Understanding the Influences on Green Purchase Intention with Moderation by Sustainability Awareness
Abstract
1. Introduction
2. Literature Review and Development of Hypotheses
2.1. Conceptual Model and Hypothesis Development
2.2. Attitudes toward Green Purchases
2.3. Subjective Norms
2.4. Perceived Behavioral Control
2.5. Sustainability Awareness
2.6. The Current Study
3. Research Methodology
3.1. Participants and Procedure
3.2. Measures
3.2.1. Attitudes toward Green Purchases
3.2.2. Subjective Norms
3.2.3. Perceived Behavioral Control
3.2.4. Sustainability Awareness
3.2.5. Green Purchase Intention
3.3. Data Analysis
4. Results
4.1. Common-Method Bias Test
4.2. Descriptive and Correlation Analyses
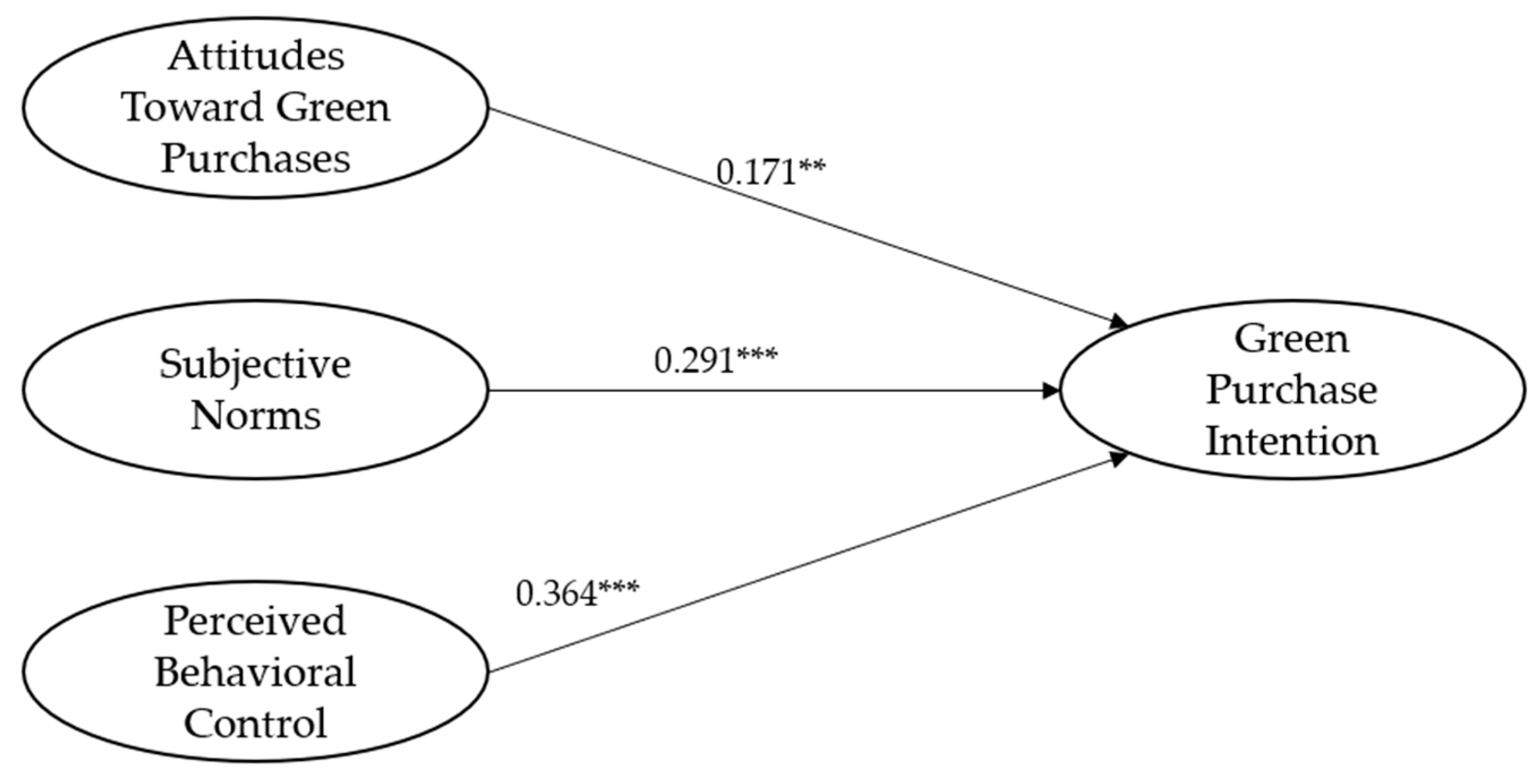
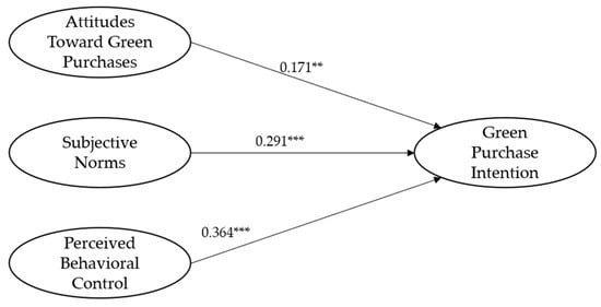
4.3. Structural Model
4.4. Moderated Effect Analysis
5. Discussion
5.1. Theoretical Contributions
5.2. Managerial Implications
6. Limitations and Future Research
7. Conclusions
Author Contributions
Funding
Institutional Review Board Statement
Data Availability Statement
Acknowledgments
Conflicts of Interest
References
- Shao, J. Sustainable consumption in China: New trends and research interests. Bus. Strateg. Environ. 2019, 28, 1507–1517. [Google Scholar] [CrossRef]
- Skogen, K.; Helland, H.; Kaltenborn, B. Concern about climate change, biodiversity loss, habitat degradation and landscape change: Embedded in different packages of environmental concern? J. Nat. Conserv. 2018, 44, 12–20. [Google Scholar] [CrossRef]
- Li, X.W.; Du, J.G.; Long, H.Y. Theoretical framework and formation mechanism of the green development system model in China. Environ. Dev. 2019, 32, 100465–100477. [Google Scholar] [CrossRef]
- Chen, C.-L.; Jian, X.-N.; Jiang, W.-H. The Last but Not the Least Piece of Marine Debris Management: Decoding Factors in Consumers’ Intentions to Purchase Recycled Marine Debris Products. Sustainability 2024, 16, 3869. [Google Scholar] [CrossRef]
- Nguyen, T.T.H.; Yang, Z.; Nguyen, N.; Johnson, L.W.; Cao, T.K. Greenwash and green purchase intention: The mediating role of green skepticism. Sustainability 2019, 11, 2653. [Google Scholar] [CrossRef]
- Sheng, G.; Xie, F.; Gong, S.; Pan, H. The role of cultural values in green purchasing intention: Empirical evidence from Chinese consumers. Int. J. Consum. Stud. 2019, 43, 315–326. [Google Scholar] [CrossRef]
- Sun, J.; Miao, P.; Yang, S.J. To love oneself or to be prosocial: The effect of green consumption benefit appeals on green purchase. Nankai Bus. Review. 2024, 2, 1–28. (In Chinese) [Google Scholar]
- Gonçalves, H.M.; Lourenço, T.F.; Silva, G.M. Green buying behavior and the theory of consumption values: A fuzzy-set approach. J. Bus. Res. 2016, 69, 1484–1491. [Google Scholar] [CrossRef]
- Semprebon, E.; Mantovani, D.; Demczuk, R.; Souto Maior, C.; Vilasanti, V. Green consumption: A network analysis in marketing. Mark. Intell. Plan. 2019, 37, 18–32. [Google Scholar] [CrossRef]
- Urban, J.; Bahnik, S.; Kohlova, M.B. Green consumption does not make people cheat: Three attempts to replicate moral licensing effect due to pro-environmental behavior. J. Environ. Psychol. 2019, 63, 139–147. [Google Scholar] [CrossRef]
- Nguyen, H.V.; Cuong, N.H.; Hoang, T.T.B. Green consumption: Closing the intention-behavior gap. Sustain. Dev. 2019, 27, 118–129. [Google Scholar] [CrossRef]
- Hussain, S.A.; Haq, M.A.U.; Soomro, Y.A. Factors influencing consumers’ green purchase behavior: Green advertising as moderator. Mark. Manag. Innov. 2020, 4, 144–153. [Google Scholar] [CrossRef]
- Paul, J.; Modi, A.; Patel, J. Predicting green product consumption using Theory of Planned Behavior and Reasoned Action. J. Retail. Consum. Serv. 2016, 29, 123–134. [Google Scholar] [CrossRef]
- Trivedi, R.; Patel, J.; Acharya, N. Causality analysis of media influence on environmental attitude, intention and behaviors leading to green purchasing. J. Clean. Prod. 2018, 196, 11–22. [Google Scholar] [CrossRef]
- Young, W.; Hwang, K.; Mcdonald, S.; Oates, C.J. Sustainable consumption: Green consumer behaviour when purchasing products. Sustain. Dev. 2010, 1, 20–31. [Google Scholar] [CrossRef]
- Piligrimiene, Ž.; Žukauskaite, A.; Korzilius, H.; Banyte, J.; Dovaliene, A. Internal and external determinants of consumer engagement in sustainable consumption. Sustainability 2020, 12, 1349. [Google Scholar] [CrossRef]
- Testa, F.; Sarti, S.; Frey, M. Are green consumers really green? Exploring the factors behind the actual consumption of organic food products. Bus. Strateg. Environ. 2019, 28, 327–338. [Google Scholar] [CrossRef]
- Ajzen, I. The theory of planned behaviour. Organ. Behav. Hum. Decis. Process. 1991, 50, 179–211. [Google Scholar] [CrossRef]
- Ramayah, T.; Lee, J.W.C.; Lim, S. Sustaining the environment through recycling: An empirical study. J. Environ. Manag. 2012, 102, 141–147. [Google Scholar] [CrossRef] [PubMed]
- Jaiswal, D.; Kant, R. Green purchasing behaviour: A conceptual framework and empirical investigation of Indian consumers. J. Retail. Consum. Serv. 2018, 41, 60–69. [Google Scholar] [CrossRef]
- Liu, W.J.; Lu, Z.Y. A study on the expression, generation mechanism and educational guidance of university students’ internet symbol consumption. Stud. Ideol. Edu. 2022, 08, 94–99. [Google Scholar]
- Yadav, G.; Mangla, S.K.; Luthra, S.; Rai, D.P. Developing a sustainable smart city framework for developing economies: An Indian context. Sustain. Cities Soc. 2019, 47, 101462. [Google Scholar] [CrossRef]
- Vermeir, I.; Verbeke, W. Sustainable food consumption among young adults in Belgium: Theory of planned behaviour and the role of confidence and values. Ecol. Econ. 2008, 64, 542–553. [Google Scholar] [CrossRef]
- Khan, S.N.; Mohsin, M. The power of emotional value: Exploring the effects of values on green product consumer choice behaviour. J. Clean. Prod. 2017, 150, 65–74. [Google Scholar] [CrossRef]
- Kumar, A.; Mangla, S.K.; Luthra, S.; Rana, N.P.; Dwivedi, Y.K. Predicting changing pattern: Building model for consumer decision making in digital market. J. Enterp. Inf. Manag. 2018, 31, 674–703. [Google Scholar] [CrossRef]
- Ben Natan, M.; Sharon, I.; Mahajna, M.; Mahajna, S. Factors affecting nursing students’ intention to report medication errors: An Application of the Theory of Planned Behavior. Nurse Educ. Today. 2017, 58, 38–42. [Google Scholar] [CrossRef] [PubMed]
- Armitage, C.J.; Conner, M. Efficacy of the theory of planned behaviour: A meta-analytic review. Br. J. Soc. Psychol. 2001, 40, 417–499. [Google Scholar] [CrossRef] [PubMed]
- Kaman, L. Opportunities for green marketing: Young consumers. Mark. Intell. Plan. 2008, 26, 573–586. [Google Scholar] [CrossRef]
- Corboș, R.-A.; Bunea, O.-I.; Triculescu, M.; Mișu, S.I. Which Values Matter Most to Romanian Consumers? Exploring the Impact of Green Attitudes and Communication on Buying Behavior. Sustainability 2024, 16, 3866. [Google Scholar] [CrossRef]
- Hartmann, P.; Apaolaza-Ibáñez, V. Consumer attitude and purchase intention toward green energy brands: The roles of psychological benefits and environmental concern. J. Bus. Res. 2012, 65, 1254–1263. [Google Scholar] [CrossRef]
- Pillai, S.G.; Kim, W.G.; Haldorai, K.; Kim, H.S. Online food delivery services and consumers’ purchase intention: Integration of theory of planned behavior, theory of perceived risk, and the elaboration likelihood model. Int. J. Hosp. Manag. 2022, 105, 103275. [Google Scholar] [CrossRef]
- Yazdanpanah, M.; Forouzani, M. Application of the theory of planned behaviour to predict Iranian students’ intention to purchase organic food. J. Clean. Prod. 2015, 107, 342–352. [Google Scholar] [CrossRef]
- Wan, C.; Shen, G.Q.; Choi, S. Experiential and instrumental attitudes: Interaction effect of attitude and subjective norm on recycling intention. J. Environ. Psychol. 2017, 50, 69–79. [Google Scholar] [CrossRef]
- Al-Swidi, A.; Huque, S.M.R.; Hafeez, M.H.; Shariff, M.N.M. The role of subjective norms in theory of planned behavior in the context of organic food consumption. Br. Food J. 2014, 116, 1561–1580. [Google Scholar] [CrossRef]
- Han, H.; Kim, Y. An investigation of green hotel customers’ decision formation: Developing an extended model of the theory of planned behavior. Int. J. Hosp. Manag. 2010, 29, 659–668. [Google Scholar] [CrossRef]
- Emekci, S. Green consumption behaviours of consumers within the scope of TPB. J. Consum. Mark. 2019, 36, 410–417. [Google Scholar] [CrossRef]
- Rezai, G. Consumers’ awareness and consumption intention towards green foods. Afr. J. Bus. Manag. 2012, 6, 279–286. [Google Scholar] [CrossRef]
- Xie, C.; Wang, R.; Gong, X. The influence of environmental cognition on green consumption behavior. Front. Psychol. 2022, 13, 988585. [Google Scholar] [CrossRef] [PubMed]
- Wang, P.; Liu, Q.; Qi, Y. Factors influencing sustainable consumption behaviors: A survey of the rural residents in China. J. Clean. Prod. 2014, 63, 152–165. [Google Scholar] [CrossRef]
- Nekmahmud, M.; Naz, F.; Ramkissoon, H.; Fekete-Farkas, M. Transforming consumers’ intention to purchase green products: Role of social media. Technol. Forecast. Soc. Chang. 2022, 185, 122067. [Google Scholar] [CrossRef]
- Chen, M.F.; Tung, P.J. Developing an extended theory of planned behavior model to predict consumers’ intention to visit green hotels. Int. J. Hosp. Manag. 2014, 36, 221–230. [Google Scholar] [CrossRef]
- Hsu, C.L.; Chang, C.Y.; Yansritakul, C. Exploring purchase intention of green skincare products using the theory of planned behavior: Testing the moderating effects of country of origin and price sensitivity. J. Retail. Consum. Serv. 2017, 34, 145–152. [Google Scholar] [CrossRef]
- Panda, T.K.; Kumar, A.; Jakhar, S.; Luthra, S.; Garza-Reyes, J.A.; Kazancoglu, I.; Nayak, S.S. Social and environmental sustainability model on consumers’ altruism, green purchase intention, green brand loyalty and evangelism. J. Clean. Prod. 2020, 243, 118575. [Google Scholar] [CrossRef]
- Missimer, M.; Robèrt, K.H.; Broman, G. A strategic approach to social sustainability-Part 2: A principle-based definition. J. Clean. Prod. 2016, 140, 42–52. [Google Scholar] [CrossRef]
- Holdren, J.P.; Daily, G.C.; Ehrlich, P.R. The Meaning of Sustainability: Biogeophysical Aspects. Defining and Measuring Sustainability: The Biogeophysical Foundations 1995. Available online: https://documents1.worldbank.org/curated/en/328001468764998700/pdf/multi0page.pdf (accessed on 3 April 2024).
- Florida, R. Lean and green: The move to environmentally conscious manufacturing. Calif. Manag. Rev. 1996, 39, 80–105. [Google Scholar] [CrossRef]
- Rothenberg, S.; Pil, F.K.; Maxwell, J. Lean, green, and the quest for superior environmental performance. Prod. Oper. Manag. 2001, 10, 228–243. [Google Scholar] [CrossRef]
- Marshall, R.S.; Cordano, M.; Silverman, M. Exploring individual and institutional drivers of proactive environmentalism in the US Wine industry. Bus. Strateg. Environ. 2010, 14, 92–109. [Google Scholar] [CrossRef]
- Punyatoya, P. Linking environmental awareness and perceived brand eco-friendliness to brand trust and purchase intention. Glob. Bus. Rev. 2014, 15, 279–289. [Google Scholar] [CrossRef]
- Lin, H.Y.; Hsu, M.H. Using social cognitive theory to investigate green consumer behavior. Bus. Strateg. Environ. 2015, 24, 326–343. [Google Scholar] [CrossRef]
- Sun, Y.H.; Liu, N.N.; Zhao, M.Z. Factors and mechanisms affecting green consumption in China: A multilevel analysis. J. Clean. Prod. 2018, 209, 481–493. [Google Scholar] [CrossRef]
- Kushwah, S.; Dhir, A.; Sagar, M. Ethical consumption intentions and choice behavior towards organic food. Moderation role of buying and environmental concerns. J. Clean. Prod. 2019, 236, 117519. [Google Scholar] [CrossRef]
- Kautish, P.; Paul, J.; Sharma, R. The moderating influence of environmental consciousness and recycling intentions on green purchase behavior. J. Clean. Prod. 2019, 228, 1425–1436. [Google Scholar] [CrossRef]
- Biswas, A.; Roy, M. Green products: An exploratory study on the consumer behaviour in emerging economies of the East. J. Clean. Prod. 2015, 87, 463–468. [Google Scholar] [CrossRef]
- Asif, M.; Wang, X.H.; Nasiri, A.; Ayyub, S. Determinant factors influencing organic food purchase intention and the moderating role of awareness: A comparative analysis. Food. Qual. Prefer. 2017, 63, 144–150. [Google Scholar] [CrossRef]
- Coddington, W. Environmental Marketing: Positive Strategies for Reaching the Green Consumer; McGraw-Hill Companies: New York, NY, USA, 1993. [Google Scholar]
- Fraj, E.; Martinez, E. Environmental values and lifestyles as determining factors of ecological consumer behaviour: An empirical analysis. J. Consum. Mark. 2006, 23, 133–144. [Google Scholar] [CrossRef]
- Taylor, S.; Todd, P. Understanding household garbage reduction behavior: A test of an integrated model. J. Public Policy Mark. 1995, 14, 192–204. [Google Scholar] [CrossRef]
- Cialdini, R.B.; Kallgren, C.A.; Reno, R.R. A focus theory of normative vonduct: A theoretical refinement and reevaluation of the role of norms in human behavior. Adv. Exp. Soc. Psychol. 1991, 24, 201–234. [Google Scholar] [CrossRef]
- Lao, K. Research on mechanism of consumer innovativeness influences green consumption behavior. Nankai Bus. Rev. 2013, 16, 106–113+132. [Google Scholar] [CrossRef]
- Li, L.Y. Effect of collectivist orientation and ecological attitude on actual environmental commitment: The moderating role of consumer demographics and product involvement. J. Int. Consum. Mark. 1997, 9, 31–53. [Google Scholar] [CrossRef]
- Podsakoff, P.M.; MacKenzie, S.B.; Lee, J.Y.; Podsakoff, N.P. Common method biases in behavioral research: A critical review of the literature and recommended remedies. J. Appl. Psychol. 2003, 88, 879–903. [Google Scholar] [CrossRef] [PubMed]
- Hu, L.T.; Bentler, P.M. Cutoff criteria for fit indexes in covariance structure analysis: Conventional criteria versus new alternatives. Struct. Equ. Model. 1999, 6, 1–55. [Google Scholar] [CrossRef]
- Hayes, A.F. Introduction to Mediation, Moderation, and Conditional Process Analysis: A Regression-Based Approach; Guilford Press: New York, NY, USA, 2013. [Google Scholar]
- Yadav, R.; Pathak, G.S. Determinants of consumers’ green purchase behavior in a developing nation: Applying and extending the theory of planned behavior. Ecol. Econ. 2017, 134, 114–122. [Google Scholar] [CrossRef]
- Han, H. Theory of green purchase behavior (TGPB): A new theory for sustainable consumption of green hotel and green restaurant products. Bus. Strateg. Environ. 2020, 29, 2815–2828. [Google Scholar] [CrossRef]
- Kim, Y.H.; Han, H. Intention to pay conventional-hotel prices at a green hotel-a modification of the theory of planned behavior. J. Sustain. Tour. 2010, 18, 997–1014. [Google Scholar] [CrossRef]
- Kim, S.Y.; Yeo, J.; Sohn, S.H.; Rha, J.Y.; Choi, S.; Choi, A.Y.; Shin, S. Toward a Composite Measure of Green Consumption: An Exploratory Study Using a Korean Sample. J. Fam. Econ. Issues 2012, 33, 199–214. [Google Scholar] [CrossRef]
- Maloney, J.; Lee, M.Y.; Jackson, V.; Miller-Spillman, K.A. Consumer willingness to purchase organic products: Application of the theory of planned behavior. J. Glob. Fash. Mark. 2014, 5, 308–321. [Google Scholar] [CrossRef]
- Si, H.Y.; Shi, J.G.; Tang, D.Z.; Wu, G.D.; Lan, J. Understanding intention and behavior toward sustainable usage of bike sharing by extending the theory of planned behavior. Resour. Conserv. Recycl. 2020, 152, 104513. [Google Scholar] [CrossRef]
- Hojnik, J.; Ruzzier, M.; Manolova, T.S. Sustainable development: Predictors of green consumerism in Slovenia. Corp. Soc. Responsib. Environ. Manag. 2020, 27, 1695–1708. [Google Scholar] [CrossRef]
- Abeysekera, I.; Manalang, L.; David, R.; Guiao, B.G. Accounting for environmental awareness on green purchase intention and behaviour: Evidence from the Philippines. Sustainability 2022, 14, 12565. [Google Scholar] [CrossRef]
- Hidalgo-Crespo, J.; Berrones, N.; Riel, A.; Amaya-Rivas, J.L. Exploring the Norm Activation Model Together with External Influences and Environmental Moral Values: The Case of Guayaquil, Ecuador. In Systems, Smart Technologies and Innovation for Society; Salgado-Guerrero, J.P., Vega-Carrillo, H.R., García-Fernández, G., Robles-Bykbaev, V., Eds.; CITIS 2023; Lecture Notes in Networks and Systems; Springer: Cham, Switzerland, 2023; Volume 871. [Google Scholar] [CrossRef]
- Pagiaslis, A.; Krontalis, A.K. Green consumption behavior antecedents: Environmental concern, knowledge, and beliefs. Psychol. Mark. 2014, 31, 335–348. [Google Scholar] [CrossRef]
- Mostafa, M.M. A hierarchical analysis of the green consciousness of the Egyptian consumer. Psychol. Mark. 2007, 24, 445–473. [Google Scholar] [CrossRef]
- Prakash, G.; Pathak, P. Intention to buy eco-friendly packaged products among young consumers of India: A study on developing nation. J. Clean. Prod. 2017, 141, 385–393. [Google Scholar] [CrossRef]
- Minbashrazgah, M.M.; Maleki, F.; Torabi, M. Green chicken purchase behavior: The moderating role of price transparency. Manag. Environ. Qual. Int. J. 2017, 28, 902–916. [Google Scholar] [CrossRef]
- Yue, B.B.; Sheng, G.H.; She, S.X.; Xu, J.Q. Impact of consumer environmental responsibility on green consumption behavior in China: The role of environmental concern and price sensitivity. Sustainability 2020, 12, 2074. [Google Scholar] [CrossRef]
- Yuan, X.L.; Jian, Z. A critical assessment of the higher education for sustainable development from students’ perspectives—A chinese study. J. Clean. Prod. 2013, 48, 108–115. [Google Scholar] [CrossRef]
- Liang, J.F.; Li, J.J.; Lei, Q.Y. Exploring the influence of environmental values on green consumption behavior of apparel: A chain multiple mediation model among Chinese generation Z. Sustainability 2022, 14, 12850. [Google Scholar] [CrossRef]
- Alshebami, A.S.; Alholiby, M.S.; Elshaer, I.A.; Sobaih, A.E.E.; Al Marri, S.H. Examining the relationship between green mindfulness, spiritual intelligence, and environmental self identity: Unveiling the path to green entrepreneurial intention. Adm. Sci. 2023, 13, 226. [Google Scholar] [CrossRef]





| Main Category | Subcategory | Frequency | Percentage |
|---|---|---|---|
| Gender | Male | 146 | 34.8% |
| Female | 273 | 65.2% | |
| Monthly Living Expenses | <RMB 1500 | 84 | 20% |
| RMB 1501–2500 | 235 | 56.1% | |
| RMB 2501–3500 | 65 | 15.5% | |
| RMB 3501–4500 | 18 | 4.3% | |
| >RMB 4501 | 17 | 4.1% | |
| Grade | 1st-year Undergraduate | 229 | 54.7% |
| 2nd-year Undergraduate | 70 | 16.7% | |
| 3rd-year Undergraduate | 21 | 5% | |
| 4th-year Undergraduate | 24 | 5.7% | |
| Postgraduate Student | 75 | 17.9% | |
| Household Registration | Urban | 262 | 62.5% |
| Rural | 157 | 37.5% |
| Measures | M | SD | 1 | 2 | 3 | 4 | 5 |
|---|---|---|---|---|---|---|---|
| 1. ATGPs | 4.29 | 0.661 | 1.000 | ||||
| 2. SNs | 4.26 | 0.624 | 0.787 ** | 1.000 | |||
| 3. PBC | 3.31 | 0.908 | 0.288 *** | 0.358 ** | 1.000 | ||
| 4. SA | 4.29 | 0.559 | 0.602 ** | 0.628 ** | 0.238 ** | 1.000 | |
| 5. GPI | 3.83 | 0.864 | 0.506 ** | 0.556 ** | 0.517 ** | 0.360 ** | 1.000 |
| Predictors | R2 | F | β | t |
|---|---|---|---|---|
| Model 1 | 0.52 | 59.926 *** | ||
| ATGPs | 0.488 | 9.411 *** | ||
| SA | 0.138 | 2.637 *** | ||
| ATGPs × SA | 0.218 | 4.984 *** | ||
| Model 2 | 0.48 | 77.317 *** | ||
| SNs | 0.568 | 11.205 *** | ||
| SA | 0.080 | 1.554 *** | ||
| SNs × SA | 0.235 | 5.622 *** | ||
| Model 3 | 0.50 | 69.392 *** | ||
| PBC | 0.475 | 11.278 *** | ||
| SA | 0.264 | 6.334 *** | ||
| PBC × SA | −0.086 | −2.054 ** |
Disclaimer/Publisher’s Note: The statements, opinions and data contained in all publications are solely those of the individual author(s) and contributor(s) and not of MDPI and/or the editor(s). MDPI and/or the editor(s) disclaim responsibility for any injury to people or property resulting from any ideas, methods, instructions or products referred to in the content. |
© 2024 by the authors. Licensee MDPI, Basel, Switzerland. This article is an open access article distributed under the terms and conditions of the Creative Commons Attribution (CC BY) license (https://creativecommons.org/licenses/by/4.0/).
Share and Cite
Shang, W.; Zhu, R.; Liu, W.; Liu, Q. Understanding the Influences on Green Purchase Intention with Moderation by Sustainability Awareness. Sustainability 2024, 16, 4688. https://doi.org/10.3390/su16114688
Shang W, Zhu R, Liu W, Liu Q. Understanding the Influences on Green Purchase Intention with Moderation by Sustainability Awareness. Sustainability. 2024; 16(11):4688. https://doi.org/10.3390/su16114688
Chicago/Turabian StyleShang, Weiwei, Run Zhu, Weiwei Liu, and Qian Liu. 2024. "Understanding the Influences on Green Purchase Intention with Moderation by Sustainability Awareness" Sustainability 16, no. 11: 4688. https://doi.org/10.3390/su16114688
APA StyleShang, W., Zhu, R., Liu, W., & Liu, Q. (2024). Understanding the Influences on Green Purchase Intention with Moderation by Sustainability Awareness. Sustainability, 16(11), 4688. https://doi.org/10.3390/su16114688
