Next Article in Journal
Fungal Strain as Biological Tool to Remove Genotoxicity Effect of Phenolic Compounds from Olive Mill Wastewater
Previous Article in Journal
Effects of the Most Appropriate Proportion of Phytohormones on Tree-Ring Growth in Clones of Hybrid Larch
 
 
Font Type:
Arial Georgia Verdana
Font Size:
Aa Aa Aa
Line Spacing:
Column Width:
Background:
Article

Can Africa Serve Europe with Hydrogen Energy from Its Renewables?—Assessing the Economics of Shipping Hydrogen and Hydrogen Carriers to Europe from Different Parts of the Continent

by
Ephraim Bonah Agyekum
1,*,
Jeffrey Dankwa Ampah
2,
Solomon Eghosa Uhunamure
3,*,
Karabo Shale
3,
Ifeoma Prisca Onyenegecha
4 and
Vladimir Ivanovich Velkin
1
1
Department of Nuclear and Renewable Energy, Ural Federal University Named after the First President of Russia Boris, 19 Mira Street, Ekaterinburg 620002, Russia
2
School of Environmental Science and Engineering, Tianjin University, Tianjin 300072, China
3
Faculty of Applied Sciences, Cape Peninsula University of Technology, P.O. Box 652, Cape Town 8000, South Africa
4
Department of Communication and Media Studies, Cyprus International University, Cyprus, Mersin 33010, Turkey
*
Authors to whom correspondence should be addressed.
Sustainability 2023, 15(8), 6509; https://doi.org/10.3390/su15086509
Submission received: 10 March 2023 / Revised: 7 April 2023 / Accepted: 10 April 2023 / Published: 12 April 2023

Abstract

There exists no single optimal way for transporting hydrogen and other hydrogen carriers from one port to the other globally. Its delivery depends on several factors such as the quantity, distance, economics, and the availability of the required infrastructure for its transportation. Europe has a strategy to invest in the production of green hydrogen in Africa to meet its needs. This study assessed the economic viability of shipping liquefied hydrogen (LH2) and hydrogen carriers to Germany from six African countries that have been identified as countries with great potential in the production of hydrogen. The results obtained suggest that the shipping of LH2 to Europe (Germany) will cost between 0.47 and 1.55 USD/kg H2 depending on the distance of travel for the ship. Similarly, the transportation of hydrogen carriers could range from 0.19 to 0.55 USD/kg H2 for ammonia, 0.25 to 0.77 USD/kg H2 for LNG, 0.24 to 0.73 USD/kg H2 for methanol, and 0.43 to 1.28 USD/kg H2 for liquid organic hydrogen carriers (LOHCs). Ammonia was found to be the ideal hydrogen carrier since it recorded the least transportation cost. A sensitivity analysis conducted indicates that an increase in the economic life by 5 years could averagely decrease the cost of LNG by some 13.9%, NH3 by 13.2%, methanol by 7.9%, LOHC by 8.03%, and LH2 by 12.41% under a constant distance of 6470 nautical miles. The study concludes with a suggestion that if both foreign and local participation in the development of the hydrogen market is increased in Africa, the continent could supply LH2 and other hydrogen carriers to Europe at a cheaper price using clean fuel.

1. Introduction

The need to meet the world’s increasing energy demands while meeting the greenhouse gas (GHG) emission reduction goals as presented at the United Nations Climate Change Conference (COP 21) [1] simultaneously remains a challenge in most countries. It is therefore necessary to invest in renewable energy sources (RESs) and integrate them into the energy generation mix of various countries [2]. The variation and intermittency of some of these RESs (i.e., wind and solar) mostly lead to a mismatch between demand and supply, which requires a way out in the form of energy storage [3,4]. The use of energy carriers such as ammonia (NH3) and hydrogen (H2) allows the utilization of long-distance renewable energies (REs) by matching the intermittent energy generation to the continuous demand for energy. The value chain of energy includes the process of generating, storing, transporting, distributing, and utilizing the produced energy [5].
Power-to-X (PtX) is the integration of REs beyond direct electrification into energy, industry, mobility, and other private sectors through H2-based RE carriers. PtX can help reduce the dependence on fossil fuels if powered by renewable electricity. It is seen as the cornerstone for integrated energy systems and, as such, the closing of the carbon cycle [6]. Hydrogen production and transport are increasingly obtaining more attention globally, as it has the potential to replace carbon-based fuels such as oil, coal, and gas as energy commodities worldwide. The trading of hydrogen enables countries that are import-dependent with limited resources for RE generation to replace their fossil fuels through the importation of clean hydrogen-based energy carriers. As a result, opportunities for the exportation of such resources keep opening for countries with the potential to produce them sustainably [7]. Several options for the transportation of hydrogen overseas have been discussed; this includes the transport of liquid organic hydrogen carriers (LOHCs), cryogenic hydrogen, or energy carriers such as methanol or ammonia [6,7,8,9].
The H2 market is projected to be a large market in the near future [10], its trade is expected to be largely determined by both geopolitical and economic considerations, and an important driver of this market will be the distribution of RE. Countries with many RE resources can leverage the decreasing electrolysis technology’s cost to reduce the cost of producing hydrogen and export it to other countries with scarce RE resources. Countries such as Morocco, Australia, the United States, Chile, those in the Middle East, and Norway have been identified as potential ‘Renewable Exporters’, while Japan, Germany, Korea, China, and the Netherlands are regarded as ‘Renewable Importers’. The main cost associated with hydrogen supply includes the production cost, intermediate storage costs, liquefaction cost (or conversion, determined by the type of hydrogen carrier), and transportation cost [11].
Several studies assessed the techno-economics of transporting hydrogen from one country to the other to know the cost-effectiveness of such a venture. Heuser et al. [2] estimated the potential technical and economic energy trading connection between Japan and Patagonia based on clean hydrogen. They concluded that Patagonia’s wind power potential could be theoretically adequate to meet an assumed 8.83 million tons/year hydrogen demand for Japan. The cost of hydrogen pre-tax at liquid state was estimated to be 4.40 EUR/kg H2 at the Yokohama harbor.
Similarly, Hampp et al. [12] examined the cost of various import options of chemical energy carriers produced by RES to Germany. According to their study, there is no energy carrier or single exporting country that has a distinctive cost advantage because every country and energy carrier has other cost-competitive options. They found that the lowest-cost method of importing hydrogen and energy is through hydrogen pipelines from western Asia, Spain, Denmark, and northern Africa. In other studies, Ref. [13] investigated the cost of transporting ammonia and hydrogen from Norway to Europe and Japan. It was found that the liquefied hydrogen (LH2) chain would be more efficient with a relatively smaller CO2 footprint (23 and 20 kg-CO2/MWhth for Japan and Europe, respectively) than the ammonia chain (76 and 122 kg-CO2/MWhth). The cost of delivery of hydrogen to Rotterdam for LH2 was found to be 5.0 EUR/kg-H2 compared to 5.9 EUR/kg-H2 for NH3. Wietschel and Hasenauer [14] conducted a study to assess hydrogen transport between countries that produce hydrogen and energy carriers and countries that demand hydrogen. The analysis indicated that Norway and Iceland could play a major role in supplying RE hydrogen. Niermann et al. [15] assessed the transport of hydrogen by employing different LOHCs and matching the outcome against hydrogen gas pipeline systems to deliver the energy carrier to Germany over a 5000 km distance. Kamiya et al. [16] also assessed the effectiveness of introducing carbon-free energy in Japan, and they estimated the cost of transportation of hydrogen to be 0.67 USD/kg H2. Chapman et al. [17] analyzed the supply of liquid hydrogen from Australia to Japan by comparing three different scenarios (i.e., coal, solar, and a combination of onshore wind and solar). The outcome of their study identified the lowest cost of transportation to be 0.18 USD/kg H2. Furthermore, Schorn et al. [18] evaluated the potential to import renewable energy methanol consisting of H2 and CO2. Methanol could be imported for 370–600 EUR/t with a projected hydrogen production cost of 1.35–2 EUR/kg for renewables. Finally, the following studies [19,20] evaluated the potential to export hydrogen and energy carriers from parts of the world to Europe.
The studies reviewed supra were conducted with the need for the world to direct its energy production to other sustainable energy sources. Hydrogen is expected to play a substantial role in meeting the world’s energy demand, and its production and transportation at key locations around the world ought to be assessed to know its viability. Recent studies have made the case for hydrogen production using renewable energy such as solar, wind, hydropower, geothermal, etc. [21,22]. The African continent is home to all these RE resources; in fact, the European Union (EU) has made ambitious plans to import hydrogen from Africa in its 2020 Hydrogen Strategy, and a large percentage is projected to be from North Africa by 2030 [23]. The European Investment Bank commenced engagement with its partners in Africa to harness its RE for low-cost hydrogen production [24].
Despite the African continent’s huge potential to produce green hydrogen, very little information exists in the literature on the cost of transportation of hydrogen gas and its carriers across the continent to Europe. Most studies as reviewed in the earlier sections concentrated on transportation between Australia and Europe or Asia and Europe, leaving out Africa and Europe. This study seeks to bridge that gap and provide a comprehensive overview of the cost of transportation from different locations on the African continent to Europe, specifically Germany. Most studies in the literature as reviewed in earlier paragraphs were conducted along a single route to their importing countries; this study, however, assessed it from different exporting countries to one importing country. This study also assessed the potential of using hydrogen as fuel for the ship rather than the conventional marine fuels used by the studies reviewed in this study. This is intended to help cut down the negative impact of such fuels on the environment. The selection of the countries is based on a report by [25] that identified six potential countries (Kenya, Egypt, Morocco, South Africa, Mauritania, and Namibia) in Africa as countries with high hydrogen export potential. According to the research, the African continent could increase its gross domestic product (GDP) by 6 to 12% through the development of green hydrogen. The outcome of this study is expected to help shape the conversation around the continent’s hydrogen potential and give policymakers the needed information for the development of the sector.
The study is organized as follows: the materials and method used for the estimation are presented in Section 2, the obtained results are presented in Section 3, and the conclusions are presented in Section 4 of the paper.

2. Materials and Methods

This study used the HySupply Shipping Analysis Tool designed by [26] to model the cost of shipping hydrogen (LH2) and other hydrogen carriers such as methanol, ammonia, LOHC (as toluene/methylcyclohexane (TOL/MCH)), and methane (LNG) from one location to the other. All relevant shipping costs and the shipping route are input by the user. The tool consists of a broad array of costs meant to emulate a close-to-reality analysis for hydrogen and hydrogen carrier shipping. The cost consists of storage investment, ship investment, labor, additional capital costs, maintenance, canal port, storage operating costs, insurance, fuel, carbon emissions, additional operating costs, and boil-off gas (BOG) costs. The levelized cost of transportation through shipping is computed by finding the ratio between the total annual costs and the annual total energy delivered; this is carried out to help in comparing the difference between the various transport mediums. The total delivered energy depends on the ship’s storage capacity (tonnes) and the trips made per year, which is also influenced by the speed of the ship, the length of the shipping route, the availability of the ship (i.e., days per year the ship is available for operations), and the time spent docking at the port [27].
The study’s boundary conditions are presented in Figure 1. The area with the navy-blue color is the area of interest and consideration in this study. Other areas before and after the navy-blue color are not part of the current study. It is assumed in this study that there exists no cost of distribution between the ship and storage, i.e., the intermediate storage is assumed to be at the exporting and receiving ports. The hydrogen carriers also fall under this boundary condition equally [11].
The various locations (export countries) and their distances to the port of interest in this paper, i.e., Blexen Port in Germany, are presented in Table 1. The distances between the export and import ports were obtained from the Sea Distances website [28].

2.1. Mathematical Relations Governing the Modeling

The mathematics behind the modeling of the cost associated with the shipping of the LH2 and the hydrogen carriers are presented in this section. All mathematical relations in this section were obtained from [11,26] unless otherwise referenced. In the economic calculations, the annual costs are all estimated in USD million/year.
  • Route Calculations
One round trip consists of the travel time of the ship in both ways in addition to two times the days at port days (a period each to load and unload).
Day one way   ( days ) = Distance   ( nautical miles ) Speed   ( knots ) × 24
T o t a l   t r i p   t i m e d a y s = 2 × D a y   s o n e   w a y + 2 × P o r t   d a y s
The operational day for each year is then divided by the entire trip time to estimate the trips per annum.
A n n u a l   t r i p s = D a y s   p e r   y e a r   i n   o p e r a t i o n T o t a l   t r i p   t i m e
A n n u a l   s a i l i n g   d a y s = A n n u a l   t r i p s × D a y s   o n e   w a y × 2
The yearly cost of fuel and BOG are estimated using the annual sailing days.
  • Operating Costs (OC)
The OC refers to the cost associated with the running of the project; in this case, it is the port, canal, labor, insurance, miscellaneous, BOG, and additional operating costs.
S h i p   e n e r g y   r e q u i r e d   ( M W h d a y ) = S h i p   e n g i n e   c a p a c i t y × 24 S h i p   e n g i n e   e f f i c i e n c y ( % )
F u e l   u s e t o n n e s d a y = S h i p   e n e r g y   r e q u i r e d M W h d a y × 3.6 F u e l   e n e r g y   c o n t e n t M J k g
R e q u i r e d   f u e l t o n n e s = A n n u a l   s a i l i n g   d a y s × F u e l   u s e t o n n e s d a y
A n n u a l   f u e l   c o s t $ U S D = R e q u i r e d   f u e l t o n n e s × F u e l   c o s t $ t o n n e
The annual fuel cost turns into Equation (9) if the source of fuel is BOG (when the ship is propelled by a hydrogen carrier, for instance, methanol, ammonia, or LNG, or hydrogen.
A n n u a l   f u e l   c o s t $ U S D = A n n u a l   B O G k g × L o w e r   H e a t i n g   V a l u e M J k g 1000 × H y d r o g e n   c a r r i e r   m a r k e t   p r i c e $ G J
The yearly BOG is either equivalent to the quantity of the BOG that naturally occurs (i.e., when the quantity is more than the quantity of the needed BOG for the ship’s fueling) or, if forced BOG is needed for the fueling of the ship, the quantity needed for the ship’s fueling.
A n n u a l   B O G t o n n e s = A n n u a l   s a i l i n g   d a y s × T r a n s p o r t a t i o n   B O G % × S h i p   c a p a c i t y   ( k g ) × 1 1000
Equation (11) is employed in the calculation of the annual BOG in cases where the value in the earlier equation is not large enough to meet the ship’s fuel requirements.
A n n u a l   B O G = R e q u i r e d   f u e l
The annual cost of the canal is calculated using Equation (12).
A n n u a l   c a n a l   c o s t = S u e z   c a n a l   c o s t + P a n a m a   c a n a l   c o s t ×   2   ×   A n n u a l   t r i p s
In this case, the Panama and Suez canals’ cost will only be used if that route will be used during the shipping.
The cost of annual maintenance is estimated using Equation (13).
A n n u a l   M a i n t e n a n c e   C o s t = S h i p   C a p i t a l   C o s t × M a i n t e n a n c e   C o s t ( % )
Annual Shipping BOG Cost ( $ USD ) = A n n u a l   S a i l i n g   D a y s d a y s × T r a n s p o r t a t i o n   B O G % d a y × S h i p   C a p a c i t y ( k g ) × L o w e r   H e a t i n g   V a l u e M J k g × H y d r o g e n   C a r r i e r   M a r k e t   P r i c e $ G J 1000
It must be noted that in the situation whereby the fuel source for the ship is BOG, it becomes zero, and its cost is contained in the cost of fuel.
A n n u a l   S t o r a g e B O G   c o s t $ U S D = S t o r a g e   B O G   r a t e % d a y × N o m i n a l   C a p a c i t y m 3 2 × D e n s i t y k g m 3 × 365 × L o w e r   H e a t i n g   V a l u e M J k g 1000 × M a r k e t   p r i c e $ G J
This, however, applies to the import and export terminal storage.
A n n u a l   C a r b o n   C o s t $ U S D = R e q u i r e d   f u e l t o n n e s × F u e l   c a r b o n   e m m i s i o n s g C O 2 g F u e l × C a r b o n   p r i c e $ t o n n e
A n n u a l   O P E X = L a b o u r   C o s t + A n n u a l   C a n a l   C o s t s + A n n u a l   P o r t   c o s t + A n n u a l   M a i n t e n a n c e   C o s t + A n n u a l   M i s c e l l a n e o u s   C o s t + A n n u a l   I n s u r a n c e   C o s t + A n n u a l   F u e l   C o s t + A n n u a l   B O G   C o s t + A n n u a l   C a r b o n   C o s t
  • Capital Costs
The annual capital expenditure (CAPEX) for the process can be computed by finding the product of the capital cost and the capital recovery factor (CRF). The CRF is the ratio of a constant annuity to the present value of receiving that annuity for a particular period. The CRF is mathematically expressed as presented in Equation (18).
C R F = i × 1 + i N 1 + i N 1
where the interest rate is denoted by i and the period is represented with N . A 6% interest rate results in a CRF of 8.718% within a period of 20 years, which is used in the calculations.
The capital cost for the storage can be computed using Equation (19).
S t o r a g e   C a p i t a l   C o s t = R e f e r e n c e   C o s t × N o m i n a l   C a p a c i t y R e f e r e n c e   C a p a c i t y S c a l e   C o e f f i c i e n t
The addition of the annual costs for storage and costs for the ship investment gives the annual CAPEX.
A n n u a l   C A P E X   =   C R F   ×   S h i p   C a p i t a l   C o s t + C R F × S t o r a g e   C a p i t a l   C o s t
  • Total Costs
A n n u a l   d e l i v e r e d   q u a n t i t y k g = A n n u a l   t r i p s × S h i p   c a p a c i t y   ( k g )
A n n u a l   d e l i v e r e d q u a n t i t y G J = A n n u a l   d e l i v e r e d   q u a n t i t y   ( k g ) × L o w e r   h e a t i n g   v a l u e M J k g 1000
T o t a l   a n n u a l   c o s t = A n n u a l   C A P E X   +   A n n u a l   O P E X
C o s t   P e r   G J   T r a n s p o r t   M e d i u m $ G J = T o t a l   A n n u a l   C o s t ( $ ) A n n u a l   D e l i v e r e d   Q u a n t i t y ( G J )
C o s t   P e r   k g   T r a n s p o r t   M e d i u m $ k g = T o t a l   A n n u a l   C o s t ( $ ) A n n u a l   D e l i v e r e d   Q u a n t i t y   ( k g )
C o s t   p e r   k g   H 2   =   C o s t   p e r   k g   t r a n s p o r t   m e d i u m   ×   1 M a s s   c o n v e r s i o n

2.2. Key Assumptions and Scenarios Used in This Study

The study considered a single scenario where the fuel source for the ship is clean energy (i.e., hydrogen). The ship operates at a speed of 20 knots [29] with an operation period of 350 days per year and a capacity of 160,000 m3 [11,29]. The engine capacity of the ship is taken to be 30.5 MW [11,30,31]. Key assumptions used for this scenario are presented in Table 2.

3. Results and Discussion

The results for the countries studied are presented in this section. These are Kenya, Egypt, Morocco, South Africa, Mauritania, and Namibia, and the reason for selecting these countries is already presented supra. The cost of shipping transportation from these countries to Port Blexen in Germany was estimated for hydrogen, ammonia, LNG, methanol, and LOHC (TOL/MCH). A single fuel source for shipping, i.e., hydrogen, was used for all estimations for the six countries.

3.1. Cost Analysis

The expected cost per kg LH2 and cost per tonne for each transport medium are presented in Figure 2 for each of the studied countries. The highest LCOH and cost per tonne for each transport medium were recorded for liquefied hydrogen (LH2) compared to other hydrogen carriers. This is because LH2 has a relatively high capital cost for storage and ship cost as a result of the lower temperature that is needed for liquefaction compared to other hydrogen carriers [32]. Although LH2 is pure in nature, it needs a large amount of energy for cooling (i.e., −253 °C). It is also because of the relatively high BOG rate (0.2–0.3%/d) [33,34] and low storage capacity of the LH2 ship, which ends up reducing the total delivered hydrogen to the port and increasing the levelized cost [11]. The least levelized cost for hydrogen was recorded between Port Agadir in Morocco and Blexen Port in Germany. It recorded 0.47 USD/kg H2 (LH2) using hydrogen as the transport medium, and comparing this to other values obtained by [15], their study obtained 0.1 EUR/kg H2 (LH2) for transportation between Algiers in Algeria and Hamburg in Germany. Similarly, a cost of 0.41 EUR/kg H2 (LH2) was obtained by [31] in their study that considered hydrogen delivery cost from Australia to Japan. In another study by [35], a delivery cost between 2.73 and 8.02 USD/kg H2 was obtained. Heuser et al. [2], in their analysis of the cost of transportation based on clean hydrogen from Patagonia and Japan, obtained a cost of 1.13 EUR/kg H2 (LH2). The variations in the cost could be largely due to the distances that the ship must cover and differences in economic parameters such as interest rate and the economic lifetime. The highest levelized cost among the six countries studied occurs in the distance between South Africa (Port Mossel Bay) and the importing country (Germany); a cost of 1.55 USD/kg H2 was recorded along that route. Ammonia (NH3) proved to be the hydrogen carrier with the lowest cost followed by methanol, which is in agreement with earlier studies such as [11,29]. LOHC is the second highest after hydrogen in terms of cost per kg for all six studied countries.
The variations among countries in relation to the cost of hydrogen and the hydrogen carriers are significant; it means that the importation of such fuels from one country to the other will be largely driven by some other factors when an importer is confronted with that decision. Countries and investors on the continent with high costs will have to put in place the right measures to drive down the cost in order to attract importing countries to them for trade agreements.
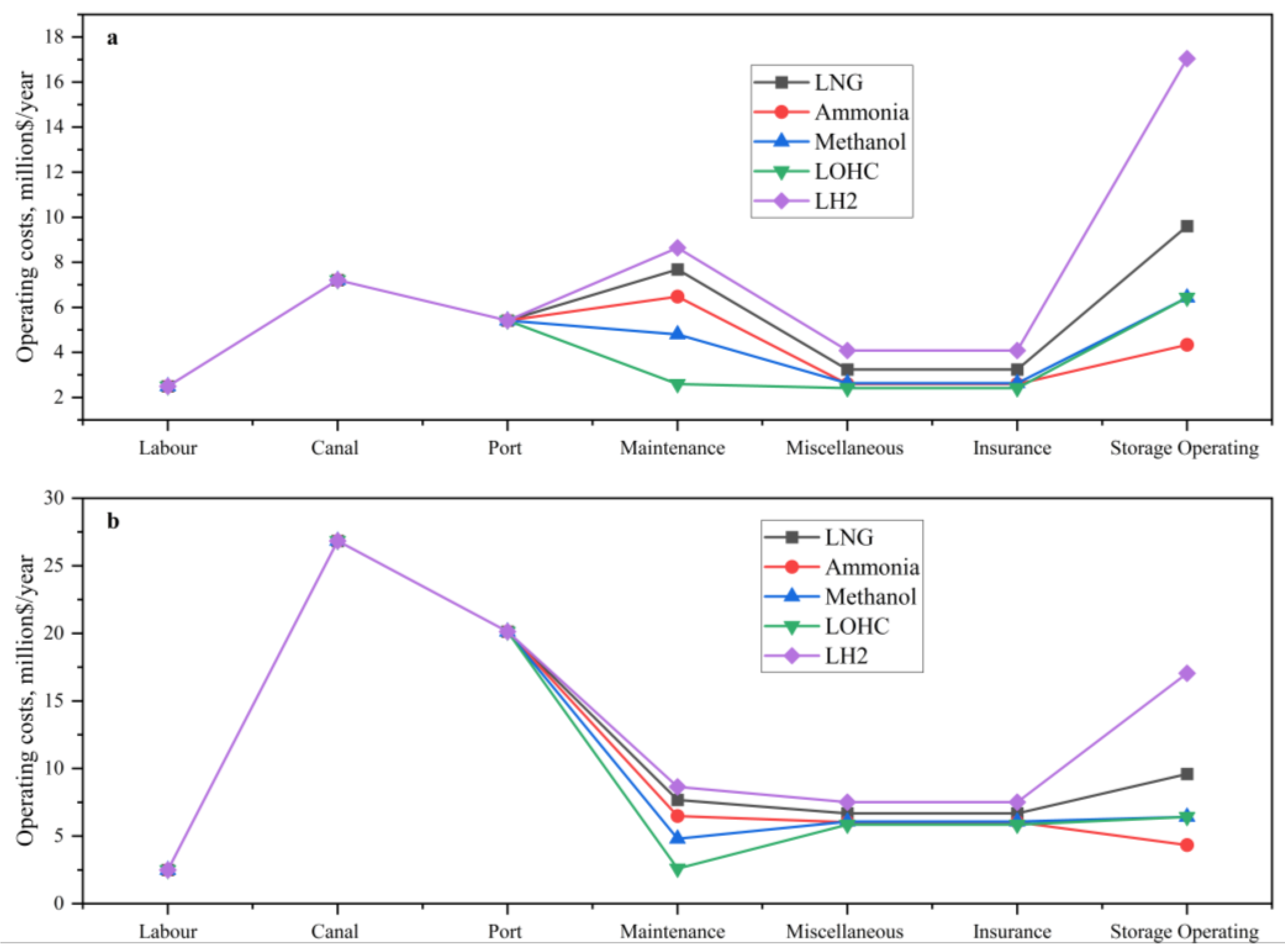
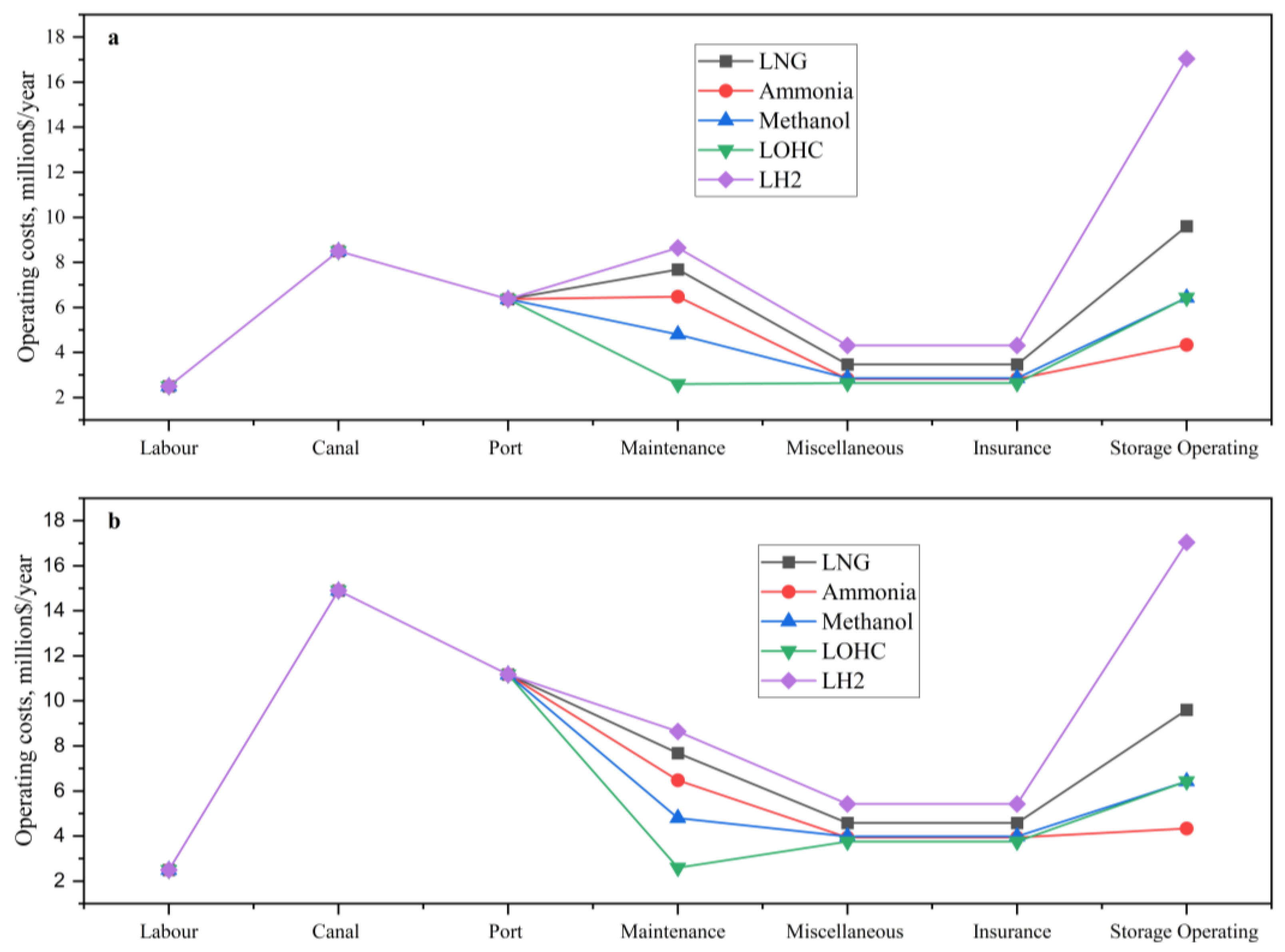
In terms of the cost of a canal for countries that require the ship to use that channel, storage operating cost and maintenance cost are the major operating costs that affect the shipping process. The storage operating cost of liquefied hydrogen is higher than the other hydrogen carriers due to the high cryogenic storage requirements for LH2 as well as the materials needed for the seals and tanks. Even though LNG generates more BOG during storage, it has a relatively higher coefficient of performance for its re-liquefaction system compared to that of LH2; it therefore needs less energy for BOG recovering compared to that of hydrogen. Methanol and ammonia also have an advantage in terms of energy consumption because it consumes no or little energy during the storage phase, which means that they can be employed as LNG or hydrogen storage carriers since they are adequate for storage [36]. The labor, canal, port, maintenance, miscellaneous, insurance, and storage costs for the various countries as estimated are presented in Figure 3, Figure 4 and Figure 5, excluding BOG and fuel costs. It is clear from the figures that the shorter distances between Egypt and Morocco led to more trips per year by ship. For instance, whereas there were 9.02 trips per year between South Africa and the port of import (i.e., Germany), there were 33.56 and 18.62 trips for the year for Morocco and Egypt, respectively. Mauritania, Namibia, and Kenya also recorded 26.66, 12.98, and 11.68 trips, respectively. This resulted in high charges for labor, canal, port, maintenance, miscellaneous, insurance, and storage according to the calculations. This is because the more trips per year by ship, the higher the cost of its operation.
The delivered quantities of liquefied hydrogen and the hydrogen carriers at the importing port are presented in Table 3. The total delivered quantities are dependent on the ship speed, shipping route length, time at port, and days per year the ship is available for operation. The highest delivered quantity was found for ammonia for all six countries. In all of the estimations, ammonia has proven to be the best hydrogen carrier with the minimum storage capital cost of 9.46 million USD/year. This is confirmed in a similar study by [11]. Hydrogen recorded the highest storage capital cost of 37.15 million USD/year followed by LNG with 20.93 million USD/year and LOHC and methanol with 14.01 million USD/year, the values of which were obtained from the computations. This could be due to the density of liquefied NH3, which is nearly ten times more than that of LH2 (approximately 686 kg/m3 against 71.1 kg/m3). Even though its gravimetric hydrogen content will be about 17.65 wt% under these circumstances, which is far less than 100 wt% for that of LH2, NH3 has a high volumetric H2 content, which is approximately 107.7 kg H2/m3 compared to 71.1 kg H2/m3 for liquid hydrogen. In fact, liquid ammonia’s volumetric and gravimetric hydrogen contents will be more than those of LOHC toluene/MCH [37]. With its (NH3) relatively high boiling temperature (−33 °C), it will have lower thermodynamic (BOG) losses during storage and transportation. This implies that more H2 can be delivered in the form of NH3 compared to hydrogen directly. However, whereas methanol and MCH are already in liquid form under ambient conditions, NH3 will need liquefaction, which could come with additional costs and potential energy losses [37] that ought to be looked at in further studies.

3.2. Sensitivity Assessment

An assessment of the sensitivity of certain key parameters in the cost build-up for the transportation of hydrogen and hydrogen carriers from the place of export to the selected destination is performed in this section. Key parameters such as interest rate, distance to the port of import, and economic lifespan were investigated. The interest rate variation was calculated on the farthest distance from Europe in this study, i.e., South Africa, which has a route distance of 8593 nautical miles, with an assumption that all such travels go through the Suez Canal. The impact of interest rate on the cost per kg of hydrogen as presented in Figure 6a indicates a significant effect. The effect of an interest rate increase is mostly felt in the cost of hydrogen compared to the other hydrogen carriers. For instance, according to the obtained results, increasing the interest rate by 2% could lead to an increase in hydrogen cost on average by 6.21% compared to 4.09%, 4.41%, 5.63%, and 3.77% for LOHC, methanol, LNG, and ammonia, respectively. Ammonia in this instance is the hydrogen carrier that recorded the least amount of sensitivity in relation to increases in the interest rate.
Similarly, according to Figure 6b, the route distance of the ship had an increasing effect on the cost of the imported product. Hydrogen once again was the most sensitive; it showed that a 5000 nautical mile increase will lead to at least a 47.5% increase in the cost of hydrogen. For the other hydrogen carriers, such an increase could lead to an increase of 41.46% (LNG), 43.75% (NH3), 45.1% (methanol), and 47% for LOHC. The storage BOG for the hydrogen also increased with increasing shipping route distance. The impact of economic lifetime on the cost of liquefied hydrogen and its carriers is also presented in Figure 6c. The effect of economic lifetime on the cost of the LH2 and the other energy carriers has been found to be very significant. The estimations suggest that economic lifetime has a decreasing effect on the cost of liquefied hydrogen and its energy carriers during shipping. Increasing the economic life by some 5 years decreases the cost of LNG by 13.9%, NH3 by 13.2%, methanol by 7.9%, LOHC by 8.03%, and hydrogen by 12.41% under a constant distance of 6470 nautical miles. A study [38] found that a 5000 km distance could cost around 1.14 USD/kg H2 using hydrogen as the transport fuel.
An assessment of the outcome of the sensitive analysis shows that African countries have the potential to transport hydrogen and its carriers to Europe—in this case, Germany—at a relatively cheaper cost compared to what is reported in studies such as [11,39], which projected a competitive production cost of 1.5–2.0 kg H2. Demir and Dincer [35] also indicated a projected delivery cost of 2.73–8.02 USD/kg H2, which is far higher than what was obtained in this study. This is an indication that if both foreign and local participation in the development of the hydrogen market is increased in Africa, the continent could supply hydrogen and other hydrogen carriers to other parts of the world at a cheaper price using clean fuel.

4. Conclusions

Hydrogen and hydrogen energy carriers have in recent times gained attention across the globe due to their high energy potential and the ability to produce them from renewable energy sources. Their production, transportation, and storage are all key research areas that have gained increased research attention, but when it comes to their transportation, there exists no single optimal way for transporting them from one port to the other. Its delivery depends on a number of factors such as the quantity, distance, economics, and the availability of the required infrastructure for its transportation. This study therefore assessed the economic viability of transporting liquefied hydrogen and other hydrogen carriers from six highly production potential countries in Africa to the Blexen Port in Germany. The results obtained suggest that the shipping of hydrogen to Europe will cost between 0.47 and 1.55 USD/kg H2 depending on the distance of travel for the ship. Similarly, the transportation of hydrogen carriers could range from 0.19 to 0.55 USD/kg H2 for ammonia, 0.25 to 0.77 USD/kg H2 for LNG, 0.24 to 0.73 USD/kg H2 for methanol, and 0.43 to 1.28 USD/kg H2 for LOHC. The distance from the port of export to the port of import had a significant impact on the total trips per year. For instance, while there were 9.02 per year from South Africa to the port of import (i.e., Germany), there were 33.56 and 18.62 trips for the year for Morocco and Egypt, respectively. Mauritania, Namibia, and Kenya also recorded 26.66, 12.98, and 11.68 trips, respectively. Ammonia was found to be the ideal hydrogen carrier if only shipping costs are taken into account since it recorded the lowest transportation cost. This is an indication that if both foreign and local participation in the development of the hydrogen market is increased in Africa, the continent can supply hydrogen and other hydrogen carriers to Europe at a cheaper price using clean fuel. Increasing the economic life by some 5 years decreases the cost of LNG by 13.9%, NH3 by 13.2%, methanol by 7.9%, LOHC by 8.03%, and hydrogen by 12.41% under a constant distance of 6470 nautical miles.
Since this study did not take into consideration the full chain from production to delivery at the intended port of delivery, in order to understand the cost associated with the production, storage, transportation, and distribution chain of both hydrogen and its carriers from the African continent to Europe, it is important to aggressively assess the entire cost along the chain in future studies.

Author Contributions

Conceptualization, E.B.A.; methodology, all; software and validation, E.B.A.; formal analysis, E.B.A.; investigation, E.B.A.; resources, E.B.A., J.D.A., I.P.O. and V.I.V.; data curation, E.B.A.; writing—original draft preparation, all; writing—review and editing, all; project administration, E.B.A.; funding acquisition, E.B.A., S.E.U. and K.S. All authors have read and agreed to the published version of the manuscript.

Funding

The research funding was from the Ministry of Science and Higher Education of the Russian Federation (Tolerant Efficient Energy Based on Renewable Energy Sources) grant number: N 975.42. Young Scientist laboratory 323/22. The Postdoctoral Research Grant Directorate of the Cape Peninsula University of Technology of South Africa is also acknowledged.

Institutional Review Board Statement

Not applicable.

Informed Consent Statement

Not applicable.

Data Availability Statement

The data used are provided in the main text.

Conflicts of Interest

The authors declare no conflict of interest.

References

  1. IPCC. Global Warming of 1.5 °C. 2018. Available online: https://www.ipcc.ch/site/assets/uploads/2018/02/ipcc_wg3_ar5_chapter8.pdf (accessed on 5 February 2023).
  2. Heuser, P.-M.; Ryberg, D.S.; Grube, T.; Robinius, M.; Stolten, D. Techno-Economic Analysis of a Potential Energy Trading Link between Patagonia and Japan Based on CO2 Free Hydrogen. Int. J. Hydrog. Energy 2019, 44, 12733–12747. [Google Scholar] [CrossRef]
  3. Agyekum, E.B.; Velkin, V.I. Optimization and Techno-Economic Assessment of Concentrated Solar Power (CSP) in South-Western Africa: A Case Study on Ghana. Sustain. Energy Technol. Assess. 2020, 40, 100763. [Google Scholar] [CrossRef]
  4. Agyekum, E.B.; Nutakor, C. Feasibility Study and Economic Analysis of Stand-Alone Hybrid Energy System for Southern Ghana. Sustain. Energy Technol. Assess. 2020, 39, 100695. [Google Scholar] [CrossRef]
  5. Kim, J.; Huh, C.; Seo, Y. End-to-End Value Chain Analysis of Isolated Renewable Energy Using Hydrogen and Ammonia Energy Carrier. Energy Convers. Manag. 2022, 254, 115247. [Google Scholar] [CrossRef]
  6. Hank, C.; Sternberg, A.; Köppel, N.; Holst, M.; Smolinka, T.; Schaadt, A.; Hebling, C.; Henning, H.-M. Energy Efficiency and Economic Assessment of Imported Energy Carriers Based on Renewable Electricity. Sustain. Energy Fuels 2020, 4, 2256–2273. [Google Scholar] [CrossRef]
  7. Egerer, J.; Grimm, V.; Niazmand, K.; Runge, P. The Economics of Global Green Ammonia Trade—“Shipping Australian Wind and Sunshine to Germany”. Appl. Energy 2023, 334, 120662. [Google Scholar] [CrossRef]
  8. Salmon, N.; Bañares-Alcántara, R. Impact of Grid Connectivity on Cost and Location of Green Ammonia Production: Australia as a Case Study. Energy Environ. Sci. 2021, 14, 6655–6671. [Google Scholar] [CrossRef]
  9. Niermann, M.; Timmerberg, S.; Drünert, S.; Kaltschmitt, M. Liquid Organic Hydrogen Carriers and Alternatives for International Transport of Renewable Hydrogen. Renew. Sustain. Energy Rev. 2021, 135, 110171. [Google Scholar] [CrossRef]
  10. Agyekum, E.B.; Nutakor, C.; Agwa, A.M.; Kamel, S. A Critical Review of Renewable Hydrogen Production Methods: Factors Affecting Their Scale-Up and Its Role in Future Energy Generation. Membranes 2022, 12, 173. [Google Scholar] [CrossRef]
  11. Johnston, C.; Ali Khan, M.H.; Amal, R.; Daiyan, R.; MacGill, I. Shipping the Sunshine: An Open-Source Model for Costing Renewable Hydrogen Transport from Australia. Int. J. Hydrog. Energy 2022, 47, 20362–20377. [Google Scholar] [CrossRef]
  12. Hampp, J.; Düren, M.; Brown, T. Import Options for Chemical Energy Carriers from Renewable Sources to Germany. PLoS ONE 2023, 18, e0262340. [Google Scholar] [CrossRef] [PubMed]
  13. Ishimoto, Y.; Voldsund, M.; Nekså, P.; Roussanaly, S.; Berstad, D.; Gardarsdottir, S.O. Large-Scale Production and Transport of Hydrogen from Norway to Europe and Japan: Value Chain Analysis and Comparison of Liquid Hydrogen and Ammonia as Energy Carriers. Int. J. Hydrog. Energy 2020, 45, 32865–32883. [Google Scholar] [CrossRef]
  14. Wietschel, M.; Hasenauer, U. Feasibility of Hydrogen Corridors between the EU and Its Neighbouring Countries. Renew. Energy 2007, 32, 2129–2146. [Google Scholar] [CrossRef]
  15. Niermann, M.; Drünert, S.; Kaltschmitt, M.; Bonhoff, K. Liquid Organic Hydrogen Carriers (LOHCs)—Techno-Economic Analysis of LOHCs in a Defined Process Chain. Energy Environ. Sci. 2019, 12, 290–307. [Google Scholar] [CrossRef]
  16. Kamiya, S.; Nishimura, M.; Harada, E. Study on Introduction of CO2 Free Energy to Japan with Liquid Hydrogen. Phys. Procedia 2015, 67, 11–19. [Google Scholar] [CrossRef]
  17. Chapman, A.J.; Fraser, T.; Itaoka, K. Hydrogen Import Pathway Comparison Framework Incorporating Cost and Social Preference: Case Studies from Australia to Japan. Int. J. Energy Res. 2017, 41, 2374–2391. [Google Scholar] [CrossRef]
  18. Schorn, F.; Breuer, J.L.; Samsun, R.C.; Schnorbus, T.; Heuser, B.; Peters, R.; Stolten, D. Methanol as a Renewable Energy Carrier: An Assessment of Production and Transportation Costs for Selected Global Locations. Adv. Appl. Energy 2021, 3, 100050. [Google Scholar] [CrossRef]
  19. Pfennig, M.; Böttger, D.; Häckner, B.; Geiger, D.; Zink, C.; Bisevic, A.; Jansen, L. Global GIS-Based Potential Analysis and Cost Assessment of Power-to-X Fuels in 2050. arXiv 2022, arXiv:2208.14887. [Google Scholar]
  20. Brändle, G.; Schönfisch, M.; Schulte, S. Estimating Long-Term Global Supply Costs for Low-Carbon Hydrogen. Appl. Energy 2021, 302, 117481. [Google Scholar] [CrossRef]
  21. Olateju, B.; Kumar, A. A Techno-Economic Assessment of Hydrogen Production from Hydropower in Western Canada for the Upgrading of Bitumen from Oil Sands. Energy 2016, 115, 604–614. [Google Scholar] [CrossRef]
  22. Verma, A.; Kumar, A. Life Cycle Assessment of Hydrogen Production from Underground Coal Gasification. Appl. Energy 2015, 147, 556–568. [Google Scholar] [CrossRef]
  23. Moro, E. A Hydrogen Strategy for a Balanced EU-Africa Partnership. Available online: https://www.euractiv.com/section/energy-environment/opinion/a-hydrogen-strategy-for-a-balanced-eu-africa-partnership/ (accessed on 12 February 2023).
  24. EIB. New Study Confirms €1 Trillion Africa’s Extraordinary Green Hydrogen Potential. Available online: https://www.eib.org/en/press/all/2022-574-new-study-confirms-eur-1-trillion-africa-s-extraordinary-green-hydrogen-potential (accessed on 12 February 2023).
  25. Owen-Burge, C. Green Hydrogen Could Sustainably Industrialise Africa and Boost GDP by 6 to 12% in Six Key Countries—New Report. Available online: https://climatechampions.unfccc.int/unlocking-africas-green-hydrogen-potential/ (accessed on 15 February 2023).
  26. Daiyan, R.; MacGill, I.; Johnston, C.; Khan, M. HySupply Shipping Analysis Tool V1.1 2021. Available online: https://www.globh2e.org.au/shipping-cost-tool (accessed on 5 February 2023).
  27. GlobH2E. HySupply Shipping Analysis. Available online: https://www.globh2e.org.au/shipping-cost-tool (accessed on 13 February 2023).
  28. Sea-Distances SEA-DISTANCES.ORG—Distances. Available online: https://sea-distances.org/ (accessed on 17 February 2023).
  29. Al-Breiki, M.; Bicer, Y. Comparative Cost Assessment of Sustainable Energy Carriers Produced from Natural Gas Accounting for Boil-off Gas and Social Cost of Carbon. Energy Rep. 2020, 6, 1897–1909. [Google Scholar] [CrossRef]
  30. Grljušić, M.; Medica, V.; Radica, G. Calculation of Efficiencies of a Ship Power Plant Operating with Waste Heat Recovery through Combined Heat and Power Production. Energies 2015, 8, 4273–4299. [Google Scholar] [CrossRef]
  31. Raab, M.; Maier, S.; Dietrich, R.-U. Comparative Techno-Economic Assessment of a Large-Scale Hydrogen Transport via Liquid Transport Media. Int. J. Hydrog. Energy 2021, 46, 11956–11968. [Google Scholar] [CrossRef]
  32. Wulf, C.; Zapp, P. Assessment of System Variations for Hydrogen Transport by Liquid Organic Hydrogen Carriers. Int. J. Hydrog. Energy 2018, 43, 11884–11895. [Google Scholar] [CrossRef]
  33. Wijayanta, A.T.; Oda, T.; Purnomo, C.W.; Kashiwagi, T.; Aziz, M. Liquid Hydrogen, Methylcyclohexane, and Ammonia as Potential Hydrogen Storage: Comparison Review. Int. J. Hydrog. Energy 2019, 44, 15026–15044. [Google Scholar] [CrossRef]
  34. Collis, J.; Schomäcker, R. Determining the Production and Transport Cost for H2 on a Global Scale. Front. Energy Res. 2022, 10, 909298. [Google Scholar] [CrossRef]
  35. Demir, M.E.; Dincer, I. Cost Assessment and Evaluation of Various Hydrogen Delivery Scenarios. Int. J. Hydrog. Energy 2018, 43, 10420–10430. [Google Scholar] [CrossRef]
  36. Song, Q.; Tinoco, R.R.; Yang, H.; Yang, Q.; Jiang, H.; Chen, Y.; Chen, H. A Comparative Study on Energy Efficiency of the Maritime Supply Chains for Liquefied Hydrogen, Ammonia, Methanol and Natural Gas. Carbon Capture Sci. Technol. 2022, 4, 100056. [Google Scholar] [CrossRef]
  37. Patonia, A.; Poudineh, R. Global Trade of Hydrogen: What Is the Best Way to Transfer Hydrogen over Long Distances? 2022. Available online: https://a9w7k6q9.stackpathcdn.com/wpcms/wp-content/uploads/2022/08/Global-trade-of-hydrogen-what-is-the-best-way-to-transfer-hydrogen-over-long-distances-ET16.pdf (accessed on 5 February 2023).
  38. Teichmann, D.; Arlt, W.; Wasserscheid, P. Liquid Organic Hydrogen Carriers as an Efficient Vector for the Transport and Storage of Renewable Energy. Int. J. Hydrog. Energy 2012, 37, 18118–18132. [Google Scholar] [CrossRef]
  39. Hydrogen Council. Path to Hydrogen Competitiveness a Cost Perspective. 2021. Available online: https://hydrogencouncil.com/wp-content/uploads/2020/01/Path-to-Hydrogen-Competitiveness_Full-Study-1.pdf (accessed on 5 February 2023).
Figure 1. Boundary conditions for the current study [11] (published under open access).
Figure 1. Boundary conditions for the current study [11] (published under open access).
Sustainability 15 06509 g001
Figure 2. Cost of shipping per kilogram (USD/kg) using hydrogen as fuel source.
Figure 2. Cost of shipping per kilogram (USD/kg) using hydrogen as fuel source.
Sustainability 15 06509 g002
Figure 3. Operating Costs (Excluding BOG & Fuel Costs) (a) Kenya (b) Egypt.
Figure 3. Operating Costs (Excluding BOG & Fuel Costs) (a) Kenya (b) Egypt.
Sustainability 15 06509 g003
Figure 4. Operating Costs (Excluding BOG and Fuel Costs): (a) Mauritania, (b) Namibia.
Figure 4. Operating Costs (Excluding BOG and Fuel Costs): (a) Mauritania, (b) Namibia.
Sustainability 15 06509 g004
Figure 5. Operating Costs (Excluding BOG and Fuel Costs): (a) South Africa, (b) Morocco.
Figure 5. Operating Costs (Excluding BOG and Fuel Costs): (a) South Africa, (b) Morocco.
Sustainability 15 06509 g005
Figure 6. Sensitivity analysis on some selected parameters: (a) interest rate, (b) distance of the shipping route, (c) economic lifetime.
Figure 6. Sensitivity analysis on some selected parameters: (a) interest rate, (b) distance of the shipping route, (c) economic lifetime.
Sustainability 15 06509 g006
Table 1. Route distances from export and import ports at a ship speed of 20 knots.
Table 1. Route distances from export and import ports at a ship speed of 20 knots.
CountryExport PortRoute Distance, Nautical Miles
KenyaMombasa6470
EgyptSafaga3791
MoroccoAgadir1783
South AfricaMossel Bay8593
MauritaniaNouadhibou2431
Namibia Walvis Bay5752
Table 2. Key assumptions used for the study of the hydrogen carriers.
Table 2. Key assumptions used for the study of the hydrogen carriers.
AssumptionValueReferences
Economic lifespan, years20[11]
Suez Canal Cost (one-way), million USD0.40[11]
Interest rate, %6%[9]
Port charges, million USD/day0.2[11]
Ship speed, knots20[29]
Miscellaneous Cost, % of OPEX10[29]
Storage OPEX, % of Storage CAPEX4[11]
Port days to load/unload, days1.5[11]
Ship Engine Efficiency50%[11,27]
Table 3. Delivered quantities of hydrogen and the hydrogen carriers.
Table 3. Delivered quantities of hydrogen and the hydrogen carriers.
CountryDelivered Quantity, Million kg
LNGNH3MethanolLOHCLH2
Kenya18321217474119
Morocco557637529243370
SA1381601315488
Namibia20523719584133
Mauritania439503417190291
Egypt302347286128198
Disclaimer/Publisher’s Note: The statements, opinions and data contained in all publications are solely those of the individual author(s) and contributor(s) and not of MDPI and/or the editor(s). MDPI and/or the editor(s) disclaim responsibility for any injury to people or property resulting from any ideas, methods, instructions or products referred to in the content.

Share and Cite

MDPI and ACS Style

Agyekum, E.B.; Ampah, J.D.; Uhunamure, S.E.; Shale, K.; Onyenegecha, I.P.; Velkin, V.I. Can Africa Serve Europe with Hydrogen Energy from Its Renewables?—Assessing the Economics of Shipping Hydrogen and Hydrogen Carriers to Europe from Different Parts of the Continent. Sustainability 2023, 15, 6509. https://doi.org/10.3390/su15086509

AMA Style

Agyekum EB, Ampah JD, Uhunamure SE, Shale K, Onyenegecha IP, Velkin VI. Can Africa Serve Europe with Hydrogen Energy from Its Renewables?—Assessing the Economics of Shipping Hydrogen and Hydrogen Carriers to Europe from Different Parts of the Continent. Sustainability. 2023; 15(8):6509. https://doi.org/10.3390/su15086509

Chicago/Turabian Style

Agyekum, Ephraim Bonah, Jeffrey Dankwa Ampah, Solomon Eghosa Uhunamure, Karabo Shale, Ifeoma Prisca Onyenegecha, and Vladimir Ivanovich Velkin. 2023. "Can Africa Serve Europe with Hydrogen Energy from Its Renewables?—Assessing the Economics of Shipping Hydrogen and Hydrogen Carriers to Europe from Different Parts of the Continent" Sustainability 15, no. 8: 6509. https://doi.org/10.3390/su15086509

APA Style

Agyekum, E. B., Ampah, J. D., Uhunamure, S. E., Shale, K., Onyenegecha, I. P., & Velkin, V. I. (2023). Can Africa Serve Europe with Hydrogen Energy from Its Renewables?—Assessing the Economics of Shipping Hydrogen and Hydrogen Carriers to Europe from Different Parts of the Continent. Sustainability, 15(8), 6509. https://doi.org/10.3390/su15086509

Note that from the first issue of 2016, this journal uses article numbers instead of page numbers. See further details here.

Article Metrics

Back to TopTop