Estimating Mohr–Coulomb Strength Parameters from the Hoek–Brown Criterion for Rock Slopes Undergoing Earthquake
Abstract
1. Introduction
2. Estimating MC Parameters from the HB Criterion for 3D Slopes
2.1. The HB Strength Criterion
2.2. Tangent Technique
2.3. Limit Analysis for 3D Slopes
2.4. Estimating MC Strength Parameters
3. Results and Discussions
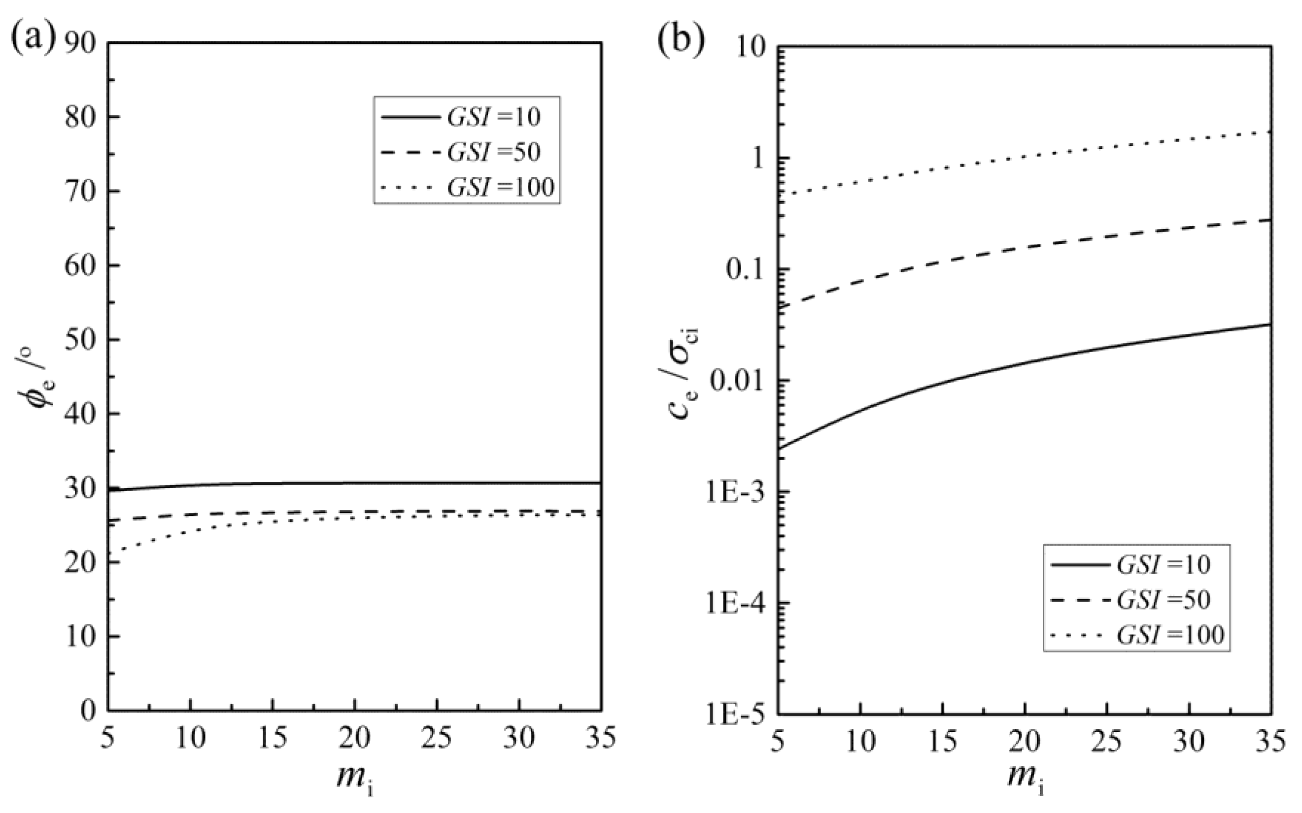
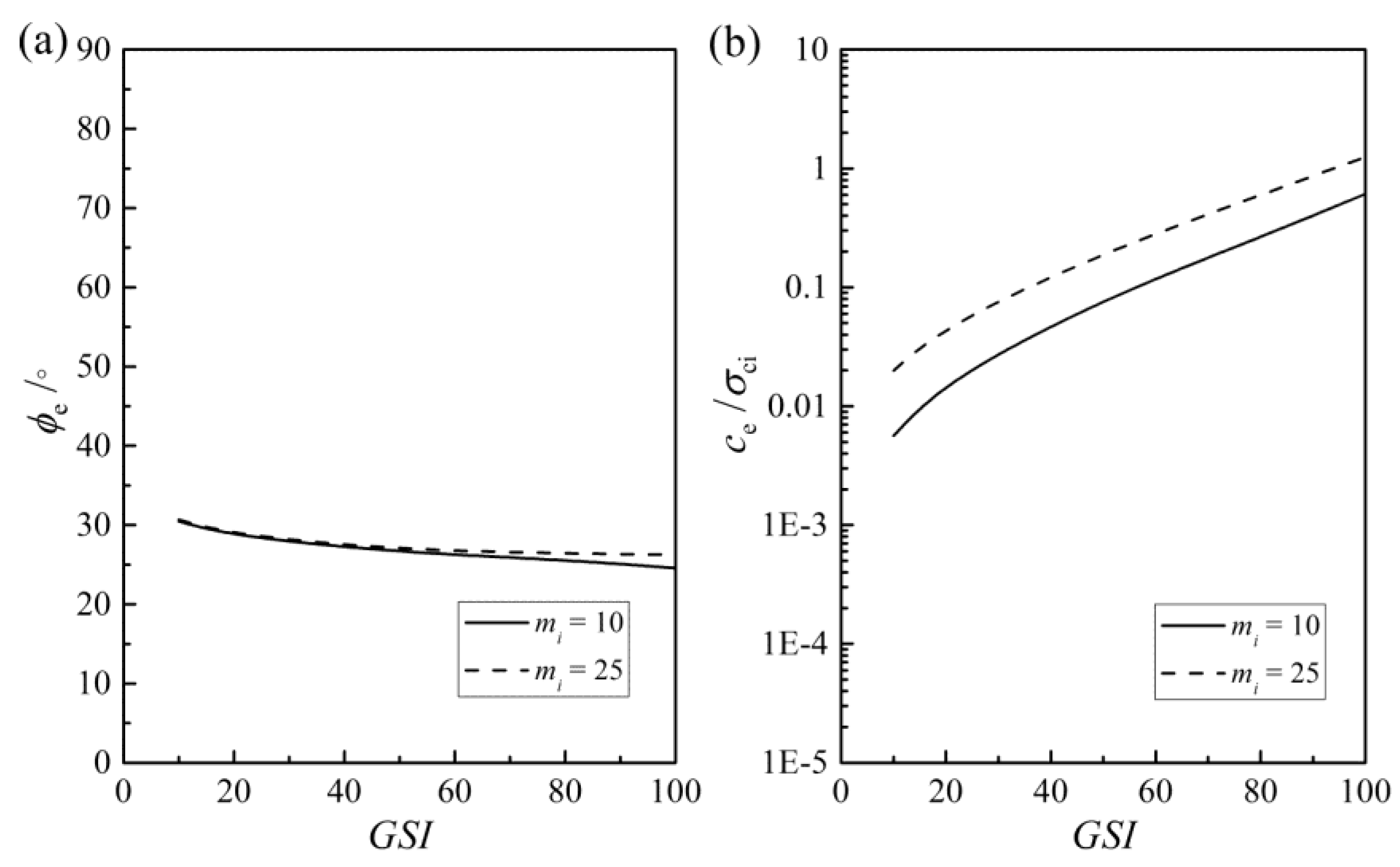
3.1. Effect of the HB Parameters on Equivalent MC Strengths
3.2. Slope Geometries on Equivalent MC Strengths
3.3. Effect of Earthquakes on Equivalent MC Strengths
3.4. Approximate MC Parameters Charts
4. Conclusions
Author Contributions
Funding
Institutional Review Board Statement
Informed Consent Statement
Data Availability Statement
Conflicts of Interest
References
- Bishop, A.W.; Webb, D.L.; Lewin, P.I. Undisturbed samples of London clay from the Ashford common shaft: Strength-effective stress relationships. Geotechnique 1965, 15, 1–31. [Google Scholar] [CrossRef]
- Hoek, E.; Brown, E.T. Empirical strength criterion for rock masses. J. Geotech. Geoenviron. Eng. 1980, 106, 1013–1035. [Google Scholar] [CrossRef]
- Maksmovic, M. Nonlinear failure envelope for soils. J. Geotech. Eng. 1989, 115, 581–586. [Google Scholar] [CrossRef]
- Baker, R. Nonlinear Mohr envelopes based on triaxial data. J. Geotech. Geoenviron. Eng. 2004, 130, 498–506. [Google Scholar] [CrossRef]
- Anyaegbunam, A. Nonlinear power-type failure laws for geomaterials: Synthesis from triaxial data, properties, and applications. Int. J. Geomech. 2015, 15, 04014036. [Google Scholar] [CrossRef]
- Hoek, E. Strength of jointed rock masses. Geotechnique 1983, 33, 187–223. [Google Scholar] [CrossRef]
- Hoek, E. Estimating Mohr-Coulomb friction and cohesion values from the Hoek-Brown failure criterion. Int. J. Rock Mech. Min. Sci. Geomech. Abstr. 1990, 27, 227–229. [Google Scholar] [CrossRef]
- Hoek, E.; Brown, E.T. Practical estimates of rock mass strength. Int. J. Rock Mech. Min. Sci. 1997, 34, 1165–1186. [Google Scholar] [CrossRef]
- Hoek, E.; Carranza-Torres, C.; Cotkum, B. Hoek-Brown failure criterion-2002 edition. In Proceedings of the NARMS-Tac, Toronto, ON, Canada, 7–10 July 2002; pp. 267–273. [Google Scholar]
- Wei, X.; Zuo, J.; Shi, Y.; Liu, H.; Jiang, Y.; Liu, C. Experimental verification of parameter m in Hoek–Brown failure criterion considering the effects of natural fractures. J. Rock Mech. Geotech. Eng. 2020, 12, 1036–1045. [Google Scholar] [CrossRef]
- Xia, K.; Chen, C.; Wang, T.; Zheng, Y.; Wang, Y. Estimating the geological strength index and disturbance factor in the Hoek–Brown criterion using the acoustic wave velocity in the rock mass. Eng. Geol. 2022, 306, 106745. [Google Scholar] [CrossRef]
- Dawson, E.; You, K.; Park, Y. Strength-reduction stability analysis of rock slopes using the Hoek-Brown failure criterion. Geotech. Special Publication 2000, 290, 65–77. [Google Scholar]
- Yang, X.L.; Li, L.; Yin, J.H. Seismic and static stability analysis for rock slopes by a kinematical approach. Geotechnique 2004, 54, 543–550. [Google Scholar] [CrossRef]
- Li, A.J.; Lyamin, A.V.; Merifield, R.S. Seismic rock slope stability charts based on limit analysis methods. Comput. Geotech. 2009, 36, 135–148. [Google Scholar] [CrossRef]
- Gao, Y.F.; Wu, D.; Zhang, F.; Lei, G.H.; Qin, H.; Qiu, Y. Limit analysis of 3D rock slope stability with non-linear failure criterion. Geomech. Eng. 2016, 10, 59–76. [Google Scholar] [CrossRef]
- Karrech, A.; Dong, X.; Elchalakani, M.; Basarir, H.; Shahin, M.A.; Regenauer-Lieb, K. Limit analysis for the seismic stability of three-dimensional rock slopes using the generalized Hoek-Brown criterion. Int. J. Min. Sci. Technol. 2022, 32, 237–245. [Google Scholar] [CrossRef]
- Londe, P. Discussion of “Determination of the Shear Failure Envelope in Rock Masses” by Roberto Ucar (March, 1986, Vol. 112, No. 3). J. Geotech. Eng. 1988, 114, 374–376. [Google Scholar] [CrossRef]
- Carranze-Torres, C. Elasto-plastic solution of tunnel problems using the generalized form of the Hoek-Brown failure criterion. Int. J. Rock Mech. Min. Sci. 2004, 41, 480–481. [Google Scholar] [CrossRef]
- Fu, W.; Liao, Y. Non-linear shear strength reduction technique in slope stability calculation. Comput. Geotech. 2010, 37, 288–298. [Google Scholar] [CrossRef]
- Chen, Y.; Lin, H. Consistency analysis of Hoek–Brown and equivalent Mohr–coulomb parameters in calculating slope safety factor. Bull. Eng. Geol. Environ. 2019, 78, 4349–4361. [Google Scholar] [CrossRef]
- Renani, H.R.; Martin, C.D. Slope stability analysis using equivalent Mohr–Coulomb and Hoek–Brown criteria. Rock Mech. Rock Eng. 2020, 53, 13–21. [Google Scholar] [CrossRef]
- Yang, X.L.; Yin, J.H. Linear Mohr-Coulomb strength parameters from the non-linear Hoek-Brown rockmasses. Int. J. Non-Linear Mech. 2006, 41, 1000–1005. [Google Scholar] [CrossRef]
- Shen, J.; Priest, S.D.; Karkus, M. Determination of Mohr-Coulomb shear strength parameters from generalized Hoek-Brown criterion for slope stability analysis. Rock Mech. Rock Eng. 2012, 45, 123–129. [Google Scholar] [CrossRef]
- Ren, J.; Chen, X.; Wang, D.; Lv, Y. Instantaneous linearization strength reduction technique for generalized Hoek-Brown criterion. Rock Soil Mech. 2019, 12, 1–8. (In Chinese) [Google Scholar]
- Zhao, L.; Cheng, X.; Li, L.; Chen, J.; Zhang, Y. Seismic displacement along a log-spiral failure surface with crack using rock Hoek–Brown failure criterion. Soil Dyn. Earthq. Eng. 2017, 99, 74–85. [Google Scholar] [CrossRef]
- Pang, Z.; Gu, D. Seismic stability of a fissured slope based on nonlinear failure criterion. Geotech. Geol. Eng. 2019, 37, 3487–3496. [Google Scholar] [CrossRef]
- Zhong, J.H.; Yang, X.L. Pseudo-dynamic stability of rock slope considering Hoek–Brown strength criterion. Acta Geotech. 2022, 17, 2481–2494. [Google Scholar] [CrossRef]
- Shen, J.; Karakus, M. Three-dimensional numerical analysis for rock slope stability using shear strength reduction method. Can. Geotech. J. 2014, 51, 164–172. [Google Scholar] [CrossRef]
- Wu, D.; Gao, Y.; Chen, X.; Wang, Y. Effects of soil strength nonlinearity on slip surfaces of homogeneous slopes. Int. J. Geomech. 2021, 21, 06020035. [Google Scholar] [CrossRef]
- Wu, D.; Shen, F. Stability assessment of coastal clay slopes considering strength nonlinearity and sea level drawdown. Mar. Georesour. Geotec. 2022, 2022, 1–17. [Google Scholar] [CrossRef]
- Li, X. Finite element analysis of slope stability using a nonlinear failure criterion. Comput. Geotech. 2007, 34, 127–136. [Google Scholar] [CrossRef]
- Michalowski, R.L.; Drescher, A. Three-dimensional stability of slopes and excavations. Geotechnique 2009, 59, 839–850. [Google Scholar] [CrossRef]
- Gao, Y.F.; Zhang, F.; Lei, G.H.; Li, D.Y. An extended limit analysis of three-dimensional slope stability. Geotechnique 2013, 63, 518–524. [Google Scholar] [CrossRef]
- Xu, J.; Pan, Q.; Yang, X.L.; Li, W. Stability charts for rock slopes subjected to water drawdown based on the modified nonlinear Hoek-Brown failure criterion. Int. J. Geomech. 2018, 18, 04017133. [Google Scholar] [CrossRef]
- Michalowski, R.L.; Park, D. Three-dimensional ridge collapse mechanism for narrow soil slopes. Int. J. Numer. Anal. Methods Geomech. 2021, 45, 1972–1987. [Google Scholar] [CrossRef]
- Pan, Q.; Zhang, R.; Wang, S.; Chen, J.; Zhang, B.; Zou, J.; Yang, X. Three-dimensional stability of slopes under water drawdown conditions. Int. J. Geomech. 2023, 23, 04022254. [Google Scholar] [CrossRef]
- Michalowski, R.L.; Martel, T. Stability charts for 3D failures of steep slopes subjected to seismic excitation. J. Geotech. Geoenviron. Eng. 2011, 137, 183–189. [Google Scholar] [CrossRef]












| mi | β/° | GSI | |||||
|---|---|---|---|---|---|---|---|
| 10 | 20 | 50 | 80 | 90 | 100 | ||
| 7 | 45 | 30.08 | 28.26 | 26.04 | 24.55 | 23.83 | 22.94 |
| 60 | 43.30 | 42.35 | 38.83 | 34.31 | 32.42 | 30.38 | |
| 75 | 52.31 | 53.66 | 49.13 | 41.43 | 38.59 | 35.67 | |
| 90 | 57.01 | 59.67 | 55.30 | 46.23 | 42.90 | 39.50 | |
| 10 | 45 | 30.37 | 28.46 | 26.39 | 25.45 | 24.98 | 24.40 |
| 60 | 45.08 | 43.60 | 40.54 | 37.17 | 35.65 | 33.92 | |
| 75 | 56.39 | 57.26 | 53.15 | 46.27 | 43.62 | 40.85 | |
| 90 | 61.81 | 64.17 | 60.28 | 51.99 | 48.84 | 45.57 | |
| 15 | 45 | 30.51 | 28.56 | 26.59 | 25.99 | 25.75 | 25.42 |
| 60 | 46.19 | 44.35 | 41.72 | 39.55 | 38.49 | 37.21 | |
| 75 | 60.23 | 60.51 | 56.94 | 51.18 | 48.86 | 46.37 | |
| 90 | 66.59 | 68.61 | 65.27 | 57.98 | 55.14 | 52.13 | |
| 17 | 45 | 30.53 | 28.58 | 26.62 | 26.10 | 25.90 | 25.63 |
| 60 | 46.40 | 44.49 | 41.96 | 40.09 | 39.17 | 38.03 | |
| 75 | 61.23 | 61.33 | 57.93 | 52.54 | 50.34 | 47.96 | |
| 90 | 67.92 | 69.84 | 66.67 | 59.69 | 56.95 | 54.04 | |
| 25 | 45 | 30.57 | 28.61 | 26.69 | 26.30 | 26.20 | 26.06 |
| 60 | 46.77 | 44.75 | 42.44 | 41.29 | 40.73 | 40.01 | |
| 75 | 63.75 | 63.30 | 60.43 | 56.23 | 54.42 | 52.41 | |
| 90 | 71.61 | 73.24 | 70.54 | 64.53 | 62.13 | 59.54 | |
| mi | β/° | GSI | |||||
|---|---|---|---|---|---|---|---|
| 10 | 20 | 50 | 80 | 90 | 100 | ||
| 7 | 45 | 0.0036 | 0.0113 | 0.0588 | 0.2081 | 0.3240 | 0.5142 |
| 60 | 0.0010 | 0.0033 | 0.0227 | 0.1091 | 0.1882 | 0.3287 | |
| 75 | 0.0005 | 0.0015 | 0.0122 | 0.0772 | 0.1425 | 0.2631 | |
| 90 | 0.0004 | 0.0011 | 0.0094 | 0.0660 | 0.1250 | 0.2358 | |
| 10 | 45 | 0.0057 | 0.0168 | 0.0812 | 0.2676 | 0.4034 | 0.6178 |
| 60 | 0.0013 | 0.0044 | 0.0271 | 0.1163 | 0.1945 | 0.3309 | |
| 75 | 0.0005 | 0.0014 | 0.0113 | 0.0702 | 0.1290 | 0.2376 | |
| 90 | 0.0004 | 0.0009 | 0.0080 | 0.0566 | 0.1077 | 0.2042 | |
| 15 | 45 | 0.0098 | 0.0268 | 0.1199 | 0.3757 | 0.5521 | 0.8192 |
| 60 | 0.0020 | 0.0064 | 0.0358 | 0.1356 | 0.2171 | 0.3548 | |
| 75 | 0.0005 | 0.0014 | 0.0109 | 0.0641 | 0.1166 | 0.2131 | |
| 90 | 0.0003 | 0.0008 | 0.0066 | 0.0472 | 0.0901 | 0.1716 | |
| 17 | 45 | 0.0117 | 0.0310 | 0.1357 | 0.4204 | 0.6144 | 0.9053 |
| 60 | 0.0023 | 0.0073 | 0.0396 | 0.1448 | 0.2287 | 0.3686 | |
| 75 | 0.0005 | 0.0014 | 0.0110 | 0.0627 | 0.1135 | 0.2067 | |
| 90 | 0.0003 | 0.0007 | 0.0062 | 0.0445 | 0.0851 | 0.1623 | |
| 25 | 45 | 0.0201 | 0.0489 | 0.1997 | 0.6034 | 0.8716 | 1.2646 |
| 60 | 0.0037 | 0.0111 | 0.0556 | 0.1865 | 0.2834 | 0.4381 | |
| 75 | 0.0005 | 0.0016 | 0.0115 | 0.0603 | 0.1068 | 0.1913 | |
| 90 | 0.0002 | 0.0006 | 0.0052 | 0.0371 | 0.0712 | 0.1361 | |
| mi | β/° | GSI | |||||
|---|---|---|---|---|---|---|---|
| 10 | 20 | 50 | 80 | 90 | 100 | ||
| 7 | 45 | 44.48 | 43.73 | 39.95 | 34.95 | 32.91 | 30.73 |
| 60 | 52.90 | 54.45 | 49.84 | 41.85 | 38.90 | 35.90 | |
| 75 | 57.35 | 60.11 | 55.75 | 46.55 | 43.16 | 39.70 | |
| 90 | 60.49 | 63.88 | 59.99 | 50.41 | 46.73 | 42.96 | |
| 10 | 45 | 46.56 | 45.22 | 41.95 | 38.11 | 36.42 | 34.53 |
| 60 | 57.16 | 58.27 | 54.08 | 46.87 | 44.12 | 41.25 | |
| 75 | 62.20 | 64.66 | 60.80 | 52.40 | 49.20 | 45.88 | |
| 90 | 65.44 | 68.39 | 65.13 | 56.66 | 53.30 | 49.69 | |
| 15 | 45 | 47.94 | 46.16 | 43.37 | 40.82 | 40.38 | 38.15 |
| 60 | 61.24 | 61.81 | 58.15 | 52.02 | 49.58 | 46.98 | |
| 75 | 67.02 | 69.14 | 65.85 | 58.48 | 57.44 | 52.54 | |
| 90 | 70.19 | 72.77 | 70.12 | 62.88 | 61.83 | 56.76 | |
| 17 | 45 | 48.20 | 45.22 | 43.66 | 41.45 | 40.38 | 39.09 |
| 60 | 62.32 | 62.73 | 59.23 | 53.46 | 51.13 | 48.63 | |
| 75 | 68.36 | 70.37 | 67.26 | 60.21 | 57.44 | 54.48 | |
| 90 | 71.50 | 73.88 | 71.48 | 64.62 | 61.81 | 58.79 | |
| 25 | 45 | 48.69 | 46.67 | 44.26 | 42.89 | 42.22 | 41.37 |
| 60 | 65.14 | 65.03 | 62.05 | 57.42 | 55.47 | 53.32 | |
| 75 | 72.07 | 73.79 | 71.17 | 65.11 | 62.68 | 60.07 | |
| 90 | 73.94 | 76.68 | 74.89 | 69.52 | 67.08 | 64.50 | |
| mi | β/° | GSI | |||||
|---|---|---|---|---|---|---|---|
| 10 | 20 | 50 | 80 | 90 | 100 | ||
| 7 | 45 | 0.0009 | 0.0030 | 0.0211 | 0.1052 | 0.1834 | 0.3231 |
| 60 | 0.0005 | 0.0014 | 0.0117 | 0.0760 | 0.1409 | 0.2610 | |
| 75 | 0.0004 | 0.0011 | 0.0093 | 0.0655 | 0.1242 | 0.2347 | |
| 90 | 0.0004 | 0.0010 | 0.0085 | 0.0611 | 0.1167 | 0.2220 | |
| 10 | 45 | 0.0011 | 0.0038 | 0.0244 | 0.1096 | 0.1858 | 0.3199 |
| 60 | 0.0005 | 0.0013 | 0.0107 | 0.0683 | 0.1264 | 0.2340 | |
| 75 | 0.0004 | 0.0009 | 0.0078 | 0.0560 | 0.1067 | 0.2027 | |
| 90 | 0.0003 | 0.0008 | 0.0072 | 0.0516 | 0.0990 | 0.1893 | |
| 15 | 45 | 0.0016 | 0.0054 | 0.0315 | 0.1240 | 0.2104 | 0.3343 |
| 60 | 0.0004 | 0.0012 | 0.0100 | 0.0613 | 0.1125 | 0.2074 | |
| 75 | 0.0003 | 0.0007 | 0.0065 | 0.0464 | 0.0838 | 0.1696 | |
| 90 | 0.0003 | 0.0007 | 0.0059 | 0.0424 | 0.0767 | 0.1565 | |
| 17 | 45 | 0.0019 | 0.0038 | 0.0346 | 0.1313 | 0.2104 | 0.3442 |
| 60 | 0.0003 | 0.0012 | 0.0099 | 0.0595 | 0.1089 | 0.2002 | |
| 75 | 0.0003 | 0.0007 | 0.0061 | 0.0437 | 0.0838 | 0.1602 | |
| 90 | 0.0004 | 0.0006 | 0.0055 | 0.0399 | 0.0767 | 0.1473 | |
| 25 | 45 | 0.0030 | 0.0093 | 0.0479 | 0.1648 | 0.2535 | 0.3974 |
| 60 | 0.0004 | 0.0013 | 0.0100 | 0.0556 | 0.1000 | 0.1816 | |
| 75 | 0.0002 | 0.0006 | 0.0050 | 0.0363 | 0.0698 | 0.1338 | |
| 90 | 0.0002 | 0.0005 | 0.0046 | 0.0330 | 0.0635 | 0.1220 | |
Disclaimer/Publisher’s Note: The statements, opinions and data contained in all publications are solely those of the individual author(s) and contributor(s) and not of MDPI and/or the editor(s). MDPI and/or the editor(s) disclaim responsibility for any injury to people or property resulting from any ideas, methods, instructions or products referred to in the content. |
© 2023 by the authors. Licensee MDPI, Basel, Switzerland. This article is an open access article distributed under the terms and conditions of the Creative Commons Attribution (CC BY) license (https://creativecommons.org/licenses/by/4.0/).
Share and Cite
Wu, D.; Chen, X.; Tao, Y.; Meng, X. Estimating Mohr–Coulomb Strength Parameters from the Hoek–Brown Criterion for Rock Slopes Undergoing Earthquake. Sustainability 2023, 15, 5405. https://doi.org/10.3390/su15065405
Wu D, Chen X, Tao Y, Meng X. Estimating Mohr–Coulomb Strength Parameters from the Hoek–Brown Criterion for Rock Slopes Undergoing Earthquake. Sustainability. 2023; 15(6):5405. https://doi.org/10.3390/su15065405
Chicago/Turabian StyleWu, Di, Xin Chen, Yongchao Tao, and Xiaodong Meng. 2023. "Estimating Mohr–Coulomb Strength Parameters from the Hoek–Brown Criterion for Rock Slopes Undergoing Earthquake" Sustainability 15, no. 6: 5405. https://doi.org/10.3390/su15065405
APA StyleWu, D., Chen, X., Tao, Y., & Meng, X. (2023). Estimating Mohr–Coulomb Strength Parameters from the Hoek–Brown Criterion for Rock Slopes Undergoing Earthquake. Sustainability, 15(6), 5405. https://doi.org/10.3390/su15065405

