Contributions of Different Perennial Grass Species and Their Roots’ Characteristics to Soil Organic Carbon Accumulation
Abstract
1. Introduction
| Species | Growth Form | Storage Organ | Type of Clonal Growth Organ | Ellenberg-Type Ecological Indicator Values | |||
|---|---|---|---|---|---|---|---|
| Light 1 | Temperature 2 | Moisture 3 | Nutrient 4 | ||||
| Arrhenatherum elatius | Perennial clonal herb | Shoot tuber, tuft | hypogeogenous rhizome | 7 | 5x | 5x | 7 |
| Phleum pratense | epigeogenous rhizome | 7 | 5 | 5 | 7 | ||
| Medicago sativa | Polycarpic perennial non-clonal herb | Pleiocorm, primary storage root | - | 8 | 6 | 4 | 5x |
| Trifolium pratense | - | 7 | 5x | 5 | 6x | ||
2. Materials and Methods
2.1. Study Area and Sampling
2.2. Chemical Analyses of Soil and Roots
2.3. Statistical Analysis
3. Results and Discussion
3.1. Soil Organic Carbon
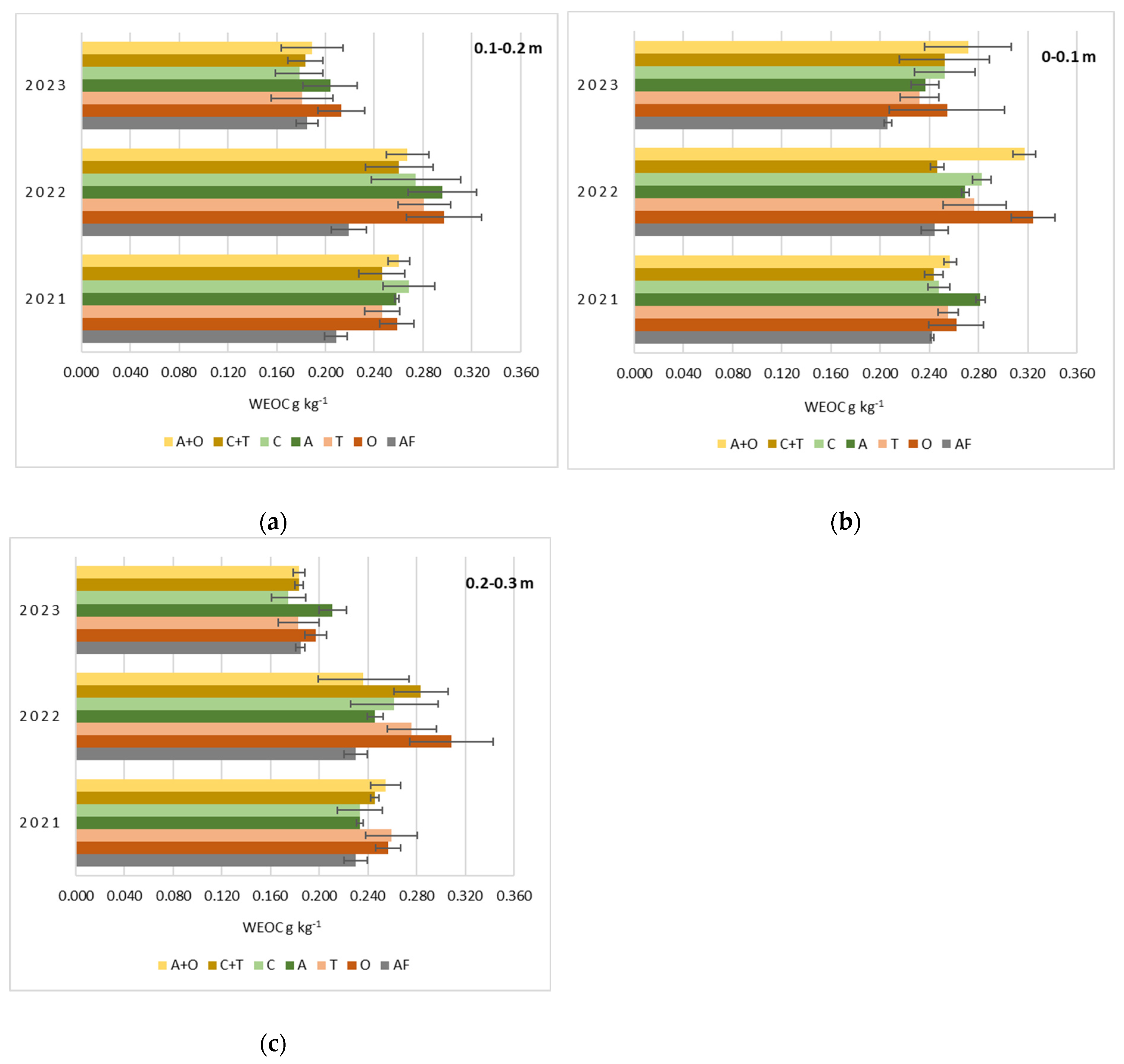
3.2. Water-Extractable Organic Carbon
3.3. Roots Biomass and Length
3.4. Root Carbon-to-Nitrogen Ratio
3.5. Correlation of SOC and WEOC
4. Conclusions
Author Contributions
Funding
Institutional Review Board Statement
Informed Consent Statement
Data Availability Statement
Acknowledgments
Conflicts of Interest
References
- Asbjornsen, H.; Hernandez-Santana, V.; Liebman, M.; Bayala, J.; Chen, J.; Helmers, M.; Ong, C.K.; Schulte, L.A. Targeting Perennial Vegetation in Agricultural Landscapes for Enhancing Ecosystem Services. Renew. Agr. Food Syst. 2000, 29, 101–125. [Google Scholar] [CrossRef]
- Weißhuhn, P.; Reckling, M.; Stachow, U.; Wiggering, H. Sustainability Supporting Agricultural Ecosystem Services through the Integration of Perennial Polycultures into Crop Rotations. Sustainability 2017, 9, 2267. [Google Scholar] [CrossRef]
- NASA. Carbon Dioxide Vital Signs—Climate Change: Vital Signs of the Planet. Available online: https://climate.nasa.gov/vital-signs/carbon-dioxide/ (accessed on 31 May 2024).
- UNFCCC. Report of the Conference of the Parties on Its Twenty-First Session, Held in Paris from 30 November to 13 December 2015. Part One: Proceedings. Available online: https://unfccc.int/documents/9096 (accessed on 31 May 2024).
- European Commission. The European Green Deal. Available online: https://commission.europa.eu/strategy-and-policy/priorities-2019-2024/european-green-deal_en (accessed on 31 May 2024).
- Mattila, T.J.; Hagelberg, E.; Söderlund, S.; Joona, J. How Farmers Approach Soil Carbon Sequestration? Lessons Learned from 105 Carbon-Farming Plans. Soil Tillage Res. 2022, 215, 105204. [Google Scholar] [CrossRef]
- Moerkerken, A.; Blasch, J.; Van Beukering, P.; Van Well, E. A New Approach to Explain Farmers’ Adoption of Climate Change Mitigation Measures. Clim. Change 2020, 159, 141–161. [Google Scholar] [CrossRef]
- Lantz, U.; Baldos, C.; Fuglie, K.O.; Hertel, T.W.; Baldos, L.C. The Research Cost of Adapting Agriculture to Climate Change: A Global Analysis to 2050. Agr. Econ. 2019, 51, 207–220. [Google Scholar] [CrossRef]
- Elias, D.M.O.; Mason, K.E.; Howell, K.; Mitschunas, N.; Hulmes, L.; Hulmes, S.; Lebron, I.; Pywell, R.F.; Mcnamara, N.P. The Potential to Increase Grassland Soil C Stocks by Extending Reseeding Intervals Is Dependent on Soil Texture and Depth. J. Environ. Manag. 2023, 334, 117465. [Google Scholar] [CrossRef] [PubMed]
- Sollenberger, L.E.; Kohmann, M.M.; Dubeux, J.C.B.; Silveira, M.L. Grassland Management Affects Delivery of Regulating and Supporting Ecosystem Services. Crop Sci. 2019, 59, 441–459. [Google Scholar] [CrossRef]
- Iepema, G.; Hoekstra, N.J.; de Goede, R.; Bloem, J.; Brussaard, L.; van Eekeren, N. Extending Grassland Age for Climate Change Mitigation and Adaptation on Clay Soils. Eur. J. Soil Sci. 2022, 73, e13134. [Google Scholar] [CrossRef]
- Nunes, M.R.; van Es, H.M.; Schindelbeck, R.; Ristow, A.J.; Ryan, M. No-till and Cropping System Diversification Improve Soil Health and Crop Yield. Geoderma 2018, 328, 30–43. [Google Scholar] [CrossRef]
- Acharya, B.S.; Rasmussen, J.; Eriksen, J. Grassland Carbon Sequestration and Emissions Following Cultivation in a Mixed Crop Rotation. Agric. Ecosyst. Environ. 2012, 153, 33–39. [Google Scholar] [CrossRef]
- Franzluebbers, A.J.; Sawchik, J.; Taboada, M.A. Agronomic and Environmental Impacts of Pasture-Crop Rotations in Temperate North and South America. Ecosyst. Environ. 2014, 190, 18–26. [Google Scholar] [CrossRef]
- Ryan, M.R.; Crews, T.E.; Culman, S.W.; Dehaan, L.R.; Hayes, R.C.; Jungers, J.M.; Bakker, M.G. Managing for Multifunctionality in Perennial Grain Crops. Bioscience 2018, 68, 294–304. [Google Scholar] [CrossRef]
- Stolarski, M.J.; Śnieg, M.; Krzyżaniak, M.; Tworkowski, J.; Szczukowski, S. Short Rotation Coppices, Grasses and Other Herbaceous Crops: Productivity and Yield Energy Value versus 26 Genotypes. Biomass Bioenerg. 2018, 119, 109–120. [Google Scholar] [CrossRef]
- Hu, T.; Chabbi, A. Grassland Management and Integration during Crop Rotation Impact Soil Carbon Changes and Grass-Crop Production. Agric. Ecosyst. Environ. 2022, 324, 107703. [Google Scholar] [CrossRef]
- Englund, O.; Mola-Yudego, B.; Börjesson, P.; Cederberg, C.; Dimitriou, I.; Scarlat, N.; Berndes, G. Large-Scale Deployment of Grass in Crop Rotations as a Multifunctional Climate Mitigation Strategy. GCB Bioenergy 2023, 15, 166–184. [Google Scholar] [CrossRef]
- Dhakal, D.; Anowarul Islam, M. Grass-Legume Mixtures for Improved Soil Health in Cultivated Agroecosystem. Sustainability 2018, 10, 2718. [Google Scholar] [CrossRef]
- PLADIAS. Database of the Czech Flora and Vegetation. Available online: https://pladias.cz/en/ (accessed on 31 May 2024).
- Villarino, S.H.; Studdert, G.A.; Laterra, P.; Cendoya, M.G. Agricultural Impact on Soil Organic Carbon Content: Testing the IPCC Carbon Accounting Method for Evaluations at County Scale. Agric. Ecosyst. Environ. 2014, 185, 118–132. [Google Scholar] [CrossRef]
- Ćirić, V.; Belić, M.; Nešić, L.; Šeremešić, S.; Pejić, B.; Bezdan, A.; Manojlović, M. Sensitivity of Water Extractable Soil Organic Carbon Fractions to Land Use in Three Soil Types. Arch. Agron. Soil Sci. 2016, 62, 1654–1664. [Google Scholar] [CrossRef]
- Bolan, N.S.; Adriano, D.C.; Kunhikrishnan, A.; James, T.; McDowell, R.; Senesi, N. Dissolved Organic Matter. Biogeochemistry, Dynamics, and Environmental Significance in Soils. Adv. Agron. 2011, 110, 1–75. [Google Scholar] [CrossRef]
- Deru, J.; Van Eekeren, N.; De Boer, H. Rooting Density of Three Grass Species and Eight Lolium perenne Cultivars. In Grassland—A European Resource? Proceedings of the 24th General Meeting of the European Grassland Federation, Lublin, Poland, 3–7 June 2012; Goliński, P., Warda, M., Stypiński, P., Eds.; Organizing Committee of the 24th General Meeting of the European Grassland Federation and Polish Grassland Society: Poznań, Poland, 2012; pp. 604–606. [Google Scholar]
- Houde, S.; Thivierge, M.-N.; Fort, F.; Bélanger, G.; Chantigny, M.H.; Angers, D.A.; Vanasse, A. Root Growth and Turnover in Perennial Forages as Affected by Management Systems and Soil Depth. Plant Soil 2020, 451, 371–387. [Google Scholar] [CrossRef]
- Dupont, S.T.; Beniston, J.; Glover, J.D.; Hodson, A.; Culman, S.W.; Lal, R.; Ferris, H. Root Traits and Soil Properties in Harvested Perennial Grassland, Annual Wheat, and Never-Tilled Annual Wheat. Plant Soil 2014, 381, 405–420. [Google Scholar] [CrossRef]
- Lama, S.; Velescu, A.; Leimer, S.; Weigelt, A.; Chen, H.; Eisenhauer, N.; Scheu, S.; Oelmann, Y.; Wilcke, W. Plant Diversity Influenced Gross Nitrogen Mineralization, Microbial Ammonium Consumption and Gross Inorganic N Immobilization in a Grassland Experiment. Oecologia 2020, 193, 731–748. [Google Scholar] [CrossRef] [PubMed]
- Silver, W.L.; Miya, R.K. Global Patterns in Root Decomposition: Comparisons of Climate and Litter Quality Effects. Oecologia 2001, 129, 407–419. [Google Scholar] [CrossRef] [PubMed]
- Li, J.; Ren, T.; Li, Y.; Chen, N.; Yin, Q.; Li, M.; Liu, H.; Liu, G. Organic Materials with High C/N Ratio: More Beneficial to Soil Improvement and Soil Health. Biotechnol. Lett. 2022, 44, 1415–1429. [Google Scholar] [CrossRef] [PubMed]
- Geoportal.lt. Available online: https://www.geoportal.lt/geoportal/autoriu-teises (accessed on 31 May 2024).
- Schad, P. World Reference Base for Soil Resources—Its Fourth Edition and Its History. J. Plant Nutr. Soil Sci. 2023, 186, 151–163. [Google Scholar] [CrossRef]
- Metzger, M.J.; Shkaruba, A.D.; Jongman, R.H.G.; Bunce, R.G.H. Descriptions of the European Environmental Zones and Strata; Alterra-Rapport; Wageningen University and Research Centre: Wageningen, The Netherlands, 2012; p. 2281. [Google Scholar]
- Meteo.lt. Available online: https://www.meteo.lt/klimatas/lietuvos-klimatas/klimato-indeksai/ (accessed on 31 May 2024).
- Nielsen, D.C.; Calderón, F.J. Fallow Effects on Soil. In Soil Management: Building a Stable Base for Agriculture; Hatfield, J.L., Thomas, J.S., Eds.; U.S. Department of Agriculture, Agricultural Research Service: Lincoln, NE, USA, 2015; pp. 287–300. [Google Scholar] [CrossRef]
- Groenendyk, D.G.; Ferré, T.P.A.; Thorp, K.R.; Rice, A.K. Hydrologic-Process-Based Soil Texture Classifications for Improved Visualization of Landscape Function. PLoS ONE 2015, 10, e0131299. [Google Scholar] [CrossRef] [PubMed]
- Food and Agriculture Organization of the United Nations. Available online: https://openknowledge.fao.org/server/api/core/bitstreams/3cb77bc5-0801-4ae8-bcc4-983c96013928/content (accessed on 31 May 2024).
- Slepetiene, A.; Slepetys, J.; Liaudanskiene, I. Standard and Modified Methods for Soil Organic Carbon Determination in Agricultural Soils. Agron. Res. 2008, 6, 543–554. [Google Scholar]
- Volungevičius, J.; Amalevičiūtė, K.; Liaudanskienė, I.; Šlepetienė, A.; Šlepetys, J. Chemical Properties of Pachiterric Histosol as Influenced by Different Land Use. Zemdirb. Agric. 2015, 102, 123–132. [Google Scholar] [CrossRef]
- Gershey, R.M.; Mackinnon, M.D.; Williams, P.J.B.; Moore, R.M. Comparison of Three Oxidation Methods Used for the Analysis of the Dissolved Organic Carbon in Seawater. Mar. Chem. 1979, 7, 289–306. [Google Scholar] [CrossRef]
- Slepetiene, A.; Volungevicius, J.; Jurgutis, L.; Liaudanskiene, I.; Amaleviciute-Volunge, K.; Slepetys, J.; Ceseviciene, J. The Potential of Digestate as a Biofertilizer in Eroded Soils of Lithuania. Waste Manag. 2020, 102, 441–451. [Google Scholar] [CrossRef]
- Sáez-Plaza, P.; Navas, M.J.; Wybraniec, S.; Michałowski, T.; Asuero, A.G. An Overview of the Kjeldahl Method of Nitrogen Determination. Part II. Sample Preparation, Working Scale, Instrumental Finish, and Quality Control. Crit. Rev. Anal. Chem. 2013, 43, 224–272. [Google Scholar] [CrossRef]
- Kelly, C.; Haddix, M.L.; Byrne, P.F.; Francesca Cotrufo, M.; Schipanski, M.E.; Kallenbach, C.M.; Wallenstein, M.D.; Fonte, S.J. Long-Term Compost Amendment Modulates Wheat Genotype Differences in Belowground Carbon Allocation, Microbial Rhizosphere Recruitment and Nitrogen Acquisition. Soil. Biol. Biochem. 2022, 172, 108768. [Google Scholar] [CrossRef]
- Bouma, T.J.; Nielsen, K.L.; Koutstaal, B. Sample Preparation and Scanning Protocol for Computerised Analysis of Root Length and Diameter. Plant Soil 2000, 218, 185–196. [Google Scholar] [CrossRef]
- Gardner, C.M.K.; Robinson, D.A.; Blyth, K.; Cooper, J.D. Soil water content. In Soil and Environmental Analysis: Physical Methods, 2nd ed.; Smith, K., Mullins, C., Eds.; Marcell Dekker, Inc.: New York, NY, USA, 2000; pp. 1–64. [Google Scholar]
- Lobsey, C.R.; Viscarra, R.R.A. Sensing of Soil Bulk Density for More Accurate Carbon Accounting. Eur. J. Soil Sci. 2016, 67, 504–513. [Google Scholar] [CrossRef]
- Alberta Agriculture and Rural Development Information Management Services. Alberta Forage Manual, 2nd ed.; Kaulbars, C., Ed.; Alberta Agriculture and Rural Development Information Management Services: Alberta, AB, Canada, 2009. Available online: https://www1.agric.gov.ab.ca/$Department/deptdocs.nsf/all/agdex16/$FILE/120_20-1_2009.pdf (accessed on 31 May 2024).
- Chen, X.; Chen, H.Y.H.; Chen, C.; Ma, Z.; Searle, E.B.; Yu, Z.; Huang, Z. Effects of Plant Diversity on Soil Carbon in Diverse Ecosystems: A Global Meta-Analysis. Biol. Rev. 2020, 95, 167–183. [Google Scholar] [CrossRef]
- Batjes, N.H.; Niels Batjes, C.H. Technologically Achievable Soil Organic Carbon Sequestration in World Croplands and Grasslands. Land. Degrad. Dev. 2018, 30, 25–32. [Google Scholar] [CrossRef]
- IPCC. Agriculture, forestry and other land use. In IPCC Guidelines for National Greenhouse Gas Inventories; Eggleston, H.S., Buendia, L., Miwa, K., Ngara, T., Tanabe, K., Eds.; IGES: Hayama, Japan, 2006; Available online: https://www.ipcc-nggip.iges.or.jp/public/2006gl/vol4 (accessed on 31 May 2024).
- Poeplau, C. Grassland Soil Organic Carbon Stocks along Management Intensity and Warming Gradients. Grass Forage Sci. 2021, 76, 186–195. [Google Scholar] [CrossRef]
- Chantigny, M.H. Dissolved and Water-Extractable Organic Matter in Soils: A Review on the Influence of Land Use and Management Practices. Geoderma 2003, 113, 357–380. [Google Scholar] [CrossRef]
- Haynes, R.J. Labile Organic Matter as an Indicator of Organic Matter Quality in Arable and Pastoral Soils in New Zealand. Soil Biol. Biochem. 2000, 32, 211–219. [Google Scholar] [CrossRef]
- Xu, N.; Wilson, H.F.; Saiers, J.E.; Entz, M. Effects of Crop Rotation and Management System on Water-Extractable Organic Matter Concentration, Structure, and Bioavailability in a Chernozemic Agricultural Soil. J. Environ. Qual. 2013, 42, 179–190. [Google Scholar] [CrossRef]
- Chowaniak, M.; Głąb, T.; Klima, K.; Niemiec, M.; Zaleski, T.; Zuzek, D. Effect of Tillage and Crop Management on Runoff, Soil Erosion and Organic Carbon Loss. Soil Use Manag. 2020, 36, 581–593. [Google Scholar] [CrossRef]
- Chen, Q.; Niu, B.; Hu, Y.; Luo, T.; Zhang, G. Warming and Increased Precipitation Indirectly Affect the Composition and Turnover of Labile-Fraction Soil Organic Matter by Directly Affecting Vegetation and Microorganisms. Sci. Total Environ. 2020, 714, 136787. [Google Scholar] [CrossRef] [PubMed]
- Sierra, C.A.; Trumbore, S.E.; Davidson, E.A.; Vicca, S.; Janssens, I. Sensitivity of Decomposition Rates of Soil Organic Matter with Respect to Simultaneous Changes in Temperature and Moisture. J. Adv. Model. Earth Syst. 2015, 7, 335–356. [Google Scholar] [CrossRef]
- Homyak, P.M.; Blankinship, J.C.; Slessarev, E.W.; Schaeffer, S.M.; Manzoni, S.; Schimel, J.P. Effects of Altered Dry Season Length and Plant Inputs on Soluble Soil Carbon. Ecology 2018, 99, 2348–2362. [Google Scholar] [CrossRef]
- Guigue, J.; Lévêque, J.; Mathieu, O.; Schmitt-Kopplin, P.; Lucio, M.; Arrouays, D.; Jolivet, C.; Dequiedt, S.; Chemidlin Prévost-Bouré, N.; Ranjard, L. Water-Extractable Organic Matter Linked to Soil Physico-Chemistry Andmicrobiology at the Regional Scale. Soil Biol. Biochem. 2015, 84, 158–167. [Google Scholar] [CrossRef]
- Ma, W.; Li, Z.; Ding, K.; Zhou, Q. Dynamics of Water Extractable Organic Carbon at a Subtropical Catchment Using Fluorescence Excitation-Emission Matrix Spectroscopy Coupled with Parallel Factor Analysis. Eur. J. Soil Sci. 2021, 72, 871–885. [Google Scholar] [CrossRef]
- Surey, R.; Kaiser, K.; Schimpf, C.M.; Mueller, C.W.; Böttcher, J.; Mikutta, R. Contribution of Particulate and Mineral-Associated Organic Matter to Potential Denitrification of Agricultural Soils. Front. Environ. Sci. 2021, 9, 640534. [Google Scholar] [CrossRef]
- Liu, Y.; Tian, F.; Jia, P.; Zhang, J.; Hou, F.; Wu, G. Leguminous Species Sequester More Carbon than Gramineous Species in Cultivated Grasslands of a Semi-Arid Area. Solid. Earth 2017, 8, 83–91. [Google Scholar] [CrossRef]
- Iepema, G.; Deru, J.G.C.; Bloem, J.; Hoekstra, N.; De Goede, R.; Brussaard, L.; Van Eekeren, N. Productivity and Topsoil Quality of Young and Old Permanent Grassland: An On-Farm Comparison. Sustainability 2020, 12, 2600. [Google Scholar] [CrossRef]
- Kuťáková, E.; Mészárošová, L.; Baldrian, P.; Münzbergová, Z.; Herben, T. Plant–Soil Feedbacks in a Diverse Grassland: Soil Remembers, but Not Too Much. J. Ecol. 2023, 111, 1203–1217. [Google Scholar] [CrossRef]
- Skuodienė, R.; Kinderienė, I.; Tomchuk, D.; Šlepetys, J.; Karčauskienė, D. Root Development of Temporary and Permanent Grasslands and Their Anti-Erosion Significance on a Hilly Terrain. Zemdirb. Agric. 2020, 107, 209–216. [Google Scholar] [CrossRef]
- Tian, D.; Xiang, Y.; Seabloom, E.; Wang, J.; Jia, X.; Li, T.; Li, Z.; Yang, J.; Guo, H.; Niu, S. Soil Carbon Sequestration Benefits of Active versus Natural Restoration Vary with Initial Carbon Content and Soil Layer. Commun. Earth Environ. 2023, 4, 83. [Google Scholar] [CrossRef]
- Lal, R.C. Digging Deeper: A Holistic Perspective of Factors Affecting Soil Organic Carbon Sequestration in Agroecosystems. Glob. Chang. Biol. 2018, 24, 3285–3301. [Google Scholar] [CrossRef] [PubMed]
- Roumet, C.; Lafont, F.; Sari, M.; Warembourg, F.; Garnier, E. Root Traits and Taxonomic Affiliation of Nine Herbaceous Species Grown in Glasshouse Conditions. Plant Soil 2008, 312, 69–83. [Google Scholar] [CrossRef]
- Razafintsalama, H.; Sauvadet, M.; Trap, J.; Autfray, P.; Ripoche, A.; Becquer, T. Legume Nitrogen Fixation and Symbioses in Low-Inputs Rainfed Rice Rotations. Sustainability 2021, 13, 12349. [Google Scholar] [CrossRef]
- Ma, C.; Wang, X.; Wang, J.; Zhu, X.; Qin, C.; Zeng, Y.; Zhen, W.; Fang, Y.; Shangguan, Z. Interactions of Soil Nutrients and Microbial Communities during Root Decomposition of Gramineous and Leguminous Forages. Land Degrad. Dev. 2023, 34, 3250–3261. [Google Scholar] [CrossRef]
- Lei, X.; Shen, Y.; Zhao, J.; Huang, J.; Wang, H.; Yu, Y.; Xiao, C. Root Exudates Mediate the Processes of Soil Organic Carbon Input and Efflux. Plants 2023, 12, 630. [Google Scholar] [CrossRef] [PubMed]
- Moncada, V.Y.M.; Américo, L.F.; Duchini, P.G.; Guzatti, G.C.; Schmitt, D.; Sbrissia, A.F. Root Mass Vertical Distribution of Perennial Cool-Season Grasses Grown in Pure or Mixed Swards. Ciência Rural 2022, 52, e20210242. [Google Scholar] [CrossRef]
- Xiang, L.S.; Miao, L.F.; Yang, F. Neighbors, Drought, and Nitrogen Application Affect the Root Morphological Plasticity of Dalbergia odorifera. Front. Plant Sci. 2021, 12, 650616. [Google Scholar] [CrossRef]
- Mosebi, P.E.; Truter, W.F.; Madakadze, I.C. Smuts Finger Grass (Digitaria eriantha Cv Irene) Root Growth Assessment and Some Physicochemical Characteristics on Coal Mined Land Compacted Soil. J. Appl. Sci. Environ. Manag. 2018, 22, 1293–1296. [Google Scholar] [CrossRef]
- Land, M.; Haddaway, N.R.; Hedlund, K.; Jørgensen, H.B.; Kätterer, T.; Isberg, P.E. How Do Selected Crop Rotations Affect Soil Organic Carbon in Boreo-Temperate Systems? A Systematic Review Protocol. Environ. Evid. 2017, 6, 9. [Google Scholar] [CrossRef]
- Christopher, S.F.; Lal, R. Nitrogen Management Affects Carbon Sequestration in North American Cropland Soils. CRC Crit. Rev. Plant Sci. 2007, 26, 45–64. [Google Scholar] [CrossRef]
- Zhou, G.; Xu, S.; Ciais, P.; Manzoni, S.; Fang, J.; Yu, G.; Tang, X.; Zhou, P.; Wang, W.; Yan, J.; et al. Climate and Litter C/N Ratio Constrain Soil Organic Carbon Accumulation. Natl. Sci. Rev. 2019, 6, 746–757. [Google Scholar] [CrossRef] [PubMed]
- Hishi, T. Heterogeneity of Individual Roots within the Fine Root Architecture: Causal Links between Physiological and Ecosystem Functions. J. For. Res. 2007, 12, 126–133. [Google Scholar] [CrossRef]






| Depth | 0–0.1 m | 0.1–0.2 m | 0.2–0.3 m | |||
|---|---|---|---|---|---|---|
| Mean | ±SE | Mean | ±SE | Mean | ±SE | |
| Change in SOC g kg−1 | ||||||
| Arable field | −0.7 c | 0.47 | −0.1 cd | 0.16 | −1.1 c | 0.70 |
| Tall oat grass | 0.2 bc | 1.34 | 0.6 bcd | 0.80 | −0.7 bc | 0.85 |
| Timothy grass | 0.9 abc | 1.55 | 1.1 bcd | 0.65 | −0.8 bc | 0.85 |
| Alfalfa | 0.1 bc | 1.05 | −0.3 d | 0.82 | 1.4 ab | 0.65 |
| Red clover | 3.0 ab | 0.43 | 1.7 abc | 0.46 | 1.6 a | 0.60 |
| Red clover + Timothy grass | 3.4 a | 0.77 | 2.2 ab | 0.57 | 1.1 abc | 0.34 |
| Alfalfa + Tall oat grass | 2.8 ab | 0.91 | 3.1 a | 0.55 | 1.5 a | 0.97 |
| Depth | 0–0.1 m | 0.1–0.2 m | 0.2–0.3 m | 0–30 m Average | ||||
|---|---|---|---|---|---|---|---|---|
| Mean | ±SE | Mean | ±SE | Mean | ±SE | Mean | ±SE | |
| C (g kg−1) | ||||||||
| Tall oat grass | 449 ab | 3.56 | 454 abc | 2.79 | 459 b | 1.90 | 454 bc | 2.88 |
| Timothy grass | 449 ab | 4.86 | 467 ab | 10.2 | 483 a | 2.90 | 466 a | 9.64 |
| Alfalfa | 438 b | 0.68 | 446 bc | 6.56 | 456 b | 2.03 | 447 bc | 5.22 |
| Red clover | 455 a | 10.5 | 454 abc | 8.18 | 465 b | 5.82 | 458 ab | 3.48 |
| Red clover + Timothy grass | 454 a | 2.68 | 468 a | 6.25 | 477 a | 5.49 | 467 a | 7.48 |
| Alfalfa + Tall oat grass | 442 ab | 1.33 | 437 c | 4.23 | 457 b | 3.87 | 446 c | 5.80 |
| N (g kg−1) | ||||||||
| Tall oat grass | 7.36 d | 0.42 | 14.8 b | 2.19 | 22.0 a | 1.63 | 14.7 bc | 4.24 |
| Timothy grass | 6.88 d | 0.66 | 12.2 b | 0.48 | 15.2 b | 0.71 | 11.4 c | 2.44 |
| Alfalfa | 15.0 b | 0.76 | 15.8 ab | 3.48 | 20.9 a | 1.82 | 17.2 ab | 1.86 |
| Red clover | 18.3 a | 1.22 | 22.3 a | 1.80 | 22.9 a | 1.65 | 21.1 a | 1.43 |
| Red clover + Timothy grass | 11.4 c | 1.65 | 17.4 ab | 2.24 | 19.4 ab | 1.28 | 16.1 b | 2.42 |
| Alfalfa + Tall oat grass | 15.1 ab | 1.24 | 17.7 ab | 1.66 | 20.6 a | 1.47 | 17.8 ab | 1.60 |
| C/N ratio | ||||||||
| Tall oat grass | 61.4 a | 3.20 | 32.2 ab | 4.96 | 21.1 b | 1.69 | 38.2 ab | 12.0 |
| Timothy grass | 66.4 a | 6.05 | 38.4 a | 1.05 | 31.8 a | 1.62 | 45.5 a | 10.6 |
| Alfalfa | 29.4 c | 1.51 | 30.6 abc | 5.21 | 22.2 b | 1.89 | 27.4 bc | 2.65 |
| Red clover | 25.2 c | 2.27 | 20.6 c | 1.36 | 20.5 b | 1.15 | 22.1 c | 1.53 |
| Red clover + Timothy grass | 41.4 b | 5.38 | 27.7 abc | 3.33 | 24.9 b | 1.78 | 31.3 bc | 5.10 |
| Alfalfa + Tall oat grass | 29.8 bc | 2.60 | 25.2 bc | 2.53 | 22.4 b | 1.61 | 25.8 c | 2.15 |
| SOC | WEOC | ||||
|---|---|---|---|---|---|
| Depth | r | p | r | p | |
| Root biomass | 0–0.1 m | 0.36 | 0.13 | 0.15 | 0.55 |
| 0.1–0.2 m | 0.08 | 0.76 | 0.46 * | 0.05 * | |
| 0.2–0.3 m | 0.57 * | 0.01 * | 0.29 | 0.24 | |
| Root length | 0–0.1 m | 0.07 | 0.80 | 0.28 | 0.27 |
| 0.1–0.2 m | 0.18 | 0.48 | 0.44 | 0.07 | |
| 0.2–0.3 m | 0.40 | 0.10 | −0.27 | 0.28 | |
| Root C/N | 0–0.1 m | −0.39 | 0.11 | −0.18 | 0.47 |
| 0.1–0.2 m | −0.06 | 0.83 | 0.17 | 0.49 | |
| 0.2–0.3 m | −0.28 | 0.26 | −0.13 | 0.60 | |
Disclaimer/Publisher’s Note: The statements, opinions and data contained in all publications are solely those of the individual author(s) and contributor(s) and not of MDPI and/or the editor(s). MDPI and/or the editor(s) disclaim responsibility for any injury to people or property resulting from any ideas, methods, instructions or products referred to in the content. |
© 2024 by the authors. Licensee MDPI, Basel, Switzerland. This article is an open access article distributed under the terms and conditions of the Creative Commons Attribution (CC BY) license (https://creativecommons.org/licenses/by/4.0/).
Share and Cite
Skersiene, A.; Slepetiene, A.; Stukonis, V.; Norkeviciene, E. Contributions of Different Perennial Grass Species and Their Roots’ Characteristics to Soil Organic Carbon Accumulation. Sustainability 2024, 16, 6037. https://doi.org/10.3390/su16146037
Skersiene A, Slepetiene A, Stukonis V, Norkeviciene E. Contributions of Different Perennial Grass Species and Their Roots’ Characteristics to Soil Organic Carbon Accumulation. Sustainability. 2024; 16(14):6037. https://doi.org/10.3390/su16146037
Chicago/Turabian StyleSkersiene, Aida, Alvyra Slepetiene, Vaclovas Stukonis, and Egle Norkeviciene. 2024. "Contributions of Different Perennial Grass Species and Their Roots’ Characteristics to Soil Organic Carbon Accumulation" Sustainability 16, no. 14: 6037. https://doi.org/10.3390/su16146037
APA StyleSkersiene, A., Slepetiene, A., Stukonis, V., & Norkeviciene, E. (2024). Contributions of Different Perennial Grass Species and Their Roots’ Characteristics to Soil Organic Carbon Accumulation. Sustainability, 16(14), 6037. https://doi.org/10.3390/su16146037

