Economic Growth Drivers in Romania: Evidence from a NARDL Analysis
Abstract
1. Introduction
2. Empirical Literature Review
3. Methodology and Data
3.1. Model for the Variables
3.2. NARDL Technique
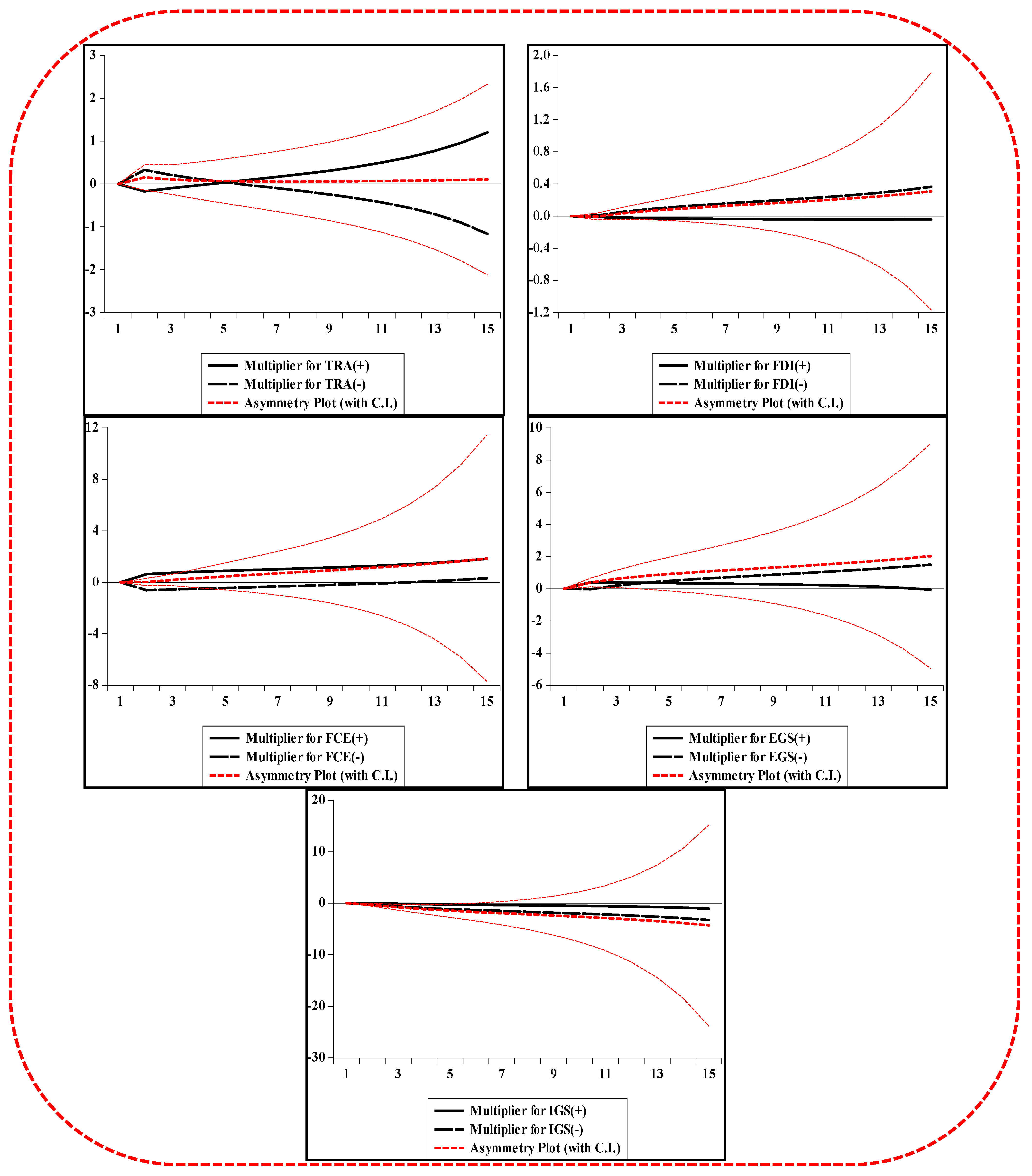
4. Study Empirical Findings and Discussion
4.1. Stationarity Testing Amid Variables
4.2. Bounds Testing to Cointegration
4.3. Cointegration Technique
4.4. Outcomes of Asymmetric Technique
5. Conclusions and Policy Directions
Author Contributions
Funding
Institutional Review Board Statement
Informed Consent Statement
Data Availability Statement
Conflicts of Interest
References
- Cristina, J.; Ioana, P.S.M. Some Determinants of Economic Growth in Romania: Foreign Trade and Foreign Direct Investments. 2020, pp. 229–235. Available online: https://citeseerx.ist.psu.edu/viewdoc/download?doi=10.1.1.598.8162&rep=rep1&type=pdf (accessed on 10 July 2022).
- Duarte, L.D.R.V.; Kedong, Y.; Xuemei, L. The relationship between FDI, economic growth and financial development in Cabo Verde. Int. J. Econ. Financ. 2017, 9, 132–142. [Google Scholar] [CrossRef]
- Bandelj, N. From communists to foreign capitalists. In From Communists to Foreign Capitalists; Princeton University Press: Princeton, NJ, USA, 2011. [Google Scholar]
- Cichock, M.A. From Communists to Foreign Capitalists: The Social Foundations of Foreign Direct Investment in Postsocialist Europe. Contemp. Sociol. 2009, 38, 171. [Google Scholar] [CrossRef]
- Moraru, C. Foreign direct investment and economic growth in Romania. Theor. Appl. Econ. 2013, 20, 125–134. [Google Scholar]
- Almfraji, M.A.; Almsafir, M.K. Foreign direct investment and economic growth literature review from 1994 to 2012. Procedia-Soc. Behav. Sci. 2014, 129, 206–213. [Google Scholar] [CrossRef]
- Chowdhury, M. Financial development, remittances and economic growth: Evidence using a dynamic panel estimation. Margin J. Appl. Econ. Res. 2016, 10, 35–54. [Google Scholar] [CrossRef]
- Alzaidy, G.; Ahmad, M.N.B.N.; Lacheheb, Z. The impact of foreign-direct investment on economic growth in Malaysia: The role of financial development. Int. J. Econ. Financ. Issues 2017, 7, 382–388. [Google Scholar]
- Fukase, E. Revisiting linkages between openness, education and economic growth: System GMM approach. J. Econ. Integr. 2010, 25, 193–222. [Google Scholar] [CrossRef]
- Tahir, M.; Azid, T. The relationship between international trade openness and economic growth in the developing economies: Some new dimensions. J. Chin. Econ. Foreign Trade Stud. 2015, 8, 123–139. [Google Scholar] [CrossRef]
- Singh, T. Does international trade cause economic growth? A survey. World Econ. 2010, 33, 1517–1564. [Google Scholar] [CrossRef]
- Asongu, S.A.; Nwachukwu, J.C. The mobile phone in the diffusion of knowledge for institutional quality in sub-Saharan Africa. World Dev. 2016, 86, 133–147. [Google Scholar] [CrossRef]
- Meijers, H. Does the internet generate economic growth, international trade, or both? Int. Econ. Econ. Policy 2014, 11, 137–163. [Google Scholar] [CrossRef]
- Tomizawa, A.; Zhao, L.; Bassellier, G.; Ahlstrom, D. Economic growth, innovation, institutions, and the Great Enrichment. Asia Pac. J. Manag. 2020, 37, 7–31. [Google Scholar] [CrossRef]
- Liu, X.; Shu, C.; Sinclair, P. Trade, foreign direct investment and economic growth in Asian economies. Appl. Econ. 2009, 41, 1603–1612. [Google Scholar] [CrossRef]
- Islam, M.S.; Meerza, S.I.A. Trade, foreign direct investment and economic growth linkages in selected South Asian countries. In Foreign Direct Investment, Trade and Economic Growth; Routledge India: London, UK, 2014; pp. 117–128. [Google Scholar]
- Falki, N. Impact of foreign direct investment on economic growth in Pakistan. Int. Rev. Bus. Res. Pap. 2009, 5, 110–120. [Google Scholar]
- Ali, M.; Malik, I.R. Impact of foreign direct investment on economic growth of Pakistan. 2017, 3. Available online: https://papers.ssrn.com/sol3/papers.cfm?abstract_id=3104717 (accessed on 10 July 2022).
- Sohail, S.; Mirza, S.S. Impact of foreign direct investment on economic growth of Pakistan. Asian J. Econ. Financ. Manag. 2020, 1–13. Available online: https://globalpresshub.com/index.php/AJEFM/article/view/844 (accessed on 10 July 2022).
- Ciobanu, A.M. The Impact of FDI on Economic Growth in Case of Romania. Int. J. Econ. Financ. 2021, 12, 1–81. [Google Scholar] [CrossRef]
- Çevik, E.İ.; Atukeren, E.; Korkmaz, T. Trade openness and economic growth in Turkey: A rolling frequency domain analysis. Economies 2019, 7, 41. [Google Scholar] [CrossRef]
- Keho, Y. The impact of trade openness on economic growth: The case of Cote d’Ivoire. Cogent Econ. Financ. 2017, 5, 1332820. [Google Scholar] [CrossRef]
- Ulaşan, B. Trade openness and economic growth: Panel evidence. Appl. Econ. Lett. 2015, 22, 163–167. [Google Scholar] [CrossRef]
- Vendrell-Herrero, F.; Gomes, E.; Collinson, S.; Parry, G.; Bustinza, O.F. Selling digital services abroad: How do extrinsic attributes influence foreign consumers’ purchase intentions? Int. Bus. Rev. 2018, 27, 173–185. [Google Scholar] [CrossRef]
- Wang, D.T.; Chen, W.Y. Foreign direct investment, institutional development, and environmental externalities: Evidence from China. J. Environ. Manag. 2014, 135, 81–90. [Google Scholar] [CrossRef] [PubMed]
- Li, X.; Liu, X. Foreign direct investment and economic growth: An increasingly endogenous relationship. World Dev. 2005, 33, 393–407. [Google Scholar] [CrossRef]
- Lee, C.C.; Chang, C.P. FDI, financial development, and economic growth: International evidence. J. Appl. Econ. 2009, 12, 249–271. [Google Scholar] [CrossRef]
- Hassan, M.K.; Sanchez, B.; Yu, J.S. Financial development and economic growth: New evidence from panel data. Q. Rev. Econ. Financ. 2011, 51, 88–104. [Google Scholar] [CrossRef]
- Valickova, P.; Havranek, T.; Horvath, R. Financial development and economic growth: A meta-analysis. J. Econ. Surv. 2015, 29, 506–526. [Google Scholar] [CrossRef]
- Sirag, A.; SidAhmed, S.; Ali, H.S. Financial development, FDI and economic growth: Evidence from Sudan. Int. J. Soc. Econ. 2018, 45, 1236–1249. [Google Scholar] [CrossRef]
- Belloumi, M. The relationship between trade, FDI and economic growth in Tunisia: An application of the autoregressive distributed lag model. Econ. Syst. 2014, 38, 269–287. [Google Scholar] [CrossRef]
- Vo, D.H.; Vo, A.T.; Zhang, Z. Exchange rate volatility and disaggregated manufacturing exports: Evidence from an emerging country. J. Risk Financ. Manag. 2019, 12, 12. [Google Scholar] [CrossRef]
- Dinh, T.T.H.; Vo, D.H.; The Vo, A.; Nguyen, T.C. Foreign direct investment and economic growth in the short run and long run: Empirical evidence from developing countries. J. Risk Financ. Manag. 2019, 12, 176. [Google Scholar] [CrossRef]
- Rathnayaka Mudiyanselage, M.M.; Epuran, G.; Tescașiu, B. Causal links between trade openness and foreign direct investment in Romania. J. Risk Financ. Manag. 2021, 14, 90. [Google Scholar] [CrossRef]
- Seyoum, M.; Wu, R.; Lin, J. Foreign direct investment and trade openness in Sub-Saharan economies: A panel data granger causality analysis. S. Afr. J. Econ. 2014, 82, 402–421. [Google Scholar] [CrossRef]
- Kumari, R.; Shabbir, M.S.; Saleem, S.; Khan, G.Y.; Abbasi, B.A.; Lopez, L.B. An empirical analysis among foreign direct investment, trade openness and economic growth: Evidence from the Indian economy. South Asian J. Bus. Stud. 2021, 12, 127–149. [Google Scholar] [CrossRef]
- Acaravci, A.; Ozturk, I. Foreign direct investment, export and economic growth: Empirical evidence from new EU countries. Rom. J. Econ. Forecast. 2012, 2, 52–67. [Google Scholar]
- Kalai, M.; Zghidi, N. Foreign direct investment, trade, and economic growth in MENA countries: Empirical analysis using ARDL bounds testing approach. J. Knowl. Econ. 2019, 10, 397–421. [Google Scholar] [CrossRef]
- Shaikh, F.M. Causality relationship between foreign direct investment, trade and economic growth in Pakistan. In Proceedings of the International Conference on Applied Economics ICOAE, Athens, Greece, 26–28 August 2010; pp. 717–722. [Google Scholar]
- Prabhakar, A.C.; Azam, M.; Bakhtyar, B.; Ibrahim, Y. Foreign direct investment, trade and economic growth: A new paradigm of the BRICS. Mod. Appl. Sci. 2015, 9, 32–42. [Google Scholar] [CrossRef]
- Comes, C.A.; Bunduchi, E.; Vasile, V.; Stefan, D. The impact of foreign direct investments and remittances on economic growth: A case study in Central and Eastern Europe. Sustainability 2018, 10, 238. [Google Scholar] [CrossRef]
- Agbola, F.W. Does human capital constrain the impact of foreign direct investment and remittances on economic growth in Ghana? Appl. Econ. 2013, 45, 2853–2862. [Google Scholar] [CrossRef]
- Tahir, M.; Khan, I.; Shah, A.M. Foreign remittances, foreign direct investment, foreign imports and economic growth in Pakistan: A time series analysis. Arab. Econ. Bus. J. 2015, 10, 82–89. [Google Scholar] [CrossRef]
- Das, A.; Sethi, N. Effect of foreign direct investment, remittances, and foreign aid on economic growth: Evidence from two emerging South Asian economies. J. Public Aff. 2020, 20, e2043. [Google Scholar] [CrossRef]
- Goldberg, P.; Khandelwal, A.; Pavcnik, N.; Topalova, P. Trade liberalization and new imported inputs. Am. Econ. Rev. 2009, 99, 494–500. [Google Scholar] [CrossRef]
- Siddiqui, K. Trade liberalization and economic development: A critical review. Int. J. Political Econ. 2015, 44, 228–247. [Google Scholar] [CrossRef]
- Kakar, Z.K.; Khilji, B.A. Impact of FDI and trade openness on economic growth: A comparative study of Pakistan and Malaysia. Theor. Appl. Econ. 2011, 11, 53. [Google Scholar]
- Diaconu, L.; Maxim, A.; Popescu, C.C. The impact of migration on human capital and economic development. Commun. Context Interdiscip. 2017, CCI3, 32–41. [Google Scholar]
- Omri, A.; Daly, S.; Rault, C.; Chaibi, A. Financial development, environmental quality, trade and economic growth: What causes what in MENA countries. Energy Econ. 2015, 48, 242–252. [Google Scholar] [CrossRef]
- Hussain, M.E.; Haque, M. Foreign direct investment, trade, and economic growth: An empirical analysis of Bangladesh. Economies 2016, 4, 7. [Google Scholar] [CrossRef]
- Popovici, O.C.; Călin, A.C. Economic growth, foreign investments and exports in Romania: A VECM analysis. Rom. Econ. J. 2016, 19, 95–122. [Google Scholar]
- Afolabi, B.; Danladi, J.D.; Azeez, M.I. International trade and economic growth in Nigeria. Glob. J. Hum.-Soc. Sci. Econ. 2017, 17, 1–12. [Google Scholar]
- Cinar, M.; Nulambeh, N.A. Foreign direct investment, trade openness and economic growth: A panel data analysis for sub-Saharan Africa. Bus. Econ. Res. J. 2018, 9, 749–760. [Google Scholar] [CrossRef]
- Muhammad, B.; Khan, S. Effect of bilateral FDI, energy consumption, CO2 emission and capital on economic growth of Asia countries. Energy Rep. 2019, 5, 1305–1315. [Google Scholar] [CrossRef]
- Nguyen, H.H. Impact of foreign direct investment and international trade on economic growth: Empirical study in Vietnam. J. Asian Financ. Econ. Bus. 2020, 7, 323–331. [Google Scholar] [CrossRef]
- Hobbs, S.; Paparas, D.; AboElsoud, M. Does foreign direct investment and trade promote economic growth? Evidence from Albania. Economies 2021, 9, 1. [Google Scholar] [CrossRef]
- Rehman, A.; Radulescu, M.; Ahmad, F.; Kamran Khan, M.; Iacob, S.E.; Cismas, L.M. Investigating the asymmetrical influence of foreign direct investment, remittances, reserves, and information and communication technology on Pakistan’s economic development. Econ. Res.-Ekon. Istraživanja 2022, 1–21. [Google Scholar] [CrossRef]
- Amin, A.; Anwar, S.; Liu, X.H. Outward foreign direct investment and economic growth in Romania: Evidence from non-linear ARDL approach. Int. J. Financ. Econ. 2022, 27, 665–677. [Google Scholar] [CrossRef]
- Rehman, A.; Ma, H.; Khan, S.U.; Murshed, M.; Khan, M.K.; Ahmad, F.; Chishti, M.Z. Do Exports of Communication Technology, Food, Manufacturing, and Foreign Investments Foster Economic Growth in Pakistan? An Exploration From Asymmetric Technique. J. Knowl. Econ. 2022, 1–18. [Google Scholar] [CrossRef]
- Osei, M.J.; Kim, J. Foreign direct investment and economic growth: Is more financial development better? Econ. Model. 2020, 93, 154–161. [Google Scholar] [CrossRef]
- Makiela, K.; Ouattara, B. Foreign direct investment and economic growth: Exploring the transmission channels. Econ. Model. 2018, 72, 296–305. [Google Scholar] [CrossRef]
- Hanif, I.; Raza, S.M.F.; Gago-de-Santos, P.; Abbas, Q. Fossil fuels, foreign direct investment, and economic growth have triggered CO2 emissions in emerging Asian economies: Some empirical evidence. Energy 2019, 171, 493–501. [Google Scholar] [CrossRef]
- Alvarado, R.; Iniguez, M.; Ponce, P. Foreign direct investment and economic growth in Latin America. Econ. Anal. Policy 2017, 56, 176–187. [Google Scholar] [CrossRef]
- Ybrayev, Z. Balance-of-payments-constrained growth model: An application to the Kazakhstan’s economy. Eurasian Econ. Rev. 2022, 12, 745–767. [Google Scholar] [CrossRef]
- Pesaran, M.H.; Shin, Y.; Smith, R.J. Bounds testing approaches to the analysis of level relationships. J. Appl. Econom. 2001, 16, 289–326. [Google Scholar] [CrossRef]
- Shin, Y.; Yu, B.; Greenwood-Nimmo, M. Modelling asymmetric cointegration and dynamic multipliers in a nonlinear ARDL framework. In Festschrift in Honor of Peter Schmidt; Springer: New York, NY, USA, 2014; pp. 281–314. [Google Scholar]
- Dickey, D.A.; Fuller, W.A. Distribution of the estimators for autoregressive time series with a unit root. J. Am. Stat. Assoc. 1979, 74, 427–431. [Google Scholar]
- Phillips, P.C.; Perron, P. Testing for a unit root in time series regression. Biometrika 1988, 75, 335–346. [Google Scholar] [CrossRef]
- Kwiatkowski, D.; Phillips, P.C.; Schmidt, P.; Shin, Y. Testing the null hypothesis of stationarity against the alternative of a unit root: How sure are we that economic time series have a unit root? J. Econom. 1992, 54, 159–178. [Google Scholar] [CrossRef]
- Johansen, S.; Juselius, K. Maximum likelihood estimation and inference on cointegration—With applications to the demand for money. Oxf. Bull. Econ. Stat. 1990, 52, 169–210. [Google Scholar] [CrossRef]
- Ciobanu, R.; Şova, R.A.; Popa, A.F. The impact of fdi over economic growth and how COVID-19 crisis can impact the CEE economies. CECCAR Bus. Rev. 2020, 1, 64–72. [Google Scholar] [CrossRef]
- Baiashvili, T.; Gattini, L. Impact of FDI on Economic Growth: The Role of Country Income Levels and Institutional Strength (No. 2020/02); EIB Working Papers; European Investment Bank: Sydney, Australia, 2020. [Google Scholar]
- Tran, H.T.T.; Hoang, H.T. An investigation into the impacts of fdi, domestic investment capital, human resources, and trained workers on economic growth in vietnam. In Proceedings of the International Econometric Conference of Vietnam, Ho Chi Minh City, Vietnam, 14–16 January 2019; Springer: Cham, Switzerland, 2019. [Google Scholar]
- Acquah, A.M.; Ibrahim, M. Foreign direct investment, economic growth and financial sector development in Africa. J. Sustain. Financ. Investig. 2020, 10, 315–334. [Google Scholar] [CrossRef]
- Gonzalez, D.R.; De Castro, J.M.; Miura, I.K.; Feijo, J. FDI inflows, transfer of knowledge, and absorptive capacity: The case of Mozambique. Afr. J. Bus. Manag. 2014, 8, 14–24. [Google Scholar] [CrossRef]
- Anwar, S.; Nguyen, L.P. Foreign direct investment and economic growth in Vietnam. Asia Pac. Bus. Rev. 2010, 16, 183–202. [Google Scholar] [CrossRef]
- Chanegriha, M.; Stewart, C.; Tsoukis, C. Testing for causality between FDI and economic growth using heterogeneous panel data. J. Int. Trade Econ. Dev. 2020, 29, 546–565. [Google Scholar] [CrossRef]
- Zhang, K.H.; Song, S. Promoting exports: The role of inward FDI in China. China Econ. Rev. 2001, 11, 385–396. [Google Scholar] [CrossRef]
- Ahmad, F.; Draz, M.U.; Yang, S.C. Causality nexus of exports, FDI and economic growth of the ASEAN5 economies: Evidence from panel data analysis. J. Int. Trade Econ. Dev. 2018, 27, 685–700. [Google Scholar] [CrossRef]
- Keho, Y. Foreign Direct Investment, Exports and Economic Growth: Some African Evidence. J. Appl. Econ. Bus. Res. 2015, 5, 209–219. [Google Scholar]
- Were, M. Differential effects of trade on economic growth and investment: A cross-country empirical investigation. J. Afr. Trade 2015, 2, 71–85. [Google Scholar] [CrossRef]
- Haque, S.; Amin, S.B. Foreign direct investment, trade openness and economic growth: The case of Bangladesh. World Rev. Bus. Res. 2018, 8, 104–125. [Google Scholar]
- Dutta, C.B.; Haider, M.Z.; Das, D.K. Dynamics of economic growth, investment and trade openness: Evidence from Bangladesh. South Asian J. Macroecon. Public Financ. 2017, 6, 82–104. [Google Scholar] [CrossRef]
- Rehman, A.; Ma, H.; Ahmad, M.; Ozturk, I.; Işık, C. Estimating the connection of information technology, foreign direct investment, trade, renewable energy and economic progress in Pakistan: Evidence from ARDL approach and cointegrating regression analysis. Environ. Sci. Pollut. Res. 2021, 28, 50623–50635. [Google Scholar] [CrossRef]




| Authors’ Name | Data Periods | Methodologies | Outcomes of the Studies |
|---|---|---|---|
| Omri et al. (2015) [49] | 1990–2011 | Simultaneous Equation Panel Data Models | Outcomes show the bidirectional causality amid CO2 emissions and economic growth, while the variables trade openness and economic growth are interconnected. |
| Hussain and Haque (2016) [50] | 1973–2014 | Vector Error Correction Model (VECM) | The findings demonstrated that the variables trade and foreign direct investment have a considerable influence on the GDP per capita growth rate. |
| Popovici and Călin (2016) [51] | 2005–2014 | Vector Error Correction Model (VECM) | The results suggested that the long-run impact of economic growth and FDI stocks on exports is positive and considerable. |
| Afolabi et al. (2017) [52] | 1981–2014 | Ordinary Least Squares (OLS) | The findings indicated that government spending, interest rates, import and export are all favorably relevant to the economic process; however, the exchange rate and foreign direct investment are adversely negligible. |
| Cinar and Nulambeh (2018) [53] | 2006–2015 | Augmented Endogenous Growth Model | The results suggest that foreign direct investment and trade openness have a favorable influence on growth, with the exception of inflation, which has a negative impact on growth. |
| Muhammad and Khan (2019) [54] | 2001–2012 | Generalized Method of Moments (GMM) and OLS Regression | Outcomes show the divergence between FDI, FDI inflows, and FDI outflows promotes the economic progress. |
| Nguyen (2020) [55] | 2000–2018 | Ordinary Least Square Method | The results show that FDI and export has a statistically significant and beneficial influence on economic growth, while import has a negative but statistically insignificant impact. |
| Hobbs et al. (2021) [56] | 1992–2016 | Error Correction Model and Granger Causality | The findings demonstrated a long-term link between foreign direct investment, trade, and economic development. |
| Rehman et al. (2022) [57] | 1976–2019 | Asymmetric ARDL technique | Personal remittances have a positive and significant influence on economic growth, while negative shocks have a negative and non-significant impact in both the long-run and short-run estimations. Gross savings demonstrate that a positive shock has a beneficial but non-significant influence on economic growth. |
| Amin et al. (2022) [58] | 1990–2019 | Non-linear Autoregressive Distributive Lag (NARDL) Model | The findings show that both increases and decreases in OFDI have a favorable and substantial effect. |
| Rehman et al. (2022) [59] | 1976–2019 | NARDL Model | Long-run findings reveal that communication technology has both positive and negative effects on economic growth. Exports of commodities and services, as well as food exports, revealed an adverse relation to economic progress. Foreign investment positive and negative shocks demonstrate adverse and productive links to economic growth. |
| Variables of the Study | Units | Short-Terms | Sources of Data | Online Data Links |
|---|---|---|---|---|
| Economic growth | (annual %) | ECG | (WDI) | https://data.worldbank.org/country/RO (accessed on 15 August 2022). |
| Trade | (% of GDP) | TRA | (WDI) | |
| Foreign direct investment | (% of GDP) | FDI | (WDI) | |
| Final consumption expenditures | (current USD) | FCE | (WDI) | |
| Exports of goods and services | (current USD) | EGS | (WDI) | |
| Imports of goods and services | (current USD) | IGS | (WDI) |
| ECG | TRA | FDI | FCE | EGS | IGS | |
|---|---|---|---|---|---|---|
| Mean | 25.173 | 4.154 | 0.404 | 24.962 | 23.921 | 24.154 |
| Median | 25.312 | 4.122 | 0.979 | 25.177 | 23.907 | 24.255 |
| Maximum | 26.244 | 4.467 | 2.199 | 26.027 | 25.339 | 25.434 |
| Minimum | 23.947 | 3.667 | −10.571 | 23.685 | 22.353 | 22.546 |
| Std. Dev. | 0.840 | 0.219 | 2.242 | 0.826 | 1.056 | 1.002 |
| Skewness | −0.095 | −0.159 | −3.961 | −0.152 | 0.007 | −0.212 |
| Kurtosis | 1.277 | 2.214 | 19.887 | 1.360 | 1.335 | 1.463 |
| Jarque–Bera | 3.879 | 0.928 | 449.452 | 3.594 | 3.580 | 3.283 |
| Probability | 0.143 | 0.628 | 0.000 | 0.165 | 0.166 | 0.193 |
| ECG | TRA | FDI | FCE | EGS | IGS | |
|---|---|---|---|---|---|---|
| ECG | 1.000 | 0.819 | 0.338 | 0.998 | 0.986 | 0.991 |
| TRA | 0.819 | 1.000 | 0.411 | 0.813 | 0.898 | 0.840 |
| FDI | 0.338 | 0.411 | 1.000 | 0.363 | 0.369 | 0.395 |
| FCE | 0.998 | 0.813 | 0.363 | 1.000 | 0.982 | 0.993 |
| EGS | 0.986 | 0.898 | 0.369 | 0.982 | 1.000 | 0.984 |
| IGS | 0.991 | 0.840 | 0.395 | 0.993 | 0.984 | 1.000 |
| ADF Test at I(0) | ||||||
|---|---|---|---|---|---|---|
| LnECG | LnTRA | LnFDI | LnFCE | LnEGS | LnIGS | |
| (T-statistics) and (p-values) | −0.415 (0.894) | −2.027 (0.273) | −13.744 *** (0.000) | −0.177 (0.931) | −0.415 (0.894) | −0.427 (0.891) |
| ADF Test at I(1) | ||||||
| (T-statistics) and (p-values) | −5.484 *** (0.000) | −8.507 *** (0.000) | −15.177 *** (0.000) | −4.195 *** (0.002) | −5.484 *** (0.000) | −5.615 *** (0.000) |
| PP Test at I(0) | ||||||
| (T-statistics) and (p-values) | −0.457 (0.886) | −1.871 (0.340) | −11.031 *** (0.000) | −0.355 (0.904) | −0.457 (0.886) | −0.427 (0.891) |
| PP Test at I(1) | ||||||
| (T-statistics) and (p-values) | −5.475 *** (0.000) | −8.783 *** (0.000) | −16.986 *** (0.000) | −4.192 *** (0.002) | −5.475 *** (0.000) | −5.605 *** (0.000) |
| KPSS Test at I(0) | ||||||
| (T-statistics) and (p-values) | 0.673 *** (0.000) | 0.669 *** (0.000) | 0.418 ** (0.023) | 0.677 *** (0.000) | 0.696 *** (0.000) | 0.693 *** (0.000) |
| KPSS Test at I(1) | ||||||
| (T-statistics) and (p-values) | 0.146 ** (0.033) | 0.167 (0.381) | 0.473 (0.233) | 0.124 ** (0.039) | 0.122 ** (0.007) | 0.126 ** (0.033) |
| Model | (F-Bounds Test) | (Significance Level) | |||
|---|---|---|---|---|---|
| ECG/(TRA,FDI,FCE,EGS,IGS) | F-statistic value (5.324) | 10% | 5% | 2.5% | 1% |
| 1.76 I(0) | 1.98 I(0) | 2.18 I(0) | 2.41 I(0) | ||
| k (10) | 2.77 I(1) | 3.04 I(1) | 3.28 I(1) | 3.61 I(1) | |
| Trace Test Statistics | ||||
|---|---|---|---|---|
| Eigenvalues | Trace Stat. | 0.05 C-Value | Prob. ** | Hypoth. No. of CE(s) |
| 0.930 | 188.136 | 95.753 | (0.000) | None * |
| 0.784 | 110.911 | 69.818 | (0.000) | At most 1 * |
| 0.619 | 66.415 | 47.856 | (0.000) | At most 2 * |
| 0.587 | 38.389 | 29.797 | (0.004) | At most 3 * |
| 0.278 | 12.698 | 15.494 | (0.126) | At most 4 |
| 0.105 | 3.236 | 3.841 | (0.072) | At most 5 |
| Maximum Eigenvalue Test Statistics | ||||
| Eigenvalues | Max-Eigen Stat. | 0.05 C-Value | Prob. ** | Hypoth. No. of CE(s) |
| 0.930 | 77.224 | 40.077 | (0.000) | None * |
| 0.784 | 44.496 | 33.876 | (0.001) | At most 1 * |
| 0.619 | 28.026 | 27.584 | (0.043) | At most 2 * |
| 0.587 | 25.691 | 21.131 | (0.010) | At most 3 * |
| 0.278 | 9.461 | 14.264 | (0.249) | At most 4 |
| 0.105 | 3.236 | 3.841 | (0.072) | At most 5 |
| Short-Run Error Correction Regression | ||||
|---|---|---|---|---|
| Variable | Coefficient | Std. Error | t-Statistic | Prob. |
| C | 7.011 | 5.448 | 1.286 | 0.234 |
| ECG(-1) | −0.282 | 0.221 | −1.276 | 0.237 |
| TRA_POS(-1) | 0.010 | 0.195 | 0.051 | 0.960 |
| TRA_NEG(-1) | 0.007 | 0.165 | 0.046 | 0.964 |
| FDI_POS | −0.012 | 0.008 | −1.395 | 0.200 |
| FDI_NEG(-1) | −0.048 | 0.026 | −1.810 | 0.107 |
| FCE_POS(-1) | 0.266 | 0.143 | 1.859 | 0.100 |
| FCE_NEG(-1) | 0.090 | 0.333 | 0.273 | 0.791 |
| EGS_POS(-1) | 0.109 | 0.157 | 0.694 | 0.507 |
| EGS_NEG(-1) | −0.217 | 0.239 | −0.906 | 0.391 |
| IGS_POS(-1) | −0.099 | 0.073 | −1.353 | 0.212 |
| IGS_NEG(-1) | 0.462 * | 0.216 | 2.131 | 0.065 |
| D(TRA_POS) | −0.171 | 0.149 | −1.149 | 0.283 |
| D(TRA_NEG) | −0.326 | 0.175 | −1.858 | 0.100 |
| D(FDI_NEG) | −0.005 | 0.020 | −0.293 | 0.776 |
| D(FCE_POS) | 0.630 *** | 0.097 | 6.485 | 0.000 |
| D(FCE_NEG) | 0.610 ** | 0.221 | 2.752 | 0.025 |
| D(EGS_POS) | 0.398 *** | 0.096 | 4.124 | 0.003 |
| D(EGS_NEG) | 0.029 | 0.146 | 0.198 | 0.847 |
| D(IGS_POS) | −0.019 | 0.056 | −0.346 | 0.738 |
| D(IGS_NEG) | 0.298 | 0.172 | 1.730 | 0.121 |
| CointEq(-1) | −0.282 *** | 0.029 | −9.733 | 0.000 |
| Long-Run Dynamics | ||||
| Variable | Coefficient | Std. Error | t-Statistic | Prob. |
| TRA_POS | 0.035 | 0.711 | 0.050 | 0.961 |
| TRA_NEG | 0.027 | 0.602 | 0.045 | 0.965 |
| FDI_POS | −0.043 | 0.030 | −1.390 | 0.201 |
| FDI_NEG | −0.170 | 0.171 | −0.995 | 0.348 |
| FCE_POS | 0.944 | 0.539 | 1.751 | 0.118 |
| FCE_NEG | 0.321 | 1.046 | 0.307 | 0.766 |
| EGS_POS | 0.385 | 0.361 | 1.066 | 0.317 |
| EGS_NEG | −0.769 | 1.110 | −0.692 | 0.508 |
| IGS_POS | −0.352 | 0.408 | −0.862 | 0.413 |
| IGS_NEG | 1.634 | 1.458 | 1.121 | 0.294 |
| C | 24.809 *** | 0.314 | 78.927 | 0.000 |
| Stability and Diagnostic Tests | ||||
| R2 | Adjusted R2 | |||
| (0.999) | (0.999) | |||
| Log-likelihood | Prob(F-statistic) | |||
| (112.917) | (0.000) | |||
| Akaike info criterion (AIC) | Durbin-Watson stat. | |||
| (−6.339) | (2.571) | |||
| CUSUM (Stable) | ||||
| CUSUM of Squares (Stable) | ||||
Disclaimer/Publisher’s Note: The statements, opinions and data contained in all publications are solely those of the individual author(s) and contributor(s) and not of MDPI and/or the editor(s). MDPI and/or the editor(s) disclaim responsibility for any injury to people or property resulting from any ideas, methods, instructions or products referred to in the content. |
© 2023 by the authors. Licensee MDPI, Basel, Switzerland. This article is an open access article distributed under the terms and conditions of the Creative Commons Attribution (CC BY) license (https://creativecommons.org/licenses/by/4.0/).
Share and Cite
Anda, M.I.; Gabriela, B.; Nicolae, E.; Rehman, A. Economic Growth Drivers in Romania: Evidence from a NARDL Analysis. Sustainability 2023, 15, 5916. https://doi.org/10.3390/su15075916
Anda MI, Gabriela B, Nicolae E, Rehman A. Economic Growth Drivers in Romania: Evidence from a NARDL Analysis. Sustainability. 2023; 15(7):5916. https://doi.org/10.3390/su15075916
Chicago/Turabian StyleAnda, Milin Ioana, Bușan Gabriela, Ecobici Nicolae, and Abdul Rehman. 2023. "Economic Growth Drivers in Romania: Evidence from a NARDL Analysis" Sustainability 15, no. 7: 5916. https://doi.org/10.3390/su15075916
APA StyleAnda, M. I., Gabriela, B., Nicolae, E., & Rehman, A. (2023). Economic Growth Drivers in Romania: Evidence from a NARDL Analysis. Sustainability, 15(7), 5916. https://doi.org/10.3390/su15075916

