Next Article in Journal
A Study on the Differences in Vegetation Phenological Characteristics and Their Effects on Water–Carbon Coupling in the Huang-Huai-Hai and Yangtze River Basins, China
Previous Article in Journal
Intervention Options for Enhancing Smallholder Compliance with Regulatory and Market Standards for High-Value Fruits and Vegetables in Rwanda and Zambia
 
 
Font Type:
Arial Georgia Verdana
Font Size:
Aa Aa Aa
Line Spacing:
Column Width:
Background:
Article

Assessment of Municipal Solid Waste Management Scenarios in Metro Manila Using the Long-Range Energy Alternatives Planning-Integrated Benefit Calculator (LEAP-IBC) System

1
Department of Software Technology, De La Salle University Manila, Manila 1004, Philippines
2
Mountain Province State Polytechnic College, Bontoc 2616, Philippines
3
Department of Physics, De La Salle University Manila, Manila 1004, Philippines
4
Department of Environment and Natural Resources, Environment Management Bureau, Quezon City 1101, Philippines
*
Authors to whom correspondence should be addressed.
These authors contributed equally to this work.
Sustainability 2024, 16(14), 6246; https://doi.org/10.3390/su16146246
Submission received: 6 June 2024 / Revised: 17 July 2024 / Accepted: 17 July 2024 / Published: 22 July 2024
(This article belongs to the Section Air, Climate Change and Sustainability)

Abstract

Short-lived climate pollutants (SLCPs) and municipal solid wastes (MSWs) have been found to be viable sources of clean energy. This study integrates the Intergovernmental Panel on Climate Change (IPCC) guidelines for methane flow rate estimation in the software Long-Range Energy Alternatives Planning-Integrated Benefit Calculator (LEAP-IBC) system to estimate and project the methane emissions coming from the waste generated by Metro Manila, disposed in sanitary landfills. It aims to analyze the environmental impacts of the emissions coming from the non-energy sector using the IBC feature of LEAP and by developing two scenarios with 2010 and 2050 as the base and end years: the baseline and methane recovery scenario, where the latter represents the solid waste management undertaken to counter the emissions. Under the baseline, 97.30 million metric tonnes of methane emissions are expected to be produced and are predicted to continuously increase. In the same scenario, the cities of Quezon, Manila, and Caloocan account for the biggest methane emissions. On the other hand, in the methane recovery scenario, the methane emissions are expected to have a decline of 36% from 127.036 to 81.303 million metric tonnes by 2025, 52% from 135.358 to 64.972 million metric tonnes by 2030, and 54% from 150.554 to 69.254 million metric tonnes by 2040. For the 40-year projection of the study under the 100-year global warming potential analysis, a total of 10,249 million metric tonnes of CO2 equivalent is avoided in the methane recovery compared to the BAU, and a maximum of 0.019 °C temperature increase can also be avoided. Moreover, electricity costs without LFG technology increase from 2.21 trillion to 8.75 trillion, while costs with LFG technology also rise but remain consistently lower, ranging from 2.20 trillion to 8.74 trillion. This consistent reduction in electricity costs underscores the long-term value and importance of adopting LFG technology, even as its relative savings impact diminishes over time. Finally, the fixed effects and random effects panel data regression analysis reinforces and asserts that the solid waste management is really improved by means of the methane recovery technology, leading the methane emissions to decrease.

1. Introduction

Solid waste management remains a persistent global issue, and the situation in the Philippines exemplifies the challenges and opportunities in addressing it. Between 2012 and 2016, the Philippines saw an increase in daily waste generation from 37,427 tons to 40,087.45 tons, or about 0.40 kg per person per day. This situation is most acute in the densely populated and economically active National Capital Region (NCR), which produces the largest volume of waste. Moreover, the issue of solid waste is linked with climate change, particularly through the emission of methane, a potent greenhouse gas (GHG). Methane emissions, 60% of which are anthropogenic, contribute significantly to global warming [1]. Methane is a greenhouse gas (GHG) that is 25 times more potent than carbon dioxide [2], making its capture and recovery from landfill gas (LFG) crucial in preventing unexpected combustions in landfills. Such combustions can produce more methane and exacerbate global warming when methane escapes into the atmosphere. The Philippines aims to reduce short-lived climate pollutants (SLCPs) from the municipal solid waste sector by 2025, 2030, and 2040 [3], as seen in its two of the seven main strategies that focus on reducing methane emissions by preventing further methane generation and treating existing methane at disposal sites. The targets for these strategies were validated using the Emission Quantification Tool (EQT) based on a January 2018 cost–benefit analysis (CBA) study. In the Philippines, key sectors such as agriculture, coal mining, and municipal solid waste management account for 18% of the country’s methane emissions, approximately 7.1 MMTCO2e [4]. The adverse effects of methane on both the climate and human health, due to its transformation in the troposphere, motivate the need for concerted efforts to mitigate these emissions [5]. In 2005, human activities such as agriculture, fossil fuel production, and waste management were the source of 93% of methane emissions globally and projections indicate a potential increase of 25% in anthropogenic methane emissions by 2030 if no mitigation strategies are implemented, highlighting the critical need for action [6]. In the context of waste management, the evolution of landfills from mere waste disposal sites to facilities with significant pollution potential has led to stricter regulations. These include criteria for the strategic location, preparation, and maintenance of landfills to prevent adverse environmental impacts and safety hazards. A 2014 study by the National Solid Waste Management Council (NSWMC) on sanitary landfill facilities (SLFs) in the Philippines highlighted the rapidly changing landscape of landfill operations and the importance of implementing waste management mitigation options sooner rather than later, particularly in anticipation of 2020, which was projected to have the highest number of operational SLFs. The development and implementation of sound policies by Philippine government units, informed by comprehensive economic and financial analyses, is crucial for the effective management of solid waste and mitigation of methane emissions, addressing not only environmental and health concerns but also contributing to the sustainable development of the country [1,4,5,6].
Several studies have effectively harnessed the Long-Range Energy Alternatives Planning (LEAP) system for robust energy planning, employing scenario analysis and energy projection planning to chart pathways toward sustainable energy futures. One of them is the work by Ref. [7], which leveraged LEAP for energy planning processes in the West Java region towards alternative and renewable energy sources. In a similar vein, Ref. [8] quantified energy demands while evaluating the environmental and socio-economic impacts of renewable energy adoption in Zhangjiakou, offering a forward-looking projection of energy consumption and associated GHG emissions across various sectors for the 2016–2050 period. The insights revealed the tangible benefits of renewable energy, notably in GHG mitigation, job creation, and cost efficiencies compared with traditional energy systems. The integration of sustainable energy planning with economic insights, as introduced by Ref. [9], emphasizes a strategic approach aimed at minimizing energy consumption while optimizing economic outcomes. This perspective aligns with the endeavors of Ref. [10], who utilized LEAP for comprehensive scenario analyses targeting the electricity sector in Bangladesh from 2022 to 2041, with an eye on navigating and surmounting emerging power challenges. The research conducted in Korea by Ref. [11] presents a case study in employing LEAP to evaluate the economic and environmental implications of adopting landfill gas (LFG) methods for electricity generation, revealing a potential reduction in the global warming potential by 75% through the expanded use of LFG compared to conventional methane release practices. The critical role of municipal solid waste (MSW) as a significant methane emission source, and its potential for mitigation through energy recovery, was studied by Ref. [12], with subsequent studies like that of Ref. [13] using LEAP to envision scenarios that capitalize on renewable energy sources, including MSW, thus showcasing an anticipated annual growth rate of 39% due to the increasing volume of solid wastes. In Ghana, the work by Ref. [14] presents a forward-thinking application of LEAP in modeling energy production, consumption, and resource extraction processes, aiming at a strategic replacement of fossil fuels with biomass-based alternatives and energy generation from MSW through landfill gas capture technologies. This endeavor anticipates renewable sources contributing 10% to the total electricity generation capacity. The integration of the IPCC model for methane flow rate estimation with LEAP, as demonstrated by Ref. [15] in Tehran, highlights the development of two pivotal scenarios: business-as-usual (BAU) and Sustainable-Waste-Management (SWM), highlighting the cost implications and environmental benefits of LFG plants and advocating for their strategic role in reducing environmental concerns under the SWM scenario. The cost-effectiveness of landfilling, especially in converting poorly managed dumpsites into effective LFG recovery projects, was emphasized by Ref. [16], pointing to a pathway for reducing GHG emissions from landfills and aligning with the highest standards of waste management. Given methane’s pronounced global warming potential relative to biogenic carbon dioxide, this paper centers on leveraging the methane content in waste for energy generation. This emphasis is crucial, particularly in assessing and strategizing mitigation efforts within a methane recovery scenario in the Philippines, as articulated by Ref. [17]. As a developing nation, it is imperative for the Philippines to judiciously allocate its budgets to maximize the benefits and minimize risks associated with methane recovery initiatives. This entails a thorough cost–benefit analysis to identify viable solutions and alternatives, factoring in essential assumptions and potential risk scenarios.
In this paper, a comprehensive framework is proposed to model effective government strategies for addressing climate change through the implementation of landfill gas technology and modernizing waste management practices. The framework emphasizes the recovery of valuable materials such as papers, plastics, and rubbers as opposed to traditional disposal methods. The main goal is to evaluate the environmental and economic impacts of targeted waste management and to estimate methane emissions from landfills using the Intergovernmental Panel on Climate Change (IPCC) methane estimation methodology in conjunction with LEAP-IBC Software version: 2020.0.12. Additionally, the paper assesses the methane recovery policy for key short-lived climate pollutants (SLCPs) and compares the costs of mitigation options with those of the business-as-usual scenario. Specifically, the study aims to achieve the following:
  • Gather historical data on the MSW disposed of in landfills.
  • Calculate the degradable organic carbon (DOC) content in the landfills.
  • Calculate methane emissions from the SLF data.
  • Build the methane recovery scenario in LEAP-IBC.
  • Calculate the methane emissions of Metro Manila cities using LEAP-IBC in the baseline scenario.
  • Calculate the methane recovered using SLCP’s rate of methane capture.
  • Calculate the projected methane emissions of Metro Manila using LEAP-IBC by inputting the historical values, rates, constants, and solving for the relevant equations/formulas.
  • Analyze Long-Range Energy Alternatives Planning–Integrated Benefits Calculator (LEAP-IBC) output and evaluate its implications on health, the economy, and the environment.
The study used LEAP-IBC software to project significant data on Metro Manila’s total waste generated and methane emissions and analyzed data from LEAP-IBC using Stata 15 by building a panel dataset for the 17 cities in Metro Manila from 2010 to 2050. Then, it examined the economic implications through a cost–benefit analysis, identifying estimated costs and benefits, calculating the net present value (NPV) and benefit–cost ratio, and performing a sensitivity analysis to see how the NPV is affected by changes in parameters such as discount rate, waste-to-energy transformation efficiency rate, and recycling rate. This paper provides a reference for understanding how methane emissions from landfills affect the environment and focuses solely on methane emissions from disposed municipal solid waste in Metro Manila, using 2010 as the base year. In generating data and results in LEAP-IBC, the researchers used variables and constants from the 2006 IPCC guidelines for methane estimation: the oxidation factor was set to 0, the fraction of methane in landfill gas was set to 50%, and the fraction of DOC dissimilated was also set to 50%. Additionally, the researchers assumed that the SLFs used by Metro Manila were categorized as semi-aerobic managed solid waste disposal sites, which involve controlled waste placement and include structures to introduce air to the waste layer: (i) a permeable cover material; (ii) a leachate drainage system; (iii) regulating pondage; and (iv) a gas ventilation system (IPCC 2006 Guidelines for National Greenhouse Gas Inventories). Thus, a methane correction factor of 0.5 was used, as stated in Volume 5 (Waste) of the 2006 IPCC guidelines. In estimating the overall methane emissions of Metro Manila, the researchers used an MSW generation rate of 0.69 kg/capita/day, the average rate in Metro Manila according to the NSWMC in 2016, and the total population of Metro Manila in 2020 provided by the Philippine Statistical Authority.
However, for the estimation of methane emissions of each city, their respective populations and MSW generation rate per capita were used. The researchers also set the fraction of MSW disposed in landfills to 54.81% as, according to the Metropolitan Manila Development Authority (MMDA), 45.19% of MSW in the metro is not disposed properly and does not end up in the SLFs. The DOC fraction, although it has a default value of 18% for developing countries in the IPCC guidelines, was manually calculated in this study and was found to be 15.83%, which is only applicable for Metro Manila. The researchers set the amount of methane recovered to zero in the baseline scenario and used DENR’s targets for methane capture for the years 2025 (36%), 2030 (52%), and 2040 (54%) in the methane recovery scenario. Developed countries can expect data on a large collection of available information, while some developing countries have to construct data from scratch [18]. With this, in conducting the cost–benefit analysis of this paper, the capital costs and operating & maintenance costs are computed from scratch using the guidelines of CCC/USAID-B-LEADERS in 2018, and the 2003 reference from Department of Environment and Natural Resources–Environmental Management Bureau (DENR-EMB) was used to establish the collection, transportation, and segregation costs in the model. Benefits like recyclables revenue and electricity savings were computed by the researchers, using market prices from the year 2010. The environmental impact was computed by assuming a 2.87mtCO2e/ton of waste recycled avoided emissions from landfilling [19], while the health and employment impact were directly transferred from the CCC/USAID-B-LEADERS study in 2018 into the model. The panel dataset used for analysis in Stata 15 only contains the variables methane emissions, population, GDP per capita, and life expectancy, wherein the methane emissions, population, and GDP per capita were all taken from the LEAP-IBC results of the study and the variable life expectancy specific to the Philippines was taken from the World Bank.
The study is valuable as it provides a comprehensive dataset that can be utilized for future research on modeling, forecasting, analysis, and case studies related to reducing municipal solid waste emissions. The use of LEAP-IBC allows for the easy calculation and forecasting of methane emissions. Moreover, alternative scenarios, such as methane recovery, can be assessed through the Integrated Benefits Calculator. This approach presents a new way to address climate change mitigation in the area of methane emissions, providing a valuable reference for future research and studies. In-depth studies on the composition, generation, and emissions of MSW are crucial for creating sustainable waste management plans, not only for environmental and health protection but also for economic purposes. Local government units (LGUs) play a key role in selecting facilities such as the type of technology to employ and how to utilize public funds for solid waste management. The detailed cost–benefit analysis conducted in this study, which is available for editing and adjustments, would be highly beneficial for LGUs in their budget proposals regarding solid waste management, enabling them to determine the economic viability of proposed technologies. Additionally, there is a notable lack of studies addressing methane recovery scenarios and scenario modeling for landfill gas technology in the context of the Philippines. This study can serve as a foundational resource for the private sector interested in exploring waste-to-energy technology and developing projects that address the issue of municipal solid waste while also being economically advantageous. This is especially relevant, as some landfills in the country are managed by the private sector, presenting an opportunity for mutually beneficial solutions.

2. Materials and Methods

2.1. Study Area

The research is centered on the National Capital Region of the Philippines, home to approximately 12.9 million people. On a daily basis, the region generates around 9500 tons (9.5 million kg) of municipal solid waste (MSW). Effective waste management is essential to address global warming, economic challenges, and energy supply issues in this densely populated metropolitan area. The study employed a scenario-based analysis and modeling with LEAP-IBC to project the total waste generated, methane emissions, and global warming potential under both baseline and methane recovery scenarios, while conducting a fixed effects panel regression analysis in Stata 15 for policy evaluation and economic analysis. The focus of the study was specifically on the MSW from residents of Metro Manila, recognizing the varied waste generation rates and composition across the Philippines, which make a unified waste management model challenging. Methane recovery strategies may not be feasible for certain regions due to insufficient waste generation. With 25% of the Philippines’ total waste being produced in Metro Manila, which has the highest waste generation rate (0.69 kg/capita/day) and limited space for composting, it serves as a fitting case study. The primary statistical treatment involved the time series analysis feature of LEAP-IBC. Following data input and parameterization for each scenario, LEAP-IBC calculated the results and forecasted future values through interpolation, generating charts and bar graphs. Additionally, the Integrated Benefits Calculator, a new feature of LEAP, integrates macroeconomics, demographics, and pollutant emissions data, assisting policymakers in evaluating scenarios in terms of benefits and impacts. Economic and health aspects were addressed using fixed effects and random effects panel regression analyses in Stata. By focusing on Metro Manila, the study aims to provide an in-depth assessment of methane recovery from SLFs for electricity generation, shedding light on the environmental, economic, and health impacts of various waste management scenarios. The findings from this study have the potential to influence policy-making processes, advocating for climate change mitigation and the effective utilization of landfill gas technology in urban environments.

2.2. The LEAP Model

The LEAP-IBC tool, developed by the Stockholm Environment Institute [20], is a valuable resource for modeling climate change mitigation and assessing energy policy. It employs a scenario-based approach that is widely utilized by many countries in their UNFCCC reports and serves as a foundation for their INDCs. This software offers a comprehensive energy system framework, encompassing both demand- and supply-side technologies and their associated system impacts. In this study, a default LEAP file structure developed for the Philippines was utilized and adapted to accommodate the specific energy modeling approaches of the country. The initial step in building the LEAP-IBC model involved the input of demographic and macroeconomic data sourced from the Philippine Statistical Authority (PSA) while parameters such as population and GDP, crucial for social and macroeconomic analysis, were organized under current accounts, with values based on the year 2010, serving as the baseline for this study. To incorporate a methane recovery scenario, waste-to-energy (WTE) plants were integrated into the demand sector, covering various technologies with specific effects like carbon dioxide and carbon monoxide. To calculate methane emissions from sanitary landfills in the non-energy branch, the default method (Tier 1) outlined in the IPCC guidelines was adopted [21], employing a mass balance calculation to estimate the emitted methane from the solid waste disposal site, assuming that all emitted methane is released in the same year that waste is disposed. The methane emissions from solid waste disposal sites were calculated using the specific equation provided in the default method:
CH 4 Emissions = M S W × MCF × DOC × DOC_F × F × 16 12 × ( 1 R ) × ( 1 OX )
where MSW represents the total mass of solid waste generated annually in gigagrams (Gg/year), MCF is the methane correction factor (a fraction), DOC denotes the degradable organic carbon content in solid waste (a fraction, measured in kg C/kg SW), DOCF stands for the fraction of DOC that is dissimilated, F is the fraction of methane in landfill gas (defaulted to 0.5 by IPCC), 16/12 is the conversion factor of carbon to methane, R indicates the methane recovery rate from solid waste disposal sites in gigagrams per year (Gg/yr), and OX is the oxidation factor (defaulted to 0 by IPCC). Each parameter plays a crucial role in estimating methane emissions from landfills.
Most of the values for these variables can be obtained from the IPCC guidelines and from the data provided by NSWMC. As for the DOC content of waste, waste characterization and composition are needed. The equation used to obtain the DOC is given by
DOC ( % ) = ( D O C F W × P F W ) + ( D O C G × P G ) + ( D O C P × P P ) + + ( D O C W × P W ) + ( D O C T × P T ) + ( D O C N × P N )
where DOC is the degradable organic carbon of FW (food waste), G (garden waste), P (paper), W (wood), T (textile), and N (nappies/diapers). The P, placed before the acronym of the type of waste, is the percent of FW (food waste), G (garden waste), P (paper), W (wood), T (textile), and N (nappies/diapers). The DOC content was manually calculated after the municipal solid waste from each city was characterized and tabulated. The data for the waste characterization, population size, and waste generation rate were derived from the 10-year Solid Waste Management Plans (2015–2024) submitted by the local government units of the National Capital Region to the DENR-NSWMC.

2.3. Scenario Formulation

The initial scenario, the BAU scenario, was developed using current accounts data that include detailed simulations of demand growth based on population and economic activity increases from 2010 to 2050. In this scenario, researchers indicate that no methane emissions are captured, reflecting the conventional practice of landfilling. For a more comprehensive analysis, a baseline scenario was created for each of the 17 cities in NCR in LEAP-IBC, incorporating varying population sizes and waste generation rates and a second scenario involved the implementation of methane recovery to reduce emissions. It assumes that, by 2025, 36% of methane emitted by Metro Manila will be captured, with 52% captured by 2030, and 54% by 2040. These baseline assumptions and targets are derived from the Philippines’ SLCP reduction strategies (2019). After exporting the results from each city in LEAP-IBC and organizing the data, a panel dataset was constructed containing cross-sectional data from 17 cities spanning the years 2010 to 2050. LEAP-IBC provides projected data for methane emissions, population, and GDP per capita, while the life expectancy data were sourced from the World Bank 2019 and projected to 2050. Population represents urbanization, GDP per capita serves as an indicator of human well-being (referred to as income level in LEAP-IBC), and life expectancy is used as a proxy for health impact analysis. The relationship between methane emissions (ME) and its predictors, population (Pop), GDP per capita (GDPC), and life expectancy (LE), were investigated using Stata 15, with the use of the following model below:
lnME = lnPop + lnGDPC + lnLE + ϵ
It is important to acknowledge that the variables (ME, Pop, GDPC, and LE) in the equation are in natural logarithmic forms, and ϵ represents the error term, encompassing all unmeasured factors in the model. Panel time-series data often exhibit non-stationarity, making it essential to ascertain the order of integration and co-integration [22]. Therefore, as an initial step in empirical analysis, a unit root test is conducted to address the issue of spurious regression. Additionally, it is crucial to determine the order of unit roots in the variables and the number of differencing operations required. Once the stationarity of all variables had been confirmed, researchers proceeded to assess the impact of health and economic proxies on methane emissions using fixed effects or random effects models. According to [23], panel data may exhibit individual effects, time effects, or both, which can be analyzed using fixed effect and/or random effect models. In this study, both models were employed to ascertain whether unobserved variables in the analysis were correlated with the observed variables.

2.4. Cost–Benefit Analysis (CBA)

CBA allows us to compare the costs that will occur in the near future with the benefits that will be evident in the distant future. Figure 1 enumerates the steps involved in performing the CBA of the methane recovery policy. This involves understanding the baseline scenario and providing the rationale for decisions about proposed alternatives.
After carefully evaluating the costs and benefits, the quantities were expressed in their present value through the use of discount rate to convert future costs and benefits into their present value. The formula used for calculation is
Benefits t o t a l = B t ( 1 + i ) t
Cost t o t a l = C t ( 1 + i ) t
where B t is the benefits at time t, C t is the cost at time t, i is the discount rate, and n is the terminal year of the project implementation. After the calculation of the present value of benefits and costs, the net benefits, or the net present value can now be calculated using the formula
NPV = B t C t ( 1 + r ) t t = 1 n
The net present value (NPV) is calculated by finding the difference between the present value of benefits and costs. For a project to be considered viable, the NPV should be greater than zero, indicating a positive value. This means that the project’s benefits outweigh the costs when evaluated at present values. Conversely, if the NPV is negative, it is advisable to consider the option to be economically unacceptable. The benefit–cost ratio (BCR) is the ratio of the present value of benefits to the present value of costs. It can be determined using a specific formula. A BCR greater than 1 indicates that the project’s benefits outweigh the costs and is, therefore, economically acceptable. Conversely, a BCR less than 1 suggests that the project should be rejected. A higher BCR suggests more favorable outcomes.
BCR = B t ( 1 + r ) t C t ( 1 + r ) t t = 1 n
It is important to consider that the costs and benefits of a project may change depending on variations in assumptions and input data. By employing sensitivity analysis using the CBA methodology, it becomes possible to identify a range of probable outcomes under changing inputs. This analysis is also essential for determining the threshold at which the net present value of a project becomes negative, as factors such as project scheduling, lifespan, geographic impact, and discount rates can all influence costs and benefits. The benefit transfer method is used to quantify impacts and costs. For instance, in 2018, the CCC/USAID-B-LEADERS conducted a cost–benefit study of the waste sector in the Philippines, which is a pertinent point of reference due to similarities in research location, population, and target variables.
The evaluation of costs related to the projects takes precedence, recognizing these expenses as detriments to the welfare of humans and society, as cited in Ref. [24]. The expenses identified in the study encompass (i) collection, transportation, and segregation, (ii) capital costs, and (iii) operating and maintenance costs. The inclusion of these costs is crucial due to the significant role that waste segregation plays in mitigating methane production in SWDS. Reducing the quantity of biodegradables and organics in SWDS not only diminishes methane emissions but also addresses related issues such as fires, and odor during waste collection and transport, effectively lowering SWM expenses. There is an emphasized need to improve waste diversion, augment waste segregation, and enhance CH4 capture and utilization, recognizing that the waste sector, covering both MSW and wastewater subsectors, significantly contributes to methane emissions, as noted by Ref. [25]. Furthermore, the analysis considers the expenses related to methane flaring and recovery systems and the development and operation of an onsite functional facility. Capital costs, listed in the third column, are calculated at a rate of USD 24.46 per ton of SLF capacity designated for methane recovery, based on 2010 USD, while operating and maintenance costs, presented in the fourth column, are calculated at a rate of USD 0.0134 per cubic meter of LFG, also based on 2010 USD. These calculations are aligned with the Philippine Government’s targets for waste management expenses. NSWMC’s goal for waste allocation to sanitary landfills by 2020, aiming for a 15% target rate of total generated MSW from 2010 to 2020, incorporates LEAP’s projection of total MSW for determining waste allocated in SLF. The value of PHP 1103.39 included in these calculations converts the USD 24.46 price per ton based on the 2010 USD/PHP exchange rate. For projections covering the years 2025–2030, the additional SLF capacity requirements cited by Ref. [26] were used in deriving the capital costs. Ref. [26] declared their target rates of recycling materials for the year 2025, 2030, and 2040. In this CBA, the researchers aligned with this target rates to derive a realistic amount benefit in SLCP reduction strategies.
According to Ref. [24], an observation can be deemed a benefit if it enhances human welfare. This premise holds true in the context of methane recovery scenarios, which are characterized by effective waste management and segregation strategies. One of the primary benefits identified in such actions is the significant amount of recyclable materials that can be recovered. By utilizing the LEAP’s projections for the total MSW generated in Metro Manila coupled with the segregation rates approximated by Ref. [3], a quantifiable increase in the utilization of recyclables was observed. The study specifies recycling rates of 14% for the base year, 2010, followed by 13.8%, 15%, and 16% for subsequent years 2025, 2030, and 2040, respectively.
Aiming to align with [3] targets for recycling materials in the years 2025, 2030, and 2040, this study proposes a realistic benefit in the strategic reduction of SLCPs. It incorporated recycling rates at 50%, 55%, and 60% of all aggregate recyclable materials for said years, respectively, with a 25% rate being applied to the baseline year, 2010 [25]. Following the determination of the volume of recyclables processed yearly in Metro Manila, their per kilogram values were calculated using average prices derived from various junk shops within the area, as showcased in the study conducted by the Japan International Cooperation Agency (JICA) in 2008. The pricing assessment covered an array of materials including plastics, papers, metals, glass, and aluminum. Plastics were further broken down into subcategories such as clear/transparent cups, ordinary plastics (including basins, containers, etc.), and plastic bottles (used for soft drinks, juices, water, etc.). Paper recyclables encompassed old newspapers, white bond paper, carton, and cardboards. Metals analyzed included ordinary steel and canned goods cans. Glass materials involved bottles used for beer, soft drinks, selected hard liquor, soy sauce, and fish sauce, etc. Lastly, this study evaluated aluminum recyclables, focusing on aluminum framing, bottle caps, and cans, providing a comprehensive insight into the potential benefits associated with methane recovery and waste segregation initiatives. To account for the assumption that the baseline of this study is 2010, the future values of the prices in the year 2008 were computed using inflation rates of 9.3%, 3.2 %, and 3.8% for the years 2008, 2009, and 2010 from the records of the Philippine Statistics Authority (PSA). In identifying other benefits, the researchers had to consider that this study was focused in the incremental benefit of the methane recovery scenario. Incremental outputs are the results of the projects that considered expanding, rather than totally replacing, existing supply and resources, to align and satisfy the expected increase in demand of a particular variable involved in the future. In the context of this study, the baseline scenario was retained with its business-as-usual implementations and was, later on, integrated with the outputs of the proposed mitigation, all throughout the years 2010–2050. Second, with the assumption that the outputs of the projects were not marketed, a non-revenue generating project was considered and the basis of benefits identification was the empirical relationship between the output of the project and its measurable impact. This can be detailed in terms of identifying the impacts on the economy through employment opportunities due to the construction of sites and facilities in methane recovery. The amount of job years that will be generated when the methane recovery scenario is implemented is 1413 for the years 2015–2030. The job years were then monetized using the PHP 404 July 2010 minimum wage in the private sector in the National Capital Region for the non-agriculture sector. According to Ref. [27], one job for one year is defined to be one “job year”, and, if that job continues for another 2 years or 12 months, it is now two "job years”. After obtaining the possible income of a person for one year, this can now be multiplied to the 1413 job years generated. The resulting amount, and the monetized employment impact, is 148.99 million. Another benefit to be considered is the community’s direct benefit from the intervention, specifically the prevented costs of paying for the amount of electricity.
It was assumed that the electricity that will be generated from the LFG technology will be used across different sectors. The projected energy demand given by this study was initially for the years 2010–2030 only, so the remaining years were extrapolated. Table 1 in column two, shows the equivalent kWh of LEAP’s projection of methane captured, assuming that 50% of LFG is methane with a capture efficiency of 50%. From the same table, there is a significant and consistent increase in the projected energy demand from 2010 to 2050, highlighting the growing energy needs over the years, and the amount of methane captured shows an initial decrease, indicating potential changes in methane sources or capture efficiency.
Using the estimated electricity generated, the remaining amount of energy to be shouldered by people’s own expenses, if the electricity generated should ever be used to cover some of the projected energy demand in column 4, can now be solved. Table 2 gives the savings that can be obtained with the presence of LFG technology through time calculate using a 5.84 per kWh rate from March 2010 for the cost of electricity, with savings from 2010 to 2050 amounting to almost PHP 103 billion. The savings achieved by using LFG technology, although gradually decreasing from approximately 14.5 billion in 2010 to 10.9 billion in 2050, still represent a significant economic advantage. This consistent reduction in electricity costs underscores the long-term value and importance of adopting LFG technology, even as its relative savings impact diminishes over time. Implementing LFG technology results in substantial cumulative savings, highlighting its potential as a cost-effective strategy for sustainable energy production.
On the other hand, by the benefit transfer method, the researchers included the incremental human health impact value and GHG mitigation potential from the CBA study in estimating the benefits of the methane recovery scenario. The human health impact assessment included the amount of incremental cases of avoided premature deaths from 2015 to 2030. The monetization amounted to 40.3 million 2010 USD. The mitigation potential can be monetized by computing for the tons of waste recycled instead of landfilled, and eventually computing for the possible revenue of those recycled materials. This can be done by, first, using the net emission reduction from recycling compared with which of the materials that are landfilled, or the avoided emissions from landfilling, which is 2.87 mtCO2e/ton of waste recycled instead of landfilled [19].

3. Results

The projected waste generation in Metro Manila is seen to continuously increase over the years, as seen in Figure 2. The LEAP-IBC tool calculated the projection from the 2010 base year to the 2050 end year by considering two variables, which are the population whose waste is collected and the annual MSW generation rate. Due to the expected increase in population as projected under the demographics branch inside the key assumptions of LEAP-IBC, MSW generation is also going to increase over the years.
In 2010, it is observed that Metro Manila generated 3,811,230 metric tonnes of municipal solid waste, which is higher compared to the 2.99 million metric tonnes projected by DENR-EMB in 2014. However, in comparison to the same study, Metro Manila, by 2020, generates 4.489 million metric tonnes of MSW, which is much closer to the 4.441 million metric tonnes projected by DENR-EMB. The deviation in the 2010 calculation may be explained by the higher averaged MSW generation rate used in LEAP-IBC, which is 0.69 kg/capita/day, whereas the study done by DENR-EMB (2014) used 0.40 kg/capita/day.
With MSW increasing over the years, Metro Manila’s methane emissions coming from the MSW sector is also in an increasing trend. The IPCC model for methane emission estimation was manually incorporated inside the LEAP-IBC tool for each of the 17 cities with varying population and waste generation rates. From Figure 3, it can be seen that in 2010, 97.30 million metric tonnes of methane emissions were produced. Under the baseline scenario, it is assumed that no methane emission was recovered, so the projection continued to increase until the end year and, by 2050, Metro Manila could produce 158.06 million metric tonnes of methane emissions from the waste sector alone. The increasing trend of methane emissions in the baseline scenario agrees with the study done in Tehran; however, these projected values are smaller compared to Tehran’s projections that range from 150 to 200 million cubic meters of methane emissions. This can be explained by factors in the equation that can affect the methane emission calculation such as Tehran’s higher MSW generation rate of 0.84 kg/capita/day and better garbage collection efficiency. Even though Metro Manila produces 9500 tons of MSW daily, Ref. [28] revealed that only 54.81% of it ends up in the SLFs and 45.19% is not properly disposed.
From the 17 cities, there are three outliers in the plot of methane emissions versus population density shown in Figure 4. Going back to Figure 2, these cities have the biggest methane emissions as a result of their bigger population and waste generation rates compared to the rest of Metro Manila. From the distribution of the plot, two extreme behaviors can be seen. The first one is Quezon City, which exhibits the highest methane emissions with a low population density. This behavior is explained by Quezon City having the biggest land area of 171.71 km2, which is three to twenty-nine times larger compared to the other cities. On the other hand, Manila City has a lower methane emission relative to Quezon City but has the highest population density, as suggested by Manila’s higher population relative to its land area.
Figure 5 shows that methane emissions will decrease compared to the baseline scenario where no methane is to be recovered. It is apparent that, with the three different targets of methane capture, the amount of methane emissions will decrease significantly from 127.036 million metric tonnes (baseline) to 81.303 million metric tonnes by 2025, from 135.358 million metric tonnes (baseline) to 64.972 million metric tonnes by 2030, and from 150.554 (baseline) million metric tonnes to 69.255. The trend of the methane recovery scenario starts to increase after the biggest capture in 2030 as the volume of the methane being emitted is expected to increase with more intensity, especially when considering that, after 2040, no other target is specified. Hence, the trend continues to increase relatively with the increase in waste generated and the population whose waste is being collected.
From the perspective of GHG emissions, as methane is also a greenhouse gas, it is evident that the methane recovery scenario is better than the baseline as shown from the one hundred years GHG emissions diagram in Figure 6. According to the baseline and methane recovery scenarios, the global warming potential in 2010 is estimated to be 2112 million metric tonnes of carbon dioxide equivalent. This value is much higher, since methane is 21 times more capable of warming the atmosphere than carbon dioxide. However, after 2010, the baseline’s global warming potential is much higher than the methane recovery scenario in each year. By 2050, the global warming potential reaches to 3.430 and 1.578 million metric tonnes of CO2 equivalent for baseline and methane recovery, respectively. In the span of 40 years, from 2010 to 2050, a total of 10.249 million metric tonnes of CO2 equivalent is avoided in the methane recovery compared to the BAU.
With the calculation done in the IBC feature of the software, this study was able to distinguish the temperature increase in each scenario. It is observable in Figure 7 that the deviation from the temperature increase in each scenario becomes more observable as the years go on. Generally, the temperature increase is much higher in the baseline scenario compared to the methane recovery scenario, since the methane emissions keep on growing without any action or mitigation in the baseline. A minimum of 4.1 × 10 4 °C (year 2015) and a maximum of 1.9 × 10 2 °C (year 2050) increases in temperature can be avoided under the methane recovery scenario. It is implied that, in both scenarios, the temperature will still continue to increase over the years, but the increase will be slower if a mitigation like the methane recovery scenario from the waste sector is implemented. The slower increase in temperature aligns with the result of having a lower global warming potential of methane emissions under the mitigation scenario. Thus, it implies that, with a slower temperature increase and a lower global warming potential seen under the proposed mitigation scenario, the adverse effects of climate change brought about by the SLCP, methane, can be lessened and future costs due to damages or drastic adaptation measures can be avoided. For the ambient temperature change, there is a slight difference in projection compared to the actual temperatures during the COVID-19 situation, wherein the temperature change is seen to decline during 2019 to early 2021.
The Harris–Tzavalis unit root test, which is a specified unit root test for panel data, was used to check whether the variables methane emissions (ME), population (Pop), gross domestic product per capita (GDPC), and life expectancy (LE) were stationary. All of the variables used are in logarithmic form. The results indicated that the p-values of lnME, lnPop, lnGDPC, and lnLE are 0.9965, 0.9965, 1.000, and 0.9995, respectively. It can be seen that the p-values are greater than 0.01. Thus, the researchers failed to reject the null hypothesis at a 1% level of significance. This means that the researchers were confident that each of the panels contain a unit root, which implies that lnME, lnPop, lnGDPC, and lnLE are all stationary at their levels. Because they are stationary, the researchers confirmed that we do not have a spurious regression. In the fixed effects model, when the Prob > F has a value that is less than 0.05, it indicates that the model used is appropriate. This is a test to see whether all the coefficients in the model are different than zero. From the results generated by Stata, it is seen that the Prob > F is 0.0000. Thus, the fixed effects model was clearly the right model to use since the probability based on the F-test is less than 0.05. The variables lnPop and lnGDPC are significant variables since the Prob> |t|, which are 0.000 and 0.044, respectively, are less than 0.05.
Looking at the coefficients in Table 3, there is a one percent increase in lnPop that leads to a 1.000001 increase in lnME. This information confirms and agrees with the result of the previous studies regarding methane emissions and urbanization. As people move to the cities and the population grows, waste generation increases, leading to a linear increasing effect on methane emissions. Furthermore, the result states that a one percent increase in lnGDPC causes a 0.00000137 decrease in methane emissions. As the GDP per capita is an indicator of human well-being, this only proves that, as the economic state of an area improves, the solid waste management also improves, which leads to a decline in the emission of said pollutant. Finally, a one percent increase in lnLE causes a 0.0000347 increase in methane emissions. This result only relays the information that the longer a human person lives, the more waste the individual generates and the more emissions the person leaves behind. From these results, it is seen that the improvement of solid waste management through the representation of GDP per capita is a vital key in reducing methane emissions as the population growing or the length of time a person lives on this planet cannot be controlled.
In order to determine if the random effects model is the appropriate model to use, the Prob > chi2 should be less than 0.05. This is a test to see whether all the coefficients in the model are different than 0. From the generated result from Stata, it is clearly seen that the Prob > chi2 is equal to 0.0000. Hence, the random effects model, as seen in the results in Table 4, can also be used for these panel data. The RE model has almost the same interpretation as the FE model (Table 5), except that, unlike the fixed effects model, the variation across entities for RE models is assumed to be random and uncorrelated with the predictor or independent of the variables included in the model. Again, the random effects model suggest that, to reduce methane emissions, better solid waste management is needed through the improvement of the economic state.
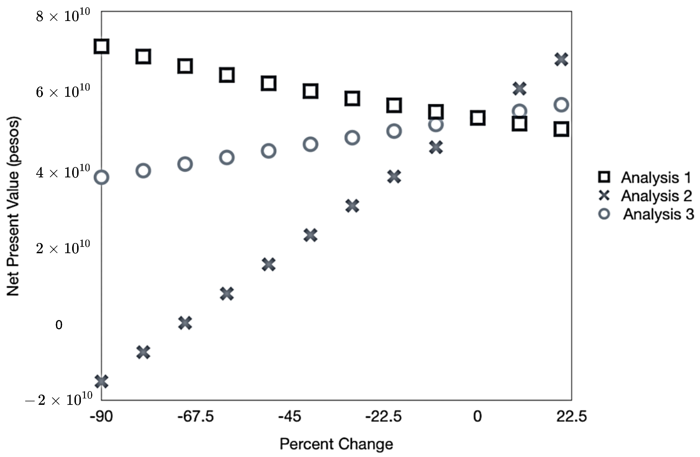
After getting the NPV and BCR, a sensitivity analysis was performed in order to identify how the net present value will change if particular parameters deviate from their target and anticipated values. In this analysis, three analysis scenarios were considered. Analysis 1 varied the discount rate, Analysis 2 varied the efficiency of LFG technology electricity generation, and Analysis 3 varied the rate of recycling collected waste from the total MSW generated. For Analyses 1 and 2, the researchers started at a 10% discount rate, and 50% efficiency, respectively. On the other hand, for the recycling rate of Analysis 3, the researchers started at 50%, 55%, and 60%, the same rates used in the calculations of recyclables above. The results in Figure 8 show the different behavior of NPVs when specific parameters are accordingly varied by percent. The analysis with the largest positive slope on the positive range ahead of the base scenario, i.e., after the (0,0) point, is considered to be the highest contributor to the project’s economics, in this case, Analysis 2. It can also be observed how large its negative slope is, which means that it also has a negative impact on the project if its parameters are varied, in this case, specifically, the efficiency of methane transformation for electricity generation. It should be noted that the behavior of the graph of Analysis 1, when there is too much increase in the discount rate, will eventually have a negative effect on the project economics.
The net present value for the years 2010–2050 is PHP 52 billion. Since the NPV is greater than 0, this indicates that the project is economically viable and gives a better return on investment. In Figure 9, the NPV across each year is uniformly positive, since the benefits are continuously greater than the costs and the slight tweak in the present costs in the year 2030 of the same figure is due to the fact that the full potential of the methane recovery system is set to be achieved during this year, deploying 56% of the SLFs’ waste capacity for methane recovery. Overall, the decreasing trend of the costs and benefits is also caused by the government’s target to close and rehabilitate the SWDS towards the end of the project period. For the benefit–cost ratio, a value of 2.10 was obtained. Through the benefit–cost ratio, the confidence regarding the costs and benefits can be justified. The BCR of 2.10 implies that the project is worth the investment. If the BCR is close to 1, then there is a risk than any cost overrun or changes in the key parameters could bring it below 1, which, in turn, indicates that the project is not worth the investment. With the BCR that is obtained, there is a safety margin that the researchers can hold onto if specific assumptions and target are not met along the way. However, even with this kind of safety margin, the researchers also have to look at how each benefit is sensitive to each change in the parameter. With the sensitivity analysis, it is found that changing the efficiency of the LFG technology has a great effect on the net benefits of the project. Therefore, this kind of risk should also be considered along the process of policy evaluation.

4. Conclusions

This research provided a comprehensive analysis on the environmental, financial, and economic impacts of implementing methane recovery for electricity generation for SLFs from 2010 to 2050. The LEAP-IBC results signify that megacities like Metro Manila have huge potential to turn their problems with managing MSW into clean energy and aid in the energy demand sector. Since methane recovery for electricity production is considered a renewable energy, this would help policymakers to lessen their dependence on non-renewable energies. The study calculated that Metro Manila generated about 3.8 and 4.5 million metric tonnes of MSW in 2010 and 2020, respectively—which will continue to grow until 2050. As a result, the methane emissions from the waste sector will also follow the same behavior and, by 2050, Metro Manila will be able to produce 158.06 million metric tonnes of methane emissions. The three most populous areas, which are Quezon, Manila, and Caloocan, comprise the largest parts of this accumulated methane emissions. There are different alternative technologies to treat waste in a more sustainable process. In this study, the methane recovery scenario was explored and assessed in order to derive possible costs and benefits that may come along with the project. The computation produced a positive net benefit, indicating that methane is a viable option for electricity generation.
In assessing additional benefits of the methane recovery scenario, the study considered the incremental economic impacts, particularly in job creation and electricity cost savings. From 2015–2030, methane recovery is anticipated to generate 1413 job years, with a monetized employment impact of PHP 148.99 million, calculated using the minimum wage rate of PHP 404 in July 2010. Regarding electricity, the study projected the growing energy demand up to 2050 and the potential electricity generation from landfill gas (LFG) technology, assuming 50% methane capture efficiency and its conversion to electricity with the same efficiency rate. This implies a direct benefit from avoided electricity costs across different sectors, highlighting the study’s comprehensive approach to evaluating the advantages of methane recovery in the context of sustainable waste management and its economic implications.
Although a large amount of costs is needed, these costs were compensated with the project’s significant benefits to human health, the environment, and the economy. Project risks such as the crucial MSW management and varying discount rates were identified, which shows that they greatly affect the benefits that will be derived from the methane recovery scenario. The study detailed that only 4% of the LGUs in the Philippines use SLFs as their disposal facilities. With this, the project’s effectiveness relies on the success of the most basic unit of waste initiatives of not just the Philippine Government Departments, but also LGUs. Since waste management cannot be done alone by the government, LGUs are strongly encouraged to participate in future waste management plans. For example, their participation in terms of collaborative planning and implementation of waste disposal to SLFs is significant, since not all municipalities have SLFs that they can use for electricity generation projects. SLFs in the Philippines are located in different places, they vary in solid waste capacities, and their life time is also limited. In 2016, since only 15 percent of LGUs had access to SLFs, it was recommended to also cluster sanitary landfills in the country in order for the LGUs to share costs in establishing each landfill site. These recommendations are supported by Republic Act 7160 Section 33, of the Philippine Constitution, that LGUs may group themselves and coordinate their resources, efforts, and their services for their benefit and the environment, as long as they abide by the law. This collaboration is also important because if the capacity of some SLFs is not maximized, or at least the minimum amount of waste needed to generate a substantial amount of methane for electricity generation is not achieved, then the costs associated with the whole investment of the landfill project might fail to generate the expected benefits above. With this, the researchers strongly assert that, in order to run an effective and efficient MSW management, LGUs’ compliance with RA 9903 is required, through participation in the waste management plans of the government. For further research, it is recommended to tackle the input and output associated with the facilities of methane recovery systems, for example, by exploring if the amount of fuel needed to run the facility is efficient, and the amount of emissions that will be generated is still sustainable and non-destructive to the environment. This kind of analysis can help discover new findings if the proposed mitigation will affect the benefits calculated above and formulate new alternatives or proposal in maintaining the project’s economic viability. It is also preferable to consider, first, the amount of methane being emitted by an area, since it is crucial to the success of implementing the mitigation scenario proposed in this study. Areas like the Municipality of Pateros and the City of Taguig with lower populations and annual organic waste generation naturally have low methane emissions, which may infer the possibility of coming together in order to come up with a better cost and bigger benefits.

Author Contributions

Conceptualization, methodology, and data collection: E.V., J.J. and M.T.; data analysis, M.T., J.J. and E.V.; writing—original draft, J.J., M.T. and E.V.; supervision, E.V.; project administration, E.V., L.S. and M.C.G.; writing—review and editing, J.J., M.T. and E.V. All authors have read and agreed to the published version of the manuscript.

Funding

This research received no external funding.

Data Availability Statement

The datasets generated and analyzed during the current study are available from the corresponding author on reasonable request. However, there may be limitations on the availability of certain data. Interested researchers are encouraged to contact the corresponding author to discuss their data needs and any necessary agreements or approvals.

Acknowledgments

The authors are very grateful for the insights of the Climate Change Division of the DENR-EMB for this study.

Conflicts of Interest

The authors declare no conflicts of interest.

Abbreviations

The following abbreviations are used in this manuscript:
GWPGlobal Warming Potential
LEAPLong-Range Energy Alternatives Planning Software
DOCDegradable Organic Carbon
GHGGreenhouse Gas
NSWMCNational Solid Waste Management Council
DENRDepartment of Environment and Natural Resources
BAUBusiness-As-Usual
LFGLandfill Gas
UNFCCCUnited Nations Framework Convention on Climate Change
DENR-EMBDepartment of Environment and Natural Resources–Environmental Management Bureau
SLFSanitary Landfill
LEAP-IBCLong-Range Energy Alternatives Planning Software Integrated Benefits Calculator
MMDAMetropolitan Manila Development Authority

References

  1. Willetts, E. Short-lived Climate Pollutants; Technical Report; WHO Headquarters: Geneva, Switzerland, 2016; Available online: https://cdn.who.int/media/docs/default-source/climate-change/who-unfccc-cop27_slcps_11122_lc.pdf?sfvrsn=9acb9d96_4&download=true (accessed on 1 July 2024).
  2. Kashyap, R.; Chugh, P.; Nandakumar, T. Opportunities & Challenges in Capturing Landfill Gas from an Active and Un-scientifically Managed Land Fill Site—A Case Study. Procedia Environ. Sci. 2016, 35, 348–367. [Google Scholar] [CrossRef]
  3. Department of Environment and Natural Resources. National Solid Waste Management Status Report [2008–2018]; Technical Report; Environmental Management Bureau: Quezon City, Philippines, 2019. [Google Scholar]
  4. Nguyen, L.; Quintana, A.; Rowland, A.; Vegh-Gaynor, G. Mitigating Methane: A Global Health Strategy-Overview. The Global Climate & Health Alliance. 2023. Available online: https://climateandhealthalliance.org/wp-content/uploads/2023/08/MethaneReport-Overview-FINAL.pdf (accessed on 1 July 2024).
  5. Agarwal, R.; Khanna, A.; Mukerji, N.; Abrao, M. Managing the Climate Impact of Human Waste; Technical Report; USAID: Washington, DC, USA, 2023; Available online: https://www.globalwaters.org/sites/default/files/managing_the_climate_impact_of_human_waste.pdf (accessed on 8 May 2012).
  6. World Meteorological Association. Global Methane Assessment Released. 2021. Available online: https://wmo.int/media/news/global-methane-assessment-released (accessed on 8 May 2012).
  7. Nurwahyudin, D.S.; Trihastuti, N.; Utama, N.A. Energy Planning in West Java using Software LEAP (Long-range Energy Alternatives Planning). E3S Web Conf. 2022, 359, 01001. [Google Scholar] [CrossRef]
  8. Yang, D.; Liu, D.; Huang, A.; Lin, J.; Xu, L. Critical transformation pathways and socio-environmental benefits of energy substitution using a LEAP scenario modeling. Renew. Sustain. Energy Rev. 2021, 135, 110116. [Google Scholar] [CrossRef]
  9. Hu, G.; Ma, X.; Ji, J. Scenarios and policies for sustainable urban energy development based on LEAP model—A case study of a postindustrial city: Shenzhen China. Appl. Energy 2019, 238, 876–886. [Google Scholar] [CrossRef]
  10. Sahabuddin, M.; Khan, I. Analysis of demand, generation, and emission for long-term sustainable power system planning using LEAP: The case of Bangladesh. J. Renew. Sustain. Energy 2023, 15, 035503. [Google Scholar] [CrossRef]
  11. Shin, H.; Park, J.W.; Kim, H.S.; Shin, E.S. Environmental and economic assessment of landfill gas electricity generation in Korea using LEAP model. Energy Policy 2005, 33, 1261–1270. [Google Scholar] [CrossRef]
  12. Couth, R.; Trois, C.; Vaughan-Jones, S. Modelling of greenhouse gas emissions from municipal solid waste disposal in Africa. Int. J. Greenh. Gas Control 2011, 5, 1443–1453. [Google Scholar] [CrossRef]
  13. Adame, L.F.; Rodriguez-Martinez, A.; Cerezo, J.; Romero, R.J. A Sustainable Development Assessment to 2050 of the Transport Sector in Mexico. Chem. Eng. Trans. 2021, 86, 469–474. [Google Scholar] [CrossRef]
  14. Kemausuor, F.; Nygaard, I.; Mackenzie, G. Prospects for bioenergy use in Ghana using Long-range Energy Alternatives Planning model. Energy 2015, 93, 672–682. [Google Scholar] [CrossRef]
  15. Nojedehi, P.; Heidari, M.; Ataei, A.; Nedaei, M.; Kurdestani, E. Environmental assessment of energy production from landfill gas plants by using Long-range Energy Alternative Planning (LEAP) and IPCC methane estimation methods: A case study of Tehran. Sustain. Energy Technol. Assess. 2016, 16, 33–42. [Google Scholar] [CrossRef]
  16. Blewett, M. Waste and Climate Change: A Critical Review of Clean Development Mechanism Landfill Gas Projects. Master’s Thesis, TU Wien, Vienna, Austria, 2010. [Google Scholar]
  17. The World Bank. Philippines: Modernizing Landfills to Reduce Harmful Methane Emissions. 2016. Available online: https://www.worldbank.org/en/news/press-release/2016/01/21/philippines-modernizing-landfills-to-reduce-harmful-methane-emissions (accessed on 1 July 2024).
  18. Livermore, M.A. Can Cost-Benefit Analysis of Environmental Policy Go Global? N. Y. Univ. Environ. Law J. 2012, 19, 146–193. [Google Scholar]
  19. United States Environmental Protection Agency. Carbon Dioxide Emissions Associated with Bioenergy and Other Biogenic Sources. 2017. Available online: https://19january2017snapshot.epa.gov/climatechange/carbon-dioxide-emissions-associated-bioenergy-and-other-biogenic-sources_.html (accessed on 1 July 2024).
  20. Heaps, C. LEAP: The Low Emissions Analysis Platform. 2020. Available online: https://www.sei.org/tools/leap-long-range-energy-alternatives-planning-system/ (accessed on 1 July 2024).
  21. Jensen, J.E.F.; Pipatti, R. CH4 Emissions from Solid Waste Disposal; Technical Report; Intergovernmental Panel on Climate Change: Geneva, Switzerland, 2018; Available online: https://www.ipcc-nggip.iges.or.jp/public/gp/bgp/5_1_CH4_Solid_Waste.pdf (accessed on 1 July 2024).
  22. Smith, R.; Fuertes, A.M. Panel Time-Series. 2010. Available online: https://api.semanticscholar.org/CorpusID:240313530 (accessed on 1 July 2024).
  23. Park, H. Practical Guides To Panel Data Modeling: A Step-by-Step Analysis Using Stata; International University of Japan: Niigata, Japan, 2011. [Google Scholar]
  24. Atkinson, G.; Groom, B.; Hanley, N.; Mourato, S. Environmental Valuation and Benefit-Cost Analysis in U.K. Policy. J. Benefit-Cost Anal. 2018, 9, 97–119. [Google Scholar] [CrossRef]
  25. NSWMC; DENR; IGES. National Strategy to Reduce Short-Lived Climate Pollutants from Municipal Solid Waste Sector in the Philippines; Department of Environment and Natural Resources: Manila, Philippines, 2019. [Google Scholar]
  26. Department of Environment and Natural Resources. National Solid Waste Management Status Report (2008–2014); Technical Report; Department of Environment and Natural Resources: Manila, Philippines, 2015. [Google Scholar]
  27. Milstead, D. Confusion over ‘Job Years’. 2011. Available online: https://www.theglobeandmail.com/report-on-business/economy/economy-lab/confusion-over-job-years/article613985/ (accessed on 1 July 2024).
  28. Badilla, N. 45 Percent of Metro’s Garbage Not Properly Disposed. The Manila Times, 27 December 2017. [Google Scholar]
Figure 1. CBA framework used in the study.
Figure 1. CBA framework used in the study.
Sustainability 16 06246 g001
Figure 2. Projection of total waste generated in Metro Manila.
Figure 2. Projection of total waste generated in Metro Manila.
Sustainability 16 06246 g002
Figure 3. Projected methane emissions by cities in baseline scenario.
Figure 3. Projected methane emissions by cities in baseline scenario.
Sustainability 16 06246 g003
Figure 4. Methane emissions and population density from 2010 to 2050.
Figure 4. Methane emissions and population density from 2010 to 2050.
Sustainability 16 06246 g004
Figure 5. Methane emissions under the methane recovery scenario from 2010 to 2050.
Figure 5. Methane emissions under the methane recovery scenario from 2010 to 2050.
Sustainability 16 06246 g005
Figure 6. GHG emissions under each scenario.
Figure 6. GHG emissions under each scenario.
Sustainability 16 06246 g006
Figure 7. Ambient temperature change due to direct methane emissions from MSW.
Figure 7. Ambient temperature change due to direct methane emissions from MSW.
Sustainability 16 06246 g007
Figure 8. NPV vs. percent change of different analysis.
Figure 8. NPV vs. percent change of different analysis.
Sustainability 16 06246 g008
Figure 9. Present values of costs and benefits from 2010 to 2050.
Figure 9. Present values of costs and benefits from 2010 to 2050.
Sustainability 16 06246 g009
Table 1. Electricity generated and projected energy demand from 2010 to 2050.
Table 1. Electricity generated and projected energy demand from 2010 to 2050.
YearMethane Captured (kWh)Electricity Generated, 50% Eff. (kWh)Projected Demand (kWh)
20102,752,897,0751,376,448,538209,340,000,000
20152,645,757,5751,322,878,788255,860,000,000
20202,464,394,6641,232,197,332314,010,000,000
20252,225,886,4881,112,943,244418,680,000,000
20301,778,769,214889,384,607511,720,000,000
20351,843,060,032921,530,016572,196,000,000
20401,896,032,950948,016,475663,607,800,000
20451,980,564,028990,282,014751,856,240,000
20502,057,095,3711,028,547,686829,084,092,000
Table 2. Electricity cost with and without LFG technology.
Table 2. Electricity cost with and without LFG technology.
YearWithout LFG TechnologyWith LFG TechnologySavings
20102,210,504,796,0002,195,970,325,31314,534,470,687
20152,701,728,084,0002,687,759,277,73113,968,806,269
20203,315,757,194,0003,302,745,929,49213,011,264,508
20254,421,009,592,0004,409,257,579,10911,752,012,891
20305,403,456,168,0005,394,064,800,1819,391,367,819
20356,042,046,442,4006,032,315,638,3499,730,804,051
20407,007,300,203,3206,997,289,718,15410,010,485,166
20457,939,150,780,6567,928,693,996,75710,456,783,899
20508,754,630,561,0658,743,769,714,63510,860,846,430
Table 3. Statistical overview of the variables in logarithmic forms: methane emission (ME), population (Pop), GDP per capita (GDPC), and life expectancy (LE).
Table 3. Statistical overview of the variables in logarithmic forms: methane emission (ME), population (Pop), GDP per capita (GDPC), and life expectancy (LE).
VariableMeanStd. Dev.Min.Max.
overall15.398950.996488312.9261817.52593
log(ME)between 1.01573813.2043817.31896
within 0.143388815.1207615.60593
overall13.37590.881164611.0689315.31653
log(Pop)between 0.895534311.3471315.10956
within 0.143388813.097713.58288
overall8.6852390.64634687.669979.814021
log(GDPC)between 08.6852398.685239
within 0.64634687.669979.814021
overall4.2640560.02328424.2242034.303216
log(LE)between 04.2640564.260456
within 0.02328424.2242034.303216
Table 4. Random effects model results.
Table 4. Random effects model results.
Coef.Std. Err.zP > |z|
lnPop 1.000001 1.99 × 10 6 5.0 × 10 5 0.000
lnGDPC 1.37 × 10 6 6.78 × 10 7 2.02 0.043
lnLE 0.000347 0.000188 1.85 0.065
cons 2.022909 0.0841854 24.03 0.000
Table 5. Fixed effects model results.
Table 5. Fixed effects model results.
Coef.Std. Err.tP > |t|
lnPop 1.000001 1.99 × 10 6 5.0 × 10 5 0.000
lnGDPC 1.37 × 10 6 6.79 × 10 7 2.02 0.044
lnLE 0.000347 0.000188 1.85 0.065
cons 2.022909 0.000704 2.9 × 10 4 0.000
Disclaimer/Publisher’s Note: The statements, opinions and data contained in all publications are solely those of the individual author(s) and contributor(s) and not of MDPI and/or the editor(s). MDPI and/or the editor(s) disclaim responsibility for any injury to people or property resulting from any ideas, methods, instructions or products referred to in the content.

Share and Cite

MDPI and ACS Style

Jao, J.; Toyokan, M.; Vallar, E.; Silva, L.; Galvez, M.C. Assessment of Municipal Solid Waste Management Scenarios in Metro Manila Using the Long-Range Energy Alternatives Planning-Integrated Benefit Calculator (LEAP-IBC) System. Sustainability 2024, 16, 6246. https://doi.org/10.3390/su16146246

AMA Style

Jao J, Toyokan M, Vallar E, Silva L, Galvez MC. Assessment of Municipal Solid Waste Management Scenarios in Metro Manila Using the Long-Range Energy Alternatives Planning-Integrated Benefit Calculator (LEAP-IBC) System. Sustainability. 2024; 16(14):6246. https://doi.org/10.3390/su16146246

Chicago/Turabian Style

Jao, Jazzie, Maryfe Toyokan, Edgar Vallar, Liz Silva, and Maria Cecilia Galvez. 2024. "Assessment of Municipal Solid Waste Management Scenarios in Metro Manila Using the Long-Range Energy Alternatives Planning-Integrated Benefit Calculator (LEAP-IBC) System" Sustainability 16, no. 14: 6246. https://doi.org/10.3390/su16146246

APA Style

Jao, J., Toyokan, M., Vallar, E., Silva, L., & Galvez, M. C. (2024). Assessment of Municipal Solid Waste Management Scenarios in Metro Manila Using the Long-Range Energy Alternatives Planning-Integrated Benefit Calculator (LEAP-IBC) System. Sustainability, 16(14), 6246. https://doi.org/10.3390/su16146246

Note that from the first issue of 2016, this journal uses article numbers instead of page numbers. See further details here.

Article Metrics

Back to TopTop