Between Wires and Wings: What Are the Impacts of Power Transmission Lines on the Diversity of Insectivorous Bats?
Abstract
1. Introduction
2. Materials and Methods
2.1. Study Area and Sampling Design
2.2. Bat Sampling and Identification
2.3. Data Analysis
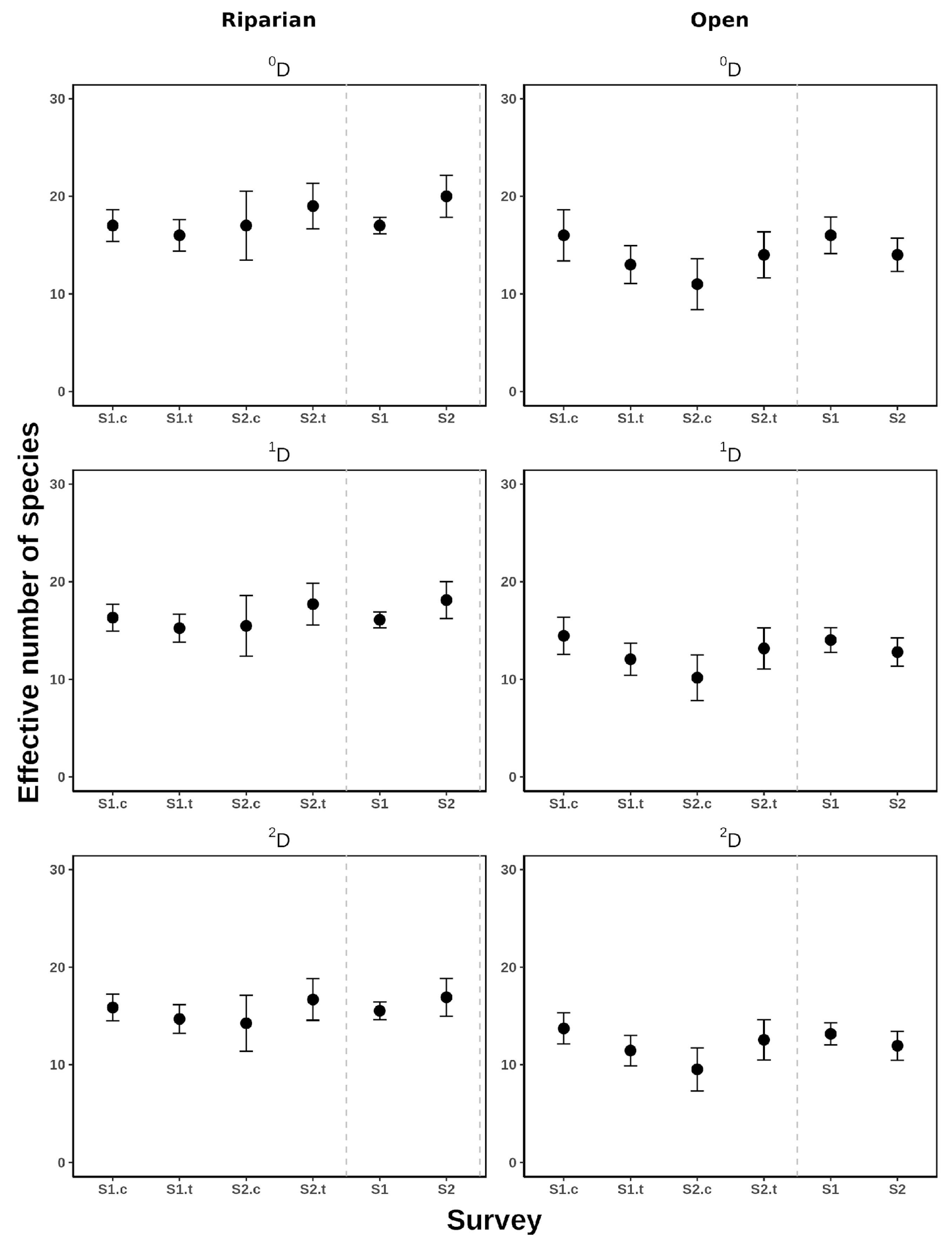
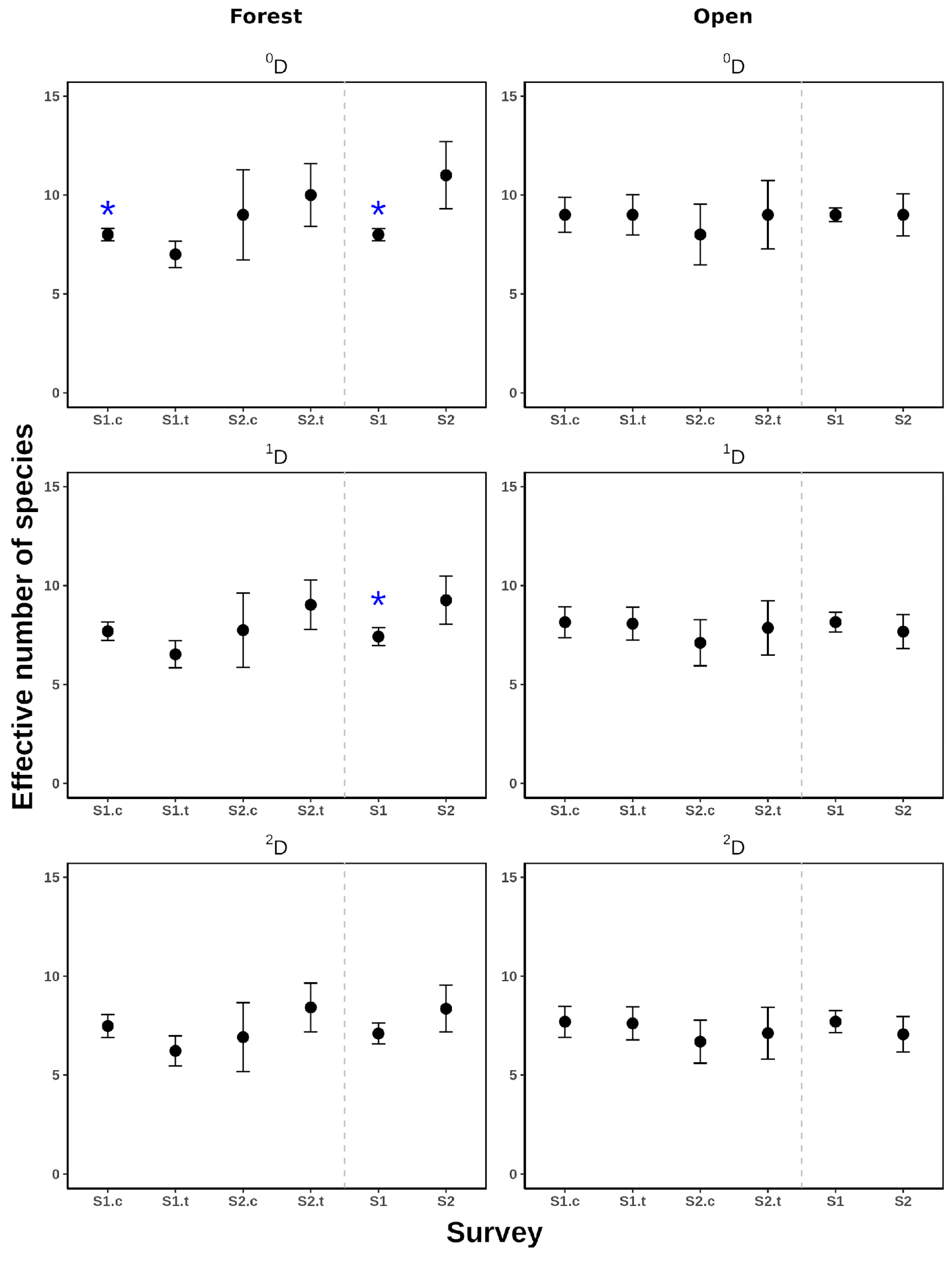
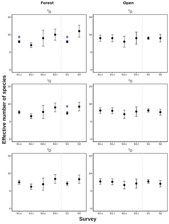
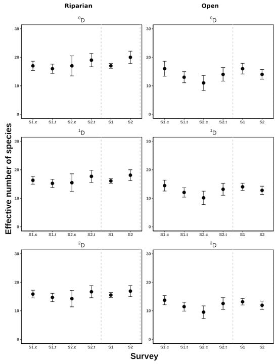
3. Results
3.1. Alpha Diversity
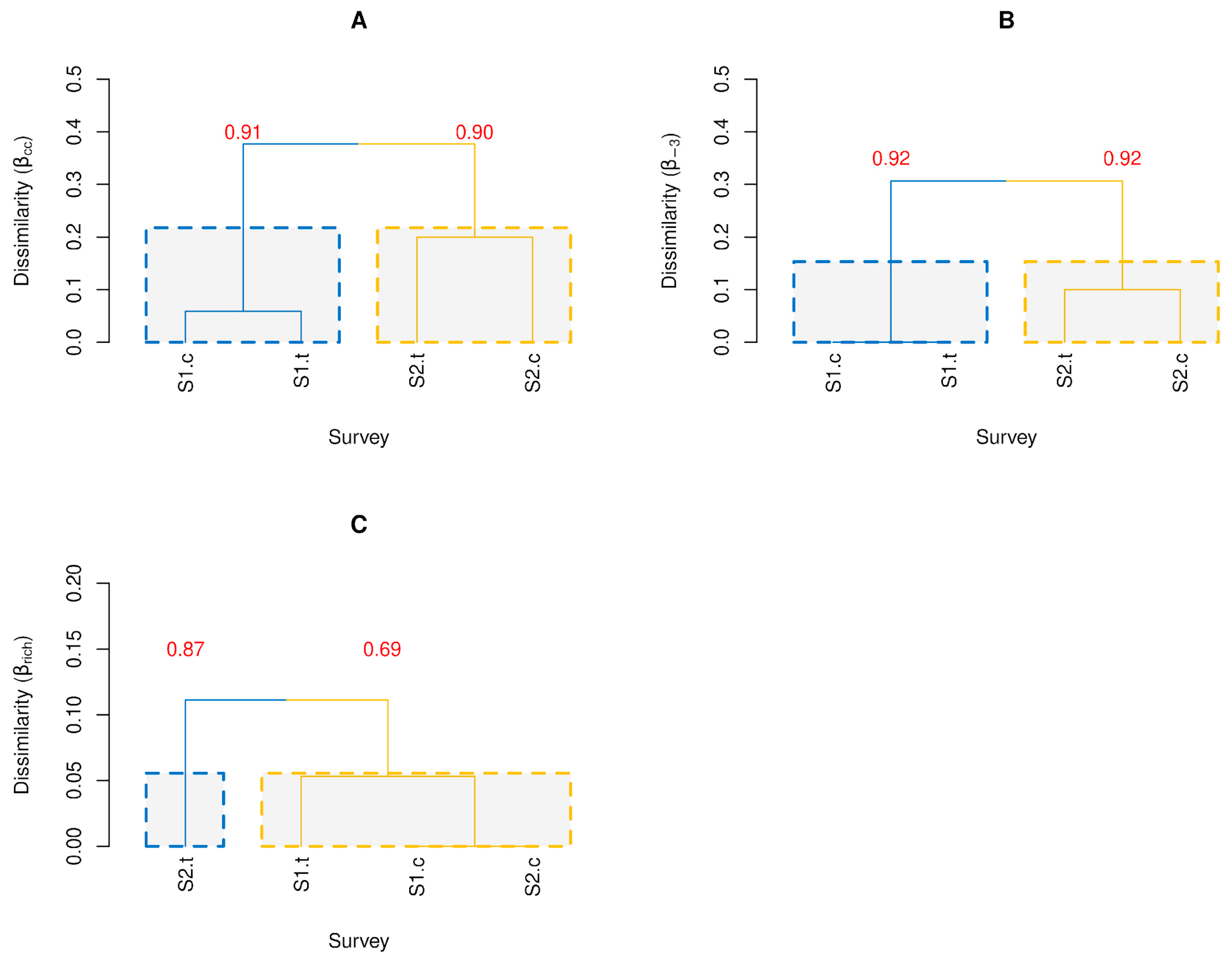
3.2. Beta Diversity
3.3. Communities Acoustic Activity
4. Discussion
5. Conclusions
Supplementary Materials
Author Contributions
Funding
Data Availability Statement
Acknowledgments
Conflicts of Interest
References
- EIA International Energy Outlook—U.S. Energy Information Administration (EIA). Available online: https://www.eia.gov/outlooks/ieo/tables_side_xls.php (accessed on 30 April 2024).
- Bagli, S.; Geneletti, D.; Orsi, F. Routeing of Power Lines through Least-Cost Path Analysis and Multicriteria Evaluation to Minimise Environmental Impacts. Environ. Impact Assess. Rev. 2011, 31, 234–239. [Google Scholar] [CrossRef]
- Richardson, M.L.; Wilson, B.A.; Aiuto, D.A.S.; Crosby, J.E.; Alonso, A.; Dallmeier, F.; Golinski, G.K. A Review of the Impact of Pipelines and Power Lines on Biodiversity and Strategies for Mitigation. Biodivers. Conserv. 2017, 26, 1801–1815. [Google Scholar] [CrossRef]
- Biasotto, L.D.; Kindel, A. Power Lines and Impacts on Biodiversity: A Systematic Review. Environ. Impact Assess. Rev. 2018, 71, 110–119. [Google Scholar] [CrossRef]
- Froidevaux, J.S.P.; Jones, G.; Kerbiriou, C.; Park, K.J. Acoustic Activity of Bats at Power Lines Correlates with Relative Humidity: A Potential Role for Corona Discharges. Proc. R. Soc. B Biol. Sci. 2023, 290, 20222510. [Google Scholar] [CrossRef]
- Hutson, A.M.; Mickleburgh, S.P.; Racey, P.A. Microchiropteran Bats: Global Status Survey and Conservation Action Plan; IUCN/SSC action plans for the conservation of biological diversity; IUCN: Gland, Switzerland; Cambridge, UK, 2001; ISBN 978-2-8317-0595-8. [Google Scholar]
- Jones, G.; Jacobs, D.; Kunz, T.; Willig, M.; Racey, P. Carpe Noctem: The Importance of Bats as Bioindicators. Endanger. Species Res. 2009, 8, 93–115. [Google Scholar] [CrossRef]
- Jung, K.; Kalko, E.K.V. Adaptability and Vulnerability of High Flying Neotropical Aerial Insectivorous Bats to Urbanization. Divers. Distrib. 2011, 17, 262–274. [Google Scholar] [CrossRef]
- Arita, H.T. Conservation Biology of the Cave Bats of Mexico. J. Mammal. 1993, 74, 693–702. [Google Scholar] [CrossRef]
- Tella, J.L.; Hernández-Brito, D.; Blanco, G.; Hiraldo, F. Urban Sprawl, Food Subsidies and Power Lines: An Ecological Trap for Large Frugivorous Bats in Sri Lanka? Diversity 2020, 12, 94. [Google Scholar] [CrossRef]
- Kahnonitch, I.; Lubin, Y.; Korine, C. Insectivorous Bats in Semi-Arid Agroecosystems—Effects on Foraging Activity and Implications for Insect Pest Control. Agric. Ecosyst. Environ. 2018, 261, 80–92. [Google Scholar] [CrossRef]
- Matthews, J.C. The Effect of Weather on Corona Ion Emission from AC High Voltage Power Lines. Atmospheric Res. 2012, 113, 68–79. [Google Scholar] [CrossRef]
- Antonelli, A.; Ariza, M.; Albert, J.; Andermann, T.; Azevedo, J.; Bacon, C.; Faurby, S.; Guedes, T.; Hoorn, C.; Lohmann, L.G.; et al. Conceptual and Empirical Advances in Neotropical Biodiversity Research. PeerJ 2018, 6, e5644. [Google Scholar] [CrossRef] [PubMed]
- Bogoni, J.A.; Peres, C.A.; Ferraz, K.M.P.M.B. Extent, Intensity and Drivers of Mammal Defaunation: A Continental-Scale Analysis across the Neotropics. Sci. Rep. 2020, 10, 14750. [Google Scholar] [CrossRef] [PubMed]
- Myers, N.; Mittermeier, R.A.; Mittermeier, C.G.; Da Fonseca, G.A.B.; Kent, J. Biodiversity Hotspots for Conservation Priorities. Nature 2000, 403, 853–858. [Google Scholar] [CrossRef] [PubMed]
- Strassburg, B.B.N.; Brooks, T.; Feltran-Barbieri, R.; Iribarrem, A.; Crouzeilles, R.; Loyola, R.; Latawiec, A.E.; Oliveira Filho, F.J.B.; Scaramuzza, C.A.D.M.; Scarano, F.R.; et al. Moment of Truth for the Cerrado Hotspot. Nat. Ecol. Evol. 2017, 1, 0099. [Google Scholar] [CrossRef] [PubMed]
- Silva, D.C.; Vieira, T.B.; Da Silva, J.M.; De Cassia Faria, K. Biogeography and Priority Areas for the Conservation of Bats in the Brazilian Cerrado. Biodivers. Conserv. 2018, 27, 815–828. [Google Scholar] [CrossRef]
- MME Boletim de Monitoramento do Sistema Elétrico. Available online: https://www.gov.br/mme/pt-br/assuntos/secretarias/secretaria-nacional-energia-eletrica/publicacoes/boletim-de-monitoramento-do-sistema-eletrico/boletim-de-monitoramento-do-sistema-eletrico (accessed on 30 May 2024).
- Rydell, J.; Arita, H.T.; Santos, M.; Granados, J. Acoustic Identification of Insectivorous Bats (Order Chiroptera) of Yucatan, Mexico. J. Zool. 2002, 257, 27–36. [Google Scholar] [CrossRef]
- Jung, K.; Kalko, E.K.V.; Von Helversen, O. Echolocation Calls in Central American Emballonurid Bats: Signal Design and Call Frequency Alternation. J. Zool. 2007, 272, 125–137. [Google Scholar] [CrossRef]
- Jung, K.; Molinari, J.; Kalko, E.K.V. Driving Factors for the Evolution of Species-Specific Echolocation Call Design in New World Free-Tailed Bats (Molossidae). PLoS ONE 2014, 9, e85279. [Google Scholar] [CrossRef] [PubMed]
- Barataud, M.; Giosa, S.; Leblanc, F.; Rufray, V.; Disca, T.; Tillon, L.; Delaval, M.; Haquart, A.; Dewynter, M. Identification et écologie acoustique des chiroptères de Guyane française. Rhinolophe 2013, 19, 103–145. [Google Scholar]
- Falcão, F.; Dodonov, P.; Caselli, C.B.; Dos Santos, J.S.; Faria, D. Landscape Structure Shapes Activity Levels and Composition of Aerial Insectivorous Bats at Different Spatial Scales. Biodivers. Conserv. 2021, 30, 2545–2564. [Google Scholar] [CrossRef]
- Arias-Aguilar, A.; Hintze, F.; Aguiar, L.M.S.; Rufray, V.; Bernard, E.; Pereira, M.J.R. Who’s Calling? Acoustic Identification of Brazilian Bats. Mammal Res. 2018, 63, 231–253. [Google Scholar] [CrossRef]
- Miller, B.W. A Method for Determining Relative Activity of Free Flying Bats Using a New Activity Index for Acoustic Monitoring. Acta Chiropterol. 2001, 3, 93–105. [Google Scholar]
- Williams-Guillén, K.; Perfecto, I. Ensemble Composition and Activity Levels of Insectivorous Bats in Response to Management Intensification in Coffee Agroforestry Systems. PLoS ONE 2011, 6, e16502. [Google Scholar] [CrossRef]
- Estrada-Villegas, S.; Meyer, C.F.J.; Kalko, E.K.V. Effects of Tropical Forest Fragmentation on Aerial Insectivorous Bats in a Land-Bridge Island System. Biol. Conserv. 2010, 143, 597–608. [Google Scholar] [CrossRef]
- Jost, L. Entropy and Diversity. Oikos 2006, 113, 363–375. [Google Scholar] [CrossRef]
- Chao, A.; Chiu, C.-H.; Jost, L. Unifying Species Diversity, Phylogenetic Diversity, Functional Diversity, and Related Similarity and Differentiation Measures Through Hill Numbers. Annu. Rev. Ecol. Evol. Syst. 2014, 45, 297–324. [Google Scholar] [CrossRef]
- Hill, M.O. Diversity and Evenness: A Unifying Notation and Its Consequences. Ecology 1973, 54, 427–432. [Google Scholar] [CrossRef]
- Hsieh, T.C.; Ma, K.H.; Chao, A. iNEXT: An R Package for Rarefaction and Extrapolation of Species Diversity (Hill Numbers). Methods Ecol. Evol. 2016, 7, 1451–1456. [Google Scholar] [CrossRef]
- R Core Team. R: A Language and Environment for Statistical Computing; R Foundation for Statistical Computing: Vienna, Austria, 2024. [Google Scholar]
- Carvalho, J.C.; Cardoso, P.; Borges, P.A.V.; Schmera, D.; Podani, J. Measuring Fractions of Beta Diversity and Their Relationships to Nestedness: A Theoretical and Empirical Comparison of Novel Approaches. Oikos 2013, 122, 825–834. [Google Scholar] [CrossRef]
- Legendre, P.; Legendre, L. Numerical Ecology, 3rd English ed.; Developments in Environmental Modelling; Elsevier: Amsterdam, The Netherlands, 2012; ISBN 978-0-444-53868-0. [Google Scholar]
- Suzuki, R.; Terada, Y.; Shimodaira, H. Pvclust: Hierarchical Clustering with P-Values via Multiscale Bootstrap Resampling. 2019. Available online: https://cran.r-project.org/web/packages/pvclust/index.html (accessed on 25 June 2024).
- Kassambara, A.; Mundt, F. Factoextra: Extract and Visualize the Results of Multivariate Data Analyses. 2020. Available online: https://cran.r-project.org/web/packages/factoextra/index.html (accessed on 25 June 2024).
- Hennig, C. Fpc: Flexible Procedures for Clustering. 2023. Available online: https://cran.r-project.org/web/packages/fpc/index.html (accessed on 25 June 2024).
- Krebs, C.J. Ecological Methodology, 2nd ed.; Benjamin/Cummings: Menlo Park, CA, USA, 1999; ISBN 978-0-321-02173-1. [Google Scholar]
- Zar, J.H. Biostatistical Analysis: Pearson New International Edition, 5th ed.; Always Learning; Pearson: Harlow, UK, 2014; ISBN 978-1-292-02404-2. [Google Scholar]
- Oksanen, J.; Simpson, G.L.; Blanchet, F.G.; Kindt, R.; Legendre, P.; Minchin, P.R.; Solymos, P.; Stevens, M.H.H.; Szoecs, E.; Wagner, H.; et al. Vegan: Community Ecology Package; GitHub: San Francisco, CA, USA, 2022. [Google Scholar]
- Quinn, G.P.; Keough, M.J. Experimental Design and Data Analysis for Biologists, 1st ed.; Cambridge University Press: Cambridge, UK, 2002; ISBN 978-0-521-81128-6. [Google Scholar]
- Wickham, H. Ggplot2: Elegant Graphics for Data Analysis; Springer: New York, NY, USA, 2016; ISBN 978-3-319-24277-4. [Google Scholar]
- Luo, J.; Siemers, B.M.; Koselj, K. How Anthropogenic Noise Affects Foraging. Glob. Chang. Biol. 2015, 21, 3278–3289. [Google Scholar] [CrossRef]
- Allen, L.C.; Hristov, N.I.; Rubin, J.J.; Lightsey, J.T.; Barber, J.R. Noise Distracts Foraging Bats. Proc. R. Soc. B Biol. Sci. 2021, 288, 20202689. [Google Scholar] [CrossRef] [PubMed]
- Smotherman, M.S.; Simmons, A.M.; Simmons, J.A. How Noise Affects Bats and What It Reveals About Their Biosonar Systems. In 50 Years of Bat Research; Lim, B.K., Fenton, M.B., Brigham, R.M., Mistry, S., Kurta, A., Gillam, E.H., Russell, A., Ortega, J., Eds.; Fascinating Life Sciences; Springer International Publishing: Cham, Switzerland, 2021; pp. 61–76. ISBN 978-3-030-54726-4. [Google Scholar]
- Dos Santos, A.J.; Vieira, T.B.; Faria, K.D.C. Effects of Vegetation Structure on the Diversity of Bats in Remnants of Brazilian Cerrado Savanna. Basic Appl. Ecol. 2016, 17, 720–730. [Google Scholar] [CrossRef]
- Appel, G.; López-Baucells, A.; Magnusson, W.E.; Bobrowiec, P.E.D. Temperature, Rainfall, and Moonlight Intensity Effects on Activity of Tropical Insectivorous Bats. J. Mammal. 2019, 100, 1889–1900. [Google Scholar] [CrossRef]
- Arita, H.T. The Conservation of Cave-Roosting Bats in Yucatan, Mexico. Biol. Conserv. 1996, 76, 177–185. [Google Scholar] [CrossRef]
- Yee, D.A. Peropteryx macrotis. Mamm. Species 2000, 643, 1–4. [Google Scholar] [CrossRef]
- Avila-Flores, R.; León-Madrazo, R.; Perez-Perez, L.; Aguilar-Rodríguez, A.; Campuzano-Romero, Y.Y.; Rodas-Martínez, A.Z. Are Molossid Bats Behaviourally Preadapted to Urban Environments? Insights from Foraging, Echolocation, Social, and Roosting Behaviour. In Urban Bats; Moretto, L., Coleman, J.L., Davy, C.M., Fenton, M.B., Korine, C., Patriquin, K.J., Eds.; Fascinating Life Sciences; Springer International Publishing: Cham, Switzerland, 2022; pp. 33–42. ISBN 978-3-031-13172-1. [Google Scholar]
- Seewagen, C.L.; Adams, A.M. Turning to the Dark Side: LED Light at Night Alters the Activity and Species Composition of a Foraging Bat Assemblage in the Northeastern United States. Ecol. Evol. 2021, 11, 5635–5645. [Google Scholar] [CrossRef]








Disclaimer/Publisher’s Note: The statements, opinions and data contained in all publications are solely those of the individual author(s) and contributor(s) and not of MDPI and/or the editor(s). MDPI and/or the editor(s) disclaim responsibility for any injury to people or property resulting from any ideas, methods, instructions or products referred to in the content. |
© 2024 by the authors. Licensee MDPI, Basel, Switzerland. This article is an open access article distributed under the terms and conditions of the Creative Commons Attribution (CC BY) license (https://creativecommons.org/licenses/by/4.0/).
Share and Cite
Falcão, F.; Mira-Mendes, C.V.d.; Herrera-Lopera, J.M. Between Wires and Wings: What Are the Impacts of Power Transmission Lines on the Diversity of Insectivorous Bats? Sustainability 2024, 16, 5639. https://doi.org/10.3390/su16135639
Falcão F, Mira-Mendes CVd, Herrera-Lopera JM. Between Wires and Wings: What Are the Impacts of Power Transmission Lines on the Diversity of Insectivorous Bats? Sustainability. 2024; 16(13):5639. https://doi.org/10.3390/su16135639
Chicago/Turabian StyleFalcão, Fábio, Caio Vinícius de Mira-Mendes, and Jorge Mario Herrera-Lopera. 2024. "Between Wires and Wings: What Are the Impacts of Power Transmission Lines on the Diversity of Insectivorous Bats?" Sustainability 16, no. 13: 5639. https://doi.org/10.3390/su16135639
APA StyleFalcão, F., Mira-Mendes, C. V. d., & Herrera-Lopera, J. M. (2024). Between Wires and Wings: What Are the Impacts of Power Transmission Lines on the Diversity of Insectivorous Bats? Sustainability, 16(13), 5639. https://doi.org/10.3390/su16135639

