Statistical Analysis of Climate Trends and Impacts on Groundwater Sustainability in the Lower Indus Basin
Abstract
1. Introduction
2. Hydrogeology of the Lower Indus Basin
3. Materials and Methods
3.1. Study Area
3.2. Input Data
3.2.1. Aquifer Properties
3.2.2. Precipitation and Temperature
3.2.3. Evapotranspiration
3.2.4. River and Drainage Properties
3.2.5. Groundwater Pumping
3.3. Methods
3.3.1. Climate Regionalisation
3.3.2. Trend Analysis
3.3.3. Groundwater Flow Model Development
Model Conceptualisation and Discretisation
Aquifer Parameterisation
Initial and Boundary Conditions
Calibration
- In Step 1, we divided the aquifer into different zones based on the aquifer properties in the area. Zones were defined based on interpretation of aquifer parameters, and then units with similar properties were grouped.
- Each unit was assigned a zone number, in which a multiplier was used to adjust the input parameter values.
- In Step 2, we divided the model domain into different recharge/discharge zones based on irrigation divisions in the model domain. A multiplier was assigned for each parameter to adjust the sink and source terms in each zone, including: (i) rainfall recharge; (ii) irrigation recharge; (iii) evapotranspiration; and (iv) pumping.
- Fifty-nine observation wells were considered for calibration to compare the observed versus simulated water heads. Model calibration was performed for 42 stress periods from October 2010 to April 2014. The head measured in October 2010 (post-monsoon) was taken as the initial head condition. Observed heads were arranged for the post- and pre-monsoon season for each year from 2010 to 2014.
3.3.4. Scenario Assessment
- Scenario 1: Baseline/no change. This scenario assumes that pumping will remain the same as for the calibrated model and is used as a base case to compare with other scenarios.
- Scenario 2: 10% decrease in surface water supply. This scenario was developed in consultation with SID to assist in understanding its impact on freshwater zones. In this scenario, water supply in the early Kharif period (i.e., April to July) was reduced by 10% of historical amounts.
- Scenario 3: 10% increased pumping. In this scenario, pumping was increased from the freshwater zone in the same early Kharif period to help identify threshold depth and time scale of depletion, thus helping to set extraction limits for the freshwater lens.
- Scenario 4: 10% increased pumping and 10% decrease in water supply. In this scenario, pumping was increased for freshwater zone while overall surface water supply was decreased for the early Kharif period to depict a water shortage scenario.
- Scenario 5: Climate change scenarios. Two scenarios were created where water balance assessment was performed using RCP 4.5 and RCP 8.5 time-series climatic predictions input data.
4. Results
4.1. Regionalisation
4.2. Spatiotemporal Precipitation Trends for Northern Rohri CCA
4.3. Spatiotemporal Potential Evapotranspiration Trends (PET) for Northern Rohri CCA
4.4. Groundwater Model Calibration
4.5. Modelled Water Balance
4.6. Modelled Water Balance for the Longer-Term Scenario
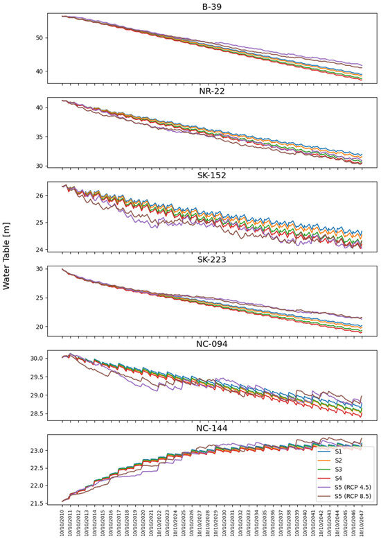
4.7. Water Level Assessment under Different Scenarios
5. Discussion
6. Conclusions
Supplementary Materials
Author Contributions
Funding
Data Availability Statement
Acknowledgments
Conflicts of Interest
References
- Qazi, M.A.; Khattak, M.A.; Khan, M.S.A.; Chaudhry, M.N.; Mahmood, K.; Akhter, B.; Iqbal, N.; Ilyas, S.; Ali, U.A. Spatial distribution of heavy metals in ground water of Sheikhupura district Punjab, Pakistan. J. Agric. Res. 2014, 52, 99–110. [Google Scholar]
- Qureshi, A.S.; Gill, M.A.; Sarwar, A. Sustainable groundwater management in Pakistan: Challenges and opportunities. Irrig. Drain. 2010, 59, 107–116. [Google Scholar] [CrossRef]
- Qureshi, R.H.; Ashraf, M. Water Security Issues of Agriculture in Pakistan; Pakistan Academy of Sciences: Islamabad, Pakistan, 2019. [Google Scholar]
- Qureshi, A.S. Groundwater governance in Pakistan: From colossal development to neglected management. Water 2020, 12, 3017. [Google Scholar] [CrossRef]
- Watto, M.A.; Mitchell, M.; Akhtar, T. Pakistan’s water resources: Overview and challenges. In Water Resources of Pakistan: Issues and Impacts; Watto, M.A., Mitchell, M., Bashir, S., Eds.; Springer: Cham, Switzerland, 2021; pp. 1–12. [Google Scholar]
- Khattak, A.; Ahmed, N.; Hussain, I.; Qazi, M.A.; Khan, S.A.; Rehman, A.-U.; Iqbal, N. Spatial distribution of salinity in shallow groundwater used for crop irrigation. Pak. J. Bot. 2014, 46, 531–537. [Google Scholar]
- Punthakey, J.F.; Khan, M.R.; Riaz, M.; Javed, M.; Zakir, G.; Usman, M.; Amin, M.; Ahmad, R.N.; Blackwell, J.; Richard, C.; et al. Optimising Canal and Groundwater Management to Assist Water User Associations in Maximizing Crop Production and Managing Salinisation in Australia and Pakistan: Assessment of Groundwater Resources for Rechna Doab, Pakistan; Ecoseal Developments Pty Ltd.: Roseville, Australia, 2015. [Google Scholar]
- Watto, M.A.; Mugera, A.W.; Kingwell, R.; Saqab, M.M. Re-thinking the unimpeded tube-well growth under the depleting groundwater resources in the Punjab, Pakistan. Hydrogeol. J. 2018, 26, 2411–2425. [Google Scholar] [CrossRef]
- Basharat, M.; Tariq, A.-u.-R. Groundwater modelling for need assessment of command scale conjunctive water use for addressing the exacerbating irrigation cost inequities in LBDC irrigation system, Punjab, Pakistan. Sustain. Water Resour. Manag. 2015, 1, 41–55. [Google Scholar] [CrossRef]
- Bhutta, M.N.; Alam, M.M. Prospectives and limits of groundwater use in Pakistan, Groundwater research and management: Integrating science into management decisions. In Proceedings of the IWMI-ITP-NIH International Workshop, Roorkee, India, 8–9 February 2005; Sharma, B.R., Villholth, K.G., Sharma, K.P., Eds.; IWMI: Colombo, Sri Lanka, 2006; pp. 105–114. [Google Scholar]
- Eckstein, D.; Hutfils, M.-L.; Winges, M. Global Climate Risk Index 2019. Who Suffers Most from Extreme Weather Events? Germanwatch Briefing Paper: Bonn, Germany, 2018. [Google Scholar]
- Parry, M.L.; Canziani, J.P.; van der Linden, P.J.; Hanson, C.E. Contribution of Working Group II to the Fourth Assessment Report of the Intergovernmental Panel on Climate Change 2007; Cambridge University Press: Cambridge, UK, 2007. [Google Scholar]
- Crosbie, R.S.; McCallum, J.L.; Harrington, G.A. Diffuse Groundwater Recharge Modelling across Northern Australia. A Report to the Australian Government from the CSIRO Northern Australia Sustainable Yields Project. CSIRO Water for a Healthy Country Flagship, Australia; CSIRO: Canberra, Australia, 2009.
- Ashraf, A.; Ahmad, Z. Regional groundwater flow modelling of Upper Chaj Doab of Indus Basin, Pakistan using finite element model (Feflow) and geoinformatics. Geophys. J. Int. 2008, 173, 17–24. [Google Scholar] [CrossRef]
- Khan, H.F.; Yang, Y.C.E.; Ringler, C.; Wi, S.; Cheema, M.J.M.; Basharat, M. Guiding groundwater policy in the Indus Basin of Pakistan using a physically based groundwater model. J. Water Resour. Plan. Manag. 2017, 143, 05016014. [Google Scholar] [CrossRef]
- Ahmed, W.; Rahimoon, Z.A.; Oroza, C.A.; Sarwar, S.; Qureshi, A.L.; Punthakey, J.F.; Arfan, M. Modelling groundwater hydraulics to design a groundwater level monitoring network for sustainable management of fresh groundwater lens in Lower Indus Basin, Pakistan. Appl. Sci. 2020, 10, 5200. [Google Scholar] [CrossRef]
- Chandio, A.S.; Lee, T.S.; Mirjat, M.S. The extent of waterlogging in the lower Indus Basin (Pakistan): A modeling study of groundwater levels. J. Hydrol. 2012, 426–427, 103–111. [Google Scholar] [CrossRef]
- Kori, S.M.; Qureshi, A.L.; Lashari, B.K.; Memon, N.A. Optimum strategies of groundwater pumping regime under scavenger tubewells in Lower Indus Basin, Sindh, Pakistan. Int. Water Technol. J. 2013, 3, 138–145. [Google Scholar]
- Hunting Technical Services Limited; Sir Mott MacDonald & Partners Ltd. The Lower Indus Report; West Pakistan Water and Power Development Authority: Lahore, Pakistan, 1965.
- Bennett, G.D.; Rehman, A.U.; Sheikh, J.A.; Ali, S. Analysis of Pumping Tests in the Punjab Region of West Pakistan, Geological Survey Water-Supply Paper 1608-G, Prepared in Cooperation with the W Pakistan Water & Power Dec Authority under US AID; U.S. Government Printing Ofiice: Washington, DC, USA, 1969.
- Sir Mott MacDonald & Partners Ltd. LBOD Stage 1 Project, Mirpurkhas, Pilot Study: Hydrogeology, Special Wells, Preliminary Well Design, Well Numbers and Spacing; Technical Report Annexes 1–6; Mott MacDonald: Croydon, UK, 1990. [Google Scholar]
- Bonsor, H.C.; MacDonald, A.M.; Ahmed, K.M.; Burgess, W.G.; Basharat, M.; Calow, R.C.; Dixit, A.; Foster, S.S.D.; Gopal, K.; Lapworth, D.J.; et al. Hydrogeological typologies of the Indo-Gangetic basin alluvial aquifer, South Asia. Hydrogeol. J. 2017, 25, 1377–1406. [Google Scholar] [CrossRef] [PubMed]
- MacDonald, A.M.; Bonsor, H.C.; Ahmed, K.M.; Burgess, W.G.; Basharat, M.; Calow, R.C.; Dixit, A.; Foster, S.S.D.; Gopal, K.; Lapworth, D.J.; et al. Groundwater quality and depletion in the Indo-Gangetic Basin mapped from in situ observations. Nat. Geosci. 2016, 9, 762–766. [Google Scholar] [CrossRef]
- Iqbal, N.; Ashraf, M.; Imran, M.; Salam, H.A.; ul Hasan, F.; Khan, A.D. Groundwater Investigations and Mapping the Lower Indus Plain; Pakistan Council of Research in Water Resources (PCRWR): Islamabad, Pakistan, 2020.
- Alamgir, A.; Khan, M.A.; Schilling, J.; Shaukat, S.S.; Shahab, S. Assessment of groundwater quality in the coastal area of Sindh province, Pakistan. Environ. Monit. Assess. 2016, 188, 78. [Google Scholar] [CrossRef] [PubMed]
- Podgorski, J.E.; Eqani, S.A.M.A.S.; Khanam, T.; Ullah, R.; Shen, H.; Berg, M. Extensive arsenic contamination in high-pH unconfined aquifers in the Indus Valley. Sci. Adv. 2017, 3, e1700935. [Google Scholar] [CrossRef] [PubMed]
- Burhan, A.; Waheed, I.; Syed, A.A.B.; Rasul, G.; Shreshtha, A.B.; Shea, J.M. Generation of high–resolution gridded climate fields for the Upper Indus River Basin by downscaling CMIP5 outputs. J. Earth Sci. Clim. Change 2015, 6, 1000254. [Google Scholar] [CrossRef]
- Assunção, R.M.; Neves, M.C.; Câmara, G.; Da Costa Freitas, C. Efficient regionalization techniques for socio-economic geographical units using minimum spanning trees. Int. J. Geogr. Inf. Sci. 2006, 20, 797–811. [Google Scholar] [CrossRef]
- Mann, H.B. Nonparametric tests against trend. Econometrica 1945, 13, 245–259. [Google Scholar] [CrossRef]
- Sen, P.K. Estimates of the regression coefficient based on Kendall’s Tau. J. Am. Stat. Assoc. 1968, 63, 1379–1389. [Google Scholar] [CrossRef]
- Harbaugh, A.W. MODFLOW-2005, the U.S. Geological Survey Modular Ground-Water Model—The Ground-Water Flow Process; US Department of the Interior; US Geological Survey: Reston, VA, USA, 2005. [Google Scholar]
- Shah, N.; Nachabe, M.; Ross, M. Extinction depth and evapotranspiration from ground water under selected land covers. Groundwater 2007, 45, 329–338. [Google Scholar] [CrossRef]
- Punthakey, J.; Ashfaq, M.; Allan, C.; Mitchell, M. Improving Groundwater Management to Enhance Agriculture and Farming Livelihoods in Pakistan: Final Report; ACIAR Report No. FR2021-056; Australian Centre for International Agricultural Research: Canberra, Australia, 2021.
- Ahmed, W.; Ejaz, M.S.; Memon, A.; Ahmed, S.; Sahito, A.; Qureshi, A.L.; Khan, M.R.; Memon, K.S.; Khero, Z.; Lashari, B.K.; et al. Improving Groundwater Management to Enhance Agriculture and Farming Livelihoods: Groundwater Model for Left Bank Command of Sukkur Barrage in Khairpur, Naushero Feroze, and Shaheed Benazirabad Districts; ILWS Report No 159; Institute for Land, Water and Society; Charles Sturt University: Albury, Australia, 2021. [Google Scholar]
- Pierce, D.; Cook, P. Conceptual approaches, methods and models used to assess extraction limits in Australia: From sustainable to acceptable yield. In Sustainable Groundwater Management: A Comparative Analysis of French and Australian Policies and Implications to Other Countries; Rinaudo, J.-D., Holley, C., Barnett, S., Montginoul, M., Eds.; Springer: Cham, Switzerland, 2020; pp. 275–289. [Google Scholar]
- Richardson, S.; Evans, R.; Harrington, G. Connecting science and engagement: Setting groundwater extraction limits using a stakeholder-led decision-making process. In Basin Futures: Water Reform in the Murray-Darling Basin; Connell, D., Grafton, R.Q., Eds.; ANU e-Press: Canberra, Australia, 2011; pp. 351–366. [Google Scholar]
- Allan, C.; Mitchell, M.; Punthakey, J.F. Institutional pathways for transforming groundwater planning and management: Reflections from Pakistan and Sri Lanka. World Water Policy 2023, 9, 283–668. [Google Scholar] [CrossRef]







| Method | Data | Spatial and Temporal Resolution | Source |
|---|---|---|---|
| Climatic Regionalisation and trend analysis | Precipitation | Monthly, 25 km × 25 km | https://www.pmd.gov.pk/rnd/rndweb/rnd_new/climchange_ar5.php (accessed on 3 January 2024) |
| Temperature | Monthly, 25 km × 25 km | https://www.pmd.gov.pk/rnd/rndweb/rnd_new/climchange_ar5.php (accessed on 3 January 2024) | |
| Potential Evapotranspiration | Monthly, 25 km × 25 km | Derived from Temperature datasets using Blaney-Criddle approach | |
| Groundwater model | Topography | 90 m × 90 m | https://csidotinfo.wordpress.com/data/srtm-90m-digital-elevation-database-v4-1/ (accessed on 3 January 2024) |
| Aquifer properties | 163 borelogs spatially spread in the study area | https://doi.org/10.4225/08/5a3b567bc9004 (accessed on 3 January 2024) | |
| River, canal, and drainage hydraulic properties | Properties at main regulators. Interpolated at every kilometre. | Sindh Irrigation Department and Sindh Irrigation and Drainage Authority | |
| Initial water levels | Bi-annually from 2010 to 2014, 59 spatial points observed | SCARP Monitoring Organization, WAPDA | |
| Surface water supplies | Monthly | Sindh Irrigation Department and Sindh Irrigation and Drainage Authority | |
| Pumping | Extraction per unit square km | Estimated through survey. |
| Kh [m/d] | Kh:Kv | Depth [m] | Sy [-] | Ss [1/m] | |
|---|---|---|---|---|---|
| Layer-1 | 21.5 to 33 | 100 | 35 | 0.12 to 0.16. | 1.84 × 10−4 to 8.92 × 10−6 |
| Layer-2 | 12 to 35 | 100 | 22–306 | 0.01 to 0.17 | 2.77 × 10−4 to 5.096 × 10−6 |
| Inflows | Calibrated | Scenario 1 | Scenario 2 | Scenario 3 | Scenario 4 | RCP 4.5 | RCP 8.5 |
| Boundary | 0.071 | 0.077 | 0.079 | 0.079 | 0.081 | 0.128 | 0.131 |
| Wells | 0 | 0 | 0 | 0 | 0 | 0 | 0 |
| Drains | 0 | 0 | 0 | 0 | 0 | 0 | 0 |
| River Leakage | 1.16 | 1.094 | 1.096 | 1.099 | 1.101 | 1.153 | 1.16 |
| ET | 0 | 0 | 0 | 0 | 0 | 0 | 0 |
| Recharge | 3.944 | 4.282 | 4.162 | 4.282 | 4.162 | 3.769 | 3.732 |
| Total Inflows | 5.175 | 5.453 | 5.337 | 5.46 | 5.344 | 5.049 | 5.023 |
| Outflows | Calibrated | Scenario 1 | Scenario 2 | Scenario 3 | Scenario 4 | RCP 4.5 | RCP 8.5 |
| Boundary | 0.859 | 0.972 | 0.965 | 0.969 | 0.962 | 0.837 | 0.831 |
| Wells | 3.25 | 3.619 | 3.619 | 3.826 | 3.826 | 3.619 | 3.619 |
| Drains | 0.467 | 0.294 | 0.285 | 0.289 | 0.28 | 0.271 | 0.27 |
| River Leakage | 0.033 | 0.059 | 0.058 | 0.059 | 0.058 | 0.05 | 0.049 |
| ET | 1.606 | 1.754 | 1.754 | 1.754 | 1.754 | 2.458 | 2.468 |
| Recharge | 0 | 0 | 0 | 0 | 0 | 0 | 0 |
| Total Outflows | 6.215 | 6.697 | 6.68 | 6.897 | 6.879 | 7.234 | 7.237 |
| Net | −1.04 | −1.244 | −1.343 | −1.437 | −1.535 | −2.185 | −2.214 |
Disclaimer/Publisher’s Note: The statements, opinions and data contained in all publications are solely those of the individual author(s) and contributor(s) and not of MDPI and/or the editor(s). MDPI and/or the editor(s) disclaim responsibility for any injury to people or property resulting from any ideas, methods, instructions or products referred to in the content. |
© 2024 by the authors. Licensee MDPI, Basel, Switzerland. This article is an open access article distributed under the terms and conditions of the Creative Commons Attribution (CC BY) license (https://creativecommons.org/licenses/by/4.0/).
Share and Cite
Ahmed, W.; Ahmed, S.; Punthakey, J.F.; Dars, G.H.; Ejaz, M.S.; Qureshi, A.L.; Mitchell, M. Statistical Analysis of Climate Trends and Impacts on Groundwater Sustainability in the Lower Indus Basin. Sustainability 2024, 16, 441. https://doi.org/10.3390/su16010441
Ahmed W, Ahmed S, Punthakey JF, Dars GH, Ejaz MS, Qureshi AL, Mitchell M. Statistical Analysis of Climate Trends and Impacts on Groundwater Sustainability in the Lower Indus Basin. Sustainability. 2024; 16(1):441. https://doi.org/10.3390/su16010441
Chicago/Turabian StyleAhmed, Waqas, Suhail Ahmed, Jehangir F. Punthakey, Ghulam Hussain Dars, Muhammad Shafqat Ejaz, Abdul Latif Qureshi, and Michael Mitchell. 2024. "Statistical Analysis of Climate Trends and Impacts on Groundwater Sustainability in the Lower Indus Basin" Sustainability 16, no. 1: 441. https://doi.org/10.3390/su16010441
APA StyleAhmed, W., Ahmed, S., Punthakey, J. F., Dars, G. H., Ejaz, M. S., Qureshi, A. L., & Mitchell, M. (2024). Statistical Analysis of Climate Trends and Impacts on Groundwater Sustainability in the Lower Indus Basin. Sustainability, 16(1), 441. https://doi.org/10.3390/su16010441

