Experimental Study on the Aerodynamic Performance and Wave Energy Capture Efficiency of Square and Curved OWC Wave Energy Conversion Devices
Abstract
1. Introduction
2. Physical Model Test Design
2.1. Model Design
2.2. Test Setup
2.3. Test Conditions
3. Results and Discussion
3.1. Comparison and Analysis of the Aerodynamic Performance
3.1.1. Effects of the Incident Wave Factors
3.1.2. Effect of the Opening Length
3.1.3. Effect of the Opening Width
3.1.4. Effect of the Opening Area
3.1.5. Effect of the Chamber Volume
3.2. Comparative Analysis of the WECE
3.2.1. Effects of the Incident Wave Factors
3.2.2. Effect of the Opening Length
3.2.3. Effect of the Opening Width
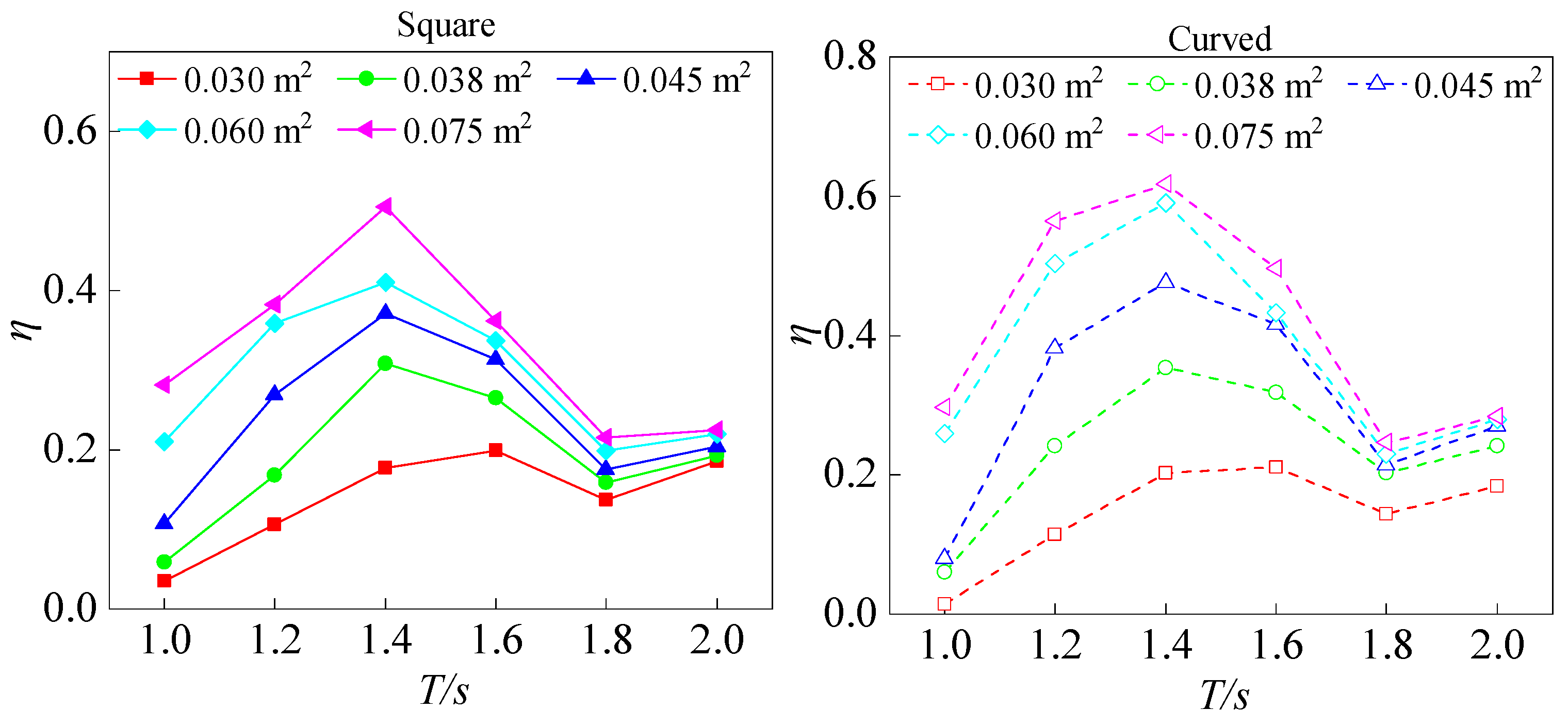
3.2.4. Effect of the Opening Area
3.2.5. Effect of the Chamber Volume
4. Conclusions
- The wave surface elevation in the chamber increased and the relative wave height and pressure decreased as the incident wave height increased. Additionally, the WECE increased as the incident wave height decreased. The WECE trend was the same for both the square and curved WECDs, although the WECE values were significantly different.
- Furthermore, the relative wave height and chamber pressure increased as the opening length, opening width, and opening area of the WECD increased, while the intrachamber WECE increased as the chamber performance increased.
- Reducing the volume of the air chamber had a different effect on the aerodynamic performance than the other factors, as the relative wave height in the chamber increased and the chamber pressure decreased with decreasing chamber volume, while the intrachamber WECE increased with increasing chamber volume.
- Both the wave energy conversion and capture efficiency of the curved WECD were better overall than those of the square WECD. It is recommended that in actual projects, a curved WECD should be used.
Author Contributions
Funding
Informed Consent Statement
Conflicts of Interest
References
- Akpınar, A.; Bingölbali, B.; Van Vledder, G.P. Long-term analysis of wave power potential in the Black Sea, based on 31-year SWAN simulations. Ocean. Eng. 2017, 130, 482–497. [Google Scholar] [CrossRef]
- Akpınar, A.; Kömürcü, M.I. Assessment of wave energy resource of the Black Sea based on 15-year numerical hindcast data. Appl. Energy 2012, 101, 502–512. [Google Scholar] [CrossRef]
- Akpınar, A.; Kömürcü, M.I. Wave energy potential along the south-east coasts of the Black Sea. Energy 2012, 42, 289–302. [Google Scholar] [CrossRef]
- Zheng, C.-W. Global oceanic wave energy resource dataset—With the Maritime Silk Road as a case study. Renew. Energy 2021, 169, 843–854. [Google Scholar] [CrossRef]
- Zheng, C.W.; Li, C.Y. Variation of the wave energy and significant wave height in the China Sea and adjacent waters. Renew. Sustain. Energy Rev. 2015, 43, 381–387. [Google Scholar] [CrossRef]
- Zheng, C.-W.; Pan, J.; Li, J.-X. Assessing the China Sea wind energy and wave energy resources from 1988 to 2009. Ocean Eng. 2013, 65, 39–48. [Google Scholar] [CrossRef]
- Wang, R.Q.; Ning, D.Z.; Mayon, R. Hydrodynamic investigation on the dual- chamber OWC wave energy converter. Chin. J. Hydrodyn. 2020, 35, 37–41. [Google Scholar] [CrossRef]
- He, F.; Li, M.; Huang, Z. An Experimental Study of Pile-Supported OWC-Type Breakwaters: Energy Extraction and Vortex-Induced Energy Loss. Energies 2016, 9, 540. [Google Scholar] [CrossRef]
- Ma, Z.C. An Experimental Study and Performance Evaluation of the Dual Cylindrical Caisson Embodying a U-OWC Wave Energy Converter with Circular Cross Section. Master’s Thesis, Dalian University of Technology, Dalian, China, 2020. [Google Scholar] [CrossRef]
- Gao, J.; Ma, X.; Zang, J. Numerical investigation of harbor oscillations induced by focused transient wave groups. Coast. Eng. 2020, 158, 103670. [Google Scholar] [CrossRef]
- Gao, J.; Ma, X.; Dong, G.; Chen, H.; Liu, Q.; Zang, J. Investigation on the effects of Bragg reflection on harbor oscillations. Coast. Eng. 2021, 170, 103977. [Google Scholar] [CrossRef]
- Wang, C. The future and development of oscillating water column wave energy conversion device. Ship Eng. 2020, 42, 14–19. Available online: https://kns.cnki.net/kcms/detail/detail.aspx?FileName=CANB202008006&DbName=DKFX2020 (accessed on 15 February 2023).
- Geng, J.; Zhu, R.; Li, M.W.; Zhang, X.L. Study of influencing factors of wave height in the chamber of U-OWC-type wave energy device. J. Harbin Eng. Univ. 2020, 41, 31–36,51. [Google Scholar] [CrossRef]
- Kim, J.-S.; Kim, K.-H.; Park, J.; Park, S.; Shin, S. A Numerical Study on Hydrodynamic Energy Conversions of OWC-WEC with the Linear Decomposition Method under Irregular Waves. Energies 2021, 14, 1522. [Google Scholar] [CrossRef]
- Ning, D.Z.; Shi, J.; Zou, Q.P. Investigation of hydrodynamic performance of an OWC (oscillating water column) wave energy device using a fully nonlinear HOBEM (higher-order boundary element method. Energy 2015, 83, 177–188. [Google Scholar] [CrossRef]
- Ning, D.Z.; Zhou, Y.; Mayon, R. Experimental investigation on the hydrodynamic performance of a cylindrical dual-chamber Oscillating Water Column device. Appl. Energy 2020, 260, 114252. [Google Scholar] [CrossRef]
- Zhao, X.; Zhang, L.; Li, M. Experimental investigation on the hydrodynamic performance of a mul-ti-chamber OWC-breakwater. Renew. Sustain. Energy Rev. 2021, 150, 111512. [Google Scholar] [CrossRef]
- Doyle, S.; Aggidis, G.A. Development of multi-oscillating water columns as wave energy converters. Renew. Sustain. Energy Rev. 2019, 107, 75–86. [Google Scholar] [CrossRef]
- Du, X.Z.; Zhao, J.Q.; Zhang, Y. Theoretical research on the air pressure in Oscllatron Water Column chamber for the wave energy conversion system. Period. Ocean. Univ. China 2017, 47, 135–141. [Google Scholar] [CrossRef]
- Du, X.Z.; Wang, G.Q.; Zhao, Y.; Liu, X.Q. Optimal Design and Comparative Analysis for the Air Chamber Structure of Oscillating Water Column. Ship Ocean. Eng. 2018, 47, 115–119. Available online: https://kns.cnki.net/kcms/detail/detail.aspx?FileName=WHZC201805026&DbName=CJFQ2018 (accessed on 15 February 2023).
- Zhou, J.C. Experimental Study on Hydrodynamic Characteristics of Comb-Typ Breakwater-OWC Wave Energy Converter Integrated System. Harbin Engineering University. 2020. Available online: https://kns.cnki.net/KCMS/detail/detail.aspx?Dbname=CMFD202101&filename=1020156387.nh (accessed on 1 January 2020).
- Ning, D.Z.; Wang, R.Q.; Zou, Q.P. An experimental investigation of hydrodynamics of a fixed OWC Wave Energy Converter. Appl. Energy 2016, 168, 636–648. [Google Scholar] [CrossRef]
- Toyota., K.; Nagata, S. Research for evaluating performance of OWC-type Wave Energy Converter “Backward Bent Duct Buoy”. Inst. Ocean. Energy Saga Univ. 2009, 8, 901–913. Available online: https://sc.panda321.com/scholar?Hl=zh-cn&q=Research+for+evaluating+performance+of+OWC-type+Wave+Energy+Converter+%22Backward+Bent+Duct+Buoy (accessed on 5 January 2023).
- He, F.; Huang, Z. Characteristics of orifices for modeling nonlinear power take-off in wave-flume tests of oscillating water column devices. J. Zhejiang Univ. Sci. A 2017, 18, 329–345. [Google Scholar] [CrossRef]














| Parameter | Unit | Values |
|---|---|---|
| Water depth d | m | 0.4 |
| Wave height H | m | 0.04, 0.08 |
| Period T | s | 1.0, 1.2, 1.4, 1.6, 1.8, 2.0 |
| Wavelength L | m | 1.46, 1.94, 2.39, 2.84, 3.27, 3.69 |
| Type | Number | Opening Width (m) | Opening Length (m) | Opening Area (m2) | Chamber Volume (m3) |
|---|---|---|---|---|---|
| Square/curved | W15H20 | 0.15 | 0.20 | 0.030 | 0.027/0.021 |
| W15H25 | 0.15 | 0.25 | 0.038 | 0.027/0.021 | |
| W15H30 | 0.15 | 0.30 | 0.045 | 0.027/0.021 | |
| W20H30 | 0.20 | 0.30 | 0.060 | 0.027/0.021 | |
| V1 | 0.20 | 0.30 | 0.070 | 0.027/0.021 | |
| V2 | 0.25 | 0.30 | 0.070 | 0.020/0.016 | |
| V3 | 0.25 | 0.30 | 0.070 | 0.014/0.011 |
Disclaimer/Publisher’s Note: The statements, opinions and data contained in all publications are solely those of the individual author(s) and contributor(s) and not of MDPI and/or the editor(s). MDPI and/or the editor(s) disclaim responsibility for any injury to people or property resulting from any ideas, methods, instructions or products referred to in the content. |
© 2023 by the authors. Licensee MDPI, Basel, Switzerland. This article is an open access article distributed under the terms and conditions of the Creative Commons Attribution (CC BY) license (https://creativecommons.org/licenses/by/4.0/).
Share and Cite
Li, X.; Yu, Z.; Qu, H.; Yang, M.; Shi, H.; Zhang, Z. Experimental Study on the Aerodynamic Performance and Wave Energy Capture Efficiency of Square and Curved OWC Wave Energy Conversion Devices. Sustainability 2023, 15, 4963. https://doi.org/10.3390/su15064963
Li X, Yu Z, Qu H, Yang M, Shi H, Zhang Z. Experimental Study on the Aerodynamic Performance and Wave Energy Capture Efficiency of Square and Curved OWC Wave Energy Conversion Devices. Sustainability. 2023; 15(6):4963. https://doi.org/10.3390/su15064963
Chicago/Turabian StyleLi, Xueyan, Zhen Yu, Hengliang Qu, Moyao Yang, Hongyuan Shi, and Zhenhua Zhang. 2023. "Experimental Study on the Aerodynamic Performance and Wave Energy Capture Efficiency of Square and Curved OWC Wave Energy Conversion Devices" Sustainability 15, no. 6: 4963. https://doi.org/10.3390/su15064963
APA StyleLi, X., Yu, Z., Qu, H., Yang, M., Shi, H., & Zhang, Z. (2023). Experimental Study on the Aerodynamic Performance and Wave Energy Capture Efficiency of Square and Curved OWC Wave Energy Conversion Devices. Sustainability, 15(6), 4963. https://doi.org/10.3390/su15064963

