Sustainable Cement Stabilization of Plastic Clay Using Ground Municipal Solid Waste: Enhancing Soil Properties for Geotechnical Applications
Abstract
1. Introduction
2. Experimental Programs
2.1. Materials
2.2. Specimen Preparation and WGP–CL Ratios
2.3. Experimental Testing
2.4. ANN
3. Results and Discussions
3.1. Unconfined Compressive Strength of Specimens
3.2. Ultrasound Tests and the Stiffness of the Specimen
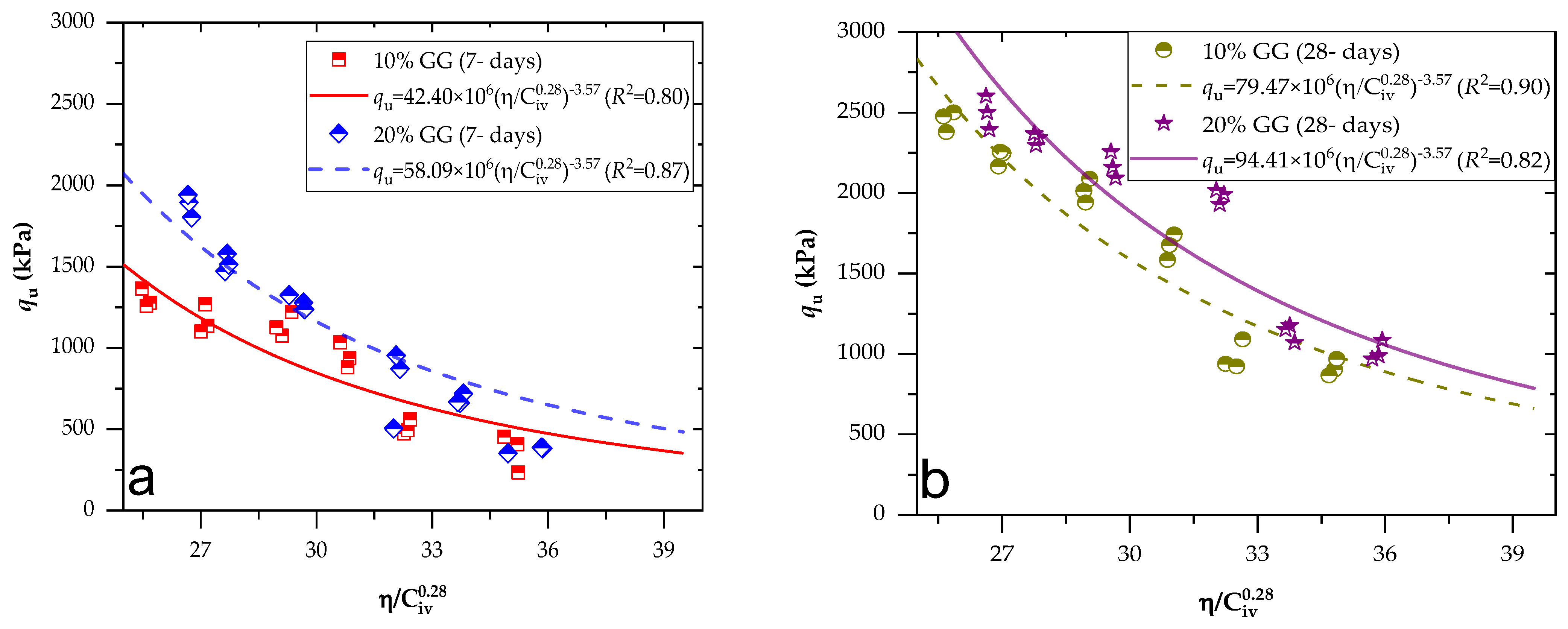
3.3. Impact of Porosity-to-Cement Index on Strength and Stiffness of Compacted Blends
3.4. Microstructure of the Clay Surface and Unconfined Compressive Strength
3.5. ANNs and Accuracy Prediction of the Experimental Results
4. Conclusions
- The WGP collected from municipal solid waste (MSW) and produced in the laboratory in a mixture with cement can form cementing material. The undrained qu of the best laboratory-manufactured specimen with mixing ratios of 20% WGP and 6% cement and three-point compaction achieved the best performance with respect to qu and stiffness; this level of improvement was adopted to stabilize CL and minimize failure potential. The outcome of this study may be valid for the cement–WGP–CL mixture.
- In relation to each mixed ratio group, there was a direct relationship between the density mechanism process of the specimen and the level of the qu and stiffness. To avoid errors in estimating unconfined compressive strength, the optimum moisture content was identified for all cement–WGP–CL mixtures.
- The results from SEM show that the WGP–cement mixture caused different degrees of cementation and bonding in the microstructure of substances in association with the curing time and compaction method, suggesting that the formation of the hydrated product CH could be triggered during the early stages of hydration following dissolution of the aluminate phase of WGP.
- Improving CL involved an optimized mixing ratio, particle densification reaction efficiency, and modification of the soil matrix. The peak qu and stiffness of the best specimen mixture were associated with increasing calcium carbonate in the cement–WGP–CL mixture.
- ANN confirmed the experimental results with respect to the prediction of qu and of the stiffness of the cement–WGP–CL mixture specimens.
- These laboratory experimental results demonstrated the feasibility of this cementing mixture. In future research work, the reuse of WGP in geotechnical engineering may significantly support a reduction of environmental pollution in both directions by using MSW and producing less cement. The cement–WGP–CL mixture is an ideal geotechnical material that can be used in many earthworks. Improving the qu of the subsoil and soil foundation is required in many geotechnical engineering works, and this problem can be solved using a cement–WGP–CL mixture.
Author Contributions
Funding
Institutional Review Board Statement
Informed Consent Statement
Data Availability Statement
Conflicts of Interest
References
- Miao, L.C.; Liu, S.Y. Engineering Characteristics of Expansive Soil and Engineering Measures. Adv. Sci. Technol. Water Resour. 2001, 48, 37–40. [Google Scholar]
- Liu, Y.; Chang, C.W.; Namdar, A.; She, Y.; Lin, C.H.; Yuan, X.; Yang, Q. Stabilization of Expansive Soil Using Cementing Material from Rice Husk Ash and Calcium Carbide Residue. Constr. Build. Mater. 2019, 221, 1–11. [Google Scholar] [CrossRef]
- Ikeagwuani, C.C.; Nwonu, D.C. Emerging Trends in Expansive Soil Stabilisation: A Review. J. Rock. Mech. Geotech. Eng. 2019, 11, 423–440. [Google Scholar] [CrossRef]
- Estabragh, A.R.; Parsaei, B.; Javadi, A.A. Laboratory Investigation of the Effect of Cyclic Wetting and Drying on the Behaviour of an Expansive Soil. Soils Found. 2015, 55, 304–314. [Google Scholar] [CrossRef]
- AI-Sharif, M.M.; Attom, M.F. A Geoenvironmental Application of Burned Wastewater Sludge Ash in Soil Stabilization. Environ. Earth Sci. 2014, 71, 2453–2463. [Google Scholar] [CrossRef]
- Bhattacharja, S.; Bhatty, J.I.; Todres, H.A. Stabilization of Clay Soils by Portland Cement or Lime—A Critical Review of Literature. PCA RD Ser. 2003, 60, 124–133. [Google Scholar]
- Román Martínez, C.; Nuñez de la Rosa, Y.E.; Estrada Luna, D.; Baldovino, J.A.; Jordi Bruschi, G. Strength, Stiffness, and Microstructure of Stabilized Marine Clay-Crushed Limestone Waste Blends: Insight on Characterization through Porosity-to-Cement Index. Materials 2023, 16, 4983. [Google Scholar] [CrossRef]
- Bjerrum, L. Geotechnical Problems Involved in Foundations of Structures in the North Sea. Geotechnique 1973, 23, 319–358. [Google Scholar] [CrossRef]
- Rajasekaran, G.; Narasimha Rao, S. Falling Cone Method to Measure the Strength of Marine Clays. Ocean. Eng. 2004, 31, 1915–1927. [Google Scholar] [CrossRef]
- Schmidt, S.R.; Katti, D.R.; Ghosh, P.; Katti, K.S. Evolution of Mechanical Response of Sodium Montmorillonite Interlayer with Increasing Hydration by Molecular Dynamics. Langmuir 2005, 21, 8069–8076. [Google Scholar] [CrossRef]
- Aziz, M. Mechanical Properties of a High Plasticity Clay Mixed with Sand and Low-Plastic Silt. Mater. Today Proc. 2023, 19, 1–14. [Google Scholar] [CrossRef]
- Beyene, A.; Tesfaye, Y.; Tsige, D.; Sorsa, A.; Wedajo, T.; Tesema, N.; Mekuria, G. Experimental Study on Potential Suitability of Natural Lime and Waste Ceramic Dust in Modifying Properties of Highly Plastic Clay. Heliyon 2022, 8, e10993. [Google Scholar] [CrossRef]
- Baldovino, J.J.A.; Izzo, R.L.S.; Rose, J.L.; Domingos, M.D.I. Strength, Durability, and Microstructure of Geopolymers Based on Recycled-Glass Powder Waste and Dolomitic Lime for Soil Stabilization. Constr. Build. Mater. 2021, 271, 121874. [Google Scholar] [CrossRef]
- Ibrahim, H.H.; Mawlood, Y.I.; Alshkane, Y.M. Using Waste Glass Powder for Stabilizing High-Plasticity Clay in Erbil City-Iraq. Int. J. Geotech. Eng. 2021, 15, 496–503. [Google Scholar] [CrossRef]
- Ashani, P.N.; Shafiei, M.; Karimi, K. Biobutanol Production from Municipal Solid Waste: Technical and Economic Analysis. Bioresour. Technol. 2020, 308, 123267. [Google Scholar] [CrossRef] [PubMed]
- Birgen, C.; Magnanelli, E.; Carlsson, P.; Skreiberg, Ø.; Mosby, J.; Becidan, M. Machine Learning Based Modelling for Lower Heating Value Prediction of Municipal Solid Waste. Fuel 2021, 283, 118906. [Google Scholar] [CrossRef]
- Ashiq, S.Z.; Akbar, A.; Farooq, K.; Mujtaba, H. Sustainable Improvement in Engineering Behavior of Siwalik Clay Using Industrial Waste Glass Powder as Additive. Case Stud. Constr. Mater. 2022, 16, e00883. [Google Scholar] [CrossRef]
- Blayi, R.A.; Sherwani, A.F.H.; Ibrahim, H.H.; Faraj, R.H.; Daraei, A. Strength Improvement of Expansive Soil by Utilizing Waste Glass Powder. Case Stud. Constr. Mater. 2020, 13, e00427. [Google Scholar] [CrossRef]
- Pourabbas Bilondi, M.; Toufigh, M.M.; Toufigh, V. Experimental Investigation of Using a Recycled Glass Powder-Based Geopolymer to Improve the Mechanical Behavior of Clay Soils. Constr. Build. Mater. 2018, 170, 302–313. [Google Scholar] [CrossRef]
- Bilgen, G. Utilization of Powdered Glass as an Additive in Clayey Soils. Geotech. Geol. Eng. 2020, 38, 3163–3173. [Google Scholar] [CrossRef]
- Pourabbas Bilondi, M.; Toufigh, M.M.; Toufigh, V. Using Calcium Carbide Residue as an Alkaline Activator for Glass Powder–Clay Geopolymer. Constr. Build. Mater. 2018, 183, 417–428. [Google Scholar] [CrossRef]
- Fauzi, A.; Rahman, W.M.N.W.A.; Jauhari, Z. Utilization Waste Material as Stabilizer on Kuantan Clayey Soil Stabilization. Procedia Eng. 2013, 53, 42–47. [Google Scholar] [CrossRef]
- Tajaddini, A.; Saberian, M.; Kamalzadeh Sirchi, V.; Li, J.; Maqsood, T. Improvement of Mechanical Strength of Low-Plasticity Clay Soil Using Geopolymer-Based Materials Synthesized from Glass Powder and Copper Slag. Case Stud. Constr. Mater. 2023, 18, e01820. [Google Scholar] [CrossRef]
- Namdar, A. Natural Minerals Mixture for Enhancing Concrete Compressive Strength. Frat. Ed. Integrita Strutt. 2012, 6, 26–30. [Google Scholar] [CrossRef]
- Siddique, R. Utilization of Municipal Solid Waste (MSW) Ash in Cement and Mortar. Resour. Conserv. Recycl. 2010, 54, 1037–1047. [Google Scholar] [CrossRef]
- López-Zaldívar, O.; Lozano-Díez, R.V.; Verdú-Vázquez, A.; Llauradó-Pérez, N. Effects of the Addition of Inertized MSW Fly Ash on Calcium Aluminate Cement Mortars. Constr. Build. Mater. 2017, 157, 1106–1116. [Google Scholar] [CrossRef]
- Saikia, N.; Kato, S.; Kojima, T. Production of Cement Clinkers from Municipal Solid Waste Incineration (MSWI) Fly Ash. Waste Manag. 2007, 27, 1178–1189. [Google Scholar] [CrossRef] [PubMed]
- Rémond, S.; Pimienta, P.; Bentz, D.P. Effects of the Incorporation of Municipal Solid Waste Incineration Fly Ash in Cement Pastes and Mortars: I. Experimental Study. Cem. Concr. Res. 2002, 32, 303–311. [Google Scholar] [CrossRef]
- Santos, M.M.; Marques Sierra, A.L.; Amado-Fierro, Á.; Suárez, M.; Blanco, F.; La Fuente, J.M.G.; Diez, M.A.; Centeno, T.A. Reducing Cement Consumption in Mortars by Waste-Derived Hydrochars. J. Build. Eng. 2023, 75, 106987. [Google Scholar] [CrossRef]
- Aranda Usón, A.; López-Sabirón, A.M.; Ferreira, G.; Llera Sastresa, E. Uses of Alternative Fuels and Raw Materials in the Cement Industry as Sustainable Waste Management Options. Renew. Sustain. Energy Rev. 2013, 23, 242–260. [Google Scholar] [CrossRef]
- Devarangadi, M.; Shankar, M.U. Use of Ground Granulated Blast Furnace Slag Blended with Bentonite and Cement Mixtures as a Liner in a Landfill to Retain Diesel Oil Contaminants. J. Environ. Chem. Eng. 2019, 7, 103360. [Google Scholar] [CrossRef]
- Sheob, M.; Sajid, M.; Asim Ansari, M.; Rais, I.; Sadique, M.R.; Ahmad, S. Using a Blend of Cement and Waste Glass Powder to Improve the Properties of Clayey Soil. Mater. Today Proc. 2023. [Google Scholar] [CrossRef]
- Consoli, N.C.; Foppa, D.; Festugato, L.; Heineck, K.S. Key Parameters for Strength Control of Artificially Cemented Soils. J. Geotech. Geoenviron. Eng. 2007, 133, 197–205. [Google Scholar] [CrossRef]
- Bruschi, G.J.; dos Santos, C.P.; Tonini de Araújo, M.; Ferrazzo, S.T.; Marques, S.F.V.; Consoli, N.C. Green Stabilization of Bauxite Tailings: Mechanical Study on Alkali-Activated Materials. J. Mater. Civ. Eng. 2021, 33, 06021007. [Google Scholar] [CrossRef]
- Al-Subari, L.; Ekinci, A. Evaluation of Mechanical and Microstructural Properties of Waste Tire Improved Cemented Clay. J. Nat. Fibers 2024, 21, 2349750. [Google Scholar] [CrossRef]
- Niyomukiza, J.B.; Eisazadeh, A.; Akamumpa, J.; Kiwanuka, M.; Lukwago, A.; Tiboti, P. Use of Waste Glass Powder in Improving the Properties of Expansive Clay Soils. Glob. Nest J. 2023, 25, 139–145. [Google Scholar] [CrossRef]
- Tsegaye Woldesenbet, T. Strength Improvement of Black Cotton Soil Using Plastic Bottles and Crushed Glass Wastes. J. Eng. 2023, 2023, 1–11. [Google Scholar] [CrossRef]
- Ilman, B.; Balkis, A.P. Mechanical Properties of Clays Stabilized with Glass Powder and Silica Fume. Int. J. Geosynth. Ground Eng. 2023, 9, 1–6. [Google Scholar] [CrossRef]
- Kusuma, R.I.; Mina, E.; Fathonah, W.; Fatwari, M.H.A. Utilization of Waste Steel Slag, Fly Ash, Glass Bottle Powder for Swamp Soil Stabilization. Mater. Sci. Forum 2023, 1101, 109–114. [Google Scholar] [CrossRef]
- Amiri, A.; Toufigh, M.M.; Toufigh, V. Recycling and Utilization Assessment of Municipal Solid Waste Materials to Stabilize Aeolian Sand. KSCE J. Civ. Eng. 2023, 27, 1042–1053. [Google Scholar] [CrossRef]
- Yan, Y.; Tian, L.; Zhao, W.; Lazaro, S.A.M.; Li, X.; Tang, S. Dielectric and Mechanical Properties of Cement Pastes Incorporated with Magnetically Aligned Reduced Graphene Oxide. Dev. Built Environ. 2024, 18, 100471. [Google Scholar] [CrossRef]
- Wang, R.; Sun, R.; Zhao, L.; Zhang, T.; Kong, X.; Fu, Y. Investigation of the Dispersion of Reduced Graphene Oxide in Cementitious Composites under Different Mixing Strategies. J. Build. Eng. 2023, 77, 107447. [Google Scholar] [CrossRef]
- Liu, S.; Chen, Y.; Li, X.; Wang, L.; Du, H. Development of Bio-Inspired Cement-Based Material by Magnetically Aligning Graphene Oxide Nanosheets in Cement Paste. Constr. Build. Mater. 2023, 369, 130545. [Google Scholar] [CrossRef]
- ASTM ASTM D2487; Standard Practice for Classification of Soils for Engineering Purposes (Unified Soil Classification System). ASTM International: West Conshohocken, PA, USA, 2011; pp. 1–16. [CrossRef]
- ASTM ASTM 4318; Standard Test Methods for Liquid Limit, Plastic Limit and Plasticity Index of Soils. ASTM International: West Conshohocken, PA, USA, 2010.
- ASTM ASTM D854; Standard Test Methods for Specific Gravity of Soil Solids by Water Pycnometer. ASTM International: West Conshohocken, PA, USA, 2014.
- ASTM D7928; Standard Test Method for Particle-Size Distribution (Gradation) of Fine-Grained Soils Using the Sedimentation (Hydrometer) Analysis. ASTM International: West Conshohocken, PA, USA, 2021.
- Skempton, A.W. The Colloidal “Activity” of Clays. In Proceedings of the 3rd International Conference on Soil Mechanics and Foundation Engineering, Zurich, Switzerland, 16–27 June 1953; pp. 57–61. [Google Scholar]
- Namdar, A.; Karimpour-Fard, M.; Mughieda, O.; Berto, F.; Muhammad, N. Crack Simulation for the Cover of the Landfill—A Seismic Design. Frat. Ed. Integrita Strutt. 2023, 17, 112–134. [Google Scholar] [CrossRef]
- Namdar, A.; Karimpour-Fard, M.; Muhammad, N. The Seismic Resistance Simulation for Cracked Clayey Backfill. Eng. Fail. Anal. 2022, 140, 106616. [Google Scholar] [CrossRef]
- National Department of Transport. Infrastructure DNIT 143: Pavement Soil-Cement Base-Service Specification; DNIT: Pretoria, South Africa, 2010.
- Portland Cement Association. Soil-Cement Laboratory Handbook; Portland Cement Association: Skokie, IL, USA, 2000. [Google Scholar]
- Consoli, N.C.; Tomasi, L.F.; Veloso Marques, S.F. Cement-Enhancing Mechanical Behavior of Tailings Behind Upstream Tailings Dam for Safe Decommissioning. J. Mater. Civ. Eng. 2023, 35. [Google Scholar] [CrossRef]
- Lade, P.V.; Trads, N. The Role of Cementation in the Behaviour of Cemented Soils. Geotech. Res. 2014, 1, 111–132. [Google Scholar] [CrossRef]
- Pham, T.A.; Kyokawa, H.; Koseki, J.; Dias, D. A New Index for the Strength Analysis and Prediction of Cement-Mixed Soils. Eur. J. Environ. Civ. Eng. 2023, 27, 1512–1534. [Google Scholar] [CrossRef]
- ASTM D1633-00(2007); Standard Test Methods for Compressive Strength of Molded Soil-Cement Cylinders. ASTM International: West Conshohocken, PA, USA, 2007.
- ASTM C597-22; Standard Test Method for Ultrasonic Pulse Velocity through Concrete. ASTM International: West Conshohocken, PA, USA, 2022; pp. 1–4.
- Cokca, E.; Erol, O.; Armangil, F. Effects of Compaction Moisture Content on the Shear Strength of an Unsaturated Clay. Geotech. Geol. Eng. 2004, 22, 285–297. [Google Scholar] [CrossRef]
- Namdar, A. Forecasting the Bearing Capacity of the Mixed Soil Using Artificial Neural Network. Frat. Ed. Integrita Strutt. 2020, 14, 285–294. [Google Scholar] [CrossRef]
- Namdar, A. The Application of Soil Mixture in Concrete Footing Design Using the Linear Regression Model. Mater. Des. Process. Commun. 2021, 3, e179. [Google Scholar] [CrossRef]
- Agatonovic-Kustrin, S.; Beresford, R. Basic Concepts of Artificial Neural Network (ANN) Modeling and Its Application in Pharmaceutical Research. J. Pharm. Biomed. Anal. 2000, 22, 717–727. [Google Scholar] [CrossRef] [PubMed]
- Namdar, A.; Mughieda, O.; Liu, Y.; Deyu, Y.; Dong, Y.; Chen, Y. Prediction of the Single Pile Seismic Deflection by Using FEM and ANN. Geotech. Geol. Eng. 2023, 42, 2025–2044. [Google Scholar] [CrossRef]
- Priddy, K.L.; Keller, P.E. Artificial Neural Networks: An Introduction; SPIE Press: Bellingham, WA, USA, 2005; Volume 68, ISBN 0819459879. [Google Scholar]
- Elseifi, M.; Dhakal, N. Lime Utilization in the Laboratory, Field, and Design of Pavement Layers; Department of Civil and Environmental Engieering, Louisiana State University: Baton Rouge, LA, USA, 2017. [Google Scholar]
- Perera, M.; Anupiya, S.T.; Saberian, M.; Zhu, J.; Roychand, R.; Li, J. Effect of Crushed Glass on the Mechanical and Microstructural Behavior of Highly Expansive Clay Subgrade. Case Stud. Constr. Mater. 2022, 17, e01244. [Google Scholar] [CrossRef]
- Scheuermann Filho, H.C.; Dias Miguel, G.; Cesar Consoli, N. Porosity/Cement Index over a Wide Range of Porosities and Cement Contents. J. Mater. Civ. Eng. 2022, 34, 06021011. [Google Scholar] [CrossRef]
- Omran, A.F.; D.-Morin, E.; Harbec, D.; Tagnit-Hamou, A. Long-Term Performance of Glass-Powder Concrete in Large-Scale Field Applications. Constr. Build. Mater. 2017, 135, 43–58. [Google Scholar] [CrossRef]
- Arulrajah, A.; Kua, T.-A.; Horpibulsuk, S.; Phetchuay, C.; Suksiripattanapong, C.; Du, Y.-J. Strength and Microstructure Evaluation of Recycled Glass-Fly Ash Geopolymer as Low-Carbon Masonry Units. Constr. Build. Mater. 2016, 114, 400–406. [Google Scholar] [CrossRef]
- Consoli, N.C.; da Silva Carretta, M.; Festugato, L.; Leon, H.B.; Tomasi, L.F.; Heineck, K.S. Ground Waste Glass–Carbide Lime as a Sustainable Binder Stabilising Three Different Silica Sands. Géotechnique 2021, 71, 480–493. [Google Scholar] [CrossRef]
- Arulrajah, A.; Disfani, M.M.; Haghighi, H.; Mohammadinia, A.; Horpibulsuk, S. Modulus of Rupture Evaluation of Cement Stabilized Recycled Glass/Recycled Concrete Aggregate Blends. Constr. Build. Mater. 2015, 84, 146–155. [Google Scholar] [CrossRef]
- Jani, Y.; Hogland, W. Waste Glass in the Production of Cement and Concrete—A Review. J. Environ. Chem. Eng. 2014, 2, 1767–1775. [Google Scholar] [CrossRef]
- Lu, J.-X.; Shen, P.; Zhang, Y.; Zheng, H.; Sun, Y.; Poon, C.S. Early-Age and Microstructural Properties of Glass Powder Blended Cement Paste: Improvement by Seawater. Cem. Concr. Compos. 2021, 122, 104165. [Google Scholar] [CrossRef]












| Property | Standard/Reference | Unit | Value | |
|---|---|---|---|---|
| CL | WGP | |||
| Limit liquid, L.L. | [45] | % | 42.0 | - |
| Plasticity index, P.I. | [45] | % | 15.9 | Non-Plastic |
| Specific gravity, Gs | [46] | - | 2.80 | 2.40 |
| Gravel (4.75–76.2 mm) | [44,47] | % | 0 | 0 |
| Coarse sand (2.00–4.75 mm) | [44,47] | % | 0 | 0 |
| Medium sand (0.425–2.0 mm) | [44,47] | % | 0 | 0 |
| Fine sand (0.075–0.425 mm) | [44,47] | % | 8 | 13 |
| Silt (0.002–0.075 mm) | [44,47] | % | 82 | 83 |
| Clay (<0.002 mm) | [44,47] | % | 10 | 4 |
| Mean diameter (d50) | [44,47] | mm | 0.011 | 0.016 |
| Effective diameter (d10) | [44,47] | mm | 0.0021 | 0.0035 |
| Uniformity coefficient Cu | [44,47] | - | 7.14 | 5.71 |
| Coefficient of cuvature Cc | [44,47] | - | 0.96 | 1.03 |
| Activity of clay | [48] | - | 1.60 | - |
| USCS classification | [44] | - | CL | ML |
| color | Munsell Chart | - | Black | White |
| Main mineral | X-ray diffraction | - | Esmectite and Kaolinite | Amorphous |
| Chemical Compound | Chemical Content by Weight (%) | ||
|---|---|---|---|
| CL | Portland Cement | WGP | |
| CaO | 3.0 | 62.7 | 7.1 |
| MgO | - | 3.8 | 2.2 |
| SiO2 | 66.0 | 21.1 | 78.2 |
| Al2O3 | 21.1 | 5.2 | 2.2 |
| Fe2O3 | 0.9 | 2.6 | 0.19 |
| TiO2 | 0.3 | - | - |
| K2O | 3.1 | - | - |
| SO3 | 4.0 | 3.5 | - |
| Na2O | - | 0.1 | 9.3 |
| MnO | - | 0.2 | - |
| P2O5 | - | - | - |
| LOI | 1.6 | 0.8 | 0.7 |
| Weight (%) | Water Content (%) | Curing Times (d) | Molding Dry Unit Weigth (kN/m3) | Number of Specimens | ||
|---|---|---|---|---|---|---|
| Soil | Cement | WGP | ||||
| 100 | 3 | 10 | 18 | 7, 28 | 17, 17.6 and 18 | 18 |
| 100 | 3 | 20 | 18 | 7, 28 | 17, 17.6 and 18 | 18 |
| 100 | 6 | 10 | 18 | 7, 28 | 17, 17.6 and 18 | 18 |
| 100 | 6 | 20 | 18 | 7, 28 | 17, 17.6 and 18 | 18 |
| Property | Statistical Parameter | Training | Validation | Test | Number of Layers in ANNs |
|---|---|---|---|---|---|
| Go | R2 | 1 | 1 | 1 | 1 |
| RMSE | 0.0228 | 0.0204 | 0.0384 | 1 | |
| qu | R2 | 1 | 1 | 1 | 1 |
| RMSE | 0.0025 | 0.0032 | 0.0021 | 1 |
Disclaimer/Publisher’s Note: The statements, opinions and data contained in all publications are solely those of the individual author(s) and contributor(s) and not of MDPI and/or the editor(s). MDPI and/or the editor(s) disclaim responsibility for any injury to people or property resulting from any ideas, methods, instructions or products referred to in the content. |
© 2024 by the authors. Licensee MDPI, Basel, Switzerland. This article is an open access article distributed under the terms and conditions of the Creative Commons Attribution (CC BY) license (https://creativecommons.org/licenses/by/4.0/).
Share and Cite
Baldovino, J.A.; Nuñez de la Rosa, Y.E.; Namdar, A. Sustainable Cement Stabilization of Plastic Clay Using Ground Municipal Solid Waste: Enhancing Soil Properties for Geotechnical Applications. Sustainability 2024, 16, 5195. https://doi.org/10.3390/su16125195
Baldovino JA, Nuñez de la Rosa YE, Namdar A. Sustainable Cement Stabilization of Plastic Clay Using Ground Municipal Solid Waste: Enhancing Soil Properties for Geotechnical Applications. Sustainability. 2024; 16(12):5195. https://doi.org/10.3390/su16125195
Chicago/Turabian StyleBaldovino, Jair Arrieta, Yamid E. Nuñez de la Rosa, and Abdoullah Namdar. 2024. "Sustainable Cement Stabilization of Plastic Clay Using Ground Municipal Solid Waste: Enhancing Soil Properties for Geotechnical Applications" Sustainability 16, no. 12: 5195. https://doi.org/10.3390/su16125195
APA StyleBaldovino, J. A., Nuñez de la Rosa, Y. E., & Namdar, A. (2024). Sustainable Cement Stabilization of Plastic Clay Using Ground Municipal Solid Waste: Enhancing Soil Properties for Geotechnical Applications. Sustainability, 16(12), 5195. https://doi.org/10.3390/su16125195

