] [CrossRef]
  85. Jiemian. The Global Waste Battery Reuse Market Will Reach Trillions, What Is the Layout of Domestic Enterprises? Available online: https://www.jiemian.com/article/10715082.html (accessed on 23 January 2024).
  86. BYD. BYD Corporate Social Responsibility Report. Available online: http://www.szse.cn/disclosure/listed/bulletinDetail/index.html?1dddf5f2-53e2-4554-b471-d426dfde64a1 (accessed on 27 March 2024).
  87. Zhong, Y.; Yang, T.; Yu, H.; Zhong, S.; Xie, W. Impacts of blockchain technology with government subsidies on a dual-channel supply chain for tracing product information. Transp. Res. E Logist. Transp. Rev. 2023, 171, 103032. [Google Scholar] [CrossRef]
  88. Yang, L.; Hu, Y.; Huang, L. Collecting mode selection in a remanufacturing supply chain under cap-and-trade regulation. Eur. J. Oper. Res. 2020, 287, 480–496. [Google Scholar] [CrossRef]
Figure 1. Four models in the CLSC.
Figure 1. Four models in the CLSC.
Sustainability 16 06296 g001
Figure 2. Sequence of events under four models.
Figure 2. Sequence of events under four models.
Sustainability 16 06296 g002
Figure 3. Impact of competitive intensity, BT usage cost, and value discount on manufacturer’s profit.
Figure 3. Impact of competitive intensity, BT usage cost, and value discount on manufacturer’s profit.
Sustainability 16 06296 g003
Figure 4. Impact of competitive intensity, BT usage cost, and value discount on retailer’s profit.
Figure 4. Impact of competitive intensity, BT usage cost, and value discount on retailer’s profit.
Sustainability 16 06296 g004
Figure 5. Consistent choice for CLSC members.
Figure 5. Consistent choice for CLSC members.
Sustainability 16 06296 g005
Figure 6. Effect of BT usage cost and competitive intensity on consumer surplus.
Figure 6. Effect of BT usage cost and competitive intensity on consumer surplus.
Sustainability 16 06296 g006aSustainability 16 06296 g006b
Figure 7. Effect of BT usage cost and competitive intensity on environmental impact.
Figure 7. Effect of BT usage cost and competitive intensity on environmental impact.
Sustainability 16 06296 g007
Figure 8. Effect of BT usage cost and competitive intensity on social welfare.
Figure 8. Effect of BT usage cost and competitive intensity on social welfare.
Sustainability 16 06296 g008
Table 1. Notations used in this paper.
Table 1. Notations used in this paper.
NotationsDefinitions
θ Consumers’ willingness to pay for new products
δ Consumers’ value discount for remanufactured products
t Transparency of information on new and remanufactured products
λ Effect coefficient of information transparency on consumer utility
U n / U r Consumers’ utility of purchasing new/remanufactured products
c n / c r Unit cost of new/remanufactured products
c b Unit BT usage cost
A Unit recycling price
B Unit transfer price
C Investment cost coefficient of recycling
I i Investment cost of member i in recycling of used products, i { R , T }
α Competitive intensity between the retailer and TPR
w n / w r Unit wholesale price of new/remanufactured products
p n / p r Unit retail price of new/remanufactured products
τ R / τ T Recycling rate of the retailer/TPR
q n / q r Demand for new/remanufactured products
π i j Member i ’ profit in the model j , i { M , R , T } , j { N , C N , B , C B }
C S j Consumer surplus in the model j , j { N , C N , B , C B }
E j Environmental impact in the model j , j { N , C N , B , C B }
S W j Social welfare in the model j , j { N , C N , B , C B }
Table 2. Optimal decisions in the model N.
Table 2. Optimal decisions in the model N.
NotationsEquilibrium ResultsNotationsEquilibrium Results
w n N 1 + c n + λ t 2 + ( B 2 A B ) ( δ + λ t c r ) 2 ( A B A 2 + 4 C δ ) q n N 1 δ c n + c r 4 ( 1 δ )
w r N δ + c r + λ t 2 + ( B 2 A B ) ( δ + λ t c r ) 2 ( A B A 2 + 4 C δ ) q r N 4 C ( δ c n c r + ( 1 δ ) λ t ) ( A B A 2 ) ( 1 δ c n + c r ) 4 ( 1 δ ) ( A B A 2 + 4 C δ )
p n N 3 + c n + 3 λ t 4 + ( A B A 2 ) ( δ + λ t c r ) 4 ( A B A 2 + 4 C δ ) π M N ( 1 c n + c r δ ) 2 8 ( 1 δ ) + C ( δ + λ t c r ) 2 2 ( A B A 2 + 4 C δ )
p r N δ + λ t C δ ( δ + λ t c r ) A B A 2 + 4 C δ π R N ( 1 c n + c r δ ) 2 16 ( 1 δ ) + C ( 4 θ δ ( B A ) 2 ) ( δ + λ t c r ) 2 4 ( A B A 2 + 4 C δ ) 2
τ R N ( B A ) ( δ + λ t c r ) 2 ( A B A 2 + 4 C δ )
Table 3. Optimal decisions in the model B.
Table 3. Optimal decisions in the model B.
NotationsEquilibrium ResultsNotationsEquilibrium Results
w n B 1 + c b + c n + λ 2 + ( B 2 A B ) ( δ + λ c b c r ) 2 ( A B A 2 + 4 C δ ) q n B 1 δ c n + c r 4 ( 1 δ )
w r B c b + c r + δ + λ 2 + ( B 2 A B ) ( δ + λ c b c r ) 2 ( A B A 2 + 4 C δ ) q r B 4 C ( δ c n c r + ( 1 δ ) ( λ c b ) ) ( A B A 2 ) ( 1 δ c n + c r ) 4 ( 1 δ ) ( A B A 2 + 4 C δ )
p n B 3 + c b + c n + 3 λ 4 + ( A B A 2 ) ( δ + λ c b c r ) 4 ( A B A 2 + 4 C δ ) π M B ( 1 c n + c r δ ) 2 8 ( 1 δ ) + C ( δ + λ c r c b ) 2 2 ( A B A 2 + 4 C δ )
p r B δ + λ C δ ( δ + λ c b c r ) A B A 2 + 4 C δ π R B ( 1 c n + c r δ ) 2 16 ( 1 δ ) + C ( 4 C δ ( B A ) 2 ) ( δ + λ c r c b ) 2 4 ( A B A 2 + 4 C δ ) 2
τ R B ( B A ) ( δ + λ c r c b ) 2 ( A B A 2 + 4 C δ )
Table 4. Optimal decisions in the model CN.
Table 4. Optimal decisions in the model CN.
NotationsEquilibrium ResultsNotationsEquilibrium Results
w n C N 1 + c n + λ t 2 + ( 1 α 2 ) ( B 2 A B ) ( δ + λ t c r ) ( 1 α 2 ) ( B 2 A 2 ) + 4 C δ q n C N 1 δ c n + c r 4 ( 1 δ )
w r C N c r + δ + λ t 2 + ( 1 α 2 ) ( B 2 A B ) ( δ + λ t c r ) ( 1 α 2 ) ( B 2 A 2 ) + 4 C δ q r C N 4 C ( δ c n c r + ( 1 δ ) t ) ( 1 α 2 ) ( B 2 A 2 ) ( 1 δ c n + c r ) 4 ( 1 δ ) ( ( 1 α 2 ) ( B 2 A 2 ) + 4 C δ )
p n C N 3 + c n + 3 λ t 4 + ( 1 α 2 ) ( B 2 A 2 ) ( δ + λ t c r ) 4 ( ( 1 α 2 ) ( B 2 A 2 ) + 4 C δ ) π M C N ( 1 c n + c r δ ) 2 8 ( 1 δ ) + C ( δ + λ t c r ) 2 2 ( ( 1 α 2 ) ( B 2 A 2 ) + 4 C δ )
p r C N δ + λ t C δ ( δ + λ t c r ) ( 1 α 2 ) ( B 2 A 2 ) + 4 C δ π R C N ( 1 c n + c r δ ) 2 16 ( 1 δ ) + C ( 4 C δ ( 1 α 2 ) ( 1 + α ) ( B A ) 2 ) ( δ + λ t c r ) 2 4 ( ( 1 α 2 ) ( B 2 A 2 ) + 4 C δ ) 2
τ R C N ( 1 α 2 ) ( B A ) ( δ + λ t c r ) 2 ( ( 1 α 2 ) ( B 2 A 2 ) + 4 C δ ) π T C N C ( 1 α ) 2 ( 1 + α ) ( B A ) 2 ( δ + λ t c r ) 2 4 ( ( 1 α 2 ) ( B 2 A 2 ) + 4 C δ ) 2
τ R C N ( 1 α 2 ) ( B A ) ( δ + λ t c r ) 2 ( ( 1 α 2 ) ( B 2 A 2 ) + 4 C δ )
Table 5. Optimal decisions in the model CB.
Table 5. Optimal decisions in the model CB.
NotationsEquilibrium Results
w n C B 1 + c b + c n + λ 2 + ( 1 α 2 ) ( B 2 A B ) ( δ + λ c r c b ) ( 1 α 2 ) ( B 2 A 2 ) + 4 C δ
w r C B δ + λ + c b + c r 2 + ( 1 α 2 ) ( B 2 A B ) ( δ + λ c b c r ) ( 1 α 2 ) ( B 2 A 2 ) + 4 C δ
p n C B 3 + c n c r + δ + 4 λ 4 C δ ( δ + λ c r c b ) ( 1 α 2 ) ( B 2 A 2 ) + 4 C δ
p r C B δ + λ C δ ( δ + λ c r c b ) ( 1 α 2 ) ( B 2 A 2 ) + 4 C δ
τ R C B ( 1 α 2 ) ( B A ) ( δ + λ c r c b ) 2 ( ( 1 α 2 ) ( B 2 A 2 ) + 4 C δ )
τ R C B ( 1 α 2 ) ( B A ) ( δ + λ c r c b ) 2 ( ( 1 α 2 ) ( B 2 A 2 ) + 4 C δ )
q n C B 1 δ c n + c r 4 ( 1 δ )
q r C B 4 C ( δ c n c r + ( 1 δ ) ( λ c r ) ) ( 1 α 2 ) ( B 2 A 2 ) ( 1 δ c n + c r ) 4 ( 1 δ ) ( ( 1 α 2 ) ( B 2 A 2 ) + 4 C δ )
π M C B ( 1 c n + c r δ ) 2 8 ( 1 δ ) + C ( δ + λ c r c b ) 2 2 ( ( 1 α 2 ) ( B 2 A 2 ) + 4 C δ )
π R C B ( 1 c n + c r δ ) 2 16 ( 1 δ ) + C ( 4 C δ ( 1 α 2 ) ( 1 + α ) ( B A ) 2 ) ( δ + λ c r c b ) 2 4 ( ( 1 α 2 ) ( B 2 A 2 ) + 4 C δ ) 2
π T C B C ( 1 α ) 2 ( 1 + α ) ( B A ) 2 ( δ + λ c r c b ) 2 4 ( ( 1 α 2 ) ( B 2 A 2 ) + 4 C δ ) 2
Table 6. Comparison of outcomes between the two models B (CB) and N (CN).
Table 6. Comparison of outcomes between the two models B (CB) and N (CN).
c b < λ ( 1 t ) ( c b λ ( 1 t ) )
w n B > w n N , w r B > w r N , w n C B > w n C N , w r C B > w r C N
p n B > p n N , p r B > p r N , p n C B > p n C N , p r C B > p r C N
τ R B > τ R N ( τ R B τ R N ), τ R C B > τ R C N ( τ R C B τ R C N ), τ T C B > τ T C N ( τ T C B τ T C N )
q n B = q n N = q n C B = q n C N
q r B > q r N ( q r B q r N ), q r C B > q r C N ( q r C B q r C N )
Table 7. Comparison of results between the two models CN (CB) and N (B).
Table 7. Comparison of results between the two models CN (CB) and N (B).
0 < α 4 C δ ( B A ) 2 8 C δ ( B A ) 2 ( α > 4 C δ ( B A ) 2 8 C δ ( B A ) 2 ) 0 < α B A + B ( α > B A + B )
w n C N w n N ( w n C N < w n N ),
w n C B w n B ( w n C B < w n B ),
w r C N w r N ( w r C N < w r N ),
w r C B w r B ( w r C B < w r B )
p n C N p n N ( p n C N < p n N ),
p n C B p n B ( p n C B < p n B )
p r C N p r N ( p r C N < p r N ),
p r C B p r B ( p r C B < p r B )
τ R C N τ R N ,
τ R C B τ R B
q n C N = q n N = q n C B = q n B
q r C N q r N ( q r C N > q r N ),
q r C B q r B ( q r C B > q r B )
Disclaimer/Publisher’s Note: The statements, opinions and data contained in all publications are solely those of the individual author(s) and contributor(s) and not of MDPI and/or the editor(s). MDPI and/or the editor(s) disclaim responsibility for any injury to people or property resulting from any ideas, methods, instructions or products referred to in the content.

Share and Cite

MDPI and ACS Style

Zhang, X.; Zheng, H.; Hang, T.; Meng, Q. How to Choose Recycling Mode between Monopoly and Competition by Considering Blockchain Technology? Sustainability 2024, 16, 6296. https://doi.org/10.3390/su16156296

AMA Style

Zhang X, Zheng H, Hang T, Meng Q. How to Choose Recycling Mode between Monopoly and Competition by Considering Blockchain Technology? Sustainability. 2024; 16(15):6296. https://doi.org/10.3390/su16156296

Chicago/Turabian Style

Zhang, Xuemei, Haodong Zheng, Tao Hang, and Qiang Meng. 2024. "How to Choose Recycling Mode between Monopoly and Competition by Considering Blockchain Technology?" Sustainability 16, no. 15: 6296. https://doi.org/10.3390/su16156296

APA Style

Zhang, X., Zheng, H., Hang, T., & Meng, Q. (2024). How to Choose Recycling Mode between Monopoly and Competition by Considering Blockchain Technology? Sustainability, 16(15), 6296. https://doi.org/10.3390/su16156296

Note that from the first issue of 2016, this journal uses article numbers instead of page numbers. See further details here.

Article Metrics

Back to TopTop