Next Article in Journal
An Integrated Deep-Learning-Based Approach for Energy Consumption Prediction of Machining Systems
Next Article in Special Issue
From Takeoff to Touchdown: A Decade’s Review of Carbon Emissions from Civil Aviation in China’s Expanding Megacities
Previous Article in Journal
A Study on the Deployment of Mesoscale Chemical Hazard Area Monitoring Points by Combining Weighting and Fireworks Algorithms
Previous Article in Special Issue
Can China’s Digital Economy and Green Economy Achieve Coordinated Development?
 
 
Font Type:
Arial Georgia Verdana
Font Size:
Aa Aa Aa
Line Spacing:
Column Width:
Background:
Article

Can Environmental Regulations Promote Regional Industrial Transfer?

School of Economics and Business Administration, Central China Normal University, Wuhan 430079, China
*
Author to whom correspondence should be addressed.
Sustainability 2023, 15(7), 5780; https://doi.org/10.3390/su15075780
Submission received: 12 February 2023 / Revised: 8 March 2023 / Accepted: 24 March 2023 / Published: 27 March 2023

Abstract

:
In the context of building a “Beautiful China”, it is imperative to strengthen environmental regulations to restrict industrial pollution emissions. However, there are significant differences of regulations intensity among different regions, which will lead to an increase in the cost of compliance with regulations for polluting industries, so these industries tend to transfer from areas with strong environmental regulations to areas with weak environmental regulations. Based on the panel data of 282 prefecture-level cities and national patent data from 1994 to 2010, this paper constructs a difference in difference model (DID) to empirically study the impact of environmental regulations on regional industrial transfer and its mechanism. We find that, firstly, the “Two-Control Zones” policy has significantly promoted regional industrial transfer, and its effect has gradually increased in the long run. Then, the promotion effect of the “Two-Control Zones” policy on regional industrial transfer is heterogeneous among different regions due to the regional market environment and resource endowment; that is, the promotion effect is the greatest in Central China, then in Eastern China, and finally in Western China. At the same time, the frequency of industrial transfer in areas with high resource dependence is significantly lower than that in areas with low resource dependence. Finally, mechanism studies find that environmental regulation enhances inter-regional industrial liquidity and promotes regional technological innovation, and the role of environmental regulation on technological innovation is more obvious in regions with weak industrial liquidity. This proves that the “Pollution Heaven Hypothesis” and the “Porter Hypothesis” can be established at the same time in the Chinese context, which provides more reliable empirical evidence for the government to formulate environmental regulations, restrict pollution emissions, and balance environmental governance and sustainable economic development.

1. Introduction

According to the “China Environmental Status Bulletin of 2018”, 121 of the 338 prefecture-level cities have reached air quality standards, and the environmental quality in China has improved significantly. After the proposal of “Beautiful China”, a great goal of ecological civilization construction, in the “18th National Congress of the Communist Party of China”, “Three Tough Battles” have been further included in the report of the “19th National Congress of the Communist Party of China” for the first time, so it is necessary to intensify environmental regulations to reduce industrial pollution emissions. However, the implementation of environmental regulation will not only improve environmental quality but also increase the cost of compliance with these regulations. On the one hand, the rising cost will result in the transfer of some enterprises in pollution-intensive industries to other countries or regions with weaker environmental regulations (inter-regional transfer) or to environmental-friendly industries (inter-industry transfer), which is the “Pollution Heaven Hypothesis”[1,2,3]. On the other hand, the rising cost will also prompt incumbent enterprises to carry out green technology innovation, improve labor productivity, and use innovation-compensatory benefits to fully or partially offset the regulation-compliance cost, which is the “Porter Hypothesis” [4,5,6]. In this case, whether the enterprises in pollution-intensive industries move to regions with weak environmental regulations or reduce pollution emissions through technology innovation should be examined.
Currently, there are significant gaps in the level of economic development and the intensity of environmental regulations among different regions in China, so it is common for polluting industries to transfer from regions with intensive environmental regulations to regions with weak environmental regulations. Most of the existing literature that discusses the impact of environmental regulations on regional industrial transfer is based on the “Pollution Heaven Hypothesis” and focuses on the macro level. The conclusions of this research have no consensus. There are three main opinions: firstly, some papers support the “Pollution Heaven Hypothesis” and believe that environmental regulations will promote regional industrial transfer [7,8,9]. Huang and Shen [10] and Ding et al. [11] confirmed, respectively, that regional industrial transfer caused by environmental regulations is widespread in the Pearl River Delta region and the Yangtze River Economic Belt, and most pollution-intensive industries tend to transfer to the nearest regions [12]. Secondly, some researches point out that China is no longer the “pollution heaven” for developed countries [13] but the destination for environmental-friendly industries of developed countries [14]. Finally, some studies state that the impact of environmental regulations is unclear, because a U-shaped relationship can be seen in some research [15,16], while some papers suggest no relationship between environmental regulations and regional industrial transfer [17,18].
Most research [15,19] that focuses on the impact of environmental regulations on regional industrial transfer gives priority to the verification of the “Pollution Heaven Hypothesis”, and few papers [20] discuss the impact mechanism, which is how environmental regulations work. Regardless, some research conclusions based on the “Crowding Out Effect” and the “Innovation Compensation Effect” provide ideas for relevant researches. As far as the “Crowding Out Effect” is concerned, environmental regulations will increase the production cost of enterprises through sewage charges [21], crowd out other productive and profitable investment, and cause the profit rate to decline, so these enterprises will transfer to other regions with weak environmental regulations [15]. At the same time, some enterprises will invest more in innovation to meet local environmental protection requirements and introduce environmental protection equipment to improve their competitiveness [22]. In fact, some enterprises will eventually turn to innovation as environmental regulations intensify [20]. Therefore, whether the incumbent enterprises stay or transfer out is actually the results of the combination of the “Crowding Out Effect” and the “Innovation Compensation Effect”.
With the perfection of environmental protection laws and regulations in various regions, the regional industrial transfer has become common, but their impact on the regional economy and environment is a double-edged sword. On the one hand, the transfer-out of polluting industries can benefit the environment, but it is not good news for local economic development. On the other hand, the transfer-in of polluting industries will hurt the environment, but it can help boost local economic development. Based on that, this paper focuses on whether environmental regulations can promote regional industrial transfer and under what conditions will they promote it so as to provide practical suggestions for restricting pollution emissions, perfecting local environmental regulations, and improving environmental quality and standard of living.
This paper makes use of the fact that the Chinese government had increased the intensity of environmental regulations since 1998 and takes the “Two-Control Zones” policy as a quasi-natural experiment to identify the effect of environmental regulations on regional industrial transfer. Compared with previous studies, this paper makes possible contributions in the following three aspects.
Firstly, this paper uses the implementation of the “Two-Control Zones” policy as an environmental regulation change and constructs the panel data of 282 prefecture-level cities from 1994 to 2010 to investigate the impact of environmental regulations on regional industrial transfer with the difference-in-difference method. Therefore, we can mitigate the limitation that environmental regulations cannot be measured objectively, and some subjective and endogenous problems caused by measurement error, missing variables, reverse causality, and selective bias in previous studies can be overcame so that we can identify whether environmental regulations can impact regional industrial transfer, which can enhance the persuasiveness of empirical research. In addition, most of existing research related to the “Two-Control Zones” policy focuses on foreign direct investment [23], export [24], export product quality [25,26], economic development [27,28], regional enterprise competitiveness [29], employment [30,31], and health [32], while this paper expands the horizon of the existing literature related to the “Two-Control Zones” policy and uses this policy to research the impact of environmental regulations on regional industrial transfer for the first time.
Secondly, this paper empirically examines the impact mechanism of environmental regulations on regional industrial transfer, inspects the “Pollution Heaven Hypothesis” and the “Porter Hypothesis” at the same time, and tests the robustness of the conclusion. There is much research that discusses the impact of environmental regulations on regional industrial transfer, but most of it focuses on whether environmental regulations will affect regional industrial transfer; there is little literature that discusses the impact mechanism, and it mainly uses theoretical analysis rather than empirical research. Based on the theoretical analysis of the impact mechanism of environmental regulations on regional industrial transfer, this paper uses the difference-in-difference method to empirically identify and test the impact mechanism and the constraints of environmental regulations on regional industrial transfer and provides relatively accurate empirical evidence.
Finally, based on the perspective of industrial characteristics, this paper investigates the impact of industrial liquidity on regional industrial transfer. Most of the previous research that discusses the impact mechanism of environmental regulations on regional industrial transfer focuses on the impact of external changes in environmental regulations on regional industrial transfer and ignores the characteristics of the industry itself. Therefore, on the basis of examining the impact of environmental regulations changes on regional industrial transfer, this paper researches the effect of industrial liquidity on regional industrial transfer, providing supplements to existing research related to the impact mechanism of environmental regulations.

2. The Background and Theses

Since the establishment of the environment regulation system in the late 1970s, the Chinese government has been highlighting the importance of environmental protection. In 1988, the “Third National Environmental Protection Conference” put forward the idea of “Total Control”, according to which the total volume of pollution emissions should be controlled, and China has gradually realized the transition from “Concentration Control” to “Total Control”. In 1996, “Total Control” was recognized officially as a major measure for environmental protection in China, and the “Total Control” mode was launched at that time. Then, in order to tackle the problem of acid rain caused by SO2 emissions, the “China State Council” approved “the Plan for Division of Acid Rain Control Zones and Sulfur Dioxide Pollution Control Zones” on 12 January 1998 and put forward control objectives and countermeasures.
Although the “Ninth Five-Year Plan” had proposed the idea of “Total Control”, the “Tenth Five-Year Plan” included the target to reduce SO2 emissions by 10% for the first time. Specifically, in 1998, the “China State Council” classified 175 prefecture-level cities into the “Two-Control Zones” (Acid Rain Control Zones and SO2 Pollution Control Zones) and stated clearly that the SO2 emissions volume in China in 2005 should be reduced by 10% compared with that in 2000 in the “Outline of the Tenth Five-Year Plan for National Economic and Social Development”, and the SO2 emissions in the “Two-Control Zones” in 2005 should be reduced by 20% compared with that in 2000. The “Two-Control Zones” include 175 prefecture-level cities, covering an area of about 1.09 million square kilometers and accounting for 11.4% of China’s land area. The total area of Acid Rain Control Zones is about 800,000 square kilometers, accounting for 8.4% of China’s land area. The determination of Acid Rain Control Zones are the following: (1) PH value is lower than 4.5 in current precipitation. (2) Sulfur deposition exceeds critical value. (3) SO2 emissions volume is huge in this Zone. The total area of SO2 Pollution Control Zones is about 290,000 square kilometers, accounting for 3% of China’s land area. The determination of SO2 Pollution Control Zones are the following: (1) annual average concentration of SO2 in recent years has exceeded the “National Level-2 Standard”. (2) Average daily concentration of SO2 has exceeded the “National Level-3 standard”. (3) SO2 emissions volume is huge in this zone. (4) The basic control unit is a prefecture-level city.
The target of the “Two-Control Zones” policy is to reduce SO2 emissions. The “China State Council” classified 175 prefecture-level cities into “Two-Control Zones” where the use of high-sulfur coal should be restricted so as to reduce SO2 emission effectively and alleviate the trend of increasing air pollution. (The “China State Council” stipulated specific measures for pollution control in “the Plan for Division of Acid Rain Control Zones and Sulfur Dioxide Pollution Control Zones”.) Compared with other environmental regulations, the “Two-Control Zones” policy has stronger exogenous nature [33]. Therefore, this paper will use the “Two-Control Zones” policy to explore the impact of Chinese environmental regulations on regional industries.
Theoretically, environmental regulations will lead to the rising cost of enterprises in regulated industries, and those enterprises will make corresponding adjustments to the existing product structure, organizational management model, and technology level in order to reduce the cost to survive. Therefore, the intensification of the environmental regulations will actually be a mandatory elimination of the under-developed industries, which will lead to regional industrial transfer [1,3]. As far as the enterprise level is concerned, increasing the intensity of environmental regulations is actually a mandatory elimination for enterprises. On the one hand, in order to remain in the current market, incumbent enterprises will choose to either reduce production volume or implement production innovation and process innovation, including green technology innovation, which has a positive or negative impact on production (“Output Effect”) or choose to either introduce clean technology in the production process or purify pollutants in an environmental-friendly manner in the process or end of manufacturing, which causes the reconfiguration of production factors between and within industries (“Factor Substitution Effect”). On the other hand, the rising cost will reduce the profit margin, which will lead to rising product prices and loss of comparative advantages. Technology innovation is conducive to improving labor productivity, reducing labor cost, and making enterprises profitable. Therefore, when the loss of comparative advantages from cost pressure is greater than the gain of comparative advantages brought by technology innovation, enterprises will choose to transfer to other regions with weak environmental regulations [1,3]. On the contrary, enterprises may consider enhancing existing technology innovation advantages and continuing to retain. The microscopic mechanism is shown in Figure 1:
The intensity of the “Two-Control Zones” policy is greater than that of previous environmental regulations. For instance, firstly, it is forbidden to build new coal mines with sulfur content greater than the standard value, and existing coal mines with sulfur content greater than the standard value will shut down gradually. Secondly, it is urgent to promote the production technology and gradually turn to cleaning production. Finally, it is important to implement the sewage fee system effectively, giving full play to the guiding role of the sewage discharge fees. Therefore, this paper intends to test the “Pollution Heaven Hypothesis” and propose thesis 1: The intensification of environmental regulations will promote regional industrial transfer with other conditions remaining constant.
From the perspective of region characteristics, existing research considers that the impact of environmental regulations on regional industrial transfer will vary depending on the market environment and resource endowment of regulated regions. As far as the regional market environment is concerned, we focus on the heterogeneity caused by varying status of regional economic development. Most studies have proved that environmental regulations can boost regional economic development [27,28], and the economic development levels are varying significantly among different regions in China. Zhang and Guo [15] pointed out that the development of polluting industries is often related to regional resource endowment, which is one of the primary factors in determining the location of an industry. Therefore, we propose thesis 2: The impact of environmental regulations on regional industrial transfer will vary depending on the location of the industry with other conditions remaining constant, which means that there is a certain regional heterogeneity.
In addition, according to the microscopic mechanism mentioned above, the impact of environmental regulations on regional industrial transfer depends on the combination of “Crowding Out Effect” and “Innovation Compensation Effect”, but in this process, industries’ own asset liquidity is easily ignored. Dou and Han [34] pointed out that industries will decide to either transfer out of or transfer into a certain region based on the liquidity of their own assets. Therefore, we propose thesis 3: Under the constraints of environmental regulations, industries with greater liquidity are prone to transfer to other regions, while industries with weak liquidity will survive and thrive through innovation.

3. Research Design

3.1. Regression Model Setting

In order to explore the impact of environmental regulations on regional industrial transfer, this paper uses panel data of 282 prefecture-level cities in China from 1994 to 2010, takes the “Two-Control Zones” policy as a quasi-natural experiment, uses the DID method, refers to Yuan and Xie [35], Zhong et al. [16], and sets the following empirical model:
T r a n s f e r i t = β 0 + β 1 T c z i t × p o s t i t + γ X i t + μ i + δ t + ε i t
In model (1), the explained variable (“Transfer”) is regional industrial transfer measured by location quotient index (“iagg”) (We calculate the location quotient index referring to Zhao and Song [36], and the location quotient i n d e x = ( ( r e g i o n a l i n d u t r i a l o u t p u t v a l u e i n y e a r t ) / ( r e g i o n a l t o t a l o u t p u t v a l u e ) ) ( ( i n d u s t r i a l o u t p u t v a l u e o f w h o l e c o u n t r y i n y e a r t ) / ( t o t a l o u t p u t v a l u e o f w h o l e c o u n t r y ) ) ) and the proportion of regional industrial output value to output value of the whole country (“ind”). The variable of interest (“Tcz×post”) is the estimator of the DID method, which is used to examine the effect of environmental regulations on regional industrial transfer. “Tcz” is the dummy variable of the treatment group. If a city is located in “Two-Control Zones”, “Tcz” equals to 1, otherwise 0. “post” is the time dummy variable for the implementation of the “Two-Control Zones” policy; if the time is later than 1998, “post” equals to 1, otherwise 0. “X” is a vector composed of control variables, including resource endowment [37] (“re”, the proportion of extractive industry employment to regional total population at the end of the year), government intervention degree (“dgi”, the proportion of urban private and individual employment to regional total employment), labor cost [38] (“ln(wage)”, the logarithm of wages per capita in the region), regional market size (“mktsize”, regional GDP in the current year), infrastructure conditions [38] (“inf”, regional freight volume per capita (tons)), degree of industrial agglomeration (“ln(employ)”, the logarithm of regional industry employment), and regional industrial structure (“is”, the proportion of value-added of tertiary industry to regional GDP). β0 represents a constant term; “t” represents a certain year (t = 1994, 1995,…, 2010); “i” represents a certain prefecture-level city (i = 1, 2,…, 282). From the result of the Hausman test, the fixed effect model is more suitable, and the two-way fixed effect model should be used. “µi” and “δt” represent city fixed effect and year fixed effect, respectively, and “εit” represents the random disturbance term.
In order to examine the long-term dynamic effect, set the following empirical model:
T r a n s f e r i t = β 0 + j = 1998 2010 β j T c z i t × p o s t i t × y e a r j + γ X i t + μ i + δ t + ε i t
In model (2), variables such as “transfer”, “Tcz”, “post”, “X”, “µi”, “δt”, and “εit” are exactly the same as those in model (1). “yearj” represents the year dummy variable; when it is at year j, “yearj” equals to 1, otherwise 0.
In order to explore the impact mechanism of environmental regulations on regional industrial transfer, the following empirical model is constructed:
M e c h n i s m i t = β 0 + β 1 T c z i t × p o s t i t + γ X i t + μ i + δ t + ε i t
In model (3), the dependent variable (“Mechanism”) is a mechanism variable. Limited by the availability of data, this paper intends to verify the following six influencing factors: Industrial asset liquidity (“asset_specificity”, the proportion of fixed assets value to total assets value; “deprec_ratio”, the ratio of cumulative depreciation to the original price of fixed assets) [34]; Technology innovation (“ln(app)”, the logarithm of the sum of patent applications volume (invention patent applications volume plus utility model patent applications volume) and 1; “ln(auth)”, the logarithm of the sum of patent authorization volume (invention patent authorization volume plus utility model patent authorization volume) and 1); Fixed asset investment (“ln(fc)”, the logarithm of fixed net assets per capita); Labor productivity (“ln(productivity)”, the logarithm of the ratio of regional total output to regional total employment); Input cost (“ln(wage)”, the logarithm of wages per capita in the region); and Number of enterprises (“enterprise”, number of industrial enterprises in the region).
X” represents control variables such as resource endowment, government intervention, labor cost, regional market size, infrastructure conditions, degree of industrial agglomeration, and regional industrial structure, which are completely consistent with those in model (1).

3.2. Data Source

This paper uses the panel data of 282 prefecture-level cities in China from 1994 to 2010 (175 cities are classified as acid rain control zones or sulfur dioxide pollution control zones, “Two-Control Zones”, and 107 cities are not classified as “Two-Control Zones”). The list of specific cities included in “Two-Control Zones” comes from the “Reply of the State Council on Issues Concerning Acid Rain Control Zones and Sulphur Dioxide Pollution Control Zones”. The data come from “the China Urban Statistical Yearbook” (1995–2011), “the Compilation of Statistical Data of the 60 Years of New China” (1995–2011), and the Patent Statistics Database of the China Patent Office (prefecture-level city patent data).
Considering that the research object is regional industrial transfer and the data in “the Compilation of Statistical Data of the 60 Years of New China” are divided into municipal district level and region level, in order to maintain the consistency with the previous data range, we first extracted the data of 282 prefecture-level cities in China. Then, we have carried out relevant processing and replacement for the calculation of some indicators due to the difference between the original data of some key indicators in the database and the definitions in this paper. For example, when measuring industrial asset liquidity, we used the ratio of net value of fixed assets to the sum of net value of fixed assets and net value of current assets, instead of the ratio of fixed assets value to total assets value. Finally, as for sample selection, this paper supplements missing observations and eliminates abnormal observations in the main variables.

3.3. Descriptive Statistics

Table 1 presents the descriptive statistics of the main variables in this paper. From the perspective of main variables, the mean of regional industrial transfer is 2.406 for “iagg” and 0.919 for “ind”. Technology innovation is measured by the logarithm of the sum of patent applications volume and 1 and the logarithm of the ratio of patent authorizations volume and 1.
From Figure 2 and Figure 3, industrial transfer index and technology innovation level measured by patent authorization volume in “Two-Control Zones” is significantly greater than that outside of “Two-Control Zones”. From the perspective of the long-term trend, both indicators show a significant upward trend.

4. The Results and Analysis

4.1. Basic Regression Result

Firstly, we use the empirical model (1) to examine the impacts of “Two-Control Zones” policy on regional industrial transfer, and Table 2 shows the regression results of environmental regulations on “location quotient index”, from which it can be seen that whether or not to control regional characteristics, environmental regulation has a significant role in promoting regional industrial transfer. The reason is that the implementation of the “Two-Control Zones” policy has increased the intensity of environmental regulation. If pollution-intensive industries failed to meet the regional environmental requirements and feel difficult to improve technology, they have to pay heavy pollution emission fees. Due to the cost pressure, these industries have to transfer to regions with less intensive environmental regulations so as not to be eliminated by the market [8,9].
Furthermore, from the perspective of the control variables at regional level, greater government intervention is not conducive to regional industrial transfer. In this regard, our explanation is that large-scale industrial industries are easily affected by environmental regulations, and the impacts of environmental regulations are slighter at the regions with more self-employed households, so it is more difficult for regional industrial transfer to occur. Similarly, the coefficient of the regional industrial structure is also significantly negative, which indicates that the more value added to the regional tertiary industry, the lower the possibility of regional industrial transfer to occur. Most tertiary industries (According to the classification standard of the “National Bureau of Statistics of China”, tertiary industry is service industry and refers to other industries other than the primary industry and the secondary industry.) are high-tech service industries. In other words, these industries have sufficient technological innovation capabilities to improve technical equipment, save energy, reduce pollution emissions, and reduce costs, so it will not be easily forced to withdraw from the market or transfer to other regions. This explanation will be further empirically tested later in this paper.

4.2. Robustness Test

4.2.1. Parallel Trend Assumption Test

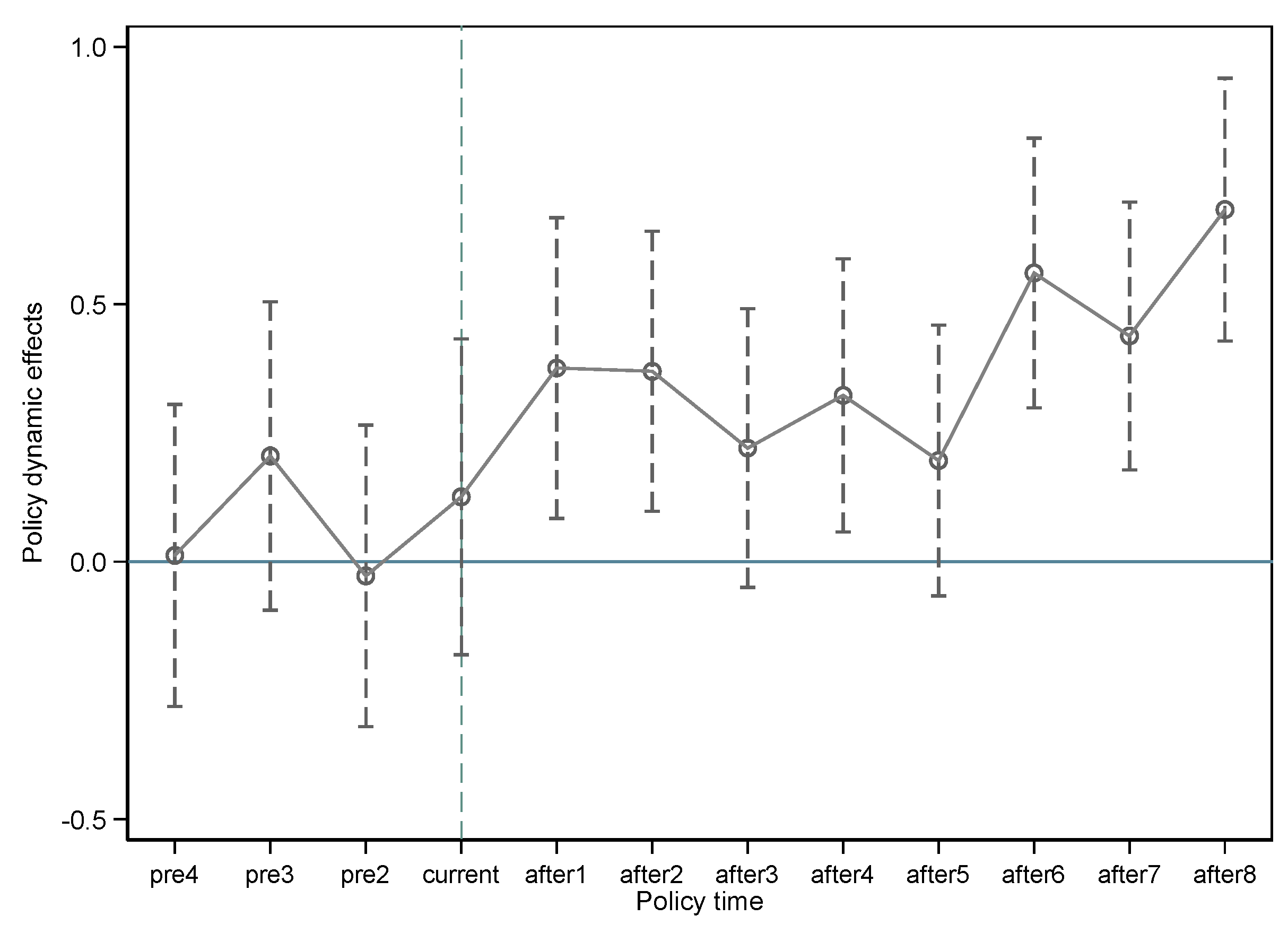
This paper uses the DID method to examine the impact of environmental regulations on regional industrial transfer. As for the basic regression results above, if there is a time trend difference in regional industrial transfer between cities in the “Two-Control Zones” and cities outside of “Two-Control Zones”, regional industrial transfer may not be caused by environmental regulations but by previous time trend difference. To this end, this paper examines the dynamic trend of policy effect from 1994 to 2006, and the results are shown in Figure 4:
We take the year of 1998, the year when the “Two-Control Zones” policy was introduced, as the base year; the estimated coefficients from 1994 to 1998, before the launch of the “Two-Control Zones” policy, are not statistically significant. However, the estimated coefficients from 1999 to 2006, after the introduction of the “Two-Control Zones” policy, are significantly positive, indicating that before the introduction of the “Two-Control Zones” policy, the changing trends of the impact of the “Two-Control Zones” policy between cities in “Two-Control Zones” and cities outside of “Two-Control Zones” were basically the same, satisfying the parallel trend assumption. At the same time, it also shows that the “Two-Control Zones” policy, as an exogenous shock, effectively promotes the industrial transfer among the cities in “Two-Control Zones”, thus verifying that the difference-in-difference method is suitable for this study.

4.2.2. Changing Indicators

To ensure the robustness of the basic regression results, we then use the proportion of regional industrial output value to output value of the whole country (“ind”) as the regional industrial transfer indicator. The results are shown in Table 3. From the regression results, after changing the regional industrial transfer indicator, the coefficient of “Tcz×post” is still significantly positive, showing that environmental regulations promote regional industrial transfer.

4.2.3. Long-Term Dynamic Effect Test

To further investigate the long-term dynamic effect of the “Two-Control Zones” Policy on regional industrial transfer, we use again the two indicators (We use location quotient index (“iagg”) and the proportion of regional output value to output value of whole country (“ind”) as regional industrial transfer indicators in following robustness tests.) mentioned above, the location quotient index (“iagg”) and the proportion of regional industrial output value to output value of the whole country (“ind”), as regional industrial transfer indicators in regression model (2); the results are shown in Table 4. Columns (1) and (2) show that the coefficients of Tcz×post×yearj are significantly positive in 1999–2010 and 2000–2009, respectively, indicating that even the “Two-Control Zones” policy has no significant effect on the regional industrial transfer in the current period, but it can promote regional industrial transfer after the implementation of this policy; that is, there was a long-term dynamic promoting effect of environmental regulations on regional industrial transfer, but there was a certain lag in the short-term. Overall, the impact of this policy shows a first decreasing followed by an increasing trend.

4.2.4. Changing Time Window

Then, we change the time window for the implementation of the “Two-Control Zones” policy and conduct a placebo test to investigate the impact of this policy on regional industrial transfer. Specifically, based on model (1), we select the years 1997 and 1999 without changing the setting of the treatment group and the control group; if the year is later than the time of the policy implementation, the value of “post” is 1, and if the year is earlier than the time of the policy implementation, the value of “post” is 0. After that, we introduce the interaction term between the time dummy variable and the city dummy variable of cities in “two control zones”; the results are shown in Table 5.
In Table 5, “Tcz×post1997” is the estimator of the DID method under the assumption that the “Two-Control Zones” policy was implemented in 1997, and “Tcz×post1999” is the estimator of the DID method under the assumption that the “Two-Control Zones” policy was implemented in 1999. The regression results of columns (1) and (2) are both significantly negative, while the regression results of columns (3) and (4) are both significantly positive, indicating that the “Two-Control Zones” policy has indeed promoted regional industrial transfer; at least, the result is convincing over the time period examined in this paper.

4.2.5. Eliminating the Effect of Other Policies

From the year 2006, the “Eleventh Five-Year Plan” (2006–2010) included regional environmental protection indicators into the assessment and promotion system for officials, implemented more restrictive emission-reduction policies, and intensified environmental regulations. Some studies have shown that the “Eleventh Five-Year plan” will also have an impact on the industrial structure [39]. In order to eliminate the influence of the “Eleventh Five-Year plan”, this paper also conducts regression analysis after excluding the samples during the “Eleventh Five-Year plan” period. Columns (5) and (6) of Table 5 show that the regression results are all significantly positive, indicating that after eliminating the influence of the “Eleventh Five-Year plan”, the “Two-Control Zones” policy still promotes regional industrial transfer. The basic regression results are robust. So far, the results of this paper support the “Pollution Heaven Hypothesis”, and thesis 1 has been verified.

5. Further Mechanism Analysis

The various research results above show that environmental regulations promote the regional industrial transfer in “Two-Control Zones”, which already supports the “Pollution Heaven Hypothesis” in the Chinese context. However, the mechanism behind this phenomenon should be detected. This paper will further explore the possible impact mechanism of environmental regulations on regional industrial transfer through theoretical analysis.

5.1. Environmental Regulation and Industrial Liquidity

Firstly, this impact of environmental regulations is analyzed from the perspective of industrial characteristics. As an inherent feature of industry, industrial liquidity is closely related to the industry’s own production technology capabilities, and it reflects the industry’s ability to transfer flexibly [40]. From model (3), referring to Dou and Han [34], we use the proportion of fixed assets value to total assets value (“asset_specificity”) and the ratio of cumulative depreciation to the original price of fixed assets (“deprec_ratio”) to measure regional industrial liquidity; the former one is negatively related with industrial liquidity, and the latter one is positively related. The regression results in columns (1) and (2) of Table 6 show that the implementation of the “Two-Control Zones” policy has reduced the proportion of fixed assets value to total assets value and increased the ratio of cumulative depreciation to the original price of fixed assets, indicating that the intensity of environmental regulations will enhance the liquidity of some industries, and enterprises will choose industries with more liquidity; that is, they will choose the light-assets strategy. We further investigate the impact of regional industrial liquidity on regional industrial transfer, introduce dummy variables of industrial liquidity, and conduct regression analysis. The results are shown in columns (3) to (6) of Table 6. From comparison of the columns (3) with (4) and the columns (5) with (6), we can see that environmental regulations have a more obvious role in promoting the regional transfer of industries with greater liquidity.
In this regard, we explain that intensive environmental regulations will result in more pollution-control investment of regulated industries. If the industry has neither good technical capabilities to carry out clean-transformation nor enough funds to overcome cost pressure from environmental regulations, it will tend to shift to regions with weak environmental regulations. The industries with higher proportion of fixed assets value to total assets value (heavy-assets strategy) show weaker industrial liquidity. Although the transfer cannot be completed quickly in the short term, some data show that some heavy-assets-strategy industries also tend to move to western regions in China in the long run. Industries with higher ratio of cumulative depreciation to the original price of fixed assets (light-assets strategy) show strong industrial liquidity, which helps regional industrial transfer. Therefore, the impact of the “Two-Control Zones” policy on regional industrial transfer is actually a process of selecting industries based on the degree of industrial liquidity; that is, although most heavy-assets-strategy industries will usually choose to stay as environmental regulations intensify, they also have the tendency to transfer out, and light-assets-strategy industries are more likely to transfer out.
Then, this paper further verifies the conclusion above by examining the impact of environmental regulations on the regional transfer of high-end service industries. Referring to Yu and Pan [41], the service industries are divided into productive service industry and high-end service industry (High-end service industries include information transmission, computer service and software industry, financial industry, leasing and business service industry, scientific research, technical service, and geological exploration industry [41].). Based on the fact that high-end service industries mostly need more capital and innovation investment, their industrial liquidity is relatively weak, so the impact of environmental regulations on regional transfer will be greater. We construct a model to test the impact of environmental regulations on regional transfer of high-end service industries:
H i g h _ e n d i t = β 0 + β 1 T c z i t × p o s t i t + γ X i t + μ i + δ t + ε i t
The explained variable, “High_end”, is regional transfer of high-end service industry, which is measured by the proportion of high-end service industry employment to service industry employment (This article mainly examines regional industrial transfer and uses the proportion of high-end service industry employment to service industry employment to measure industrial transfer, which may have the implication of inter-industry transfer, but here is a further verification of the previous empirical conclusions on environmental regulations and industrial liquidity. Therefore, there is no contradiction.). Tcz×post is the DID estimator whose specific explanation is same as above. It is used to examine the impact of environmental regulations. “X” represents the control variables at regional level, including education and technology investment (“rd”, the proportion of education and technology investment to regional GDP); fiscal autonomy (“fd”, the ratio of budgetary revenue to budgetary expenditure); GDP per capita (“agdp”); freight volume (“ln(car_vol)”, the logarithm of the total freight transport volume); human capital accumulation level (“ln(university)”, the logarithm of the number of regional universities); city scale (“scale”, the ratio of regional urban population to regional total population); and Urbanization Level (“urban”, the logarithm of regional total population). “β0”, “μi”, “δt”, and “εit” represent constant term, city fixed effect, year fixed effect, and random disturbance term, respectively. The specific explanation is the same as that of model (1). The results are shown in Table 7.
The results show that environmental regulations have a negative effect on the regional transfer of high-end service industries. The possible reason is that the high-end service industries enjoy the advantages of economies of scale and high technology level, can make full use of their advantages, and share their unique capabilities and innovation resources. Therefore, it has the ability to weaken the rising cost pressure caused by intensive environmental regulations through the “Innovation Compensation Effect” so that it will not choose to transfer out from the region located; it supports the idea that industries with weak liquidity will rarely transfer out just due to intensive environmental regulation.

5.2. Environmental Regulations and Technology Innovation

Secondly, we examine the impact of environmental regulations on regional industrial technology innovation, which is measured by the logarithm of the sum of patent applications volume and 1 (“ln(app)”) and the logarithm of the sum of patent authorization volume and 1 (“ln(auth)”). The regression results are shown in columns (1) and (2) of Table 8. The coefficient is significantly positive, which means that the “Two-Control Zones” policy has significant promotion effect on regional industrial technology innovation. Specifically, in order to meet requirements of environmental regulations so as to avoid withdrawal from local market, industries will introduce clean technology in the production process to reduce pollution emissions. Although it will cost more in the short term, the improvement of production technology will reduce the total cost in the long run, derive other new environmental protection products and form “innovation compensation effect”, which helps survival and development.
Thirdly, this article selects four related indicators for supplementary explanation to further test the impact of environmental regulations on regional technology innovation. The dependent variables in columns (3) to (6) of Table 9 are fixed asset investment, labor productivity, input cost, and number of companies. The regression results show that environmental regulations help increase fixed assets investment and improve labor productivity and input cost of regional industries but do not significantly affect the number of regional enterprises. The possible explanation is that in order to meet the requirements of environmental regulations and avoid the pressure of rising cost, the industries have to carry out technology innovation, energy-saving, and emission reduction, so they will introduce related equipment and high-end technical talents and increase the fixed asset investment; industrial labor productivity and input cost will then both increase. On the other hand, while regional enterprises are transferring out, there are also enterprises transferring in from regions with more intensive environmental regulations, which offsets the number of transfer-out enterprises. In short, for most regions in China, there is no particularly high threshold effect for industries to transfer in or out between regions. At least so far, the implementation of regional government regulations has not had a major impact on that. Therefore, environmental regulations will force some industries to carry out technology innovation so as to retain or develop in the current market, which supports the strong “Porter Hypothesis” and the narrow “Porter Hypothesis”.

5.3. Technology Innovation and Industrial Liquidity under the Constraints of Environmental Regulation

Finally, in order to examine the internal logic between technology innovation and industrial liquidity, we introduce the dummy variable of industrial liquidity and conduct regression analysis. The results are shown in Table 9. The coefficients of DID estimators in columns (1) to (4) are all significantly positive, indicating that environmental regulations have significantly promoted regional industrial technology innovation. Columns (1) and (3) represent industrial technology innovation in regions with strong industrial liquidity; columns (2) and (4) represent industrial technology innovation in regions with weak industrial liquidity. Comparing columns (1) with (2) and columns (3) with (4), we can see that intensive environmental regulations are more likely to promote technology innovation in regions with weak industrial liquidity.
To consider whether regional industrial technology innovation is related to industrial resource dependence, we introduce the dummy variable of resource dependence. From the regression results in Table 10, we can see that the promotion effect of environmental regulations in regions with high resource dependence is greater than that in regions with low resource dependence. The possible reason is that, in general, abundant regional resources can benefit industrial development because these resources can provide more material and human resources, helping regional industries to better improve their abilities of innovation. This result is consistent with the conclusion made before that industries in regions with high resource dependence and industries with strong technology innovation capability are not prone to occur regional transfer.
Therefore, under the constraints of environmental regulations, industries with greater liquidity are more likely to transfer across regions as environmental regulations intensify, while industries with weak liquidity will seek survival and development through innovation. The promotion effect of environmental regulations on technology innovation in regions with weaker industrial liquidity is greater than that in regions with greater industrial liquidity. Thus, thesis 3 can be verified. At present, researchers fail to compromise the test results of the “Pollution Heaven Hypothesis” and the “Porter Hypothesis”; they also fail to conduct research under one framework using these two hypotheses. The discussion of the impact mechanism of environmental regulations on regional industrial transfer in this article just confirms that the “Pollution Heaven Hypothesis” and the “Porter Hypothesis” can establish simultaneously in the Chinese context.

6. Discussion and Conclusions

Some studies have shown that the impact of environmental regulations on regional industrial transfer will vary depending on the regional market environment and resource endowment. This paper will investigate it.
First of all, considering that the status of economic development is fluctuating among different regions in China, this paper classifies the sample into three main regions: eastern, central, and western regions (According to the explanation of the “National Development and Reform Commission”, China is divided into eastern, central and western regions in terms of policy. The eastern regions refer to the regions where the “coastal opening” policy was first implemented and the economic development is relatively developed; the central regions refer to regions where the economic development is less-developed; and the western regions refer to regions where the economic development is underdeveloped.). According to the columns (1) to (3) of Table 11, holding other conditions constant, the “Two-Control Zones” policy can promote significantly industrial transfer in all three main regions, and its effect strengthens in the order of western, eastern, and central regions. In this regard, our explanation is that the central region consists of mainly less-developed cities with a large market share of secondary industry. With the strengthening of environmental regulations, the constraints on resource-intensive industries are tightening. On the one hand, these industries in central regions have certain retention ability and will not completely withdraw from the market because they can bear high pollution-emission fees [42,43]. On the other hand, these industries may move to regions with weak environmental regulations that can benefit their developments in order to minimize cost. Most industries in Eastern regions are service industries—that is, high-tech industries. Most of them have technological innovation capabilities and capital to retain. However, considering the fact that the economic development level in eastern regions is relatively high, the implementation of the “Two-Control Zones” policy will reduce the output value of some pollution-intensive industries. In order to maintain regional economic growth, the government may transfer these industries to central or western regions or cities outside of “Two-Control Zones” in eastern regions [44]. The overall economic development level of western regions is relatively low. To seek economic development, the government implements relatively less intensive environmental regulations in western regions, which not only has limited impact on polluting industries but also make this region a net transfer-in destination for some polluting industries [45,46]. Therefore, the promotion effect of the “Two-Control Zones” policy on regional industrial transfer is strengthened in the order of the western, eastern, and central regions.
Secondly, this paper investigates the regional heterogeneity of the effect of the “Two-Control Zones” policy caused by varying resource-dependence and classifies the sample into two types of regions: high resource-dependence regions and low resource-dependence regions. Columns (4) and (5) in Table 11 are the regression results of high and low resource-dependence regions, respectively, indicating that the “Two-Control Zones” policy has a significant promotion effect on regional industrial transfer in either high or low resource-dependence regions. At the same time, intensifying environmental regulations has a lower promotion effect on industrial transfer in regions with high resource-dependence than in regions with low resource-dependence. The reason is that abundance of regional resources is positively correlated with the dependence of regional industries on the place located, so these industries are easy to be constrained by local resources. Therefore, the cost of transfer-out of industries in regions with high resource-dependence will be greater than that in regions with low resource-dependence. Similarly, it can be seen from Figure 5 that since the implementation of the “Two-Control Zones” policy in 1998, the industrial transfer in regions with high resource-dependence has been lower than that in regions with low resource-dependence. So far, thesis 2 has been verified.
This paper takes the “Two-Control Zones” policy as a quasi-natural experiment, adopts the panel data of 282 prefecture-level cities from 1994 to 2010, and uses the DID method to empirically examine the impact and mechanism of environmental regulations on regional industrial transfer. We find that environmental regulations can significantly promote regional industrial transfer. The promoting effect will have regional heterogeneity due to differences in regional market environment and resource endowment, and the impact is the strongest in central regions and the weakest in western regions. Compared with the eastern regions where economy is relatively developed, the central regions have another story: the polluting industries in central regions may transfer out, while the polluting industries in eastern regions may also transfer to central regions. The western regions have almost become a transfer-in destination for polluting industries. At the same time, industrial transfer is more likely to occur in regions with low resource dependence. From mechanism research, we find that environmental regulations enhance industrial liquidity across regions and also promote regional technology innovation. The promoting effect of environmental regulations is greater in regions with greater industrial liquidity, which supports the simultaneous establishment of the “Pollution Heaven Hypothesis” and the “Porter Hypothesis” in the Chinese context.
Although this paper has made certain innovations in the selection of environmental regulation and the research on the impact mechanism and has made conclusions of practical significance, there are still some shortcomings. On the one hand, there are few studies related to industrial liquidity currently, and this paper attempts to incorporate industrial liquidity into the research of the impact mechanism of environmental regulations on regional industrial transfer. Therefore, it is difficult to find a consistent indicator to measure industrial liquidity, as there are few studies that can be referred to, and there may be inaccuracy in industrial liquidity measurement. On the other hand, this paper researches regional industrial transfer using cities as the smallest caliber. However, there may be several administrative regions for some large cities, so it is necessary to identify whether enterprises will transfer out of the city when they have to transfer due to environmental regulations and whether these enterprises will transfer between administrative regions within the city.
Therefore, in order to further explore the so-called “regional industrial transfer”, it is necessary to rely on the typical cases of relevant enterprises so that the implementation of environmental regulations can be more practical and instructive.
Pollution control has a long way to go. To avoid the vicious circle of “environmental pollution–policy implementation–transfer of polluting industries–environmental pollution”, it is urgent to strengthen environmental regulations for regional transfer of polluting industries. On the one hand, it is necessary to formulate and implement environmental regulations effectively according to local conditions. Based on the actual market environment of different regions in China, we need to adopt the following measures. First of all, the eastern regions have abundant funds. While meeting the requirements of environmental regulations, it is necessary to use their own capital advantages to promote investment in green technology innovation and reduce overall pollution emissions of polluting industries. Then, the central regions are rich in resources, but they have a key role in the process of regional industrial transfer, so it is important to attract environmental-friendly industries and introduce green technology. Finally, the western regions, the net transfer-in destination of polluting industries, should strengthen environmental regulations, and the transfer-in of polluting industries from other regions should be accepted or restricted in a reasonable and orderly manner.
On the other hand, it is necessary to strengthen the anti-driving mechanism of pollution control costs on regional industrial technology innovation [47] and formulate corresponding innovation incentive mechanisms. Although the industries can survive by moving to regions with less intensive environmental regulations in the short term, it does not work in the long run. The most fundamental measure is to increase investment in industrial technology innovation to improve the industrial clean-technology level and labor productivity so as to prevent excessive pollution emissions and reduce costs. Specifically, the government not only needs to formulate a sustainable development strategy and provide more financial support for “short-sighted” enterprises in research and development but also needs to provide enterprises more tax favored benefits and financing channels in research and development to strengthen the “compensatory effect” of environmental regulations on technological innovation. At the same time, the government should pay attention to the scale effect of technological innovation of large enterprises. Therefore, when formulating environmental regulations, the government should take into account the indirect impact of environmental regulations on technological innovation of large enterprises and provide more financial subsidies and access to capital to them. The government also needs to adopt differentiated environmental regulations for different types of large enterprises to provide better institutional guarantees for technological innovation. Currently, it is important to balance environmental governance and economic development, and it is urgent to establish a reasonable environmental regulation system to protect the environment in China and improve standard of living.

Author Contributions

Conceptualization, B.L.; Data curation, Y.C.; Formal analysis, Y.C. and B.L.; Methodology, B.L.; Project administration, Z.T.; Resources, Y.C.; Software, B.L.; Supervision, Z.T.; Validation, B.L.; Writing—original draft, Y.C. and B.L.; Writing—review and editing, Y.C. All authors have read and agreed to the published version of the manuscript.

Funding

We acknowledge funding from the National Social Science Foundation of China (Grant no. 18ZDA051), the National Natural Science Foundation of China (Grant no. 72073049), the National Natural Science Foundation of China (Grant no. 71703052). This paper does not reflect an official statement or opinion from the organizations.

Institutional Review Board Statement

Not applicable.

Informed Consent Statement

Not applicable.

Data Availability Statement

Data will be made available on reasonable request.

Conflicts of Interest

The authors declare that they have no competing interest.

References

  1. Chen, Z.; Kahn, M.E.; Liu, Y.; Wang, Z. The Consequences of Spatially Differentiated Water Pollution Regulation in China. J. Environ. Econ. Manag. 2018, 88, 468–485. [Google Scholar] [CrossRef]
  2. Feiock, R.; Rowland, C.K. Environmental Regulation and Economic Development: The Movement of Chemical Production among States. West. Political Q. 1990, 43, 561–576. [Google Scholar] [CrossRef]
  3. Wagner, U.J.; Timmins, C.D. Agglomeration Effects in Foreign Direct Investment and the Pollution Haven Hypothesis. Environ. Resour. Econ. 2009, 43, 231–256. [Google Scholar] [CrossRef]
  4. Domazlicky, B.R.; Weber, W.L. Does Environmental Protection Lead to Slower Productivity Growth in the Chemical Industry? Environ. Resour. Econ. 2004, 28, 301–324. [Google Scholar] [CrossRef]
  5. Peuckert, J. What Shapes the Impact of Environmental Regulation on Competitiveness? Evidence from Executive Opinion Surveys. Environ. Innov. Soc. Transit. 2014, 10, 77–94. [Google Scholar] [CrossRef]
  6. Rassier, D.G.; Earnhart, D. Effects of environmental regulation on actual and expected profitability. Ecol. Econ. 2015, 12, 129–140. [Google Scholar] [CrossRef]
  7. Guo, J.W.; Tao, F. Agglomeration Effects, Environmental Regulation Policy and Foreign Direct Investment Location Choice—According to the New Economic Geography. Ind. Econ. Res. 2009, 4, 29–37. [Google Scholar] [CrossRef]
  8. Jin, C.Y.; Wang, W.Q. Does Pollution Haven Hypothesis Exist in China—An Empirical Test Based on Spatial Victor Autoregressive Model. J. Int. Trade 2016, 8, 108–118. [Google Scholar] [CrossRef]
  9. Wei, W.; Bi, C. Environment Regulation, Interregional Industry Transfer and Pollution Heaven Effect in China—Empirical Analysis Based on Provincial Panel Poisson Model. J. Shanxi Univ. Financ. Econ. 2011, 8, 69–75. [Google Scholar]
  10. Huang, S.S.; Shen, J. A Study on Influencing Factors of Spatial Evolution of Pollution Intensive Industries in Guangdong Province. In Abstracts of the 2015 Academic Symposium of the Economic Geography Professional Committee of the Chinese Geo-graphical Society; 2015; Volumn 40, Available online: https://kns.cnki.net/kcms2/article/abstract?v=3uoqIhG8C467SBiOvrai6TdxYiSzCnOEjrIutYLW0xzTNF5G8PyHIab5Ldsp2a7cwim80pfKaQcWh9g_ggnWJiUaUTpmOuIXVR03gfhBe3w%3d&uniplatform=NZKPT (accessed on 11 February 2023).
  11. Ding, T.T.; Ge, C.Z.; Duan, X.M. Regional shift of pollution-intensive industries in Yangtze River economic belt. China Popul. Resour. Environ. 2016, 26, 388–391. [Google Scholar]
  12. Shen, K.R.; Jin, G.; Fang, X. Does Environmental Regulation Cause Pollution to Transfer Nearby? Econ. Res. J. 2017, 52, 44–59. [Google Scholar]
  13. Fu, J.Y.; Li, L.S. A Case Study on the Environmental Regulation, the Factor Endowment and the International Competitiveness in Industries. J. Manag. World 2010, 10, 97–108+197. [Google Scholar] [CrossRef]
  14. Li, X.P.; Lu, X.X. International Trade Pollution Industry Transfer and Chinese Industries’ CO2 Emissions. Econ. Res. J. 2010, 45, 15–26. [Google Scholar]
  15. Zhang, C.Y.; Guo, Y.Q. Can Pollution-intensive Industry Transfer Achieve Win-win Development in Economy and Environment? From the Perspective of Environmental Regulation. J. Financ. Econ. 2015, 41, 96–108. [Google Scholar] [CrossRef]
  16. Zhong, M.C.; Li, M.J.; Du, W.J. Can Environmental Regulation Force Industrial Structure Adjustment: An Empirical Analysis Based on Provincial Panel Data. China Popul. Resour. Environ. 2015, 25, 107–115. [Google Scholar] [CrossRef]
  17. Zhao, Y.H. Empirical Study on Polluted Indusries Transfer in FDI. Int. Bus. 2006, 3, 58–61. [Google Scholar]
  18. Zhang, Z.H. An Empirical Study of Foreign Trade and Pollution-Industry Transfer. J. Int. Trade 2006, 12, 105–109. [Google Scholar]
  19. Long, N.; Siebert, H. Institutional Competition Versus Ex-ante Harmonization: The Case of Environmental Policy. J. Inst. Theor. Econ. 1991, 147, 296–311. [Google Scholar] [CrossRef]
  20. Li, P.; Mu, X.R. The Hysteresis of Porter Hypothesis and the Optimal Intensity of Regulation—Inspection based on System GMM and the Threshold Effect. Ind. Econ. Res. 2013, 4, 25–33. [Google Scholar] [CrossRef]
  21. Xu, S.C. Environmental Regulations and Competitiveness of Corporations—Oppugn Based on“Porter Hypothesis”. J. Int. Trade 2007, 5, 78–83. [Google Scholar]
  22. Huang, D.C.; Liu, Z.B. Study on Relationship between Environmental Regulation and Firm Independently Innovation—The Firm Competitiveness Design Based on Porter Hypothesis. China Ind. Econ. 2006, 3, 100–106. [Google Scholar] [CrossRef]
  23. Cai, X.; Lu, Y.; Wu, M. Does Environmental Regulation Drive away Inbound Foreign Direct Investment? Evidence from a Quasi-natural Experiment in China. J. Dev. Econ. 2016, 123, 73–85. [Google Scholar] [CrossRef]
  24. Hering, L.; Poncet, S. Environmental Policy and Exports: Evidence from Chinese Cities. J. Environ. Econ. Manag. 2014, 68, 296–318. [Google Scholar] [CrossRef]
  25. Han, C.; Sang, R.C. Enterprises’ Product Switching and Product Quality Improvement under Environmental Regulation. China Ind. Econ. 2018, 359, 43–62. [Google Scholar] [CrossRef]
  26. Sheng, D.; Zhang, H.L. Environmental Regulations and Upgrades of Exports Quality: Evidence from Two Control Zones Policy of China. Financ. Trade Econ. 2017, 38, 80–97. [Google Scholar]
  27. Shi, B.B.; Feng, C.; Zhang, Y.; Yang, F. Increasing Marginal Effect of Environmental Regulation Dividend. China Ind. Econ. 2017, 12, 40–58. [Google Scholar] [CrossRef]
  28. Wu, M.Q.; Zhou, S.M.; Chen, J.C. The Win-Win Relationship between Environmental Regulation and Economic Growth: Evidence from TCZ Policies in China. Mod. Econ. Sci. 2016, 38, 44–54+124. [Google Scholar] [CrossRef]
  29. Jefferson, G.H.; Tanaka, S.; Yin, W. Environmental Regulation and Industrial Performance: Evidence from Unexpected Externalities in China; Social Science Electronic Publishing: Beijing, China, 2014. [Google Scholar] [CrossRef]
  30. Li, B.; Zhan, K.Y.; Hu, Z.G. Can Environmental Regulation and Employment Really Achievea “Double Dividend”? An Empirical Study Based on “Two Control Zones” Policy in China. Ind. Econ. Res. 2019, 1, 113–126. [Google Scholar] [CrossRef]
  31. Sun, W.Y.; Yang, Q. The Impact of Environmental Regulation on Employment: An Empirical Study Based on TCZ Policy in China. J. Audit. Econ. 2017, 32, 96–107. [Google Scholar]
  32. Tanaka, S. Environmental Regulations on Air Pollution in China and Their Impact on Infant Mortality. J. Health Econ. 2015, 42, 90–103. [Google Scholar] [CrossRef]
  33. Sheng, D.; Zhang, G.F. Environmental Regulations of Two Control Zones and Enterprise Total Factor Productivity Growth. J. Manag. World 2019, 35, 24–42+198. [Google Scholar]
  34. Dou, J.M.; Han, X. How Does the Industry Mobility Affect Pollution Industry Transfer in China: Empirical Test on Pollution Haven Hypothesis and Porter Hypothesis. J. Clean. Prod. 2019, 217, 105–115. [Google Scholar] [CrossRef]
  35. Yuan, Y.J.; Xie, R.H. Research on the Effect of Environmental Regulation to Industrial Restructuring—Empirical Test Based on Provincial Panel Data of China. China Ind. Econ. 2014, 8, 57–69. [Google Scholar]
  36. Zhao, F.F.; Song, D.Y. Can Environmental Regulation Promote the Tranfer of Industrial Regions?—Empirical Analysis Based on Panel Data of 261 Prefecture-Level Cities in China. Inq. Into Econ. Issues 2018, 8, 95–102. [Google Scholar]
  37. Li, H.; Zou, Q. Environmental Regulations, Resource Endowments and Urban Industry Transformation: Comparative Analysis of Resource-based and Non-Resource-Based Cities. Econ. Res. J. 2018, 53, 182–198. [Google Scholar]
  38. Hou, W.L.; Fang, L.; Liu, S. Do Pollution Havens Exist in China? An Empirical Research on Environmental Regulation and Transfer of Pollution Intensive Industries. Econ. Rev. 2013, 4, 65–72. [Google Scholar] [CrossRef]
  39. Liu, H.W.; Liu, B.T.; Zheng, S.L. The Impact of Environmental Regulation on Manufacturing Upgrading. China Soft Sci. 2019, 5, 40–52. [Google Scholar] [CrossRef]
  40. Erik, S. Why Butterflies Don’t Leave: Locational Behavior of Entrepreneurial Firms. Econ. Geogr. 2007, 83, 27–50. [Google Scholar] [CrossRef]
  41. Yu, Y.Z.; Pan, Y. The Mysterious Coexistence of Rapid Economic Growth and a Lag in the Service Industry’s Upgrade in China: An Interpretation Based on the Economic Growth Target Constraints Perspective. Econ. Res. J. 2019, 54, 150–165. [Google Scholar]
  42. Li, J.; Xue, H.R.; Pan, Z. Product Market Competition of Enterprise in Manufacturing Industry, Organizational Slack and Enterprise Technology Innovation. China Econ. Stud. 2016, 2, 112–125. [Google Scholar] [CrossRef]
  43. Zhang, X.F.; Shen, T.Y.; Wang, J.K. Environmental Regulation, Firm Heterogeneity and Firm Exit. J. Beijing Inst. Technol. (Soc. Sci. Ed.) 2017, 19, 43–49. [Google Scholar] [CrossRef]
  44. Wang, S.B.; Tan, F.F. Environment Regulation and Haze Decoupling Effect—Base on the Perspective of Heavy Pollution Industrial Transformation. J. Beijing Inst. Technol. (Soc. Sci. Ed.) 2017, 19, 1–7. [Google Scholar] [CrossRef]
  45. He, L.B. The Inter-Region Transfer Path and Extension of Domestic Pollution-Intensive Industries—Panel Data of the Output of Related Industrial Products over the 2000–2011 Period. Economist 2013, 6, 78–86. [Google Scholar] [CrossRef]
  46. Wu, H.; Guo, H.; Zhang, B.; Bu, M. Westward Movement of New Polluting Firms in China: Pollution Reduction Mandates and Location Choice. J. Comp. Econ. 2017, 45, 119–138. [Google Scholar] [CrossRef]
  47. Zhang, J. Study on Economic Growth Effect and Transmission Mechanism of Environmental Regulation in Resource-Based Cities: A Dual Perspective on Innovation Compensation and Industrial Structure Upgrading. China Popul. Resour. Environ. 2017, 27, 39–46. [Google Scholar] [CrossRef]
Figure 1. Microscopic mechanism diagram of environmental regulations on regional industrial transfer.
Figure 1. Microscopic mechanism diagram of environmental regulations on regional industrial transfer.
Sustainability 15 05780 g001
Figure 2. Trend chart of regional industrial transfer index.
Figure 2. Trend chart of regional industrial transfer index.
Sustainability 15 05780 g002
Figure 3. Trend chart of technology innovation level.
Figure 3. Trend chart of technology innovation level.
Sustainability 15 05780 g003
Figure 4. Parallel Trend Assumption Test.
Figure 4. Parallel Trend Assumption Test.
Sustainability 15 05780 g004
Figure 5. Trend chart of industrial transfer in high-resource-dependence regions versus in low-resource-dependence regions.
Figure 5. Trend chart of industrial transfer in high-resource-dependence regions versus in low-resource-dependence regions.
Sustainability 15 05780 g005
Table 1. Descriptive statistics of variables.
Table 1. Descriptive statistics of variables.
VariablePeriod NMeanS.D.MinMax
iagg1994–201045692.4061.2710.00022.214
ind1994–201046040.9191.4130.00015.324
Tcz×post1994–201048280.4250.4940.0001.000
re1994–201036570.0080.0220.0000.432
dgi1994–201044840.3020.1770.0000.999
ln(wage)1994–201045439.3160.6712.28311.828
mktsize1994–201046135,556,5008,210,18838,6161.07 × 108
inf1994–2010454318.11925.7610.0481060.966
ln(employ)1994–201058103.7030.9351.6196.687
is1994–2010461233.25111.0780.08485.34
asset_specificity1994–201057600.5130.1080.1060.962
deprec_ratio1994–201056120.4140.2310.1120.796
ln(app)1994–201060864.1391.8930.00010.465
ln(auth)1994–201060863.9621.8840.00010.132
ln(fc)1994–201044539.9371.432−3.52913.273
ln(productivity)1994–2010445311.0581.098−1.66913.604
enterprise1994–201055021023.0521375.69419.00039,328.000
Table 2. Basic regression result.
Table 2. Basic regression result.
Model(1)(2)(3)
VariableTransferTransferTransfer
Tcz×post0.5093 ***0.4815 ***0.4347 ***
(0.0388)(0.0402)(0.0375)
re 5.7366 ***1.2303
(0.8949)(0.8560)
dgi −0.4756 ***−0.3500 **
(0.1531)(0.1428)
ln(wage) 0.8632 ***0.9395 ***
(0.0672)(0.0626)
mktsize 0.0000 ***0.0000 ***
(0.0000)(0.0000)
inf 0.0062 ***0.0082 ***
(0.0009)(0.0009)
ln(employ) 0.07790.0548
(0.0708)(0.0660)
is −0.0518 ***
(0.0023)
Constant2.1771 ***−6.2895 ***−5.3723 ***
(0.0252)(0.7232)(0.6738)
Year fixed effectYESYESYES
City fixed effectYESYESYES
Observations453534403438
R20.0390.3550.443
Note:**, and *** indicate significance on level of 5%, and 1%, respectively, and what is in the parenthesis () is standard error; the following tables are the same.
Table 3. Changing indicators.
Table 3. Changing indicators.
Model(1)(2)(3)
VariableTransferTransferTransfer
Tcz×post0.7731 ***0.0984 ***0.0846 ***
(0.0425)(0.0233)(0.0236)
re0.0984 ***−0.4857−1.5962 ***
(0.0233)(0.5174)(0.5216)
dgi 0.11970.1552 *
(0.0904)(0.0892)
ln(wage) 0.6508 ***0.6716 ***
(0.0394)(0.0389)
mktsize 0.0000 ***0.0000 ***
(0.0000)(0.0000)
inf 0.0010 *0.0017 ***
(0.0005)(0.0005)
ln(employ) 0.0782 ***0.1084 ***
(0.0189)(0.0189)
is −0.0148 ***
(0.1493)
Constant2.1771 ***−6.2895 ***−5.3723 ***
(0.0252)(0.7232)(0.6738)
Year fixed effectYESYESYES
City fixed effectYESYESYES
Observations453534403438
R20.0720.8010.807
* and *** indicate significance on level of 10% and 1%, respectively.
Table 4. Long-term dynamic effect test.
Table 4. Long-term dynamic effect test.
Model(1)(2)
VariableTransferTransfer
Tcz×post×year19980.11510.0588
(0.1051)(0.0550)
Tcz×post×year19990.2921 ***0.0729
(0.1022)(0.0535)
Tcz×post×year20000.2208 **0.1017 *
(0.0995)(0.0521)
Tcz×post×year20010.2273 **0.1068 **
(0.0996)(0.0521)
Tcz×post×year20020.2191 **0.1351 ***
(0.0993)(0.0520)
Tcz×post×year20030.2963 ***0.1866 ***
(0.0981)(0.0514)
Tcz×post×year20040.3330 ***0.2317 ***
(0.0990)(0.0518)
Tcz×post×year20050.3831 ***0.2503 ***
(0.0986)(0.0516)
Tcz×post×year20060.4014 ***0.2707 ***
(0.0980)(0.0513)
Tcz×post×year20070.4475 ***0.2143 ***
(0.0997)(0.0522)
Tcz×post×year20080.4191 ***0.1657 ***
(0.1001)(0.0524)
Tcz×post×year20090.3897 ***0.1073 **
(0.1006)(0.0527)
Tcz×post×year20100.3816 ***0.0278
(0.1006)(0.0527)
Constant3.1624 ***0.4253 *
(0.4254)(0.2227)
Year fixed effectYESYES
City fixed effectYESYES
Observations35963596
R20.5980.724
*, **, and *** indicate significance on level of 10%, 5%, and 1%, respectively.
Table 5. Changing time window.
Table 5. Changing time window.
Model(1)(2)(3)(4)(5)(6)
VariableTransferTransferTransferTransferTransferTransfer
periodyear of 1997year of 1999exclude the samples during the “Eleventh Five-Year plan” period
Tcz×post−0.3073 ***−0.1466 ***0.2690 ***0.1256 ***0.2445 ***0.0473 *
(0.0774)(0.0407)(0.0575)(0.0303)(0.0724)(0.0273)
re2.6276 ***0.04762.4941 ***−0.01192.1783 **−0.2947
(0.9632)(0.5070)(0.9638)(0.5075)(0.9607)(0.3627)
dgi−0.05050.2758 ***−0.06940.2672 ***−0.02490.1318 ***
(0.0968)(0.0510)(0.0970)(0.0511)(0.1162)(0.0439)
ln(wage)−0.04820.0432 *−0.04900.0428 *−0.00590.0046
(0.0462)(0.0243)(0.0462)(0.0243)(0.0485)(0.0183)
mktsize0.00000.0000 ***0.00000.0000 ***0.0000 *0.0000 ***
(0.0000)(0.0000)(0.0000)(0.0000)(0.0000)(0.0000)
inf0.0021 ***0.0010 ***0.0021 ***0.0010 ***−0.00100.0015 **
(0.0007)(0.0004)(0.0007)(0.0004)(0.0016)(0.0006)
ln(employ)0.1531 ***0.0832 ***0.1521 ***0.0827 ***0.0712 ***0.0224 **
(0.0260)(0.0137)(0.0259)(0.0137)(0.0273)(0.0103)
is−0.0472 ***−0.0212 ***−0.0472 ***−0.0211 ***−0.0373 ***−0.0126 ***
(0.0029)(0.1527)(0.0029)(0.1526)(0.0043)(0.0016)
Constant3.3686 ***0.4705 **3.2040 ***0.3918 *2.8858 ***0.5455 ***
(0.4282)(0.2254)(0.4251)(0.2238)(0.4442)(0.1677)
Year fixed effectYESYESYESYESYESYES
City fixed effectYESYESYESYESYESYES
Observations359635963596359622682268
R20.5950.7180.5960.7190.2300.755
*, **, and *** indicate significance on level of 10%, 5%, and 1%, respectively.
Table 6. The impact of environmental regulation on industrial liquidity.
Table 6. The impact of environmental regulation on industrial liquidity.
Model(1)(2)(3)(4)(5)(6)
VariableLiquidityLiquidityiaggiaggindind
liquidity strong liquidityweak liquiditystrong liquidityweak liquidity
Tcz×post−1.0219 **6.8815 ***0.4032 ***0.2909 ***0.2691 ***0.0376 ***
(0.4381)(2.0589)(0.0396)(0.0618)(0.0319)(0.0120)
re82.7662 ***24.09240.08687.3303 ***−1.2833 *−0.0331
(9.1770)(43.3441)(0.9202)(1.5916)(0.7411)(0.3102)
dgi−2.3258−1.2261−0.6468 ***−0.0710−0.3215 ***−0.2809 ***
(1.6303)(7.6842)(0.1488)(0.2263)(0.1198)(0.0441)
ln(wage)−0.7257−0.91531.0936 ***0.3382 ***−0.2959 ***−0.0587 ***
(0.6571)(3.0480)(0.0501)(0.0558)(0.0403)(0.0108)
mktsize−0.0000 ***0.0000 ***0.0000 ***0.0000 ***0.0000 ***0.0000 ***
(0.0000)(0.0000)(0.0000)(0.0000)(0.0000)(0.0000)
inf0.00640.03250.0076 ***0.0075 ***0.3092 ***0.0530 *
(0.0106)(0.0498)(0.0010)(0.0015)(0.0767)(0.0285)
ln(employ)0.1129−0.15480.1544 ***0.1105 **0.0488 **0.0400 ***
(0.2258)(1.0592)(0.0263)(0.0449)(0.0211)(0.0087)
is0.0522 *−0.2698 **−0.0488 ***−0.0483 ***−0.0123 ***−0.004 ***
(0.0275)(0.1293)(0.0026)(0.0042)(0.0020)(0.0008)
Constant60.8916 ***1.9936−7.0281 ***−0.73633.0278 ***0.6090 ***
(6.4517)(29.9189)(0.4805)(0.5628)(0.3869)(0.1096)
Year fixed effectYESYESYESYESYESYES
City fixed effectYESYESYESYESYESYES
Observations245723092,6717672,671767
R20.1900.0230.4420.4070.7420.763
*, **, and *** indicate significance on level of 10%, 5%, and 1%, respectively.
Table 7. The impact of environmental regulations on high-end service industries.
Table 7. The impact of environmental regulations on high-end service industries.
Model(1)(2)
VariableHigh_endHigh_end
Tcz×post−0.1808 **−0.1668 **
(0.0790)(0.0846)
rd3.58503.5443
(3.7412)(4.0963)
fd0.34090.4711
(0.4504)(0.5057)
agdp0.3935 ***0.5598 ***
(0.0408)(0.0548)
ln(car_vol)−0.04630.1508
(0.1165)(0.1659)
ln(university)−0.1911−0.1547
(0.1449)(0.1558)
scale 3.8496 ***
(0.7147)
urban 0.0044
(0.0105)
Constant15.1830 ***−8.9322 **
(1.0900)(4.4151)
Year fixed effectYESYES
City fixed effectYESYES
Observations28302327
R20.0970.107
**, and *** indicate significance on level of 5%, and 1%, respectively.
Table 8. Environmental regulations and technology innovation.
Table 8. Environmental regulations and technology innovation.
Model(1)(2)(3)(4)(5)(6)
Variableln(app)ln(auth)ln(fc)ln(productivity)ln(wage)enterprise
Tcz×post0.3394 ***0.3510 ***0.0632 **0.0841 ***0.0841 ***−30.6946
(0.0492)(0.0496)(0.0292)(0.0252)(0.0142)(43.5720)
re2.5217 **2.4162 **−3.0223 ***−4.6754 ***0.5223 *−459.5719
(1.0275)(1.0354)(0.6124)(0.5274)(0.3002)(967.1354)
dgi−0.0991−0.11580.07180.14490.0992 *−161.3005
(0.1833)(0.1847)(0.1087)(0.0936)(0.0533)(162.7270)
ln(wage)0.3553 ***0.3790 ***0.6314 ***0.3962 *** 6.0194
(0.0736)(0.0742)(0.0438)(0.0378) (63.5266)
mktsize0.0000 ***0.0000 ***0.0000 ***0.0000 ***0.0000 ***−0.0000
(0.0000)(0.0000)(0.0000)(0.0000)(0.0000)(0.0000)
inf−0.0073 ***−0.0072 ***0.0017 **−0.00060.0033 ***−0.1586
(0.0012)(0.0012)(0.0007)(0.0006)(0.0003)(1.0305)
ln(employ)−0.0093−0.0073−0.01130.00110.0079−9.0573
(0.0253)(0.0255)(0.0151)(0.0130)(0.0074)(21.9945)
is0.0089 ***0.0074 **−0.0143 ***−0.0191 ***0.00123.4671
(0.0031)(0.0031)(0.0018)(0.0016)(0.0009)(2.7219)
Constant−0.1574−0.57655.0033 ***8.0961 ***9.4780 ***1086.7217 *
(0.7223)(0.7278)(0.4306)(0.3708)(0.0552)(624.6047)
Year fixed effectYESYESYESYESYESYES
City fixed effectYESYESYESYESYESYES
Observations244724472461246124612163
R20.5160.5140.5690.4170.6170.158
*, **, and *** indicate significance on level of 10%, 5%, and 1%, respectively.
Table 9. Industrial liquidity and technology innovation.
Table 9. Industrial liquidity and technology innovation.
Model(1)(2)(3)(4)
Variableln(app)ln(app)ln(auth)ln(auth)
liquiditystrong liquidityweak liquiditystrong liquidityweak liquidity
Tcz×post0.2856 ***0.4503 ***0.3127 ***0.4549 ***
(0.0529)(0.0512)(0.0534)(0.0513)
re−4.3615 *5.2355 ***−5.3051 **5.4182 ***
(2.3334)(0.9823)(2.3569)(0.9854)
dgi−0.0527−0.0810−0.1258−0.1414
(0.1867)(0.2012)(0.1886)(0.2019)
ln(wage)0.5425 ***0.1502 **0.5200 ***0.1061
(0.0550)(0.0653)(0.0556)(0.0655)
mktsize0.0000 ***0.0000 ***0.0000 ***0.0000 ***
(0.0000)(0.0000)(0.0000)(0.0000)
inf−0.0060 ***−0.0051 ***−0.0057 ***−0.0050 ***
(0.0016)(0.0010)(0.0016)(0.0010)
ln(employ)−0.01510.0174−0.01530.0125
(0.0325)(0.0323)(0.0328)(0.0324)
is0.0319 ***−0.0075 **0.0309 ***−0.0088 ***
(0.0036)(0.0032)(0.0037)(0.0032)
Constant−1.6794 ***2.3017 ***−1.5959 ***2.5915 ***
(0.5304)(0.6200)(0.5358)(0.6220)
Year fixed effectYESYESYESYES
City fixed effectYESYESYESYES
Observations1736168517361685
R20.5950.4060.5870.407
*, **, and *** indicate significance on level of 10%, 5%, and 1%, respectively.
Table 10. Resource dependence and technology innovation.
Table 10. Resource dependence and technology innovation.
Model(1)(2)(3)(4)
Variableln(app)ln(app)ln(auth)ln(auth)
resource dependencehigh dependencelow dependencehigh dependencelow dependence
Tcz×post0.3420 ***0.3239 ***0.3480 ***0.3477 ***
(0.0489)(0.0455)(0.0489)(0.0461)
re4.2471 ***−5.49684.2686 ***−16.4535
(0.9159)(28.6552)(0.9155)(29.0272)
dgi0.3062−0.6938 ***0.2281−0.7766 ***
(0.1929)(0.1569)(0.1928)(0.1589)
ln(wage)0.3309 ***0.7419 ***0.3063 ***0.7185 ***
(0.0558)(0.0525)(0.0558)(0.0532)
mktsize0.0000 ***0.0000 ***0.0000 ***0.0000 ***
(0.0000)(0.0000)(0.0000)(0.0000)
inf−0.0059 ***0.0016−0.0056 ***0.0018
(0.0011)(0.0012)(0.0011)(0.0012)
ln(employ)0.6087 ***1.0117 ***0.6248 ***1.0284 ***
(0.0432)(0.0357)(0.0432)(0.0362)
is−0.00360.0035−0.00500.0020
(0.0032)(0.0031)(0.0032)(0.0031)
Constant−1.4074 **−6.3137 ***−1.3588 **−6.2539 ***
(0.5503)(0.4939)(0.5501)(0.5003)
Year fixed effectYESYESYESYES
City fixed effectYESYESYESYES
Observations1809176918091769
R20.5210.7010.5210.697
**, and *** indicate significance on level of 5%, and 1%, respectively.
Table 11. Heterogeneity test.
Table 11. Heterogeneity test.
Model(1)(2)(3)(4)(5)
VariableTransferTransferTransferTransferTransfer
regionEasternCentralWesternhigh-dependencelow-dependence
Tcz×post0.2867 ***0.3337 ***0.2771 ***0.1402 ***0.2830 ***
(0.0645)(0.0460)(0.0539)(0.0167)(0.0443)
re−5.4210 **−0.23714.1786 ***0.8697 ***−34.5493
(2.5247)(1.1999)(0.9039)(0.3125)(28.0218)
dgi−0.0491−0.5326 ***−1.5332 ***−0.3941 ***−0.7657 ***
(0.2130)(0.1792)(0.2022)(0.0657)(0.1532)
ln(wage)0.9684 ***0.8936 ***0.7773 ***−0.1507 ***−0.1347 ***
(0.0746)(0.0583)(0.0552)(0.0190)(0.0511)
mktsize−0.00000.0000 **−0.00000.0000 ***0.0000 ***
(0.0000)(0.0000)(0.0000)(0.0000)(0.0000)
inf0.0281 ***0.0131 ***0.0074 ***−0.0007 *0.0097 ***
(0.0024)(0.0017)(0.0008)(0.0004)(0.0012)
ln(employ)0.3822 ***−0.03960.2717 ***0.0635 ***0.2978 ***
(0.0518)(0.0410)(0.0506)(0.0147)(0.0350)
is−0.0593 ***−0.0616 ***−0.0503 ***−0.0112 ***−0.0111 ***
(0.0050)(0.0030)(0.0030)(0.0011)(0.0030)
Constant−6.4973 ***−4.2091 ***−4.3877 ***1.6495 ***0.7290
(0.7177)(0.5661)(0.5433)(0.1876)(0.4817)
Year fixed effectYESYESYESYESYES
City fixed effectYESYESYESYESYES
Observations1307129799218091787
R20.4550.5100.4650.8250.751
*, **, and *** indicate significance on level of 10%, 5%, and 1%, respectively.
Disclaimer/Publisher’s Note: The statements, opinions and data contained in all publications are solely those of the individual author(s) and contributor(s) and not of MDPI and/or the editor(s). MDPI and/or the editor(s) disclaim responsibility for any injury to people or property resulting from any ideas, methods, instructions or products referred to in the content.

Share and Cite

MDPI and ACS Style

Tu, Z.; Cao, Y.; Liu, B. Can Environmental Regulations Promote Regional Industrial Transfer? Sustainability 2023, 15, 5780. https://doi.org/10.3390/su15075780

AMA Style

Tu Z, Cao Y, Liu B. Can Environmental Regulations Promote Regional Industrial Transfer? Sustainability. 2023; 15(7):5780. https://doi.org/10.3390/su15075780

Chicago/Turabian Style

Tu, Zhengge, Yu Cao, and Botao Liu. 2023. "Can Environmental Regulations Promote Regional Industrial Transfer?" Sustainability 15, no. 7: 5780. https://doi.org/10.3390/su15075780

APA Style

Tu, Z., Cao, Y., & Liu, B. (2023). Can Environmental Regulations Promote Regional Industrial Transfer? Sustainability, 15(7), 5780. https://doi.org/10.3390/su15075780

Note that from the first issue of 2016, this journal uses article numbers instead of page numbers. See further details here.

Article Metrics

Back to TopTop