A Study on a Health Impact Assessment and Healthcare Cost Calculation of Beijing–Tianjin–Hebei Residents under PM2.5 and O3 Pollution
Abstract
1. Introduction
2. Data and Methods
2.1. Data Sources
2.1.1. Monitoring Data of PM2.5 and O3
2.1.2. Population Data
2.1.3. Health Effect Terminal
2.1.4. Baseline Mortality and Morbidity Data
2.1.5. Baseline Concentrations of PM2.5 and O3
2.1.6. Exposure Reaction Coefficient
2.2. Research Method
2.2.1. Construction of Health Impact Assessment Model
2.2.2. Long-Term Healthcare Cost Calculation Model
2.2.3. Short-Term Healthcare Cost Calculation Model
3. Results and Discussion
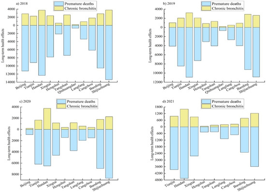
3.1. Analysis of Health Impact Assessment Results in BTH
3.1.1. Health Effects of PM2.5
3.1.2. Health Effects of O3
3.2. Calculation of Healthcare Costs in BTH
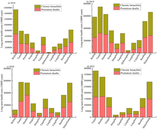
3.2.1. Long-Term Healthcare Cost Calculation
- (1)
- Long-term Healthcare Costs of PM2.5
- (2)
- Long-term Healthcare Costs of O3
3.2.2. Short-Term Healthcare Cost Calculation
- (1)
- Short-term Healthcare Costs of PM2.5
- (2)
- Short-term Healthcare Costs of O3
3.2.3. Total Healthcare Costs of PM2.5 and O3 in BTH
4. Conclusions and Policy Implications
- (1)
- From the results of the health impact assessment, the long-term exposure to PM2.5 in the BTH region led to an increase in the incidence of chronic bronchitis, while short-term exposure mainly affected the respiratory system. Moreover, O3 can easily cause people to suffer from respiratory diseases in the short term. However, looking at the results, O3 exposure led to higher mortality rates from cardiovascular diseases in the long term.
- (2)
- The calculation results of the healthcare costs showed that the healthcare costs caused by PM2.5 and O3 in the BTH region were CNY 77.1 billion in 2018, accounting for about 1% of the regional GDP in that year. With the improvement in pollution control, this proportion decreased annually and was 0.7%, 0.5%, and 0.3% in 2019–2021, respectively.
- (3)
- According to the types of pollutants, the healthcare costs caused by PM2.5 and O3 decreased each year. The healthcare costs of PM2.5 decreased from CNY 64.25 billion to CNY 16.1 billion, which is a decrease of 75%. The healthcare costs caused by O3 decreased from CNY 59 billion to CNY 24.7 billion, which is a decrease of 58%, being slightly lower than that of PM2.5.
- (1)
- The fundamental solution to lower the healthcare costs of PM2.5 and O3 is to control them, including collaborative governance among three regional governments at the horizontal level; multi-party collaborative governance with joint participation of government, enterprises, and the public at the vertical level; and by basing the latter on the former. In addition, the ecological compensation mechanism should be further improved. Owing to its geographical proximity and the same atmospheric environment, BTH formed a cross-polluted area of PM2.5 and O3. To control the cross-border pollution of PM2.5 and O3, an ecological compensation mechanism should be established in which the Hebei Province would receive compensation, and Beijing and Tianjin should be the compensation parties. Beijing and Tianjin assisted Hebei through capital and technology for cleaner production, technological transformation, energy conservation, and consumption reduction to reduce the concentrations of PM2.5 and O3, seek out pollution sources, and prevent and control them from their root causes.
- (2)
- Improve ozone control measures. The BTH region should make full use of the regional advantages around the capital, make use of the rich scientific research resources in the region to carry out new technological research and development, establish a pollution source emission list, and optimise the statistical calculation method of precursor emissions. At the same time, it is necessary to further promote the application and popularization of new energy vehicles to reduce the emissions of PM2.5 and O3 in the transportation sector.
- (3)
- Improve pollution control laws and regulations. The Chinese municipal government should further improve the laws and regulations on ecological compensation in the BTH region to ensure smooth policy implementation. In the legislative process, the government should establish the relevant subjects for collaborative legislation. The local subject was the forerunner, the central subjects comprised overall planning and the governor, and the public were the subject of feedback evaluation.
Author Contributions
Funding
Data Availability Statement
Conflicts of Interest
Appendix A
| City | 2018 | Total | 2019 | Total | ||||||
|---|---|---|---|---|---|---|---|---|---|---|
| Asthma | Respiratory Diseases Hospitalizations | Cardiovascular Disease Hospitalizations | Outpatient Services | Asthma | Respiratory Diseases Hospitalizations | Cardiovascular Disease Hospitalizations | Outpatient Services | |||
| Beijing | 10,470 | 18,119 | 3318 | 430,382 | 462,289 | 3801 | 6548 | 1187 | 153,914 | 165,450 |
| Tianjin | 8555 | 14,832 | 2728 | 353,907 | 380,021 | 7895 | 13,680 | 2512 | 353,907 | 377,994 |
| Handan | 11,694 | 20,461 | 3839 | 498,840 | 534,834 | 10,298 | 17,979 | 3356 | 498,840 | 530,473 |
| Xingtai | 7349 | 12,815 | 2386 | 309,829 | 332,379 | 6846 | 11,925 | 2215 | 309,829 | 330,815 |
| Hengshui | 1967 | 3402 | 622 | 80,690 | 86,682 | 2918 | 5063 | 932 | 80,690 | 89,603 |
| Zhangjiakou | - | - | - | - | - | - | - | - | - | - |
| Chengde | - | - | - | - | - | - | - | - | - | - |
| Tangshan | 6957 | 12,109 | 2245 | 291,540 | 312,852 | 3767 | 6518 | 1193 | 291,540 | 303,017 |
| Qinhuangdao | 641 | 1104 | 200 | 25,980 | 27,925 | 646 | 1114 | 202 | 25,980 | 27,943 |
| Langfang | 3173 | 5505 | 1013 | 131,513 | 141,204 | 2516 | 4356 | 798 | 131,513 | 139,184 |
| Cangzhou | 5753 | 9996 | 1846 | 239,662 | 257,258 | 3724 | 6445 | 1180 | 239,662 | 251,011 |
| Baoding | 9949 | 17,364 | 3240 | 420,835 | 451,388 | 8675 | 15,085 | 2792 | 420,835 | 447,387 |
| Shijiazhuang | 12,666 | 22,138 | 4143 | 538,329 | 577,276 | 10,212 | 17,788 | 3304 | 538,329 | 569,633 |
| total | 79,174 | 137,846 | 25,581 | 3,321,507 | 3,564,107 | 61,300 | 102,554 | 18,966 | 3,006,793 | 3,189,614 |
| City | 2020 | Total | 2021 | Total | ||||||
| Asthma | Respiratory diseases hospitalizations | Cardiovascular disease hospitalizations | Outpatient services | Asthma | Respiratory diseases hospitalizations | Cardiovascular disease hospitalizations | Outpatient services | |||
| Beijing | 854 | 1468 | 265 | 34,359 | 36,946 | - | - | - | - | - |
| Tianjin | 5747 | 9934 | 1815 | 235,396 | 252,892 | 3567 | 6153 | 1119 | 145,047 | 155,886 |
| Handan | 6062 | 10,514 | 1935 | 251,099 | 269,610 | 4324 | 7480 | 1369 | 177,537 | 190,710 |
| Xingtai | 4298 | 7451 | 1370 | 177,705 | 190,824 | 2442 | 4218 | 769 | 99,710 | 107,140 |
| Hengshui | 1333 | 2302 | 419 | 54,361 | 58,415 | 435 | 750 | 136 | 17,578 | 18,899 |
| Zhangjiakou | - | - | - | - | - | - | - | - | - | - |
| Chengde | - | - | - | - | - | - | - | - | - | - |
| Tangshan | 3513 | 6076 | 1112 | 144,174 | 154,874 | 411 | 707 | 128 | 16,554 | 17,800 |
| Qinhuangdao | - | - | - | - | - | - | - | - | - | - |
| Langfang | 1812 | 3128 | 570 | 73,918 | 79,429 | 993 | 1710 | 310 | 40,205 | 43,217 |
| Cangzhou | 1379 | 2376 | 431 | 55,871 | 60,056 | 658 | 1132 | 205 | 26,529 | 28,523 |
| Baoding | 6484 | 11,233 | 2062 | 267,503 | 287,282 | 2130 | 3672 | 667 | 86,481 | 92,949 |
| Shijiazhuang | 8125 | 14,108 | 2603 | 337,847 | 362,683 | 3320 | 5730 | 1043 | 135,247 | 145,341 |
| total | 39,606 | 68,591 | 12,582 | 1,621,501 | 1,742,280 | 18,280 | 31,552 | 5745 | 744,889 | 800,466 |
| City | 2018 | Total | 2019 | Total | ||||
|---|---|---|---|---|---|---|---|---|
| Respiratory System Hospitalizations | Cardiovascular System Hospitalizations | Respiratory System Outpatients | Respiratory System Hospitalizations | Cardiovascular System Hospitalizations | Respiratory System Outpatients | |||
| Beijing | 18,066 | 3958 | 892,623 | 914,648 | 16,758 | 3670 | 827,596 | 848,024 |
| Tianjin | 12,651 | 2773 | 625,409 | 640,834 | 11,782 | 2581 | 582,180 | 596,544 |
| Handan | 10,301 | 2260 | 509,819 | 522,381 | 10,035 | 2201 | 496,514 | 508,750 |
| Xingtai | 9690 | 2129 | 480,314 | 492,133 | 7261 | 1592 | 359,120 | 367,973 |
| Hengshui | 6450 | 1419 | 320,002 | 327,871 | 3895 | 853 | 192,475 | 197,223 |
| Zhangjiakou | 3885 | 851 | 191,989 | 196,725 | 3217 | 704 | 158,843 | 162,764 |
| Chengde | 2351 | 514 | 115,994 | 118,859 | 2033 | 445 | 100,276 | 102,754 |
| Tangshan | 7546 | 1654 | 373,137 | 382,337 | 8725 | 1915 | 431,839 | 442,478 |
| Qinhuangdao | 2118 | 464 | 104,555 | 107,137 | 2347 | 514 | 115,867 | 118,727 |
| Langfang | 4034 | 884 | 199,315 | 204,233 | 3838 | 841 | 189,568 | 194,247 |
| Cangzhou | 7882 | 1729 | 389,966 | 399,577 | 6242 | 1367 | 308,383 | 315,993 |
| Baoding | 9862 | 2164 | 487,968 | 499,994 | 9685 | 2123 | 478,749 | 490,557 |
| Shijiazhuang | 11,814 | 2592 | 584,659 | 599,065 | 10,445 | 2290 | 516,476 | 529,211 |
| total | 106,649 | 23,392 | 5,275,751 | 5,405,792 | 96,263 | 21,097 | 4,757,884 | 4,875,244 |
| City | 2020 | Total | 2021 | Total | ||||
| Respiratory system hospitalizations | Cardiovascular system hospitalizations | Respiratory system outpatients | Respiratory system hospitalizations | Cardiovascular system hospitalizations | Respiratory system outpatients | |||
| Beijing | 12,789 | 2797 | 630,807 | 646,393 | 8752 | 1912 | 431,119 | 441,782 |
| Tianjin | 10,324 | 2260 | 509,749 | 522,333 | 6859 | 1499 | 338,109 | 346,467 |
| Handan | 11,206 | 2461 | 555,033 | 568,701 | 6637 | 1453 | 327,643 | 335,733 |
| Xingtai | 5932 | 1300 | 293,078 | 300,310 | 5238 | 1147 | 258,626 | 265,010 |
| Hengshui | 4599 | 1009 | 227,616 | 233,224 | 3529 | 773 | 174,361 | 178,663 |
| Zhangjiakou | 1828 | 399 | 90,068 | 92,295 | 1677 | 366 | 82,594 | 84,637 |
| Chengde | 1774 | 388 | 87,445 | 89,606 | 1362 | 298 | 67,116 | 68,776 |
| Tangshan | 5893 | 1290 | 291,014 | 298,197 | 3544 | 775 | 174,663 | 178,982 |
| Qinhuangdao | 2788 | 611 | 137,779 | 141,178 | 2248 | 492 | 110,974 | 113,714 |
| Langfang | 4154 | 910 | 205,150 | 210,214 | 3592 | 786 | 177,266 | 181,645 |
| Cangzhou | 7776 | 1706 | 384,776 | 394,257 | 5853 | 1282 | 289,140 | 296,275 |
| Baoding | 7474 | 1635 | 368,784 | 377,893 | 6882 | 1507 | 339,822 | 348,211 |
| Shijiazhuang | 7869 | 1722 | 388,445 | 398,037 | 7621 | 1668 | 376,127 | 385,415 |
| total | 84,405 | 18,489 | 4,169,743 | 4,272,637 | 63,794 | 13,957 | 3,147,559 | 3,225,310 |
| Year | City | Asthma | Respiratory Disease Hospitalizations | Cardiovascular Disease Hospitalizations | Respiratory Outpatient Services | Cardiovascular Outpatient Services | Total | Proportion of GDP (%) |
|---|---|---|---|---|---|---|---|---|
| 2018 | Beijing | 1.612 | 2.359 | 0.707 | 1.825 | 1.540 | 8.043 | 0.024 |
| Tianjin | 1.317 | 1.791 | 0.560 | 1.001 | 0.845 | 5.514 | 0.041 | |
| Handan | 1.800 | 1.915 | 0.707 | 0.807 | 0.618 | 5.947 | 0.182 | |
| Xingtai | 1.132 | 1.193 | 0.435 | 0.483 | 0.408 | 3.650 | 0.187 | |
| Hengshui | 0.303 | 0.321 | 0.114 | 0.129 | 0.108 | 0.975 | 0.071 | |
| Zhangjiakou | - | - | - | - | - | - | - | |
| Chengde | - | - | - | - | - | - | - | |
| Tangshan | 1.071 | 1.315 | 0.438 | 0.570 | 0.481 | 3.875 | 0.062 | |
| Qinhuangdao | 0.099 | 0.110 | 0.038 | 0.045 | 0.038 | 0.328 | 0.022 | |
| Langfang | 0.489 | 0.571 | 0.194 | 0.241 | 0.203 | 1.679 | 0.056 | |
| Cangzhou | 0.886 | 0.979 | 0.344 | 0.404 | 0.341 | 2.953 | 0.090 | |
| Baoding | 1.532 | 1.674 | 0.599 | 0.692 | 0.584 | 5.080 | 0.144 | |
| Shijiazhuang | 1.950 | 2.208 | 0.778 | 0.930 | 0.785 | 6.652 | 0.124 | |
| total | 12.190 | 14.472 | 4.914 | 7.126 | 6.013 | 44.715 | 0.057 | |
| 2019 | Beijing | 0.598 | 0.853 | 0.253 | 0.680 | 0.574 | 2.957 | 0.008 |
| Tianjin | 1.242 | 1.652 | 0.516 | 0.891 | 0.752 | 5.052 | 0.036 | |
| Handan | 1.620 | 1.715 | 0.618 | 0.755 | 0.637 | 5.345 | 0.153 | |
| Xingtai | 1.077 | 1.110 | 0.404 | 0.481 | 0.406 | 3.478 | 0.164 | |
| Hengshui | 0.459 | 0.478 | 0.171 | 0.207 | 0.175 | 1.489 | 0.009 | |
| Zhangjiakou | - | - | - | - | - | - | - | |
| Chengde | - | - | - | - | - | - | - | |
| Tangshan | 0.593 | 0.708 | 0.233 | 0.326 | 0.275 | 2.134 | 0.031 | |
| Qinhuangdao | 0.102 | 0.111 | 0.038 | 0.048 | 0.041 | 0.339 | 0.021 | |
| Langfang | 0.396 | 0.452 | 0.153 | 0.202 | 0.170 | 1.372 | 0.043 | |
| Cangzhou | 0.586 | 0.631 | 0.220 | 0.278 | 0.234 | 1.950 | 0.054 | |
| Baoding | 1.365 | 1.454 | 0.517 | 0.615 | 0.519 | 4.470 | 0.118 | |
| Shijiazhuang | 1.607 | 1.774 | 0.620 | 0.795 | 0.671 | 5.467 | 0.094 | |
| total | 9.645 | 10.936 | 3.742 | 5.278 | 4.453 | 34.055 | 0.040 | |
| 2020 | Beijing | 0.137 | 0.199 | 0.062 | 0.175 | 0.148 | 0.722 | 0.002 |
| Tianjin | 0.925 | 1.175 | 0.391 | 0.790 | 0.667 | 3.947 | 0.028 | |
| Handan | 0.976 | 1.059 | 0.382 | 0.468 | 0.410 | 3.313 | 0.091 | |
| Xingtai | 0.692 | 0.734 | 0.268 | 0.334 | 0.028 | 2.309 | 0.105 | |
| Hengshui | 0.215 | 0.231 | 0.083 | 0.105 | 0.088 | 0.721 | 0.046 | |
| Zhangjiakou | - | - | - | - | - | - | - | |
| Chengde | - | - | - | - | - | - | - | |
| Tangshan | 0.565 | 0.705 | 0.237 | 0.338 | 0.285 | 2.130 | 0.030 | |
| Qinhuangdao | 0.000 | 0.000 | 0.000 | - | - | - | - | |
| Langfang | 0.292 | 0.334 | 0.116 | 0.155 | 0.131 | 1.029 | 0.031 | |
| Cangzhou | 0.222 | 0.247 | 0.087 | 0.113 | 0.096 | 0.764 | 0.021 | |
| Baoding | 1.043 | 1.117 | 0.405 | 0.510 | 0.430 | 3.505 | 0.089 | |
| Shijiazhuang | 1.307 | 1.477 | 0.525 | 0.690 | 0.582 | 4.582 | 0.077 | |
| total | 6.374 | 7,278 | 2.554 | 3.698 | 3.119 | 23.022 | 0.027 | |
| 2021 | Beijing | - | - | - | - | - | - | - |
| Tianjin | 0.599 | 0.727 | 0.241 | 0.496 | 0.419 | 2.483 | 0.016 | |
| Handan | 0.727 | 0.753 | 0.270 | 0.355 | 0.299 | 2.404 | 0.058 | |
| Xingtai | 0.410 | 0.416 | 0.150 | 0.192 | 0.162 | 1.330 | 0.055 | |
| Hengshui | 0.073 | 0.075 | 0.027 | 0.035 | 0.029 | 0.239 | 0.014 | |
| Zhangjiakou | - | - | - | - | - | - | - | |
| Chengde | - | - | - | - | - | - | - | |
| Tangshan | 0.069 | 0.082 | 0.027 | 0.041 | 0.034 | 0.253 | 0.003 | |
| Qinhuangdao | - | - | - | - | - | - | - | |
| Langfang | 0.167 | 0.183 | 0.063 | 0.086 | 0.073 | 0.572 | 0.016 | |
| Cangzhou | 0.110 | 0.118 | 0.041 | 0.056 | 0.047 | 0.372 | 0.009 | |
| Baoding | 0.358 | 0.365 | 0.131 | 0.173 | 0.146 | 1.173 | 0.029 | |
| Shijiazhuang | 0.558 | 0.600 | 0.210 | 0.284 | 0.240 | 1.892 | 0.029 | |
| total | 3.071 | 3.319 | 1.161 | 1.717 | 1.449 | 10.717 | 0.011 |
| City | 2018 | Total | Proportion of GDP (%) | 2019 | Total | Proportion of GDP (%) | ||||
|---|---|---|---|---|---|---|---|---|---|---|
| Respiratory System Hospitalizations | Cardiovascular System Hospitalizations | Respiratory System Outpatient Services | Respiratory System Hospitalizations | Cardiovascular System Hospitalizations | Respiratory System Outpatient Services | |||||
| Beijing | 2.353 | 0.844 | 6.978 | 10.174 | 0.031 | 2.228 | 0.817 | 6.740 | 9.785 | 0.028 |
| Tianjin | 1.527 | 0.569 | 3.262 | 5.359 | 0.040 | 1.324 | 0.531 | 2.935 | 4.791 | 0.034 |
| Handan | 0.982 | 0.416 | 1.521 | 2.920 | 0.090 | 0.977 | 0.425 | 1.586 | 2.989 | 0.086 |
| Xingtai | 0.902 | 0.388 | 1.382 | 2.672 | 0.137 | 0.691 | 0.305 | 1.108 | 2.105 | 0.099 |
| Hengshui | 0.609 | 0.260 | 0.940 | 1.809 | 0.131 | 0.376 | 0.165 | 0.607 | 1.148 | 0.076 |
| Zhangjiakou | 0.368 | 0.156 | 0.568 | 1.092 | 0.076 | 0.312 | 0.136 | 0.504 | 0.952 | 0.061 |
| Chengde | 0.227 | 0.095 | 0.353 | 0.675 | 0.049 | 0.201 | 0.087 | 0.326 | 0.614 | 0.042 |
| Tangshan | 0.820 | 0.323 | 1.344 | 2.487 | 0.039 | 0.972 | 0.393 | 1.676 | 3.040 | 0.044 |
| Qinhuangdao | 0.211 | 0.087 | 0.332 | 0.629 | 0.042 | 0.238 | 0.101 | 0.394 | 0.733 | 0.045 |
| Langfang | 0.418 | 0.169 | 0.672 | 1.260 | 0.042 | 0.405 | 0.168 | 0.681 | 1.254 | 0.039 |
| Cangzhou | 0.772 | 0.322 | 1.211 | 2.305 | 0.071 | 0.627 | 0.268 | 1.032 | 1.927 | 0.054 |
| Baoding | 0.951 | 0.400 | 1.479 | 2.830 | 0.080 | 0.931 | 0.409 | 1.498 | 2.838 | 0.075 |
| Shijiazhuang | 1.178 | 0.487 | 1.863 | 3.528 | 0.066 | 1.065 | 0.452 | 1.765 | 3.282 | 0.056 |
| total | 11.318 | 4.517 | 21.905 | 37.740 | 0.048 | 10.347 | 4.258 | 20.852 | 35.457 | 0.042 |
| City | 2020 | Total | Proportion of GDP (%) | 2021 | Total | Proportion of GDP (%) | ||||
| Respiratory system hospitalizations | Cardiovascular system hospitalizations | Respiratory system outpatient services | Respiratory system hospitalizations | Cardiovascular system hospitalizations | Respiratory system outpatient services | |||||
| Beijing | 1.783 | 0.652 | 5.939 | 8.328 | 0.023 | 1.284 | 0.473 | 4.164 | 5.921 | 0.015 |
| Tianjin | 1.221 | 0.487 | 3.155 | 4.862 | 0.035 | 0.869 | 0.341 | 2.133 | 3.343 | 0.021 |
| Handan | 1.128 | 0.486 | 1.982 | 3597 | 0.099 | 0.709 | 0.301 | 1.206 | 2.216 | 0.054 |
| Xingtai | 0.584 | 0.254 | 1.016 | 1.854 | 0.084 | 0.545 | 0.234 | 0.918 | 1.697 | 0.070 |
| Hengshui | 0.461 | 0.199 | 0.808 | 1.467 | 0.094 | 0.374 | 0.159 | 0.634 | 1.167 | 0.069 |
| Zhangjiakou | 0.184 | 0.079 | 0.322 | 0.585 | 0.037 | 0.178 | 0.076 | 0.302 | 0.556 | 0.032 |
| Chengde | 0.182 | 0.077 | 0.321 | 0.581 | 0.037 | 0.148 | 0.062 | 0.253 | 0.464 | 0.027 |
| Tangshan | 1.683 | 0.275 | 1.257 | 2.216 | 0.031 | 0.442 | 0.174 | 0.794 | 1.410 | 0.017 |
| Qinhuangdao | 0.292 | 0.123 | 0.521 | 0.936 | 0.056 | 0.250 | 0.104 | 0.431 | 0.785 | 0.043 |
| Langfang | 0.444 | 0.185 | 0.795 | 1.425 | 0.043 | 0.405 | 0.167 | 0.702 | 1.274 | 0.036 |
| Cangzhou | 0.809 | 0.343 | 1.438 | 2.590 | 0.070 | 0.647 | 0.270 | 1.116 | 2.034 | 0.049 |
| Baoding | 0.743 | 0.321 | 1.295 | 2.360 | 0.060 | 0.736 | 0.312 | 1.254 | 2.302 | 0.056 |
| Shijiazhuang | 0.824 | 0.347 | 1.463 | 2.634 | 0.044 | 0.845 | 0.352 | 1.457 | 2.653 | 0.041 |
| total | 9.294 | 3.828 | 20.313 | 33.435 | 0.039 | 7.433 | 3.026 | 15.364 | 25.823 | 0.027 |
References
- Rosana, A.; Thomas, C.; Alexander, G.; Tarik, B. Wildfire smoke impacts respiratory health more than fine particles from other sources: Observational evidence from Southern California. Nat. Commun. 2021, 12, 1493. [Google Scholar]
- Gao, Y.; Chen, Y.; Liu, G.; Zhang, J. Investigating the influence of meteorological factors on particulate matters: A case study based on path analysis. Energy Environ. 2019, 31, 479–491. [Google Scholar]
- Guan, Y.; Xiao, Y.; Wang, Y.; Zhang, N.; Chu, C. Assessing the health impacts attributable to PM2.5 and ozone pollution in 338 Chinese cities from 2015 to 2020. Environ. Pollut. 2021, 287, 117623. [Google Scholar] [CrossRef] [PubMed]
- Zhang, B.; Wu, B.; Liu, J. PM2.5 pollution-related health effects and willingness to pay for improved air quality: Evidence from China’s prefecture-level cities. J. Clean. Prod. 2020, 273, 122876. [Google Scholar] [CrossRef]
- Ministry of Ecology and Environment of the People’s Republic of China. Bulletin on the State of China’s Ecological Environment in 2021; Ministry of Ecology and Environment of the People’s Republic of China: Beijing, China, 2022. [Google Scholar]
- Xing, L.; Mao, X.; Duan, K. Impacts of urban–rural disparities in the trends of PM2.5 and ozone levels in China during 2013–2019. Atmos. Pollut. Res. 2022, 13, 101590. [Google Scholar] [CrossRef]
- Lyu, Y.; Wu, Z.; Wu, H.; Pang, X.; Qin, K.; Wang, B.; Ding, S.; Chen, D.; Chen, J. Tracking long-term population exposure risks to PM2.5 and ozone in urban agglomerations of China 2015–2021. Sci. Total Environ. 2023, 854, 158599. [Google Scholar] [CrossRef] [PubMed]
- Komal, S.; Catherine, S.; Brian, N.; Charles, C.; David, C.; Andreas, M.; Frank, D.; Masha, P.; Sarah, J.; Kazuhiko, I.; et al. ZIP Code-Level Estimation of Air Quality and Health Risk Due to Particulate Matter Pollution in New York City. Environ. Sci. Technol. 2022, 56, 7119–7130. [Google Scholar]
- Li, D.; Wu, Q.; Feng, J.; Wang, Y.; Wang, L.; Xu, Q.; Sun, Y.; Cao, K.; Cheng, H. The influence of anthropogenic emissions on air quality in Beijing-Tianjin-Hebei of China around 2050 under the future climate scenario. J. Clean. Prod. 2023, 388, 135927. [Google Scholar] [CrossRef]
- Shen, Y.; Zhao, H.; Zhao, C.; Dong, S.; He, K.; Xie, J.; Lv, M.; Yuan, C. Temporal responses of PM2.5-bound trace elements and health risks to air control policy in a typical northern city in China during 2016–2020. J. Clean. Prod. 2023, 408, 137165. [Google Scholar] [CrossRef]
- National Development and Reform Commission. The 14th Five-Year Plan for National Economic and Social Development of the People’s Republic of China and the Outline of the Long-Range Goals for 2035; National Development and Reform Commission: Beijing, China, 2021. [Google Scholar]
- Han, J.; Yang, Y.; Yang, X.; Wang, D.; Wang, X.; Sun, P. Exploring air pollution characteristics from spatio-temporal perspective: A case study of the top 10 urban agglomerations in China. Environ. Res. 2023, 224, 115512. [Google Scholar] [CrossRef]
- Macintyre, H.L.; Mitsakou, C.; Vieno, M.; Heal, M.R.; Heaviside, C.; Exley, K.S. Impacts of emissions policies on future UK mortality burdens associated with air pollution. Environ. Int. 2023, 174, 107862. [Google Scholar] [CrossRef] [PubMed]
- Xu, Z.; Shan, J. The effect of risk perception on willingness to pay for reductions in the health risks posed by particulate matter 2.5: A case study of Beijing, China. Energy Environ. 2018, 29, 1319–1337. [Google Scholar] [CrossRef]
- Mirzaei, A.; Tahriri, H.; Khorsandi, B. Comparison between AirQ+ and BenMAP-CE in estimating the health benefits of PM2.5 reduction. Air Qual. Atmos. Health 2021, 14, 807–815. [Google Scholar] [CrossRef]
- Cao, Z.; Zhou, J.; Li, M.; Huang, J.; Dou, D. Urbanites’ mental health undermined by air pollution. Nat. Sustain. 2023, 6, 470–478. [Google Scholar] [CrossRef]
- Yang, S.; Fang, D.; Chen, B. Human health impact and economic effect for PM2.5 exposure in typical cities. Appl. Energy 2019, 249, 316–325. [Google Scholar] [CrossRef]
- Cromar, K.; Gladson, L.; Gohlke, J.; Li, Y.; Tong, D.; Ewart, G. Adverse Health Impacts of Outdoor Air Pollution, Including from Wildland Fires, in the United States “Health of the Air”, 2018–2020. Ann. Am. Thorac. Soc. 2024, 21, 76–87. [Google Scholar] [CrossRef]
- Becerra-Pérez, L.A.; Ramos-Álvarez, R.A.; DelaCruz, J.J.; García-Páez, B.; Páez-Osuna, F.; Cedeño-Laurent, J.G.; Boldo, E. An Economic Analysis of the Environmental Impact of PM2.5 Exposure on Health Status in Three Northwestern Mexican Cities. Sustainability 2021, 13, 10782. [Google Scholar] [CrossRef]
- Baharane, V.; Shatalov, A.B. Assessment of the health impacts of air pollution exposure in East African countries. Environ. Monit. Assess. 2024, 196, 413. [Google Scholar] [CrossRef] [PubMed]
- Fu, J.; Fu, H.; Zhu, C.; Sun, Y.; Cao, H. Assessing the health risk impacts of urban green spaces on air pollution—Evidence from 31 China’s provinces. Ecol. Indic. 2024, 159, 111725. [Google Scholar] [CrossRef]
- Bian, Y.; Huang, X.; Lin, S.; Han, H.; Chen, J.; Lin, J.; Ye, X. PM2.5 air quality and health gains in the quest for carbon peaking: A case study of Fujian Province, China. Sci. Total Environ. 2024, 915, 170161. [Google Scholar] [CrossRef]
- Du, H.; Liu, H.; Zhang, Z. The unequal exchange of air pollution and economic benefits embodied in Beijing-Tianjin-Hebei’s consumption. Ecol. Econ. 2022, 195, 107394. [Google Scholar] [CrossRef]
- Xiao, Z.; Li, H.; Gao, Y. Analysis of the impact of the Beijing-Tianjin-Hebei coordinated development on environmental pollution and its mechanism. Environ. Monit. Assess. 2022, 194, 91. [Google Scholar] [CrossRef] [PubMed]
- Bai, R.; Lam, J.C.K.; Li, V.O.K. A review on health cost accounting of air pollution in China. Environ. Int. 2018, 120, 279–294. [Google Scholar] [CrossRef]
- Chen, Z.; Wang, F.; Liu, B.; Zhang, B. Short-Term and Long-Term Impacts of Air Pollution Control on China’s Economy. Environ. Manag. 2022, 70, 536–547. [Google Scholar] [CrossRef] [PubMed]
- Xie, Y.; Dai, H.; Zhang, Y.; Wu, Y.; Hanaoka, T.; Masui, T. Comparison of health and economic impacts of PM2.5 and ozone pollution in China. Environ. Int. 2019, 130, 104881. [Google Scholar] [CrossRef]
- Lu, X.; Lin, C.; Li, Y.; Yao, T.; Fung, J.C.H.; Lau, A.K.H. Assessment of health burden caused by particulate matter in southern China using high-resolution satellite observation. Environ. Int. 2017, 98, 160–170. [Google Scholar] [CrossRef] [PubMed]
- Qin, G.; Wang, X.; Wang, T.; Nie, D.; Li, Y.; Liu, Y.; Wen, H.; Huang, L.; Yu, C. Impact of Particulate Matter on Hospitalizations for Respiratory Diseases and Related Economic Losses in Wuhan, China. Front. Public Health 2022, 10, 797296. [Google Scholar] [CrossRef] [PubMed]
- Nguyen, T.H.; Nagashima, T.; Doan, Q.; Khan, A.; Niyogi, D. Source apportionment of PM2.5 and the impact of future PM2.5 changes on human health in the monsoon-influenced humid subtropical climate. Atmos. Pollut. Res. 2023, 14, 101777. [Google Scholar] [CrossRef]
- Rezazadeh, A.A.; Alizadeh, S.; Avami, A.; Kianbakhsh, A. Integrated analysis of energy-pollution-health nexus for sustainable energy planning. J. Clean. Prod. 2022, 356, 131824. [Google Scholar] [CrossRef]
- Sheng, L.; Qin, M.; Li, L.; Wang, C.; Gong, K.; Liu, T.; Li, J.; Hu, J. Impacts of emissions along the lower Yangtze River on air quality and public health in the Yangtze River delta, China. Atmos. Pollut. Res. 2022, 13, 101420. [Google Scholar] [CrossRef]
- Wang, C.; Wang, Y.; Shi, Z.; Sun, J.; Gong, K.; Li, J.; Qin, M.; Wei, J.; Li, T.; Kan, H.; et al. Effects of using different exposure data to estimate changes in premature mortality attributable to PM2.5 and O3 in China. Environ. Pollut. 2021, 285, 117242. [Google Scholar] [CrossRef] [PubMed]
- Kianizadeh, F.; Godini, H.; Moghimbeigi, A.; Hassanvand, M.S. Health and economic impacts of ambient air particulate matter (PM2.5) in Karaj city from 2012 to 2019 using BenMAP-CE. Environ. Monit. Assess. 2022, 194, 847. [Google Scholar] [CrossRef] [PubMed]
- Manojkumar, N.; Srimuruganandam, B. Spatio-temporal health benefits attributable to PM2.5 reduction in an Indian city. Int. J. Environ. Health Res. 2023, 33, 552–562. [Google Scholar] [CrossRef] [PubMed]
- Zheng, D.; Huang, X.; Guo, Y. Spatiotemporal variation of ozone pollution and health effects in China. Environ. Sci. Pollut. Res. 2022, 29, 57808–57822. [Google Scholar] [CrossRef] [PubMed]
- Liang, S.; Li, X.; Teng, Y.; Fu, H.; Chen, L.; Mao, J.; Zhang, H.; Gao, S.; Sun, Y.; Ma, Z.; et al. Estimation of health and economic benefits based on ozone exposure level with high spatial-temporal resolution by fusing satellite and station observations. Environ. Pollut. 2019, 255, 113267. [Google Scholar] [CrossRef] [PubMed]
- Beijing Municipal Bureau of Statistics. Beijing Statistical Yearbook; China Statistic Press: Beijing, China, 2022. [Google Scholar]
- Tianjin Bureau of Statistics. Tianjin Statistical Yearbook; China Statistic Press: Beijing, China, 2022. [Google Scholar]
- Hebei Bureau of Statistics. Hebei Statistical Yearbook; China Statistic Press: Beijing, China, 2022. [Google Scholar]
- National Health Commission of the People’s Republic of China. China Health Statistical Yearbook; Peking Union Medical College Press: Beijing, China, 2022. [Google Scholar]
- GB3095-2012; Ambient Air Quality Standards. Ministry of Ecology and Environment of the People’s Republic of China: Beijing, China, 2012. Available online: https://www.mee.gov.cn/ywgz/fgbz/bz/bzwb/dqhjbh/dqhjzlbz/201203/W020120410330232398521.pdf (accessed on 30 March 2024).
- Yang, W.; Wang, J.; Zhang, K.; Hao, Y. A novel air pollution forecasting, health effects, and economic cost assessment system for environmental management: From a new perspective of the district-level. J. Clean. Prod. 2023, 417, 138027. [Google Scholar] [CrossRef]
- Pope, I.C.A.; Dockery, D.W. Health effects of fine particulate air pollution: Lines that connect. J. Air Waste Manag. Assoc. 2006, 56, 709–742. [Google Scholar] [CrossRef] [PubMed]
- Chen, H.; Li, L.; Lei, Y.; Wu, S.; Yan, D.; Dong, Z. Public health effect and its economics loss of PM2.5 pollution from coal consumption in China. Sci. Total Environ. 2020, 732, 138973. [Google Scholar] [CrossRef] [PubMed]
- Di, Q.; Dai, L.; Wang, Y.; Zanobetti, A.; Choirat, C.; Schwartz, J.D.; Dominici, F. Association of Short-term Exposure to Air Pollution With Mortality in Older Adults. JAMA-J. Am. Med. Assoc. 2017, 318, 2446–2456. [Google Scholar] [CrossRef]
- Qu, Y.; Wang, T.; Cai, Y.; Wang, S.; Chen, P.; Li, S.; Li, M.; Yuan, C.; Wang, J.; Xu, S. Influence of Atmospheric Particulate Matter on Ozone in Nanjing, China: Observational Study and Mechanistic Analysis. Adv. Atmos. Sci. 2018, 35, 1381–1395. [Google Scholar] [CrossRef]
- Ren, Z.; Liu, X.; Liu, T.; Chen, D.; Jiao, K.; Wang, X.; Suo, J.; Yang, H.; Liao, J.; Ma, L. Effect of ambient fine particulates (PM2.5) on hospital admissions for respiratory and cardiovascular diseases in Wuhan, China. Resp. Res. 2021, 22, 128. [Google Scholar] [CrossRef] [PubMed]
- Zhang, Y.; Ding, Z.; Xiang, Q.; Wang, W.; Huang, L.; Mao, F. Short-term effects of ambient PM1 and PM2.5 air pollution on hospital admission for respiratory diseases: Case-crossover evidence from Shenzhen, China. Int. J. Hyg. Environ. Health 2020, 224, 113418. [Google Scholar] [CrossRef] [PubMed]
- Guan, Y.; Kang, L.; Wang, Y.; Zhang, N.; Ju, M. Health loss attributed to PM2.5 pollution in China’s cities: Economic impact, annual change and reduction potential. J. Clean. Prod. 2019, 217, 284–294. [Google Scholar] [CrossRef]
- Lall, R.; Ito, K.; Thurston, G. Distributed Lag Analyses of Daily Hospital Admissions and Source-Apportioned Fine Particle Air Pollution. Environ. Health Persp. 2011, 119, 455–460. [Google Scholar] [CrossRef] [PubMed]
- Sheehan, M.C.; Lam, J.; Navas-Acien, A.; Chang, H.H. Ambient air pollution epidemiology systematic review and meta-analysis: A review of reporting and methods practice. Environ. Int. 2016, 92–93, 647–656. [Google Scholar] [CrossRef] [PubMed]








| Pollutant | Long-Term Health Effects | |
|---|---|---|
| Health Terminal | β (95%CL) | |
| PM2.5 | Premature deaths | 1.74% (1.25%, 2.23%) |
| Chronic bronchitis | 5.68% (3.37%, 7.99%) | |
| O3 | Death from respiratory diseases | 0.53% (0.21%, 0.85%) |
| Cardiovascular disease death | 0.5% (0.2%, 0.8%) | |
| Pollutant | Short-Term Health Effects | |
|---|---|---|
| Health Impact Terminal | β (95%CL) | |
| PM2.5 | Asthma disease | 3.85% (1.98%, 5.72%) |
| Hospitalization of respiratory system disease | 2.84% (1.79%, 3.89%) | |
| Hospitalization of cardiovascular diseases | 0.66% (0.35%, 0.96%) | |
| Respiratory system disease outpatient | 0.52% (0.36%, 0.67%) | |
| Cardiovascular disease outpatient | 0.47% (0.45%, 0.49%) | |
| O3 | Hospitalization of respiratory system disease | 0.73% (0.26%, 1.21%) |
| Hospitalization for cardiovascular system disease | 0.01% (0, 0.01%) | |
| Respiratory system disease outpatient | 0.42% (0.31%, 0.52%) | |
| City | 2018 | 2019 | 2020 | 2021 |
|---|---|---|---|---|
| Beijing | 238.09 | 251.38 | 251.46 | 273.58 |
| Tianjin | 150.83 | 157.32 | 158.82 | 173.08 |
| Handan | 88.26 | 94.13 | 97.49 | 106.83 |
| Xingtai | 76.56 | 82.87 | 86.09 | 93.47 |
| Hengshui | 75.86 | 81.87 | 85.2 | 94.4 |
| Zhangjiakou | 83.34 | 89.63 | 92.98 | 102.07 |
| Chengde | 75.12 | 80.98 | 84.1 | 93.6 |
| Tangshan | 115.72 | 122.73 | 126.29 | 137.37 |
| Qinhuangdao | 93.75 | 99.86 | 102.91 | 112.16 |
| Langfang | 113.7 | 120.96 | 124.43 | 136.23 |
| Cangzhou | 88.85 | 94.31 | 97.38 | 106.31 |
| Baoding | 82.88 | 88.18 | 91.28 | 103.05 |
| Shijiazhuang | 102.47 | 108.83 | 112.1 | 122.4 |
| Year | Unit Outpatient Expenses/CNY | Unit Outpatient Day/Day | Average Cost per Unit of Asthma Disease/CNY | ||
|---|---|---|---|---|---|
| Beijing | Tianjin | Hebei Province | |||
| 2018 | 572.04 | 356.265 | 251.475 | 0.5 | 15,396.465 |
| 2019 | 589.47 | 380.415 | 269.325 | 15,733.515 | |
| 2020 | 716.205 | 480.165 | 304.395 | 16,093.035 | |
| 2021 | 713.79 | 475.02 | 307.965 | 16,800.84 | |
| Year | Unit Hospitalization Days/Days | Unit Hospitalization Expenses/CNY | ||
|---|---|---|---|---|
| Respiratory System Diseases | Cardiovascular System Diseases | Respiratory System Diseases | Cardiovascular System Diseases | |
| 2018 | 10.7 | 8.9 | 8533.924 | 17,584.2 |
| 2019 | 10.17 | 8.3 | 8720.532 | 18,529.73 |
| 2020 | 10.2 | 10.3 | 8991.392 | 18,665.4 |
| 2021 | 10.4 | 10.5 | 9433.409 | 19,440.17 |
| Year | City | PM2.5 | O3 | The Total Healthcare Cost | Proportion of GDP (%) | ||||||
|---|---|---|---|---|---|---|---|---|---|---|---|
| Long-Term Healthcare Cost | Short-Term Healthcare Cost | Total | Proportion of GDP (%) | Long-Term Healthcare Cost | Short-Term Healthcare Cost | Total | Proportion of GDP (%) | ||||
| 2018 | Beijing | 1.53.665 | 8.043 | 161.708 | 0.488 | 30.342 | 10.174 | 40.516 | 0.122 | 202.225 | 0.611 |
| Tianjin | 78.513 | 5.514 | 84.026 | 0.629 | 11.896 | 5.359 | 17.255 | 0.129 | 101.281 | 0.758 | |
| Handan | 67.704 | 5.947 | 73.615 | 2.260 | 6.380 | 2.920 | 9.300 | 0.285 | 82.950 | 2.545 | |
| Xingtai | 37.231 | 3.650 | 40.882 | 2.099 | 5.214 | 2.672 | 7.886 | 0.405 | 48.768 | 2.504 | |
| Hengshui | 9.229 | 0.975 | 10.204 | 0.738 | 3.442 | 1.809 | 5.251 | 0.380 | 15.456 | 1.119 | |
| Zhangjiakou | - | - | - | - | 2.269 | 1.092 | 3.361 | 0.235 | 3.361 | 0.235 | |
| Chengde | - | - | - | - | 1.235 | 0.675 | 1.911 | 0.139 | 1.911 | 0.139 | |
| Tangshan | 57.250 | 3.875 | 61.115 | 0.970 | 6.122 | 2.487 | 8.609 | 0.137 | 69.724 | 1.107 | |
| Qinhuangdao | 3.758 | 0.328 | 4.087 | 0.271 | 1.390 | 0.629 | 2.019 | 0.134 | 6.106 | 0.405 | |
| Langfang | 22.642 | 1.697 | 24.339 | 0.802 | 3.213 | 1.260 | 4.473 | 0.147 | 28.812 | 0.950 | |
| Cangzhou | 33.563 | 2.953 | 36.516 | 1.118 | 4.913 | 2.305 | 7.218 | 0.221 | 43.734 | 1.339 | |
| Baoding | 51.661 | 5.080 | 56.742 | 1.609 | 5.734 | 2.830 | 8.564 | 0.243 | 65.306 | 1.852 | |
| Shijiazhuang | 82.542 | 6.652 | 89.194 | 1.659 | 8.494 | 3.528 | 12.023 | 0.224 | 101.217 | 1.883 | |
| total | 597.749 | 44.715 | 642.464 | 0.815 | 90.643 | 37.740 | 128.384 | 0.163 | 770.848 | 0.977 | |
| 2019 | Beijing | 58.501 | 2.957 | 61.458 | 0.174 | 29.369 | 9.785 | 39.155 | 0.111 | 100.613 | 0.284 |
| Tianjin | 74.858 | 5.052 | 79.911 | 0.569 | 12.930 | 4.791 | 17.721 | 0.126 | 97.632 | 0.695 | |
| Handan | 62.900 | 5.345 | 68.246 | 1.958 | 6.598 | 2.989 | 9.588 | 0.275 | 77.833 | 2.233 | |
| Xingtai | 36.419 | 3.478 | 39.898 | 1.882 | 4.202 | 2.105 | 6.307 | 0.298 | 46.205 | 2.179 | |
| Hengshui | 15.171 | 1.489 | 16.660 | 1.107 | 2.225 | 1.148 | 3.372 | 0.224 | 20.032 | 1.331 | |
| Zhangjiakou | - | - | - | - | 2.010 | 0.925 | 2.962 | 0.191 | 2.962 | 0.191 | |
| Chengde | - | - | - | - | 1.146 | 0.614 | 1.760 | 0.120 | 1.760 | 0.120 | |
| Tangshan | 31.857 | 2.134 | 33.991 | 0.493 | 7.483 | 3.040 | 10.523 | 0.153 | 44.514 | 0.646 | |
| Qinhuangdao | 4.215 | 0.339 | 4.554 | 0.283 | 1.633 | 0.733 | 2.366 | 0.147 | 6.920 | 0.429 | |
| Langfang | 16.221 | 1.372 | 17.593 | 0.550 | 3.237 | 1.254 | 4.491 | 0.141 | 22.084 | 0.691 | |
| Cangzhou | 20.655 | 1.950 | 22.604 | 0.630 | 4.106 | 1.927 | 6.033 | 0.168 | 28.638 | 0.798 | |
| Baoding | 51.401 | 4.470 | 55.871 | 1.481 | 5.960 | 2.838 | 8.798 | 0.233 | 64.668 | 1.714 | |
| Shijiazhuang | 66.395 | 5.467 | 71.863 | 1.237 | 7.936 | 3.282 | 11.217 | 0.193 | 83.080 | 1.430 | |
| total | 431.778 | 34.055 | 465.833 | 0.552 | 88.835 | 35.457 | 124.293 | 0.147 | 590.125 | 0.699 | |
| 2020 | Beijing | 12.219 | 0.722 | 12.941 | 0.036 | 21.579 | 8.328 | 29.907 | 0.083 | 42.849 | 0.119 |
| Tianjin | 57.773 | 3.947 | 61.720 | 0.043 | 11.014 | 4.862 | 15.877 | 0.113 | 77.597 | 0.551 | |
| Handan | 56.699 | 3.313 | 60.012 | 1.650 | 7.363 | 3.597 | 10.959 | 0.301 | 70.971 | 1.952 | |
| Xingtai | 22.572 | 2.309 | 24.881 | 1.131 | 3.433 | 1.854 | 5.287 | 0.240 | 30.168 | 1.371 | |
| Hengshui | 6.971 | 0.721 | 7.692 | 0.493 | 2.639 | 1.467 | 4.106 | 0.263 | 11.789 | 0.756 | |
| Zhangjiakou | - | - | - | - | 1.139 | 0.585 | 1.724 | 0.108 | 1.724 | 0.108 | |
| Chengde | - | - | - | - | 1.000 | 0.581 | 1.581 | 0.102 | 1.581 | 0.102 | |
| Tangshan | 30.199 | 2.130 | 32.329 | 0.448 | 5.000 | 2.216 | 7.216 | 0.100 | 39.545 | 0.548 | |
| Qinhuangdao | 0.000 | 0.000 | 0.000 | 0.000 | 1.929 | 0.936 | 2.866 | 0.170 | 2.866 | 0.170 | |
| Langfang | 14.994 | 1.029 | 16.022 | 0.485 | 3.473 | 1.425 | 4.898 | 0.148 | 20.920 | 0.634 | |
| Cangzhou | 8.032 | 0.764 | 8.796 | 0.238 | 5.098 | 2.590 | 7.688 | 0.208 | 16.484 | 0.446 | |
| Baoding | 36.566 | 3.505 | 40.071 | 1.013 | 4.579 | 2.360 | 6.939 | 0.175 | 47.010 | 1.189 | |
| Shijiazhuang | 56.433 | 4.582 | 61.025 | 1.028 | 5.924 | 2.634 | 8.559 | 0.144 | 69.583 | 1.172 | |
| total | 302.467 | 23.022 | 325.489 | 0.376 | 74.172 | 33.435 | 107.607 | 0.124 | 433.096 | 0.501 | |
| 2021 | Beijing | 0.000 | 0.000 | 0.000 | 0.000 | 16.044 | 5.921 | 21.966 | 0.055 | 21.966 | 0.055 |
| Tianjin | 38.008 | 2.483 | 40.491 | 0.258 | 7.961 | 3.343 | 11.303 | 0.072 | 51.794 | 0.330 | |
| Handan | 32.980 | 2.404 | 35.333 | 0.860 | 4.762 | 2.216 | 6.978 | 0.170 | 42.361 | 1.029 | |
| Xingtai | 16.293 | 1.330 | 17.623 | 0.726 | 3.289 | 1.679 | 4.986 | 0.205 | 22.609 | 0.932 | |
| Hengshui | 1.947 | 0.239 | 2.186 | 0.128 | 2.239 | 1.167 | 3.407 | 0.200 | 5.592 | 0.328 | |
| Zhangjiakou | - | - | - | - | 1.147 | 0.556 | 1.703 | 0.099 | 1.703 | 0.099 | |
| Chengde | - | - | - | - | 0.855 | 0.464 | 1.319 | 0.078 | 1.319 | 0.078 | |
| Tangshan | 4.027 | 0.253 | 4.281 | 0.052 | 3.264 | 1.410 | 4.675 | 0.057 | 8.955 | 0.109 | |
| Qinhuangdao | 0.000 | 0.000 | 0.000 | 0.000 | 1.693 | 0.785 | 2.478 | 0.134 | 2.478 | 0.134 | |
| Langfang | 7.443 | 0.572 | 8.015 | 0.226 | 3.285 | 1.274 | 4.559 | 0.128 | 12.573 | 0.354 | |
| Cangzhou | 4.986 | 0.372 | 5.358 | 0.129 | 4.182 | 2.034 | 6.216 | 0.149 | 11.574 | 0.278 | |
| Baoding | 15.551 | 1.173 | 16.724 | 0.409 | 4.764 | 2.302 | 7.067 | 0.173 | 23.791 | 0.582 | |
| Shijiazhuang | 29.000 | 1.892 | 30.891 | 0.476 | 6.263 | 2.653 | 8.917 | 0.137 | 39.808 | 0.613 | |
| total | 150.234 | 10.717 | 160.951 | 0.168 | 59.750 | 25.823 | 85.573 | 0.089 | 246.524 | 0.257 | |
Disclaimer/Publisher’s Note: The statements, opinions and data contained in all publications are solely those of the individual author(s) and contributor(s) and not of MDPI and/or the editor(s). MDPI and/or the editor(s) disclaim responsibility for any injury to people or property resulting from any ideas, methods, instructions or products referred to in the content. |
© 2024 by the authors. Licensee MDPI, Basel, Switzerland. This article is an open access article distributed under the terms and conditions of the Creative Commons Attribution (CC BY) license (https://creativecommons.org/licenses/by/4.0/).
Share and Cite
Hu, Y.; Chao, K.; Zhu, Z.; Yue, J.; Qie, X.; Wang, M. A Study on a Health Impact Assessment and Healthcare Cost Calculation of Beijing–Tianjin–Hebei Residents under PM2.5 and O3 Pollution. Sustainability 2024, 16, 4030. https://doi.org/10.3390/su16104030
Hu Y, Chao K, Zhu Z, Yue J, Qie X, Wang M. A Study on a Health Impact Assessment and Healthcare Cost Calculation of Beijing–Tianjin–Hebei Residents under PM2.5 and O3 Pollution. Sustainability. 2024; 16(10):4030. https://doi.org/10.3390/su16104030
Chicago/Turabian StyleHu, Yanyong, Kun Chao, Zhujun Zhu, Jiaqi Yue, Xiaotong Qie, and Meijia Wang. 2024. "A Study on a Health Impact Assessment and Healthcare Cost Calculation of Beijing–Tianjin–Hebei Residents under PM2.5 and O3 Pollution" Sustainability 16, no. 10: 4030. https://doi.org/10.3390/su16104030
APA StyleHu, Y., Chao, K., Zhu, Z., Yue, J., Qie, X., & Wang, M. (2024). A Study on a Health Impact Assessment and Healthcare Cost Calculation of Beijing–Tianjin–Hebei Residents under PM2.5 and O3 Pollution. Sustainability, 16(10), 4030. https://doi.org/10.3390/su16104030

