Next Article in Journal
A Study of the Relationship between Human Behavior and Urban Design during the Winter in a High-Snowfall Urban Area
Previous Article in Journal
Greening the BRICS: How Green Innovation Mitigates Ecological Footprints in Energy-Hungry Economies
 
 
Font Type:
Arial Georgia Verdana
Font Size:
Aa Aa Aa
Line Spacing:
Column Width:
Background:
Article

Does Urban Innovation Promote Rural Entrepreneurship? Quasi-Natural Experimental Evidence from Microdata on New Agricultural Subjects

College of Business, Hunan Agricultural University, Changsha 410128, China
*
Author to whom correspondence should be addressed.
Sustainability 2024, 16(10), 3981; https://doi.org/10.3390/su16103981
Submission received: 10 April 2024 / Revised: 6 May 2024 / Accepted: 8 May 2024 / Published: 9 May 2024

Abstract

Rural entrepreneurship has injected new vitality into the comprehensive realization of rural revitalization, and exploring the impact of urban innovation and development on rural entrepreneurship is of great significance in promoting the comprehensive revitalization of the countryside and achieving the coordinated development of urban and rural areas. This paper utilizes the panel data of 284 cities in China from 2005 to 2020 and adopts the multi-period double-difference method to test the effect of innovative city pilots on the entrepreneurial level of new agricultural management subjects, so as to reflect the impact of innovation policy on rural entrepreneurship. The study finds that innovative city construction significantly improves the entrepreneurship level of new agricultural business subjects and that the policy effect continues to increase over time, which is still robust after considering endogeneity issues. The above effects are mainly achieved through improving scientific and technological inputs, enhancing credit support effects, and promoting scientific and technological progress. In the heterogeneity test, innovative city construction significantly promotes the entrepreneurship level of new agricultural business subjects in both small and medium-sized cities and cities with a high level of science and education, but significantly inhibits the entrepreneurship level of new agricultural management subjects in large cities and cities with a high level of science and education. At the same time, innovative city development promotes higher levels of entrepreneurship only in agricultural cooperatives and agribusinesses, with no significant effect on family farms. This study has important policy references for accelerating innovative city construction and rural revitalization development in China in the new era.

1. Introduction

Rural entrepreneurship has injected new vitality into rural revitalization and, as the main force to comprehensively promote rural revitalization, promoting entrepreneurship of new agricultural management subjects and accelerating the participation of new agricultural management subjects in industrial integration, can effectively promote the modernization of agriculture and rural areas; it is of great significance to the construction of a strong agricultural country. Since the implementation of the strategy of “mass entrepreneurship and innovation” in September 2018, China’s rural entrepreneurial environment has been continuously optimized and the entrepreneurial activity of farmers has been continuously improved. The dual-creation strategy provides an entrepreneurial environment, scientific and technological innovation, market opportunities and policy support for new agricultural management subjects, and effectively promotes the upgrading of the structure of the agricultural industry and the quality of farmers. It effectively promotes the upgrading of the agricultural industry structure and the quality of farmers; provides strong support for the achievement of agricultural modernization, rural revitalization, and urban–rural integration; and promotes the sustainable development of the national economy. New agricultural management subjects (hereinafter referred to as “new agricultural subjects”) are agricultural economic organizations based on the family management system, with a large scale of operation; they are compatible with modern agriculture and the market economy, and their economic main bodies include family farms, agricultural cooperatives, agricultural enterprises, etc. [1]. New agricultural subjects have played an important role in improving the efficiency of agricultural production, optimizing the structure of the agricultural industry, and improving the quality of the agricultural industry. In the context of the full implementation of the rural revitalization strategy, the new agricultural subjects of the organization and management level and the ability to collaborate in the development of the new agricultural subjects significantly improved and strongly support the development and growth of the agricultural industry chain links; the new agricultural subjects have become a new driving force for agricultural and rural development and provide a necessary way to lead the high-quality development of agriculture and rural areas, to achieve rural revitalization and the construction of modern agriculture [2]. Since the concept of new agricultural subjects was put forward in 2014, the new agricultural subjects have developed rapidly and their number has grown rapidly; in China’s case, as of 2022, family farms alone have reached 3.9 million, farmers’ cooperatives have reached 2.227 million, and there are more than 90,000 agricultural industrialized leading enterprises above the county level. The areas of their coverage have also been extended to the whole industrial chain.
As an important part of agricultural entrepreneurship, analyzing the influencing factors affecting the level of agricultural entrepreneurship based on previous research can play a good role in improving the level of entrepreneurship of new agricultural subjects. In the process of agricultural development, agricultural production environment [3], national policy land [4], financial support [5], and other factors can play an important role and agricultural entrepreneurship are an important force to promote the development of agriculture. There have been scholars in the field of agricultural entrepreneurship that have carried out a large number of studies. Bielby [6] found that an enhanced interaction between farmer entrepreneurs and other stakeholders can help to enhance their entrepreneurial ability and management level, while Bouichou [7] found that agribusiness financing constraints can have an important impact on agricultural entrepreneurship willingness. Meutia [8] pointed out that different countries, according to their own economic structure and development stage, adopt different financing strategies to support agricultural entrepreneurship. Soleymani [9], on the other hand, constructed rural entrepreneurship indicators based on the Delphi method. In addition, some scholars found that the new generation of digital technologies [10], rural network broadband [10], Internet use [11], and other emerging technologies can facilitate agricultural entrepreneurship. Coupled with the unique form of development of new agricultural subjects, the entrepreneurship of new agricultural subjects faces problems such as low survival rate, low entrepreneurial willingness, lack of entrepreneurial knowledge, and high entrepreneurial risk.
The pilot policy for innovative cities (hereinafter referred to as the “innovation policy”) is an important decision made by the Chinese government to improve the comprehensive competitiveness of cities and to build an innovative country, with the impetus of institutional innovation; it is also a key strategy to enhance the capability of independent innovation. As an important initiative to support China’s innovative development strategy, the implementation of the innovation policy has undergone a series of pilots and has been continuously expanded. Up to now, innovation pilot cities cover 78 cities (districts) in 31 provinces across the country, which is a centralized embodiment of China’s innovation-driven development strategy. With the gradual implementation of innovation pilot cities, many scholars have evaluated their policy effects, and current studies have mainly explored the innovation effect of innovation policies [12] and the green development effect [13,14]. In addition, existing studies have shown that innovation policies can significantly increase the level of urban entrepreneurial activities and the policy effects are more obvious in cities with higher administrative levels, geographic location advantages, and non-productive service industries [15]. Unfortunately, however, existing studies have not paid enough attention to whether innovation policies have an impact on agricultural entrepreneurship. If there is an impact, what is its transmission mechanism? Based on this, this paper takes innovation policy as a quasi-natural experiment, based on a multi-period double-difference model, to study the impact of innovation policy on the level of entrepreneurship of new agricultural subjects, as well as a heterogeneity analysis, with a view to providing theoretical references and practical references for the implementation and formulation of innovation policy, as well as the promotion of the entrepreneurship level of new agricultural subjects and, in this way, showing the impact of innovation policy on rural entrepreneurship.
The possible marginal contributions of this paper mainly include the following: (1) Constructing a quasi-natural experiment with innovation policy and evaluating and demonstrating the impact of innovation policy on the entrepreneurial level of new agricultural subjects and the spillover effect, after a series of robustness tests. (2) From the perspectives of city size, science and education level, and different types of new agricultural subjects, we carefully analyze the heterogeneous impact of innovation policy on the entrepreneurial level of new agricultural subjects under different city sizes, different levels of science and technology investment, and different types of new agricultural subjects. (3) Taking the level of scientific and technological input and the level of credit support and the level of scientific and technological progress as the transmission mechanism, we explore in depth the intrinsic mechanism of innovation policy affecting new agricultural subjects, enriching the research literature on the impact of entrepreneurial activities in policy evaluation. It provides strong theoretical support for the implementation of innovation policies and how to improve the level of entrepreneurship of new agricultural subjects and, at the same time, provides inspiration for relevant government departments to formulate effective entrepreneurship policies.

2. Theoretical Analysis and Research Hypothesis

2.1. The Direct Impact of Innovation Policies on the Entrepreneurship of New Agricultural Subjects

The pilot policy for innovative cities is a key initiative in the implementation of the innovation-driven development strategy, which aims to improve the urban innovation system, enhance urban innovation capacity, and promote the construction of an innovative country. Since 2008, Shenzhen has become the first city in China to be approved as a national innovative city. In 2010, the National Development and Reform Commission approved 16 cities, including Dalian, and the Ministry of Science and Technology approved the first batch of 20 cities, including Haidian District in Beijing, and the second batch of 18 cities, including Shijiazhuang in Hebei, as national innovative pilot cities. By the end of 2016, a comprehensive list of 61 innovative pilot cities was consolidated. By 2022, China has approved a total of 78 national innovative pilot cities.
As the main force of agricultural and rural entrepreneurship, the cultivation and start-up process of new agricultural entrepreneurs, which is an important force for promoting the modernization of agriculture and helping to revitalize the countryside, is still subject to many resource constraints. The National Innovative City Pilot Policy, as a key initiative of China’s innovation-driven development strategy, has covered 78 pilot cities in 31 provinces since its implementation in 2008, an initiative aimed at promoting the construction of the national innovation system, accelerating the transformation and application of scientific and technological achievements, and injecting new impetus into China’s high-quality development. Baumol [16] argues that rules and policies affect entrepreneurial activity by influencing entrepreneurship. On the one hand, the dividend information released by the implementation of the innovative city pilot policy to people from all walks of life greatly stimulates the entrepreneurial willingness of potential entrepreneurial subjects and, at the same time, attracts more social capital for the entrepreneurship of new agricultural entrepreneurs and provides financing support for newly created enterprises. On the other hand, the implementation of innovation policies can effectively improve the efficiency of knowledge innovation and knowledge transformation [17], help the transformation and upgrading of agricultural technology, and provide more opportunities for the entrepreneurship of new agricultural subjects. Therefore, the agglomeration of agricultural entrepreneurial resources such as agricultural technology, talent, and capital provides a solid foundation for agricultural entrepreneurs to make entrepreneurial decisions and effectively promotes the level of entrepreneurship of new agricultural subjects. Based on this, this paper proposes the following:
Hypothesis 1:
The implementation of innovation policies significantly increases the level of entrepreneurship of new agricultural subjects.

2.2. Mechanisms of the Impact of Innovation Policies on New Agricultural Agents

The mechanism of the influence of innovation policy on the level of entrepreneurship of new agricultural subjects exists in the following three main areas:
First, innovation policy promotes the entrepreneurial level of new agricultural subjects, by increasing scientific and technological inputs. According to the theory of innovation ecology, science and technology innovation, as the first driving force for high-quality development of agriculture, plays an important role in improving the efficiency of agricultural production, optimizing agricultural management, and promoting agricultural economic development. For example, digital technology and various elements of the entrepreneurial ecology play an interactive promotion effect in the mechanism of youth entrepreneurial performance [18], while agricultural, scientific, and technological progress plays an intermediary role between the development of rural finance and the integration of urban and rural economy [19]. The increase in science and technology subsidies can promote scientific and technological achievements; promote the generation of new entrepreneurial opportunities, so that the new technology can popularize more agricultural entrepreneurs and new agricultural subjects; can establish a mechanism of scientific and technological innovation, to reward and subsidize, to promote the new agricultural subjects to carry out scientific and technological innovation and introduce advanced agricultural technology and equipment, to reduce the cost of human labor and labor intensity, as well as improving the efficiency of production; and can be innovative in agricultural products and services through the research and development of new varieties, improving traditional agricultural technology, developing agricultural product processing technology, and so on, to explore new entrepreneurial opportunities. Based on the above analysis, the increase in scientific and technological inputs can promote the generation of new entrepreneurial opportunities and enhance the level of agricultural entrepreneurship. At the same time, the increase in scientific and technological inputs can improve the risk-resistant ability of new agricultural subjects and reduce the impact of external environmental shocks. Therefore, the increase in science and technology investment has a positive effect on improving the entrepreneurial level of new agricultural subjects in innovative cities. Based on the above analysis, this paper proposes the following:
Hypothesis 2:
Innovation policies to enhance the entrepreneurship of new agricultural subjects by increasing urban science and technology inputs.
Second, innovation policies improve the level of entrepreneurship of new agricultural subjects through credit support effects. According to the signaling mechanism, the reduction in formal credit constraints in agriculture and the possibility of farmers’ participation in private lending significantly promote the level of farmers’ entrepreneurship [20], and digital finance positively affects farmers’ entrepreneurial decision-making by expanding the scale of financing and facilitating the search for entrepreneurial opportunities; at the same time, farmers’ expansion of business area, improvement of mechanization level, and application of new technologies to achieve moderate economies of scale will significantly enhance the level of agricultural entrepreneurship [21], and this capital and technology-intensive production method requires farmers to invest a large amount of capital to improve the capital/labor ratio, leading to a large demand for capital from farmers. This means that credit support can provide new agricultural subjects with the necessary entrepreneurial capital to solve the problem of capital shortage, ease the pressure of entrepreneurship, and improve their entrepreneurial level; credit support can diversify the entrepreneurial risk of new agricultural subjects, so that they can be more bold in innovation and entrepreneurship. At the same time, the credit institutions can provide a series of entrepreneurial services, such as entrepreneurial training, entrepreneurial counseling, etc., which can help the new agricultural subjects to improve the ability of entrepreneurship. Thus, it can provide more financial support and development opportunities for new agricultural subjects, promote farmers to participate in agricultural entrepreneurship more actively, and promote agricultural modernization and sustainable development. Based on the above analysis, this paper proposes the following:
Hypothesis 3:
Innovative policies to enhance the entrepreneurship of new agricultural subjects by increasing the effect of urban credit support.
Third, the innovation policy promotes the entrepreneurial level of new agricultural subjects by promoting scientific and technological progress. According to the scale effect, agricultural science and technology innovation is an important driving force for agricultural industrialization, and science and technology innovation can not only promote the development of the agricultural economy in the region, but also have a radiation effect on the surrounding areas [22]. Technological progress can promote the concentration and agglomeration of capital, providing the material foundation and prerequisite for industrial structure upgrading; industrial structure upgrading can save labor and resource elements, providing the conditions for the development of human capital and the space for the application of technology for agricultural, scientific, and technological innovation [23]. This means that technological progress can improve the efficiency of agricultural production and reduce production costs; it can optimize the structure of agricultural production and increase the added value of agricultural products; and it can improve the quality of agricultural products and meet consumer demand for high-quality agricultural products. Thus, it can improve the operational efficiency and market competitiveness of new agricultural subjects. It can promote the level of entrepreneurship of new agricultural subjects and promote the process of agricultural modernization. Based on the above analysis, this paper proposes the following:
Hypothesis 4:
Innovative policies to enhance the entrepreneurship of new agricultural subjects by promoting scientific and technological progress.

3. Study Design and Data Description

3.1. Research Methods and Analytical Tools

Referring to the approach of the article by Peráček [24], this paper points out that it is necessary to choose suitable scientific methods for the research and that these will lead us to the expected results of the research, as well as the fact that the choice of methods is determined by the main content of the research. The purpose of the research in this paper is to explore the impact of innovation policy on the level of entrepreneurship of new agricultural subjects and its transmission path, as well as the heterogeneous differences that exist between different city sizes, levels of science and education, and the level of entrepreneurship of new agricultural subjects, in order to reflect the role of innovation policy on rural entrepreneurship, in line with the characteristics of the method of empirical analysis and the method of generalization. Empirical analysis is a research method that recognizes objective phenomena and provides people with real, useful, certain, and precise knowledge, which is used to obtain experience through observation and then summarize the experience into theory, usually adopting the inductive method, focusing on the experience close to the reality, and focusing on the problem of “what” the phenomenon itself is. It attempts to transcend and exclude value judgment, revealing only the intrinsic constituents of the objective phenomena and the universal connection of the factors, summarizing the essence of the phenomena and the operating rule, and its main purpose is to explain the relationship between various independent variables and a dependent variable, which can be used to validate the existing theories or to summarize the new theories from observation. Therefore, this paper adopts empirical analysis and inductive methods to carry out scientific research.
As for the empirical analysis, the double-difference method, as a policy effect assessment method recognized by a wide range of scholars, has been widely used in recent years. The principle of the use of this method is to regard the implementation of a certain policy as a natural experiment and to examine the net effect of the policy implementation on the object of analysis, by adding a control group of those unaffected by the policy into the sample and comparing the analysis with the sample points that were originally affected by the policy to form an experimental group. This analytical method consists of benchmark regression, balanced trend test, and placebo test components, which are in line with the scenario of the impact of innovation policies on the level of entrepreneurship of new agricultural subjects of this research question. Therefore, this study uses the multi-period double-difference method as the specific research method of empirical evidence. The double-difference method needs to satisfy the following three hypothetical premises: (1) parallel trend hypothesis—the trend of the outcome effect of the control group and the experimental group is the same before the policy is implemented; (2) the individual treatment stability hypothesis—the policy intervention affects the experimental group only and does not have an interaction effect on the control group; and (3) the linear conditional hypothesis—the potential outcome variable satisfies a linear relationship with the treatment and time variables, implying that each unit of change in the treatment variable has a fixed effect on the outcome variable. Based on the data composition and empirical methods used in this paper, the commonly used econometric statistical software is selected for calculations in this paper.

3.2. Modeling

This paper analyzes the spillover effects of innovation policies on entrepreneurship of new agricultural subjects through a multi-period DID approach. In 2008, Shenzhen officially became a pilot city for innovation policies, while the second, third, fourth, and fifth batches of pilot cities were approved in 2010, 2011, 2012, 2013, and 2018.This paper constructs a quasi-naturalistic-based experiment. The final experimental group includes 71 innovative pilot cities and the control group includes the other 213 cities.
Innovation policies are gradually promoted in batches, while the traditional DID method is only applicable to assess a single policy point in time. For this reason, this paper draws on the work of Autor [25] and Yuan [26], to construct a multi-period DID model, with pilot cities assigned a value of 1 and non-pilot cities assigned a value of 0. The policy implementation time dummy variable (treat_policy) is set, which is 0 before the implementation time of the policy in the pilot cities, and is set to 1 for the year of implementation and subsequent years. The multi-period DID model is constructed as follows:
E n t e r p i t = β 0 + β 1 t r e a t _ p o l i c y i t + δ k y e a r k + γ j c o n t r o l i t + μ i n d + ε i t
where enterpit is the explanatory variable number of new types of subjects, treat_policyit represents the innovation policy, and its coefficient reflects the policy effect of the innovation policy; controlit represents the control variables; yeark and μind represent the time dummy variables and individual city fixed effects; and it represents the random error term. The model effectively controls the characteristic differences and trends in time change between pilot and non-pilot cities.

3.3. Variable Setting and Data Description

Explained variable. Regional entrepreneurship level (enterp). The level of regional entrepreneurship is generally examined in terms of the number of self-employed persons and the number of start-ups. The World Bank defines entrepreneurial activity as the behavior of individuals or groups participating in formal economic sector activities in the form of a legal business, so the newly registered limited liability companies are used as a measure of the level of entrepreneurial activity [27]. In order to better accomplish data collection and comparison, this paper uses the number of new types of new agricultural subjects added as an explanatory variable.
Core explanatory variable. Innovative city pilot policy as a dummy variable, 0 for pilot cities before the policy is implemented, and 1 for the current year and subsequent years.
Control variables. Drawing on the studies of Xu [28] and Li [29], this paper controls for the following factors affecting the level of entrepreneurship of the new main body: The level of regional economic development (pgdp), measured as the real GDP per capita of the prefecture and city; population density (logurl), measured as the ratio of the total population of the region to the area of the region, with logarithmic treatment; number of people employed in the primary industry (logalf), measured as the population of the labor force engaged in the production of the primary industry, with logarithmic treatment; human capital (logahcl), measured as the number of students enrolled in the general institutions of higher education, with logarithmic treatment; the level of financial development (fin), measured as the prefecture’s and city’s ratio of financial institutions’ loan balance to GDP at the end of the year; digital inclusive finance (dif), digital Inclusive Finance Index; agricultural mechanization level (aml), measured as the ratio of total power of agricultural machinery to the area of arable land; and digital rural construction (drc), measured as the number of mobile telephones owned by the average rural resident per 100 households at the end of the year.
Mediating variables. Science and technology investment (logfse), measured by the number of government investments in science and technology; credit support (logcse), measured by the balance of loans from financial institutions at the end of the year in the prefecture and municipalities; and scientific and technological progress (loganypag), measured by the number of patent applications by new types of subjects.
The data in this paper come from the China Urban Statistical Yearbook, China Agricultural Statistical Yearbook, and the ZJU Carter-Enterprise Research China Agricultural Research Database (CCAD). In view of the differences in dimension and order of magnitude of the indicators in the evaluation index system, it is necessary to logarithmically process some of the data in order to eliminate the influence of heteroskedasticity on results. The definitions of the various variables are shown in Table 1.

3.4. Descriptive Statistics of Variables

The panel data in this paper contain data including 284 prefecture-level cities from 2005 to 2020, of which there are 71 pilot cities and 213 non-pilot cities; the descriptive statistics are shown in Table 2.

4. Analysis of Empirical Results

4.1. Benchmark Regression

In order to test the above hypotheses, a benchmark regression was then conducted and the results of the regression are shown in Table 3. Among them, Column (1) does not include control variables and only uses innovation policy as the regression explanatory variable, and the regression coefficient of innovation policy is significant at 1.7 and significant at the 1% level. Innovation policies enhance the entrepreneurial level of new agricultural subjects. Column (2) adds two-way fixed effects of time and region to Column (1), and the regression coefficient of innovation policy is significant at 0.54 and significant at the 1% level. Column (3) adds control variables along with two-way fixed effects, and the regression coefficient of innovation policy is significant at 0.711 and significant at the 1% level. Considering that there is a certain time lag between the promulgation of the policy and its implementation and the output of the results, the existing research adopts lagging the explanatory variables by one period, and this paper also lags all the control variables of the model by one period; the results obtained are shown in Column (4) and the regression coefficient of the innovation policy is significant at 0.684 and significant at the level of 1%, which proves that the innovation policy significantly promotes the level of entrepreneurship of the new agricultural subjects.

4.2. Parallel Trend Test

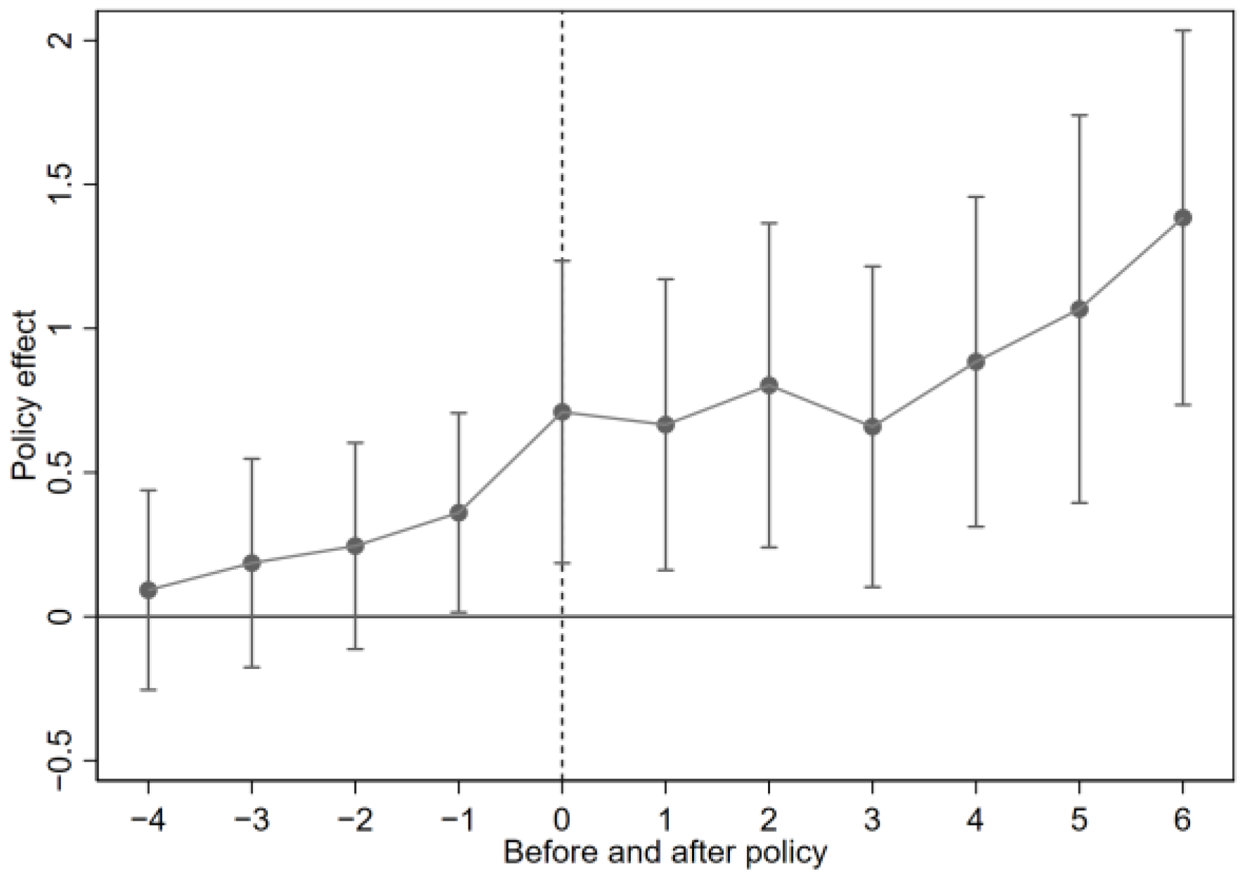
The DID method is used on the premise of satisfying the parallel trend, i.e., there is no significant difference in the trend of changes in the level of entrepreneurship of new subjects in the experimental group and the control group without the influence of the pilot policy. Considering that the innovation policy is affected by various factors such as policy implementation intensity, city implementation foundation, city resource endowment, etc., its policy effect may have a lag. Consolidating the above considerations, this paper refers to the practice of Beck [30], using the event analysis method, taking the first 4 years of the launch year of the policy pilot as the benchmark for comparison, and more than four periods before and after the implementation of the policy are grouped into the 4th period; constructing the cross-multiplier terms of the year dummy variables of the 4 years before the construction of the pilot city, the year of the start-up, and the 6 years after the start-up with the corresponding policy dummy variables, and constructing the dynamic model as follows:
  E n t e r p i t = β 0 + S = 1 4 β b e f C b e f + β d o i C d o i + S = 1 6 β l a t C l a t + δ k y e a r k + γ j c o n t r o l i t + μ i n d + ε i t
In Equation (2), Enterpit denotes the entrepreneurial level of new agricultural subjects, Cbef, Cdoi and Clat denote the cross-multiplication terms of the dummy variables of the year before, the year of implementation, and the year after the implementation of the innovation policy with the corresponding policy dummy variables, respectively, and βbef, βdoi, and βlat are their corresponding coefficients; the interpretation of the remaining symbols is the same as those described in previous sections. In the model, the year of innovation policy implementation is taken as the base year and the graphical method is used to test the parallel trend and dynamic effects of the policy.
A graphical method is used to compare the trends in the level of entrepreneurship of new agricultural subjects before and after the pilot. As can be seen from Figure 1, there is no significant difference in the level of entrepreneurship of new agricultural subjects before the implementation of the pilot policy. After the implementation of the innovation policy, the effect of the policy began to appear and, with the implementation of the policy, the impact on the level of entrepreneurship of new agricultural subjects is increasing. Therefore, the impact of the innovation policy on the level of entrepreneurship of new agricultural subjects does not have a lag and the impact of the policy is sustainable.

4.3. Regression Analysis Based on PSM-DID Approach

In order to give full play to innovation policies, the State may prioritize a group of cities with a high level of economic development, sound urban infrastructure, and high levels of human capital to become pilot cities. It can be seen that the establishment of innovative cities is not completely random. In order to accurately assess the policy effects of innovation policies, this paper draws on the practice of Heckman [31], using the PSM-DID method to find experimental groups similar to innovative cities, to alleviate the problem of sample selection bias and selecting the level of regional economic development of the city, the number of people employed in the primary industry, the density of the population, the level of human capital, the level of financial development, the digital financial inclusion, the level of agricultural mechanization and the construction of digital villages as the city’s economic development level, and digital rural construction as the city’s characteristic conditions as matching variables; the first step is to use the logit model to calculate the probability of each city being established as an innovative city. In this paper, the caliper matching method is used to match the samples. After matching, this paper further tests whether the equilibrium assumption is satisfied, i.e., the points representing the standard errors of the covariates before matching are far away from the null line, which indicates that there is a large difference in the covariates; most of the points after matching are close to the null line, which indicates that the covariates do not have a significant difference and this result indicates that there is validity in the use of the PSM-DID method. After ensuring the validity of the PSM-DID method, this paper further conducts regression analysis and the results are shown in Table 4. The data in Table 4 are similar to the results of the benchmark regression. Columns (1) to (3) show that the regression coefficients of the dummy variables are all positive at 1% and 5% confidence level, that is, the innovation policy significantly improves the level of entrepreneurship of the new agricultural subjects and the validity of the results of the benchmark regression is strong.

4.4. Robustness Tests

4.4.1. Placebo Test

In order to exclude the influence of chance events on the results of the study, a further placebo test was conducted. A “pseudo” treatment group is reconstructed by randomly selecting a new experimental group as the innovative pilot cities and the rest of the cities as the control group. Because the “pseudo” treatment group is randomly generated, the innovation policy will not have a significant impact on the entrepreneurship level of new agricultural subjects in this test, i.e., the regression coefficient of the variables in the “pseudo” treatment group should be close to zero, or else it indicates that there is a bias in the modeling of this paper. Based on this, this paper repeats the above model estimation 500 times and obtains the kernel density plot of the estimated coefficients of the entrepreneurship level of new agricultural subjects for the variables of the “pseudo” treatment group; the results are shown in Figure 2. It is found that the mean value of the estimated coefficients of the randomly selected control group and the control group is close to zero, with most of the p-values being above 0.1. Meanwhile, the actual estimated coefficient for new agricultural subjects (0.711) falls within the range of small probability events in the placebo-tested kernel density plot above. In other words, innovation policy is not a random event on the level of entrepreneurship of new agricultural subjects and the findings of this paper are robust.

4.4.2. Exclusion of Competitive Factors

Another requirement for accurately assessing the level of entrepreneurship of new agricultural subjects by innovation policies is that the increase in the level of entrepreneurship of new agricultural subjects is the result of the “impact” of innovation policies, rather than the impact of other policies. In the time period of this paper, other policies, such as entrepreneurial cities, smart cities, and low-carbon cities, may affect the entrepreneurial level of innovative subjects. In order to exclude the influence of the above interfering policies and to accurately identify the net effect of the policies, this paper further adds the dummy variables of the pilot policies of entrepreneurial cities, smart cities, and low carbon cities to ensure the objectivity and accuracy of the study. The results of the regression analysis are shown in Column (1) of Table 5, from which it can be seen that the innovation policy significantly enhances the entrepreneurial level of new agricultural subjects; this result indicates that the enhancement of the entrepreneurial level of new agricultural subjects by the innovation policy is less interfered with by other similar policies, which further proves the robustness of the benchmark regression.

4.4.3. Other Robustness Tests

In order to further test the robustness of this paper, this paper changes the explanatory variables to conduct regression analysis again. The survival number of new agricultural subjects can reflect the impact of innovation policy on the level of sustained entrepreneurship of new agricultural subjects; therefore, this paper takes the survival number of new agricultural subjects as a measure of the level of sustained entrepreneurship to conduct the robustness test. The regression results, as shown in Column (2) of Table 5, show that the effects of innovation policies on the level of sustained entrepreneurship of new agricultural subjects are all significantly positive, confirming the robustness of the above conclusions.

4.5. Heterogeneity Test

4.5.1. Heterogeneity of City Sizes

Cities differ in size and in terms of their resource endowment. For this reason, this paper categorizes the sample city classes according to the commercial attractiveness of the city, classifying first-tier cities and new first-tier cities as large cities, and second-tier, third-tier, fourth-tier, and fifth-tier cities as small and medium-sized cities, in order to examine the heterogeneous characteristics of the entrepreneurial spillover effects of innovation policies on new agricultural subjects under different city sizes. Column (1) of Table 6 shows the regression results for large cities and Column (2) shows the regression results for small and medium-sized cities. As can be seen from the results, for large cities, the regression coefficient of the entrepreneurial level of new agricultural subjects is negative, but not significant, while in small and medium-sized cities the estimated coefficient of the entrepreneurial level of new agricultural subjects is positive and significant at the 1% level. This indicates that the implementation of innovation policies in small and medium-sized cities has a significant increase in the entrepreneurial level of new agricultural subjects. The reason may be that between small and medium-sized cities and big cities, there are differences in the level of innovation and entrepreneurship, the level of economic development, the level of human capital and the level of infrastructure, which leads to small and medium-sized cities having a more urgent need for national policy support, and small and medium-sized cities urgently needing the help and support of the national policies, so as to realize the agglomeration of urban innovation factors and the level of innovation and entrepreneurship, and then to promote the transformation of the city’s economic development mode, and the innovation policy is more likely to be beneficial to these cities than to other cities. For these cities, innovation policies are more likely to be a “gift of charcoal in snow”, and thus have a more significant marginal utility.

4.5.2. Tests for Heterogeneity in the Level of Science Education

The level of science and education in different cities has a large impact on the city’s bi-inventive activities. This paper constructs the variable of science and education level with the science and education expenditures of the sample cities, and categorizes the level of science and education of the sample cities in terms of the median; a value higher than the median is a city with a high level of science and education, and vice versa is a city with a low level of science and education, in order to examine the heterogeneous characteristics of the entrepreneurial spillover effect of innovation policies on new agricultural subjects under different levels of science and education. In Table 6, Column (3) shows the regression results for cities with a high level of science and education, while Column (4) shows the regression results for cities with low level of science and education. From the results, it can be seen that for the cities with a high level of science and education, the regression coefficient of the entrepreneurship level of new agricultural subjects is positive and significant at the 10% level, while in the sample with a low level of science and education, the regression coefficient of the entrepreneurship level of new agricultural subjects is negative and significant at the 5% level. A possible reason for this is that cities with a high level of science and education have more opportunities for innovation and entrepreneurship, which is conducive to the rapid development of new agricultural subjects; in cities with a high level of science and education, the investment of educational resources and scientific and technological resources enables farmers to obtain more opportunities for dual-entrepreneurship, which drives the entrepreneurship of farmers and promotes the entrepreneurship level of new agricultural subjects to improve. On the contrary, in cities with a low science and education level, the low effectiveness of science and technology promotion, insufficient construction of scientific and technological personnel, low vocational education of farmers, and other outstanding problems seriously constrain the development of agricultural modernization, coupled with the weak foundation of innovation and entrepreneurship in small and medium-sized cities, which leads to the ineffective implementation of innovation policies and makes it difficult to promote the level of entrepreneurship of new agricultural subjects.

4.5.3. Heterogeneity of Types of New Agricultural Subjects

According to the type of new agricultural subject, this paper classifies new agricultural subjects into family farms, agricultural cooperatives, and agribusinesses and added sample data for regression. Columns (5)–(7) of Table 6 show the estimated results of the impact of innovation policies on the entrepreneurship level of different types of new agricultural subjects, respectively. For family farms, the regression coefficients are positive but not significant, while the coefficient estimates for agricultural cooperatives and agribusinesses are 0.198 and 0.474, respectively, and each passes the significance test at the 1% level. This indicates that there are differences in the level of entrepreneurship of innovation policies on different types of new agricultural subjects. The innovation policy can significantly promote the entrepreneurship level of agricultural cooperatives and agribusinesses, but the effect on the entrepreneurship level of family farms is not obvious. A reason for this may be that agricultural cooperatives and agricultural enterprises have a good foundation for dual entrepreneurship, and the financial support and policy advantages brought by the implementation of innovation policies further pulls the entrepreneurship level of agricultural cooperatives and agricultural enterprises. Family farms, on the other hand, are more scarce in all resources, as they have evolved from small-scale farmers. At present, the grassroots agrotechnology service supply presents a trend of administrative upward shift and market dominance; the agricultural sector is no longer building grassroots service forces, resulting in rural farmers’ lack of agrotechnology services and farmers’ demand for production technology not being met, further exacerbating the difficulties of small farmers in acquiring technology, making the technology and practice in the process of farmers’ production very poorly coordinated [32], meaning that the policy effect is not significant.

4.6. Institutional Analysis

Based on the above theoretical analysis, to further test the mechanism of the influence of innovation policy on the level of entrepreneurship of new agricultural subjects, according to the aforementioned selection of scientific and technological input effect, credit support effect, and scientific and technological progress effect as the mediating variables, in order to depict the mechanism of the path of the innovation policy on the new agricultural subjects, this paper draw on the mediation test of Wen [33] to conduct the study, constructing models (3) and (4) and conducting Bootstrap tests.
I n t e r _ v a r i t = α 0 + α 1 t r e a t _ p o l i c y i t + δ k y e a r k + γ j c o n t r o l i t + μ i n d + ε i t
E n t r e p i t = α 0 + θ 1 t r e a t _ p o l i c y i t + α 2 i n t e r _ v a r i t + δ k y e a r k + γ j c o n t r o l i t + μ i n d + ε i t
where Inter_varit is the series mediating variable, α1 represents the net effect of the innovation pilot policy on the series mediating variable, θ1 is the estimated coefficient of the innovation pilot policy on entrepreneurship of the new agricultural subjects after adding the series mediating variable, and the other symbols are interpreted as above.
Science and technology input effect (logfse). Agricultural scientific and technological progress is the core driving force to promote the development of the rural economy and, under the new situation, it is necessary to promote the integration of science and technology with rural industries, change the traditional rural economy with the help of agricultural science and technology, expand the agricultural industry chain, and enrich the development of the rural industry in the shape of the development of the rural industry [19]. The government’s scientific and technological subsidies to agriculture are conducive to the advancement of agricultural science and technology, thus generating more entrepreneurial opportunities. Therefore, this paper adopts “government science and technology investment” to construct the science and technology investment index [34]. The regression results are shown in Columns (1) and (2) of Table 7. The mediating effect of S and T input is 0.213 and passes the significance test at the 1% level and the S and T input effect generated by the innovation policy further promotes the enhancement of entrepreneurship level of new agricultural subjects. The mechanism of the S and T input effect is verified.
Credit support effect (logcse). With the development of modern economy, financial capital plays an increasingly important role in the economy. Farmers’ access to credit support can effectively solve the problem of financial constraints, which means that farmers have more money to buy agricultural production equipment, seeds, pesticides, and other necessary agricultural supplies, as well as to improve agricultural production methods. Therefore, the level of credit support is gradually becoming a key factor in agricultural entrepreneurship decisions; credit constraints have a negative impact on farmers’ entrepreneurship and bring losses to a certain extent [35]. Therefore, the credit support effect is conducive to alleviating the financial pressure of farmers’ entrepreneurship, increasing entrepreneurial opportunities, enhancing entrepreneurial performance, and then stimulating entrepreneurial activity. In this paper, the year-end loan balances of financial institutions in local municipalities are used to construct the credit support effect [36]. The regression results are shown in Columns (3) and (4) of Table 7. Among them, the mediating effect of the credit support effect is 0.331 and passes the significance test at the 1% level, proving that the credit support effect drives the level of entrepreneurship of new agricultural subjects. The mechanism of the credit support effect is verified.
Technological progress effect (loganypag). With the gradual popularization of agricultural science and technology in agricultural production, technological progress has become a key factor in the improvement of agricultural production efficiency. Technological progress can result in the new main body obtaining more technical support, the scientific research results in effective productivity, and solving the specific problems encountered in production. In this paper, the number of patent applications of new agricultural subjects is selected as an indicator to measure the progress of agricultural science and technology. The patent application of new agricultural subjects is the sum of the number of accepted patent applications of invention, utility model, and design [37]. The regression results are shown in Columns (5) and (6) of Table 7. The mediating effect of the technological progress effect is 0.193 and passes the significance test at the 1% level, which proves that the technological progress effect drives the improvement of the entrepreneurship level of new agricultural subjects. The mechanism of the technological progress effect is verified.

5. Conclusions and Recommendations

As the strategy of “mass innovation and entrepreneurship” continues to deepen, the role of farmers’ entrepreneurship and agricultural entrepreneurship in the rural revitalization and the integrated development of the agricultural industry is increasing and the Chinese government has introduced a series of policies to promote innovation and entrepreneurship in agricultural and rural areas. Based on the panel data of 284 prefecture-level cities in China from 2005 to 2020, this paper constructs a multi-period double-difference model by treating the pilot policy of innovative cities as a “quasi-natural experiment”. Using various statistical methods such as linear regression, parallel trend test, placebo test, and PSM-DID, we empirically investigate the impact and mechanism of the innovative city pilot policy on the entrepreneurial level of new farmers and verify the proposed theoretical hypotheses. It also analyzes the heterogeneous differences generated by the innovation policy on the entrepreneurship level of new agricultural subjects of different city sizes, different levels of science and education, and different types, in order to reflect the impact of the pilot policy of innovative cities on rural entrepreneurship. Specific conclusions and recommendations are as follows:

5.1. Conclusions

The findings of this paper show that innovation policies significantly increase the level of entrepreneurship in new agricultural subjects and this conclusion still holds true after a series of robustness tests using a propensity score matching method, placebo test, and replacement of explanatory variables; Hypothesis 1, proposed above, is verified. While Po-Chi [38] showed that technological innovation can have a significant impact on agricultural productivity growth, Carolan [39] found that the use of digital platforms and technologies can help agriculture manage resources more efficiently and improve agricultural productivity; Mann [40] pointed out the effectiveness of the U.S. SBIR policy in guiding the innovation activities of both rural and urban firms; Raissa [41] found that perfecting mobile agricultural advisory services and using innovative technologies can provide small farmers with more market information and agricultural expansion suggestions, thus optimizing the efficiency of agricultural production. The conclusions of the above scholars echo the findings and models of this paper. Innovation has the characteristics of knowledge spillover and technology diffusion; active urban innovation activities promote technological upgrading and, thus, this technological progress spreads to the countryside, promoting the development of rural entrepreneurial activities. While innovation centers in developing countries tend to be located in research institutes in cities, relying on the incentives and support of urban innovation policies, innovation agents in developed countries are more widely distributed, but the phenomenon of knowledge diffusion is still widespread, although the direction of knowledge flows may not be as uniform as in developing countries. Therefore, the model proposed in this paper is more applicable when used in developing countries and, if applied to developed countries, the regional distribution of the location of technology centers may have to be considered and it also has some value for policy making and agricultural entrepreneurship practices in developed countries.
At the same time, the research in this paper can also conclude that the mechanism test shows that there are three main paths of the innovation policy on the entrepreneurship of new agricultural subjects. First, through increasing scientific and technological inputs to effectively enhance the efficiency of innovation and the rate of transformation of scientific and technological achievements, to create a more suitable entrepreneurial environment; second, through the enhancement of the effect of credit support, to alleviate the pressure on the entrepreneurial capital of farmers, which, in turn, enhances the entrepreneurial activity; and third, through the promotion of scientific and technological progress to promote the upgrading of agricultural technology, to bring more opportunities for entrepreneurship in agriculture, to attract more entrepreneurial talents to join, and, thus, to improve the entrepreneurship level of the new agricultural subjects in the pilot region. Hypotheses 2–4 proposed above are verified through the analysis. Heterogeneity test found that innovation policy significantly promotes the entrepreneurial level of new agricultural subjects in cities with a high level of science and education, as well as small and medium-sized cities, and does not play a significant role in the entrepreneurial level of new agricultural subjects in cities with a low level of science and education, as well as large cities. In addition, innovation policy has a significant effect on increasing the entrepreneurship level of agricultural cooperatives and agricultural enterprises, and the policy effect is stronger for agricultural enterprises, while there is no significant effect on family farms.

5.2. Recommendations

Based on the findings of this paper, the following policy implications are drawn:
First, increase investment in agricultural science and technology and actively create an agricultural entrepreneurship service platform to promote the entrepreneurship of new agricultural subjects. Innovation policy as a complex systematic project, in order to better play its role in promoting the entrepreneurial level of New agricultural subjects. On the one hand, cities should further increase investment in agricultural science and technology; promote agricultural science and technology research and development, to ensure that agricultural science and technology innovations continue to produce output; and promote the transformation of innovation results on the ground. On the other hand, the relevant departments should actively create agricultural entrepreneurship service platforms to provide farmers with scientific and technological, information, capital, and other support and enhance the willingness of farmers to start their own business. In addition, it is necessary to further improve the infrastructure and related public services, tilt the administrative services towards agricultural entrepreneurship, formulate a targeted and differentiated support system, create a favorable entrepreneurial environment and development space, and promote the creation of new agricultural business entities. At the same time, governments at all levels need to strengthen interaction in policy formulation, implementation, and optimization; summarize experiences; and gradually expand the scope of implementation in the original pilot cities as the center, so as to drive the development of the surrounding areas and maximize the effectiveness of the policy.
Second, the implementation of innovation policies should be tailored to local conditions and scientifically planned, so as to make policy implementation more flexible and inclusive. For cities with a high level of science and technology, as well as large cities, the urban entrepreneurial environment should be further optimized and the policy dividends brought about by innovation policies should be utilized continuously to promote urban agricultural entrepreneurship, while the effects of the policies should be radiated to the neighboring cities, so as to achieve high-quality development. As for small and medium-sized cities and cities with a low level of science and education, they should give full play to their “latecomer’s advantage”, tap entrepreneurial potential through innovative policies, promote the concentration of urban innovation factors, and facilitate the emergence of new opportunities and technologies, thereby increasing the entrepreneurial vitality of new agricultural subjects.
Third, explore the multidimensional path of innovative policies to promote the entrepreneurial level of new agricultural subjects and optimize the effect of pilot policy implementation. First of all, for different types of new agricultural subjects to take different measures to help, such as agricultural cooperatives and agricultural enterprises, can be encouraged to integrate agriculture and emerging technology, vigorously guiding the application of information technology such as big data, 5G technology, Internet of Things, cloud computing, and other information technology, combined with the development of the agricultural industry and agricultural dual-creation, to help family farms to solve the existing lack of scientific and technological support, and to improve the adaptability of science and technology and agricultural production. Secondly, new agricultural subjects in different regions should be adapted to local conditions and suitable development paths should be selected to enhance the effect of policy implementation.

5.3. Research Limitations

There are still shortcomings in the research process of this paper. Firstly, there may be multiple policies affecting the level of entrepreneurship of new agricultural subjects implemented simultaneously in various regions and, although this paper takes into account the impact of policies such as entrepreneurial cities, smart cities, and low-carbon city pilot policies, it still cannot completely exclude the competing explanations of other policies; it is worthwhile to further explore how to more accurately identify the impact of innovative policies on the entrepreneurship of new agricultural subjects. Second, due to the limitation of the completeness of the data on the registration of new agricultural subjects, this study fails to fully assess the individual variability of the impact of innovation policies on new agricultural subjects and, with the increasing richness and improvement of data resources, future studies can explore this issue in greater depth. Third, this study mainly explores the impact of innovation policies on new agricultural subjects’ entrepreneurship in prefecture-level cities. In the future, if more refined data can be obtained, the specific impact of innovation policies on new subjects’ entrepreneurship at the county and township levels can be explored. It better captures the impact of innovative city pilot policies on rural entrepreneurship.

Author Contributions

Conceptualization, L.L. and W.L.; Methodology, Y.L.; Software, Y.L.; Validation, L.L., W.L. and X.J.; Formal analysis, W.L.; Investigation, X.J.; Resources, L.L.; Data curation, Y.L.; Writing—original draft preparation, W.L.; Writing—review and editing, L.L.; Visualization, Y.L.; Supervision, X.J.; Project administration, L.L.; Funding acquisition, L.L. All authors have read and agreed to the published version of the manuscript.

Funding

This work was supported by the National Natural Science Foundation of China under the grant no.72004062 and the Program of Hunan Provincial Philosophy and Social Science Fund Project of China [Grant Nos. 22YBA102].

Institutional Review Board Statement

Not applicable.

Informed Consent Statement

Not applicable.

Data Availability Statement

① Data source: Publicity Department of the Central Committee of the Communist Party of China, 28 June 2022, “This decade in China: the strategy of rural revitalization in the new era is in full swing”. ② Data source: Farmers Daily News, 29 December 2022, “2022 Analysis Report on the Development of China’s New Agricultural Management Main Bodies (II) Based on a Survey of China’s Farmers’ Cooperatives”. ③ Data source: Farmers’ Daily News, 29 December 2022, “2022 Analysis Report on the Development of China’s New Agricultural Management Main Bodies (I) Based on a Survey of Chinese Agricultural Enterprises”. ④ Data source: Jiangsu Urban Forum, 2 June 2022, “Complete List of Cities Graded in 2022, 2022 City Business Charm Ranking”.

Conflicts of Interest

The authors declare no conflict of interest.

References

  1. Guo, Q.H. Functional positioning of new agricultural management subjects and institutional supply for their growth. China Rural Econ. 2013, 4, 4–11. [Google Scholar]
  2. Zhang, H.C. Promoting high-quality development of agriculture in the new era. China Party Gov. Cadre Forum 2022, 6, 10. [Google Scholar]
  3. McElwee, G. A taxonomy of entrepreneurial farmers. Int. J. Enterpren. Small Bus 2008, 6, 465–478. [Google Scholar] [CrossRef]
  4. Thanh, L.N. Current law on general rights of agricultural land users in Vietnam: Reality and issues that need modification. Trib. Jurid. 2020, 10, 122–141. [Google Scholar]
  5. Britz, W.; van Ittersum, M.K.; Oude Lansink, A.G.; Heckelei, T. Tools for integrated assessment in agriculture. State of the art and challenges. Bio-Based Appl. Econ. J. 2012, 2, 125–150. [Google Scholar]
  6. Bielby, D.D.; Bielby, W.T. She works hard for the money: Household responsibilities and the allocation of work effort. Am. J. Sociol. 1988, 65, 1031–1059. [Google Scholar] [CrossRef]
  7. Bouichou, E.H.; Abdoulaye, T.; Allali, K.; Bouayad, A.; Fadlaoui, A. Entrepreneurial intention among rural youth in Moroccan agricultural cooperatives: The future of rural entrepreneurship. Sustainability 2021, 13, 9247. [Google Scholar] [CrossRef]
  8. Meutia, I.; Adam, M.; Vegirawati, T. Comparative Analysis of Agricultural Financing in Some Countries. Tazkia Islam. Financ. Bus. Rev. 2018, 11, 1. [Google Scholar] [CrossRef]
  9. Soleymani, A.; Farani, A.Y.; Karimi, S.; Azadi, H.; Nadiri, H.; Scheffran, J. Identifying sustainable rural entrepreneurship indicators in the Iranian context. J. Clean. Prod. 2021, 290, 125186. [Google Scholar] [CrossRef]
  10. Deller, S.; Whitacre, B.; Conroy, T. Rural broadband speeds and business startup rates. Am. J. Agric. Econ. 2022, 104, 999–1025. [Google Scholar] [CrossRef]
  11. Barnett, W.A.; Hu, M.; Wang, X. Does the utilization of information communication technology promote entrepreneurship: Evidence from rural China. Technol. Forecast. Soc. Change 2019, 141, 12–21. [Google Scholar] [CrossRef]
  12. Zhou, Y.L.; Sheng, S.L. Can the innovative-city-pilot policy promote urban innovation? An empirical analysis from China. J. Urban Aff. 2023, 45, 1679–1697. [Google Scholar] [CrossRef]
  13. Yu, Y.; Chen, X.; Zhang, N. Innovation and energy productivity: An empirical study of the innovative city pilot policy in China. Technol. Forecast. Soc. Change 2022, 176, 121430. [Google Scholar] [CrossRef]
  14. Zhang, J.J.; Tian, J.Z. Can dual pilot policy of innovative city and low carbon city promote green lifestyle transformation of residents? J. Clean. Prod. 2023, 405, 136711. [Google Scholar] [CrossRef]
  15. Bai, J.H.; Zhang, Y.X.; Bian, Y.C. Does innovation-driven policy enhance urban entrepreneurial activity-Empirical evidence from pilot policies of national innovative cities. China Ind. Econ. 2022, 6, 61–78. [Google Scholar]
  16. Baumol, W.J. Entrepreneurship: Productive, unproductive, and destructive. J. Bus. Ventur. 1996, 11, 3–22. [Google Scholar] [CrossRef]
  17. Zhang, Y.; Song, H.Y. Spillover effects of science and technology innovation on agricultural economic growth and its attenuation boundary—An analysis based on spatial Durbin model. Rural Econ. 2022, 5, 116–124. [Google Scholar]
  18. Sun, J.H.; Wang, Y. How the entrepreneurial ecology embedded in digital technology improves the entrepreneurial performance of youth—An empirical study based on mixed methods. Sci. Technol. Prog. Countermeas. 2023, 21, 12–22. [Google Scholar]
  19. Liu, S.H.; Luo, M.F.; Zhu, J.; Chen, X.Q. Research on rural financial development, agricultural science and technology progress and urban-rural economic integration. Agric. Technol. Econ. 2021, 11, 31–45. [Google Scholar]
  20. Dong, Y.; Chen, Q.S.; Wang, C. How Regional Financial Development Affects Agricultural Credit and Farmer Entrepreneurship-An Empirical Study Based on CHFS. Econ. Theory Econ. Manag. 2020, 6, 72–86. [Google Scholar]
  21. Liu, C.; Qian, L. The impact of credit support on agricultural entrepreneurship among farmers. J. South China Agric. Univ. Soc. Sci. Ed. 2022, 21, 100–113. [Google Scholar]
  22. Zhang, S.; Wang, X. Does innovative city construction improve the industry–university–research knowledge flow in urban China? Technol. Forecast. Soc. Chang. 2022, 174, 121200. [Google Scholar] [CrossRef]
  23. Cao, B.; Zhao, Z.J. Research on modern agricultural science and technology innovation system based on industrial structure upgrading. Rural Econ. 2017, 1, 99–104. [Google Scholar]
  24. Peráček, T.; Srebalová, M.; Srebala, A. The Valuation of Land in Land Consolidation and Relevant Administrative Procedures in the Conditions of the Slovak Republic. Adm. Sci. 2022, 12, 174. [Google Scholar] [CrossRef]
  25. Autor, H.D. Outsourcing at Will: The Contribution of Unjust Dismissal Doctrine to the Growth of Employment Outsourcing. J. Labor Econ. 2003, 21, 1–42. [Google Scholar] [CrossRef]
  26. Yuan, H.; Zhu, C.L. Have national high-tech zones promoted the transformation and upgrading of China’s industrial structure. China Ind. Econ. 2018, 8, 60–77. [Google Scholar]
  27. Fang, H.L.; Liu, Y. An overview of measurement methods and research on regional entrepreneurship level at home and abroad. Theory Explor. 2012, 5, 102–107. [Google Scholar]
  28. Xu, X.L.; Hou, J.C. Facilitation, acceleration and spillover: The impact of digital economy development on regional innovation performance. Sci. Technol. Prog. Countermeas. 2022, 1, 50–59. [Google Scholar]
  29. Li, X.; Wu, F.X.; Zhu, L.L. Digital economy and regional innovation performance. J. Shanxi Univ. Financ. Econ. 2021, 5, 17–30. [Google Scholar]
  30. Beck, T.; Levine, R.; Levkov, A. Big Bad Banks? The Winners and Losers from Bank Deregulation in the United States. J. Financ. 2010, 5, 1637–1667. [Google Scholar] [CrossRef]
  31. Heckman, J.; Ichimura, H.; Todd, P. Performance of matching as an econometric estimator. Rev. Econ. Stud. 1998, 65, 261–294. [Google Scholar] [CrossRef]
  32. Sun, M.Y. Changes in the supply mode of grassroots agrotechnology services and the technology access dilemma of smallholder farmers. Agric. Econ. Issues 2021, 3, 40–52. [Google Scholar]
  33. Wen, Z.L.; Ye, B.J. Mediation effects analysis: Methods and model development. Adv. Psychol. Sci. 2014, 5, 731–745. [Google Scholar] [CrossRef]
  34. Ren, S.M.; Wang, M.N. Can science and technology financial policies enhance R&D investment of science and technology enterprises?—Empirical evidence from pilot policies. Res. Sci. 2024, 5, 977–990. [Google Scholar]
  35. Yin, H.F.; Zhang, B.; He, Y.P. Credit constraints and rural household entrepreneurial performance: Impact effects and loss estimation. J. Huazhong Agric. Univ. Soc. Sci. Ed. 2021, 6, 76–89+189–190. [Google Scholar]
  36. Pan, H.F.; Zhang, D.S. Credit constraints, house price and economic growth correlation and spatial spillover effects—A spatial measure based on provincial panel data. J. Cent. Univ. Financ. Econ. 2018, 11, 82–95. [Google Scholar]
  37. Li, X.; Mu, Y.Y. Dynamic analysis of the contribution of agricultural science and technology innovation input factors--empirical evidence based on state space model. Econ. Jingwei 2013, 4, 39–43. [Google Scholar]
  38. Po-Chi, C.H.E.N.; Ming-Miin, Y.U.; Chang, C.C.; Shih-Hsun, H.S.U. Total factor productivity growth in China’s agricultural sector. China Econ. Rev. 2008, 19, 580–593. [Google Scholar]
  39. Carolan, M. “Urban Farming Is Going High Tech” Digital Urban Agriculture’s Links to Gentrification and Land Use. J. Am. Plan. Assoc. 2020, 86, 47–59. [Google Scholar] [CrossRef]
  40. Mann, J.T.; Miller, S.R.; Malone, T. Can Targeted Government Investment in Rural Establishments Induce Innovative Activity? Econ. Dev. Q. 2022, 36, 228–244. [Google Scholar] [CrossRef]
  41. Fabregas, R.; Kremer, M.; Schilbach, F. Realizing the potential of digital development: The case of agricultural advice. Science 2019, 366, eaay3038. [Google Scholar] [CrossRef] [PubMed]
Figure 1. Schematic diagram of the equilibrium trend test.
Figure 1. Schematic diagram of the equilibrium trend test.
Sustainability 16 03981 g001
Figure 2. Randomization of control and control group.
Figure 2. Randomization of control and control group.
Sustainability 16 03981 g002
Table 1. Variable definitions and descriptions.
Table 1. Variable definitions and descriptions.
VariablesVariable LetterDefine
Number of new agricultural business entities addedenterpNumber of new registered enterprises of new agricultural business entities in various municipalities in the year
Innovation policytreat_policyPilot policy for innovative cities
Level of regional economic developmentpgdpReal GDP per capita in municipalities
Population densitylogurlTotal population of the region as a proportion of the region’s area, plus one for logarithmic treatment
Number of employees in the primary sectorlogalfPopulation in the labor force engaged in primary sector production, plus one for logarithmic treatment
Human capitallogahclNumber of students enrolled in general institutions of higher education, plus one for logarithmic treatment
Level of financial developmentfinYear-end loan balances of financial institutions as a percentage of GDP in local municipalities
Digital Inclusive FinancedifDigital Inclusive Finance Index
Level of agricultural mechanizationamlRatio of total power of agricultural machinery to cultivated area
Digital Rural DevelopmentdrcAverage year-end cell phone ownership per 100 rural households
Science and technology input effectslogfseGovernment investment in science and technology, plus one for logarithmic treatment
Credit support effectlogcseBalance of loans from financial institutions at the end of the year in local municipalities, plus one for logarithmic treatment
Scientific and technological progress effectloganypagNumber of new subject matter patent applications, plus one for logarithmic treatment
Table 2. Descriptive statistics.
Table 2. Descriptive statistics.
Variable CategoryVariablesMeaningObs.Standard DeviationMinMax
Explanatory variableEnterpNumber of new agricultural business entities added45441.5840.0579.072
Core Explanatory variablesTreat_policyInnovation policy45440.34701
Control variablesPgdpLevel of regional economic development45444.3640.51924.768
LogurlPopulation density45440.8772.9967.229
LogalfNumber of employees in the primary sector45440.4910.0072.564
LogahclHuman capital45440.5850.0392.535
FinLevel of financial development45440.5270.2733.054
DifDigital Inclusive Finance4544100.1170.000290.962
AmlLevel of agricultural mechanization454410.1980.12365.833
DrcDigital Rural Development45440.1705.0095.689
Intermediary variablesLogfseScience and technology input effects45441.7165.70414.040
LogcseCredit support effect45441.30513.46719.566
LoganypagScientific and technological progress effect45441.94307.104
Table 3. Benchmark regression results.
Table 3. Benchmark regression results.
Variables(1)(2)(3)(4)
treat_policy1.700 ***0.540 ***0.711 ***0.684 ***
(7.51)(2.97)(3.75)(3.76)
pgdp −0.046−0.042
(−1.39)(−1.22)
logurl 3.536 ***3.446 ***
(3.54)(3.75)
fin −0.100−0.124
(−0.77)(−1.01)
logahcl 0.0970.022
(0.54)(0.12)
logalf −0.293−0.274
(−1.39)(−1.30)
dif −0.003−0.004
(−1.04)(−1.30)
aml −0.021 **−0.025 ***
(−2.09)(−2.67)
drc 0.3440.269
(0.64)(0.48)
_cons1.233 ***1.395 ***−19.837 ***−18.733 ***
(24.00)(54.66)(−3.08)(−3.06)
Control variablesNONOYESYES
Year fixed effectsNOYESYESYES
Individual fixed effectNOYESYESYES
N4544454445444260
r2_a0.1390.7130.7220.729
Note: ** and *** indicate that the regression coefficients are significant at 5%, and 1% confidence levels. The value of t is in parentheses.
Table 4. PSM-DID estimation results.
Table 4. PSM-DID estimation results.
Variables(1)(2)(3)
treat_policy1.605 ***0.487 **0.749 ***
(6.67)(2.53)(3.88)
pgdp −0.104 ***
(−3.64)
logurl 3.326 ***
(3.38)
fin −0.178
(−1.35)
logahcl 0.087
(0.55)
logalf −0.208
(−0.98)
dif −0.002
(−0.59)
aml −0.009
(−1.14)
drc 0.395
(0.71)
_cons1.245 ***1.390 ***−18.978 ***
(23.50)(55.89)(−2.92)
Control variablesNONOYES
Year fixed effectsNOYESYES
Individual fixed effectNOYESYES
N427942764276
r2_a0.1190.7090.722
Note: ** and *** indicate that the regression coefficients are significant at 5%, and 1% confidence levels. The value of t is in parentheses.
Table 5. Excluding other policy disturbances, other robustness tests.
Table 5. Excluding other policy disturbances, other robustness tests.
Variables(1)(2)
Excluding Similar Policies from InterferingChanging the Explanatory Variables
treat_policy0.656 ***3.997 ***
(3.45)(4.20)
_cons−19.306 ***8.110 ***
(−3.03)(35.55)
Control variablesYESYES
Year fixed effectsYESYES
Individual fixed effectYESYES
N45444544
r2_a0.7240.826
Note: *** indicates that the regression coefficients are significant at 1% confidence levels. The value of t is in parentheses.
Table 6. Heterogeneity test.
Table 6. Heterogeneity test.
Variables(1)(2)(3)(4)(5)(6)(7)
Entrep
City ScaleScientific and Educational LevelNew Agricultural Business Subjects
LargeSmall or Medium SizeHighLowerFamily FarmAgricultural CooperativeAgribusiness
treat_policy−0.0070.619 ***0.251 *−0.189 **0.0290.198 ***0.474 ***
(0.259)(0.091)(0.137)(0.084)(1.570)(2.671)(3.613)
_cons22.141 *−19.771 ***−16.384 **−7.411 ***−1.856 ***1.543−19.762 ***
(11.82)(2.79)(7.13)(2.74)(−2.63)(0.74)(−4.13)
Control variablesYESYESYESYESYESYESYES
Year fixed effectsYESYESYESYESYESYESYES
Individual fixed effectYESYESYESYESYESYESYES
N304424022672268454445444544
r2_a0.8260.7040.7370.6970.5070.6200.716
Note: *, ** and *** indicate that the regression coefficients are significant at 10%, 5% and 1% confidence levels. The value of t is in parentheses.
Table 7. Mechanism analysis.
Table 7. Mechanism analysis.
(1)(2)(3)(4)(5)(6)
VariablesLogfseEnterpLogcseEnterpLoganypagEnterp
treat_policy0.547 ***0.763 ***0.335 ***0.654 ***0.581 ***0.331 ***
(9.43)(11.31)(10.32)(10.15)(8.60)(22.54)
logfse 0.390 ***
(22.82)
logcse 0.988 ***
(34.40)
loganypag 0.784 ***
(11.62)
_cons1.994 ***−3.314 ***10.00 ***−12.42 ***−7.310 ***−0.113
(3.11)(−4.48)(27.87)(−16.53)(−9.78)(−0.15)
Sobel test0.213 ***0.331 ***0.193 ***
Ind_eff test (p)0.0000.0000.000
Control variablesYESYESYESYESYESYES
Year fixed effectsYESYESYESYESYESYES
Individual fixed effectYESYESYESYESYESYES
N454445444544454445444544
r2_a0.6360.4340.8030.5000.6150.433
Note: *** indicates that the regression coefficients are significant at 1% confidence levels. The value of t is in parentheses.
Disclaimer/Publisher’s Note: The statements, opinions and data contained in all publications are solely those of the individual author(s) and contributor(s) and not of MDPI and/or the editor(s). MDPI and/or the editor(s) disclaim responsibility for any injury to people or property resulting from any ideas, methods, instructions or products referred to in the content.

Share and Cite

MDPI and ACS Style

Li, L.; Liu, Y.; Luo, W.; Jiang, X. Does Urban Innovation Promote Rural Entrepreneurship? Quasi-Natural Experimental Evidence from Microdata on New Agricultural Subjects. Sustainability 2024, 16, 3981. https://doi.org/10.3390/su16103981

AMA Style

Li L, Liu Y, Luo W, Jiang X. Does Urban Innovation Promote Rural Entrepreneurship? Quasi-Natural Experimental Evidence from Microdata on New Agricultural Subjects. Sustainability. 2024; 16(10):3981. https://doi.org/10.3390/su16103981

Chicago/Turabian Style

Li, Linfeng, Yang Liu, Wensi Luo, and Xin Jiang. 2024. "Does Urban Innovation Promote Rural Entrepreneurship? Quasi-Natural Experimental Evidence from Microdata on New Agricultural Subjects" Sustainability 16, no. 10: 3981. https://doi.org/10.3390/su16103981

APA Style

Li, L., Liu, Y., Luo, W., & Jiang, X. (2024). Does Urban Innovation Promote Rural Entrepreneurship? Quasi-Natural Experimental Evidence from Microdata on New Agricultural Subjects. Sustainability, 16(10), 3981. https://doi.org/10.3390/su16103981

Note that from the first issue of 2016, this journal uses article numbers instead of page numbers. See further details here.

Article Metrics

Back to TopTop