Carbon Tax or Low-Carbon Subsidy? Carbon Reduction Policy Options under CCUS Investment
Abstract
1. Introduction
- (i)
- How does the carbon tax policy and the low-carbon subsidy policy affect the optimal operation decision of the supply chain?
- (ii)
- How does the government choose between carbon tax and low-carbon subsidy policy to simultaneously improve economic efficiency, environmental performance and social welfare?
- (iii)
- In addition to policy options, what strategies can the government formulate to further enhance social welfare?
2. Literature Review
2.1. Carbon Emission Reduction Incentive Policies
2.2. The Comparison of Carbon Reduction Incentive Policies
3. Model Description
4. Equilibrium Analysis
5. Model Comparison
6. Numerical Study
6.1. Model Comparison and Optimal Mode Selection
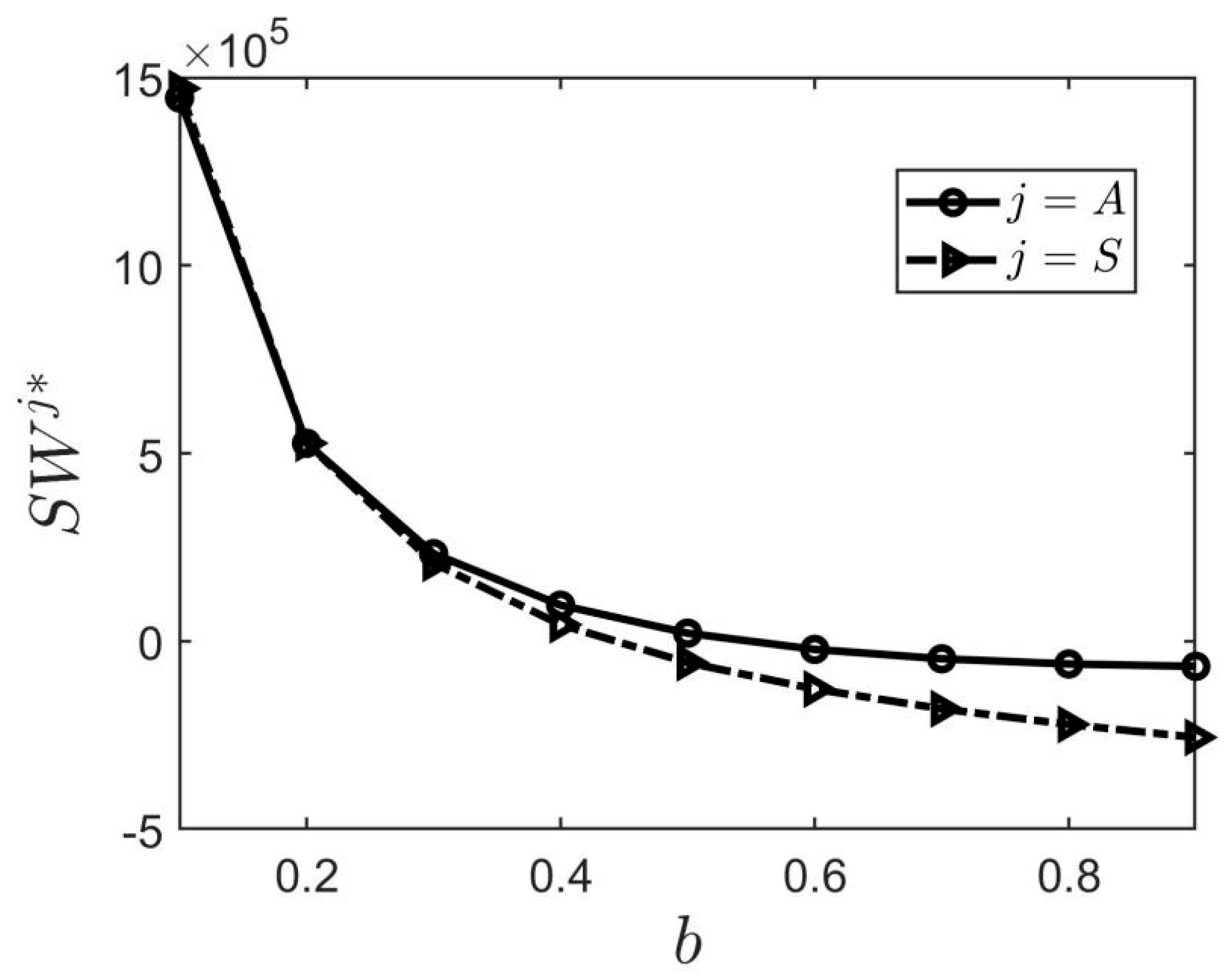
6.2. Impacts of Main Parameters on Social Welfare
7. Conclusions
Author Contributions
Funding
Institutional Review Board Statement
Informed Consent Statement
Data Availability Statement
Acknowledgments
Conflicts of Interest
Appendix A
References
- Fan, X.; Chen, K.; Chen, Y. Is price commitment a better solution to control carbon emissions and promote technology investment? Manag. Sci. 2022, 69, 325–341. [Google Scholar] [CrossRef]
- He, N.; Jiang, Z.; Huang, S.; Li, K. Evolutionary game analysis for government regulations in a straw-based bioenergy supply chain. Int. J. Prod. Res. 2022, 1–22. [Google Scholar] [CrossRef]
- Sun, L.; Chen, W. Impact of carbon tax on CCUS source-sink matching: Finding from the improved ChinaCCS DSS. J. Clean. Prod. 2022, 333, 130027. [Google Scholar] [CrossRef]
- Zhang, S.; Zhuang, Y.; Tao, R.; Liu, L.; Zhang, L.; Du, J. Multi-objective optimization for the deployment of carbon capture utilization and storage supply chain considering economic and environmental performance. J. Clean. Prod. 2020, 270, 122481. [Google Scholar] [CrossRef]
- Qureshi, F.; Yusuf, M.; Kamyab, H.; Zaidi, S.; Khalil, M.; Khan, M.; Alam, M.; Masood, F.; Bazli, L.; Chelliapan, S.; et al. Current trends in hydrogen production, storage and applications in India: A review. Sustain. Energy Technol. Assess. 2022, 53, 102677. [Google Scholar] [CrossRef]
- Liu, B.; Liu, S.; Xue, B.; Lu, S.; Yang, Y. Formalizing an integrated decision-making model for the risk assessment of carbon capture, utilization, and storage projects: From a sustainability perspective. Appl. Energy 2021, 303, 117624. [Google Scholar] [CrossRef]
- Qureshi, F.; Yusuf, M.; Kamyab, H.; Vo, D.; Chelliapan, S.; Joo, S.; Vasseghian, Y. Latest eco-friendly avenues on hydrogen production towards a circular bioeconomy: Currents challenges, innovative insights, and future perspectives. Renew. Sustain. Energy Rev. 2022, 168, 112916. [Google Scholar] [CrossRef]
- Ostovari, H.; Müller, L.; Mayer, F.; Bardow, A. A climate-optimal supply chain for CO2 capture, utilization, and storage by mineralization. J. Clean. Prod. 2022, 360, 131750. [Google Scholar] [CrossRef]
- Chen, D.; Jiang, M. Assessing the socioeconomic effects of carbon capture, utility and storage investment from the perspective of carbon neutrality in China. Earth’s Future 2022, 10, e2021EF002523. [Google Scholar] [CrossRef]
- Yang, L.; Xu, M.; Yang, Y.; Fan, J.; Zhang, X. Comparison of subsidy schemes for carbon capture utilization and storage (CCUS) investment based on real option approach: Evidence from China. Appl. Energy 2019, 255, 113828. [Google Scholar] [CrossRef]
- Liu, L.; Feng, L.; Jiang, T.; Zhang, Q. The impact of supply chain competition on the introduction of clean development mechanisms. Transp. Res. Part E Logist. Transp. Rev. 2021, 155, 102506. [Google Scholar] [CrossRef]
- Hasan, M.; Roy, T.; Daryanto, Y.; Wee, H. Optimizing inventory level and technology investment under a carbon tax, cap-and-trade and strict carbon limit regulations. Sustain. Prod. Consum. 2020, 25, 604–621. [Google Scholar] [CrossRef]
- Ding, H.; Zhao, Q.; An, Z.; Tang, O. Collaborative mechanism of a sustainable supply chain with environmental constraints and carbon caps. Int. J. Prod. Econ. 2016, 181, 191–207. [Google Scholar] [CrossRef]
- Chen, X.; Yang, H.; Wang, X.; Choi, T. Optimal carbon tax design for achieving low carbon supply chains. Ann. Oper. Res. 2020, 1–28. [Google Scholar] [CrossRef]
- Xu, L.; Wang, C.; Miao, Z.; Chen, J. Governmental subsidy policies and supply chain decisions with carbon emission limit and consumer’s environmental awareness. RAIRO Oper. Res. 2019, 53, 1675–1689. [Google Scholar] [CrossRef]
- Zhang, S.; Wang, C.; Yu, C.; Ren, Y. Governmental cap regulation and manufacturer’s low carbon strategy in a supply chain with different power structures. Comput. Ind. Eng. 2019, 134, 27–36. [Google Scholar] [CrossRef]
- Tang, R.; Yang, L. Impacts of financing mechanism and power structure on supply chains under cap-and-trade regulation. Transp. Res. Part E Logist. Transp. Rev. 2020, 139, 101957. [Google Scholar] [CrossRef]
- Liu, H.; Kou, X.; Xu, G.; Qiu, X.; Liu, H. Which emission reduction mode is the best under the carbon cap-and-trade mechanism? J. Clean. Prod. 2021, 314, 128053. [Google Scholar] [CrossRef]
- Xu, X.; Zhang, M.; Chen, L.; Yu, Y. The region-cap allocation and delivery time decision in the marketplace mode under the cap-and-trade regulation. Int. J. Prod. Econ. 2022, 247, 108407. [Google Scholar] [CrossRef]
- Krass, D.; Nedorezov, T.; Ovchinnikov, A. Environmental taxes and the choice of green technology. Prod. Oper. Manag. 2013, 22, 1035–1055. [Google Scholar] [CrossRef]
- Pal, R.; Saha, B. Pollution tax, partial privatization and environment. Resour. Energy Econ. 2015, 40, 19–35. [Google Scholar] [CrossRef]
- Zhou, Y.; Hu, F.; Zhou, Z. Pricing decisions and social welfare in a supply chain with multiple competing retailers and carbon tax policy. J. Clean. Prod. 2018, 190, 752–777. [Google Scholar] [CrossRef]
- Yu, W.; Shang, H.; Han, R. The impact of carbon emissions tax on vertical centralized supply chain channel structure. Comput. Ind. Eng. 2020, 141, 106303. [Google Scholar] [CrossRef]
- Zhou, X.; Wei, X.; Lin, J.; Tian, X.; Lev, B.; Wang, S. Supply chain management under carbon taxes: A review and bibliometric analysis. Omega 2021, 98, 102295. [Google Scholar] [CrossRef]
- Gopalakrishnan, S.; Granot, D.; Granot, F.; Sosic, G.; Cui, H. Incentives and emission responsibility allocation in supply chains. Manag. Sci. 2021, 67, 4172–4190. [Google Scholar] [CrossRef]
- Bao, B.; Ma, J.; Goh, M. Short- and long-term repeated game behaviours of two parallel supply chains based on government subsidy in the vehicle market. Int. J. Prod. Res. 2020, 58, 7507–7530. [Google Scholar] [CrossRef]
- Zhang, J.; Huang, J. Vehicle product-line strategy under government subsidy programs for electric/hybrid vehicles. Transp. Res. Part E Logist. Transp. Rev. 2021, 146, 102221. [Google Scholar] [CrossRef]
- Ma, C.; Yang, H.; Zhang, W.; Huang, S. Low-carbon consumption with government subsidy under asymmetric carbon emission information. J. Clean. Prod. 2021, 318, 128423. [Google Scholar] [CrossRef]
- Xu, C.; Wang, C.; Huang, R. Impacts of horizontal integration on social welfare under the interaction of carbon tax and green subsidies. Int. J. Prod. Econ. 2019, 222, 107506. [Google Scholar] [CrossRef]
- Wang, X.; Qie, S. When to invest in carbon capture and storage: A perspective of supply chain. Comput. Ind. Eng. 2018, 123, 26–32. [Google Scholar] [CrossRef]
- Miao, Z.; Mao, H.; Fu, K.; Wang, Y. Remanufacturing with trade-ins under carbon regulations. Comput. Oper. Res. 2016, 89, 253–268. [Google Scholar] [CrossRef]
- Anand, K.; Giraud-Carrier, F. Pollution regulation of competitive markets. Manag. Sci. 2020, 66, 4193–4206. [Google Scholar] [CrossRef]
- Hu, X.; Yang, Z.; Sun, J.; Zhang, Y. Carbon tax or cap-and-trade: Which is more viable for chinese remanufacturing industry? J. Clean. Prod. 2019, 243, 118606. [Google Scholar] [CrossRef]
- Sun, H.; Yang, J. Optimal decisions for competitive manufacturers under carbon tax and cap-and-trade policies. Comput. Ind. Eng. 2021, 156, 107244. [Google Scholar] [CrossRef]
- Chen, Y.; Wang, C.; Nie, P.; Chen, Z. A clean innovation comparison between carbon tax and cap-and-trade system. Energy Strategy Rev. 2020, 29, 100483. [Google Scholar] [CrossRef]
- Zhou, J.; Wu, D.; Chen, W. Cap and trade versus carbon tax: An analysis based on a CGE model. Comput. Econ. 2021, 59, 853–885. [Google Scholar] [CrossRef]
- Yu, Y.; Li, X.; Xu, X. Reselling or marketplace mode for an online platform: The choice between cap-and-trade and carbon tax regulation. Ann. Oper. Res. 2022, 310, 293–329. [Google Scholar] [CrossRef]
- Yin, X.; Chen, X.; Xu, X.; Zhang, L. Tax or subsidy? Optimal carbon emission policy: A supply chain perspective. Sustainability 2020, 12, 1548. [Google Scholar] [CrossRef]
- Huang, X.; Tan, T.; Toktay, L. Carbon leakage: The impact of asymmetric regulation on carbon-emitting production. Prod. Oper. Manag. 2020, 30, 1886–1903. [Google Scholar] [CrossRef]
- Ma, J.; Hou, Y.; Wang, Z.; Yang, W. Pricing strategy and coordination of automobile manufacturers based on government intervention and carbon emission reduction. Energy Policy 2021, 148, 111919. [Google Scholar] [CrossRef]
- Zhu, X.; Chiong, R.; Wang, M.; Liu, K.; Ren, M. Is carbon regulation better than cash subsidy? The case of new energy vehicles. Transp. Res. Part A Policy Pract. 2021, 146, 170–192. [Google Scholar] [CrossRef]
- Guo, J.; Wang, G.; Wang, Z.; Liang, C.; Gen, M. Research on remanufacturing closed loop supply chain based on incentive-compatibility theory under uncertainty. Ann. Oper. Res. 2022, 1–22. [Google Scholar] [CrossRef]
- Dou, G.; Choi, T. Does implementing trade-in and green technology together benefit the environment? Eur. J. Oper. Res. 2021, 295, 517–533. [Google Scholar] [CrossRef]
- Wang, X.; Zhang, S. The interplay between subsidy and regulation under competition. IEEE Trans. Syst. Man Cybern. Syst. 2022, 53, 1038–1050. [Google Scholar] [CrossRef]
- Wu, H.; Sun, Y.; Su, Y. Which is the best supply chain policy: Carbon tax, or a low-carbon subsidy? Sustainability 2022, 14, 6312. [Google Scholar] [CrossRef]
- Li, P.; Xu, S.; Liu, L. Channel structure and greening in an omni-channel tourism supply chain. J. Clean. Prod. 2022, 375, 134136. [Google Scholar] [CrossRef]
- Liu, L.; Feng, L.; Xu, B.; Deng, W. Operation strategies for an omni-channel supply chain: Who is better off taking on the online channel and offline service? Electron. Commer. Res. Appl. 2020, 39, 100918. [Google Scholar] [CrossRef]
- Zhang, S.; Yu, Y.; Zhu, Q.; Qiu, C.; Tian, A. Green innovation mode under carbon tax and innovation subsidy: An evolutionary game analysis for portfolio policies. Sustainability 2020, 12, 1385. [Google Scholar] [CrossRef]
- Yao, Q.; Shao, L.; Yin, Z.; Wang, J.; Lan, Y. Strategies of property developers and governments under carbon tax and subsidies. Front. Environ. Sci. 2022, 10, 916352. [Google Scholar] [CrossRef]
- Yu, P. Carbon tax/subsidy policy choice and its effects in the presence of interest groups. Energy Policy 2020, 147, 111886. [Google Scholar] [CrossRef]
- Chen, W.; Hu, Z. Using evolutionary game theory to study governments and manufacturers’ behavioral strategies under various carbon taxes and subsidies. J. Clean. Prod. 2018, 201, 123–141. [Google Scholar] [CrossRef]
- Li, H.; Peng, W. Carbon tax, subsidy, and emission reduction: Analysis based on DSGE model. Complexity 2020, 2020, 6683482. [Google Scholar] [CrossRef]
- Guo, J.; Huang, R. A carbon tax or a subsidy? Policy choice when a green firm competes with a high carbon emitter. Environ. Sci. Pollut. Res. 2021, 29, 12845–12852. [Google Scholar] [CrossRef] [PubMed]
- Shu, T.; Huang, C.; Chen, S.; Wang, S.; Lai, K. Trade-old-for-remanufactured closed-loop supply chains with carbon tax and government subsidies. Sustainability 2018, 10, 3935. [Google Scholar] [CrossRef]












| Research | Carbon Tax Policy | Low-Carbon Subsidy Policy | CCUS | Policy Comparison |
|---|---|---|---|---|
| Yu et al. [23]; Gopalakrishnan et al. [25] | √ | × | × | × |
| Bao et al. [26]; Ma et al. [28] | × | √ | × | × |
| Zhang et al. [4]; Ostovari et al. [8] | × | × | √ | × |
| Yin et al. [38]; Wu et al. [45] | √ | √ | × | √ |
| This study | √ | √ | √ | √ |
Disclaimer/Publisher’s Note: The statements, opinions and data contained in all publications are solely those of the individual author(s) and contributor(s) and not of MDPI and/or the editor(s). MDPI and/or the editor(s) disclaim responsibility for any injury to people or property resulting from any ideas, methods, instructions or products referred to in the content. |
© 2023 by the authors. Licensee MDPI, Basel, Switzerland. This article is an open access article distributed under the terms and conditions of the Creative Commons Attribution (CC BY) license (https://creativecommons.org/licenses/by/4.0/).
Share and Cite
Zhang, Q.; Wang, Y.; Liu, L. Carbon Tax or Low-Carbon Subsidy? Carbon Reduction Policy Options under CCUS Investment. Sustainability 2023, 15, 5301. https://doi.org/10.3390/su15065301
Zhang Q, Wang Y, Liu L. Carbon Tax or Low-Carbon Subsidy? Carbon Reduction Policy Options under CCUS Investment. Sustainability. 2023; 15(6):5301. https://doi.org/10.3390/su15065301
Chicago/Turabian StyleZhang, Qian, Yunjia Wang, and Lu Liu. 2023. "Carbon Tax or Low-Carbon Subsidy? Carbon Reduction Policy Options under CCUS Investment" Sustainability 15, no. 6: 5301. https://doi.org/10.3390/su15065301
APA StyleZhang, Q., Wang, Y., & Liu, L. (2023). Carbon Tax or Low-Carbon Subsidy? Carbon Reduction Policy Options under CCUS Investment. Sustainability, 15(6), 5301. https://doi.org/10.3390/su15065301

