Effect of Pressure Relief Hole Spacing on Energy Dissipation in Coal Seam at Various Mining Depths
Abstract
1. Introduction
2. Energy Dissipation Mechanism of Pressure Relief Holes
3. Effect of Pressure Relief Hole Spacing on Energy Dissipation at Various Mining Depths
3.1. Numerical Model
3.2. Energy Variation Law around Pressure Relief Holes at Various Mining Depths
3.3. Coal Body Energy Variation Law under Various Spacings of Pressure Relief Holes
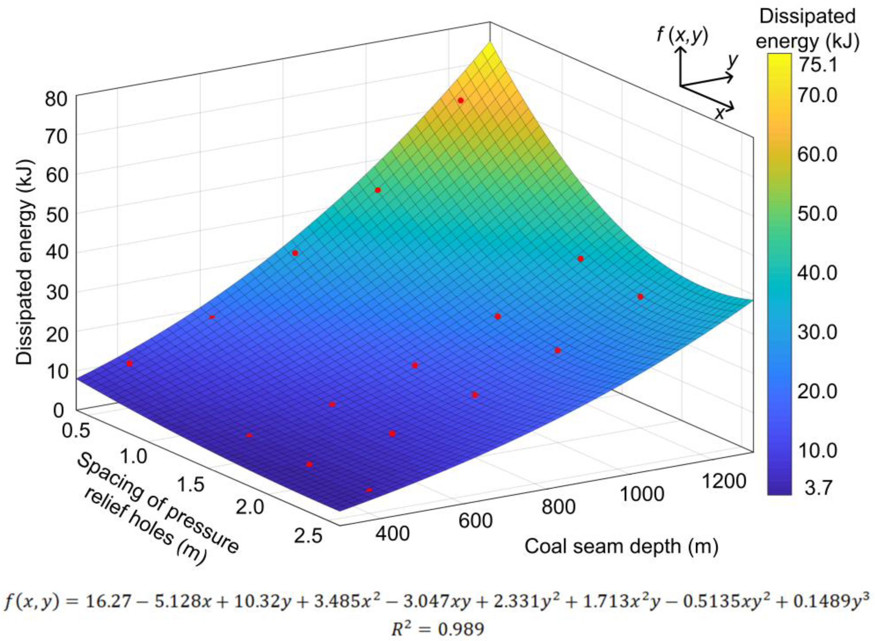
3.4. Relationship between Mining Depth, Spacing of Pressure Relief Holes and Dissipated Energy
4. Discussion on the Spacing of Pressure Relief Holes in Coal Seam of Rockburst Hazard
5. Conclusions
- (1)
- The upper and lower ends of the pressure relief holes have the highest energy dissipation degree and the largest dissipation range. However, the energy dissipation effect of the left and right sides of the pressure relief hole is poor, and the energy accumulation occurs in a certain range from the two sides of the hole wall.
- (2)
- The dissipated energy of the coal seam increases continuously with the increase in mining depth and the decrease in the spacing of pressure relief holes. Specifically, the dissipated energy can rise suddenly when the hole spacing changes from 1.0 m to 0.5 m.
- (3)
- The spacing of pressure relief holes can be arranged to be less than or equal to 0.5 m in the areas with high risk of rockburst, which can greatly improve the effect of energy dissipation of the coal seam.
Author Contributions
Funding
Institutional Review Board Statement
Informed Consent Statement
Data Availability Statement
Acknowledgments
Conflicts of Interest
References
- Pan, Y.S. Disturbance response instability theory of rockburst in coal mine. J. China Coal Soc. 2018, 43, 2091–2098. [Google Scholar]
- Linkov, A.M. Rockbursts and the instability of rock masses. Int. J. Rock Mech. Min. Sci. Geomech. Abstr. 1996, 33, 727–732. [Google Scholar] [CrossRef]
- Jiang, Y.D.; Pan, Y.S.; Jiang, F.X.; Dou, L.M.; Ju, Y. State of the art review on mechanism and prevention of coal bumps in China. J. China Coal Soc. 2014, 39, 205–213. [Google Scholar]
- Chen, Z.H.; Tang, C.A.; Huang, R.Q. A double rock sample model for rockbursts. Int. J. Rock Mech. Min. Sci. 1997, 34, 991–1000. [Google Scholar] [CrossRef]
- Romashov, A.N.; Tsygankov, S.S. Generalized model of rock bursts. J. Min. Sci. 1993, 28, 420–423. [Google Scholar] [CrossRef]
- Salamon, M.D.G. Stability, instability and design of pillar workings. Int. J. Rock Mech. Min. Sci. 1970, 7, 613–631. [Google Scholar] [CrossRef]
- Lyu, J.G.; Wang, Z.Q.; Yang, T.; Tang, Z.; Pan, Y.S.; Peng, Y.S. The relationship between storage-dissipation-release of coal energy and intensity of induced charge. Constr. Build. Mater. 2022, 357, 129375. [Google Scholar] [CrossRef]
- LÜ, J.G.; Peng, Y.S.; Tang, Z.; Zhao, H.R.; Wang, X.B.; Wang, Z.Q.; Bao, X.Y.; Fu, H. Recognition of induced charge in coal failure process and its practice of underground application. J. China Coal Soc. 2022, 47, 1547–1558. [Google Scholar]
- Ma, L.; Liu, C.D.; Bi, Y.L.; Peng, S.P.; Jiang, K.S.; Zhang, H.; Luo, Q.; Xue, F.; Xu, T.X.; Li, T.X.; et al. Experimental Study on Impermeability Law of Aquiclude Reconstructed by Mudstone of External Dump in Arid Zone. Adv. Civ. Eng. 2021, 2021, 1–14. [Google Scholar] [CrossRef]
- Qi, Q.X.; Pan, Y.S.; Shu, L.Y.; Li, H.Y.; Jiang, D.Y.; Zhao, S.K.; Zou, Y.H.; Pan, J.F.; Wang, K.J.; Li, H.T. Theory and technical framework of prevention and control with different sources in multi-scales for coal and rock dynamic disasters in deep mining of coal mines. J. China Coal Soc. 2018, 43, 1801–1810. [Google Scholar]
- Wang, H.W.; Wang, Q.; Shi, R.M.; Jiang, Y.D.; Tian, Z. A review on the interaction mechanism between coal bursts and fault structure instability from the perspective of multi-physical field. J. China Coal Soc. 2022, 47, 762–790. [Google Scholar]
- Dou, L.M.; Tian, X.Y.; Cao, A.Y.; Gong, S.Y.; He, H.; He, J.; Cai, W.; Li, X.W. Present situation and problems of coal mine rock burst prevention and control in China. J. China Coal Soc. 2022, 47, 152–171. [Google Scholar]
- Qi, Q.X.; Pan, Y.S.; Li, H.T.; Jiang, D.Y.; Shu, L.Y.; Zhao, S.K.; Zhang, Y.J.; Pan, J.F.; Li, H.Y.; Pan, P.Z. Theoretical basis and key technology of prevention and control of coal-rock dynamic disasters in deep coal mining. J. China Coal Soc. 2020, 45, 1567–1584. [Google Scholar]
- Wang, A.W.; Gao, Q.S.; Pan, Y.S.; Song, Y.M.; Li, L. Bursting liability and energy dissipation laws of prefabricated borehole coal samples. J. China Coal Soc. 2021, 46, 959–972. [Google Scholar]
- Qi, Q.X.; Li, X.L.; Zhao, S.K. Theory and Practices on Stress Control of Mine Pressure Bumping. Coal Sci. Technol. 2013, 41, 1–5. [Google Scholar]
- Jia, C.Y.; Jiang, Y.J.; Zhang, X.P.; Wang, D.; Luan, H.J.; Wang, C.S. Laboratory and numerical experiments on pressure relief mechanism of large-diameter boreholes. Chin. J. Geotech. Eng. 2017, 39, 1115–1122. [Google Scholar]
- Li, Y.P.; Zhang, H.W.; Han, J.; Zhu, F.; Guo, C. Time effect of borehole pressure relief based on distributed optical fiber sensing technology. J. China Coal Soc. 2017, 42, 2834–2841. [Google Scholar]
- Liu, H.G.; He, Y.N.; Xu, J.H.; Han, L.J. Numerical simulation and industrial test of boreholes distressing technology in deep coal tunnel. J. China Coal Soc. 2007, 32, 33–37. [Google Scholar]
- Ge, D.C.; Li, D.; Jiang, F.X.; Wang, C.W.; Chen, Y.; Dong, C.Y.; Sun, S.H.; Yang, G.Y. Reasonable pressure-relief borehole spacing in coal of different strength. J. Min. Saf. Eng. 2020, 37, 578–585. [Google Scholar]
- Zhao, T.B.; Guo, W.Y.; Yu, F.H.; Tan, Y.L.; Huang, B.; Hu, S.C. Numerical investigation of influences of drilling arrangements on the mechanical behavior and energy evolution of coal models. Adv. Civ. Eng. 2018, 2018, 1–12. [Google Scholar] [CrossRef]
- Huang, B.; Guo, W.Y.; Fu, Z.Y.; Zhao, T.B.; Zhang, L.S. Experimental investigation of the influence of drilling arrangements on the mechanical behavior of rock models. Geotech. Geol. Eng. 2018, 36, 2425–2436. [Google Scholar] [CrossRef]
- Feng, F.; Chen, S.J.; Li, D.Y.; Hu, S.T.; Huang, W.P.; Li, B. Analysis of fractures of a hard rock specimen via unloading of central hole with different sectional shapes. Energy Sci. Eng. 2019, 7, 2265–2286. [Google Scholar] [CrossRef]
- Qi, Q.X.; Li, H.T.; Zheng, W.Y.; Du, W.S.; Yang, G.Y.; Li, X.P. Physical model and measurement method for elastic deformation energy characterization of coal and rock. Coal Sci. Technol. 2022, 50, 70–77. [Google Scholar]
- Song, D.Z. Research on rockburst evolutionary process and energy dissipation characteristics. China Univ. Min. Technol. 2012. [Google Scholar]
- Xie, H.P.; Ju, Y.; Li, L.Y. Criteria for strength and structural failure of rocks based on energy dissipation and energy release principles. Chin. J. Rock Mech. Eng. 2005, 24, 3003–3010. [Google Scholar]
- GB/T 25217.11-2019; Methods for Test, Monitoring and Prevention of Rock Burst—Part 10: Prevention Method of Drillhole Destressing on Coal-Seam. China National Coal Association: China, Beijing, 2019.
- Rong, H.; Zhang, H.W.; Liang, B.; Han, J.; Wang, Y.D. Instability mechanism of dynamic system of coal and rock. J. China Coal Soc. 2017, 42, 1663–1671. [Google Scholar]







| No. | Mining Depth (m) | Spacing of Pressure Relief Holes (m) | Model Size (m) | Top Load (MPa) |
|---|---|---|---|---|
| 1 | 400 | 0.5 | 10.0 × 1.0 × 2.5 | 10.0 |
| 2 | 400 | 1.0 | 10.0 × 1.0 × 2.5 | 10.0 |
| 3 | 400 | 1.5 | 10.0 × 1.0 × 2.5 | 10.0 |
| 4 | 400 | 2.0 | 10.0 × 1.0 × 2.5 | 10.0 |
| 5 | 400 | 2.5 | 10.0 × 1.0 × 2.5 | 10.0 |
| 6 | 600 | 0.5 | 10.0 × 1.0 × 2.5 | 15.0 |
| 7 | 600 | 1.0 | 10.0 × 1.0 × 2.5 | 15.0 |
| 8 | 600 | 1.5 | 10.0 × 1.0 × 2.5 | 15.0 |
| 9 | 600 | 2.0 | 10.0 × 1.0 × 2.5 | 15.0 |
| 10 | 600 | 2.5 | 10.0 × 1.0 × 2.5 | 15.0 |
| 11 | 800 | 0.5 | 10.0 × 1.0 × 2.5 | 20.0 |
| 12 | 800 | 1.0 | 10.0 × 1.0 × 2.5 | 20.0 |
| 13 | 800 | 1.5 | 10.0 × 1.0 × 2.5 | 20.0 |
| 14 | 800 | 2.0 | 10.0 × 1.0 × 2.5 | 20.0 |
| 15 | 800 | 2.5 | 10.0 × 1.0 × 2.5 | 20.0 |
| 16 | 1000 | 0.5 | 10.0 × 1.0 × 2.5 | 25.0 |
| 17 | 1000 | 1.0 | 10.0 × 1.0 × 2.5 | 25.0 |
| 18 | 1000 | 1.5 | 10.0 × 1.0 × 2.5 | 25.0 |
| 19 | 1000 | 2.0 | 10.0 × 1.0 × 2.5 | 25.0 |
| 20 | 1000 | 2.5 | 10.0 × 1.0 × 2.5 | 25.0 |
| 21 | 1200 | 0.5 | 10.0 × 1.0 × 2.5 | 30.0 |
| 22 | 1200 | 1.0 | 10.0 × 1.0 × 2.5 | 30.0 |
| 23 | 1200 | 1.5 | 10.0 × 1.0 × 2.5 | 30.0 |
| 24 | 1200 | 2.0 | 10.0 × 1.0 × 2.5 | 30.0 |
| 25 | 1200 | 2.5 | 10.0 × 1.0 × 2.5 | 30.0 |
| Lithology | (kg/m3) | Elastic Modulus E (GPa) | Poisson’s Ratio | Internal Friction Angle (°) | Cohesive Forces (MPa) | (MPa) |
|---|---|---|---|---|---|---|
| coal | 1335 | 0.532 | 0.255 | 37.29 | 1.205 | 0.635 |
Disclaimer/Publisher’s Note: The statements, opinions and data contained in all publications are solely those of the individual author(s) and contributor(s) and not of MDPI and/or the editor(s). MDPI and/or the editor(s) disclaim responsibility for any injury to people or property resulting from any ideas, methods, instructions or products referred to in the content. |
© 2023 by the authors. Licensee MDPI, Basel, Switzerland. This article is an open access article distributed under the terms and conditions of the Creative Commons Attribution (CC BY) license (https://creativecommons.org/licenses/by/4.0/).
Share and Cite
Zhao, H.; Pan, Y.; Lyu, J.; Peng, Y.; Li, S. Effect of Pressure Relief Hole Spacing on Energy Dissipation in Coal Seam at Various Mining Depths. Sustainability 2023, 15, 3794. https://doi.org/10.3390/su15043794
Zhao H, Pan Y, Lyu J, Peng Y, Li S. Effect of Pressure Relief Hole Spacing on Energy Dissipation in Coal Seam at Various Mining Depths. Sustainability. 2023; 15(4):3794. https://doi.org/10.3390/su15043794
Chicago/Turabian StyleZhao, Hongrui, Yishan Pan, Jinguo Lyu, Yisheng Peng, and Shixu Li. 2023. "Effect of Pressure Relief Hole Spacing on Energy Dissipation in Coal Seam at Various Mining Depths" Sustainability 15, no. 4: 3794. https://doi.org/10.3390/su15043794
APA StyleZhao, H., Pan, Y., Lyu, J., Peng, Y., & Li, S. (2023). Effect of Pressure Relief Hole Spacing on Energy Dissipation in Coal Seam at Various Mining Depths. Sustainability, 15(4), 3794. https://doi.org/10.3390/su15043794

