Unraveling the Effect of Kraft and Organosolv Processes on the Physicochemical Properties and Thermal Stability of Cellulose and Its Microcrystals Produced from Eucalyptus Globulus
Abstract
1. Introduction
2. Experimental Section
2.1. Materials and Methods
2.1.1. Preparation of the Biomass Samples
2.1.2. Cellulose Extraction
2.1.3. MCC Preparation
2.2. Characterization
2.2.1. Fourier-Transform Infrared Spectroscopy Analysis
2.2.2. 13C Nuclear Magnetic Resonance Spectroscopy
2.2.3. Scanning Electron Microscopy
2.2.4. Cellulose Purity by Sugar Analysis
2.2.5. Gel Permeation Chromatography
2.2.6. Thermal Analysis
3. Results and Discussion
3.1. Chemical Composition of the Samples by HPAEC-PAD Analysis
3.2. Chemical Structure of the Samples with Infrared Spectroscopy
3.3. NMR Spectroscopy
3.4. Molecular Weight Distribution of the Samples
3.5. Morphological Analysis
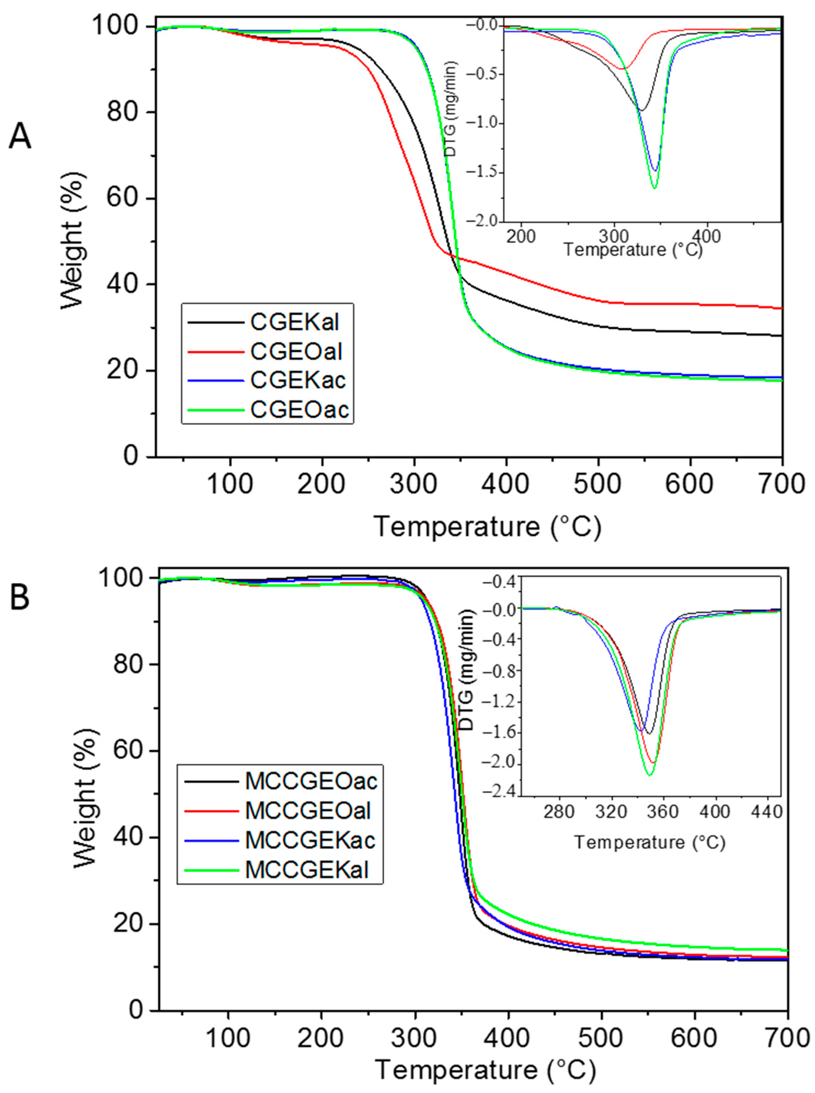
3.6. Thermal Stability
4. Conclusions
Author Contributions
Funding
Institutional Review Board Statement
Informed Consent Statement
Data Availability Statement
Conflicts of Interest
References
- Saba, N.; Tahir, P.M.; Jawaid, M. A review on potentiality of nano filler/natural fiber filled polymer hybrid composites. Polymers 2014, 6, 2247–2273. [Google Scholar] [CrossRef]
- Brongniart, A.; Pelouze, T.; Dumas, A. Rapport sur un mémoire de m. Payen, relatif à la composition de la matière ligneuse. CR Hebd. Seances Acad. Sci. 1839, 8, 51–53. [Google Scholar]
- Jablonsky, M.; Majova, V.; Skulcova, A.; Haz, A. Delignification of pulp using deep eutectic solvents. J. Hyg. Eng. Des. 2018, 22, 76–81. [Google Scholar]
- Majová, V.; Strizincová, P.; Jablonsky, M.; Skulcova, A.; Vrska, M.; Malvis Romero, A. Deep eutectic solvents: Delignification of wheat straw. In Proceedings of the World Sustain, Energy Days (WSED), Wels, Austria, 1–3 March 2017. [Google Scholar]
- Majova, V.; Jablonsky, M.; Skulcova, A.; Ondrigova, K. Delignification of pulp with two ternary deep eutectic solvents: Urea-acetamide-glycerol and malic acid-proline-lactic acid. J. Hyg. Eng. Des. 2019, 26, 76–80. [Google Scholar]
- Beroual, M.; Boumaza, L.; Mehelli, O.; Trache, D.; Tarchoun, A.F.; Khimeche, K. Physicochemical properties and thermal stability of microcrystalline cellulose isolated from esparto grass using different delignification approaches. J. Polym. Environ. 2021, 29, 130–142. [Google Scholar] [CrossRef]
- Mamaye, M.; Kiflie, Z.; Feleke, S.; Yimam, A. Evaluation and optimization of kraft delignification and single stage hydrogen peroxide bleaching for ethiopian sugarcane bagasse. J. Nat. Fibers 2022, 19, 1226–1238. [Google Scholar] [CrossRef]
- Shatalov, A.A.; Pereira, H. High-grade sulfur-free cellulose fibers by pre-hydrolysis and ethanol-alkali delignification of giant reed (Arundo donax L.) stems. Ind. Crops Prod. 2013, 43, 623–630. [Google Scholar] [CrossRef]
- Silva, N.; Silva, N.; Mulinari, D. Influence of sequential acid-alkali treatment on palm biomass waste properties. J. Nat. Fibers 2021, 19, 7502–7516. [Google Scholar] [CrossRef]
- Vaidya, A.A.; Murton, K.D.; Smith, D.A.; Dedual, G. A review on organosolv pretreatment of softwood with a focus on enzymatic hydrolysis of cellulose. Biomass Convers. Biorefinery 2022, 12, 5427–5442. [Google Scholar] [CrossRef]
- Bijok, N.; Fiskari, J.; Gustafson, R.R.; Alopaeus, V. Modelling the kraft pulping process on a fibre scale by considering the intrinsic heterogeneous nature of the lignocellulosic feedstock. Chem. Eng. J. 2022, 438, 135548. [Google Scholar] [CrossRef]
- Kleinert, T.; Tayenthal, K. Über neuere versuche zur trennung von cellulose und inkrusten verschiedener hölzer. Angew. Chem. 1931, 44, 788–791. [Google Scholar] [CrossRef]
- Florian, T.D.M.; Villani, N.; Aguedo, M.; Jacquet, N.; Thomas, H.G.; Gerin, P.; Magali, D.; Richel, A. Chemical composition analysis and structural features of banana rachis lignin extracted by two organosolv methods. Ind. Crops Prod. 2019, 132, 269–274. [Google Scholar] [CrossRef]
- Michelin, M.; Liebentritt, S.; Vicente, A.A.; Teixeira, J.A. Lignin from an integrated process consisting of liquid hot water and ethanol organosolv: Physicochemical and antioxidant properties. Int. J. Biol. Macromol. 2018, 120, 159–169. [Google Scholar] [CrossRef] [PubMed]
- Axelsson, L.; Franzén, M.; Ostwald, M.; Berndes, G.; Lakshmi, G.; Ravindranath, N. Jatropha cultivation in southern india: Assessing farmers’ experiences. Biofuels Bioprod. Biorefining 2012, 6, 246–256. [Google Scholar] [CrossRef]
- Hernández-Hernández, H.; Chanona-Pérez, J.; Terrés, E.; Vega, A.; Ligero, P.; Farrera-Rebollo, R.; Villanueva, S. Microscopy and spectroscopy tools for the description of delignification. Cellul. Chem. Technol 2019, 53, 87–97. [Google Scholar] [CrossRef]
- Zhao, X.; Cheng, K.; Liu, D. Organosolv pretreatment of lignocellulosic biomass for enzymatic hydrolysis. Appl. Microbiol. Biotechnol. 2009, 82, 815–827. [Google Scholar] [CrossRef] [PubMed]
- Shatalov, A.A.; Pereira, H. Papermaking fibers from giant reed (Arundo donax L.) by advanced ecologically friendly pulping and bleaching technologies. BioResources 2006, 1, 45–61. [Google Scholar] [CrossRef]
- Thakur, V.K. Cellulose-Based Graft Copolymers: Structure and Chemistry; CRC Press: Boca Raton, FL, USA, 2015. [Google Scholar]
- Kleppe, P.J. Kraft pulping. Tappi 1970, 53, 35–47. [Google Scholar]
- Santos, A.; Rodríguez, F.; Gilarranz, M.A.; Moreno, D.; García-Ochoa, F. Kinetic modeling of kraft delignification of eucalyptus globulus. Ind. Eng. Chem. Res. 1997, 36, 4114–4125. [Google Scholar] [CrossRef]
- Esteves, C.V.; Sevastyanova, O.; Östlund, S.; Brännvall, E. Differences and similarities between kraft and oxygen delignification of softwood fibers: Effects on chemical and physical properties. Cellulose 2021, 28, 3149–3167. [Google Scholar] [CrossRef]
- Trache, D.; Hussin, M.H.; Chuin, C.T.H.; Sabar, S.; Fazita, M.N.; Taiwo, O.F.; Hassan, T.; Haafiz, M.M. Microcrystalline cellulose: Isolation, characterization and bio-composites application—A review. Int. J. Biol. Macromol. 2016, 93, 789–804. [Google Scholar] [CrossRef] [PubMed]
- Moreira, R.; Mendes, C.V.; Banaco, M.B.F.; Carvalho, M.G.V.; Portugal, A. New insights in the fractionation of pinus pinaster wood: Sequential autohydrolysis, soda ethanol organosolv and acidic precipitation. Ind. Crops Prod. 2020, 152, 112499. [Google Scholar] [CrossRef]
- Tocco, D.; Carucci, C.; Monduzzi, M.; Salis, A.; Sanjust, E. Recent developments in the delignification and exploitation of grass lignocellulosic biomass. ACS Sustain. Chem. Eng. 2021, 9, 2412–2432. [Google Scholar] [CrossRef]
- Pereira, P.H.F.; Ornaghi Jr, H.L.; Arantes, V.; Cioffi, M.O.H. Effect of chemical treatment of pineapple crown fiber in the production, chemical composition, crystalline structure, thermal stability and thermal degradation kinetic properties of cellulosic materials. Carbohydr. Res. 2021, 499, 108227. [Google Scholar] [CrossRef] [PubMed]
- Poke, F.S.; Raymond, C.A. Predicting extractives, lignin, and cellulose contents using near infrared spectroscopy on solid wood in eucalyptus globulus. J. Wood Chem. Technol. 2006, 26, 187–199. [Google Scholar] [CrossRef]
- Carrillo, I.; Mendonça, R.T.; Ago, M.; Rojas, O.J. Comparative study of cellulosic components isolated from different eucalyptus species. Cellulose 2018, 25, 1011–1029. [Google Scholar] [CrossRef]
- Abu-Thabit, N.Y.; Judeh, A.A.; Hakeem, A.S.; Ul-Hamid, A.; Umar, Y.; Ahmad, A. Isolation and characterization of microcrystalline cellulose from date seeds (Phoenix dactylifera L.). Int. J. Biol. Macromol. 2020, 155, 730–739. [Google Scholar] [CrossRef]
- Trache, D.; Donnot, A.; Khimeche, K.; Benelmir, R.; Brosse, N. Physico-chemical properties and thermal stability of microcrystalline cellulose isolated from alfa fibres. Carbohydr. Polym. 2014, 104, 223–230. [Google Scholar] [CrossRef]
- Daraei Garmakhany, A.; Sheykhnazari, S. First principles of pretreatment and cracking biomass to fundamental building blocks. Introd. Renew. Biomater. First Princ. Concepts 2017, 181–217. [Google Scholar] [CrossRef]
- Fodil Cherif, M.; Trache, D.; Brosse, N.; Benaliouche, F.; Tarchoun, A.F. Comparison of the physicochemical properties and thermal stability of organosolv and kraft lignins from hardwood and softwood biomass for their potential valorization. Waste Biomass Valorization 2020, 11, 6541–6553. [Google Scholar] [CrossRef]
- Kian, L.; Saba, N.; Jawaid, M.; Fouad, H. Characterization of microcrystalline cellulose extracted from olive fiber. Int. J. Biol. Macromol. 2020, 156, 347–353. [Google Scholar] [CrossRef] [PubMed]
- Bessa, W.; Trache, D.; Derradji, M.; Bentoumia, B.; Tarchoun, A.F.; Hemmouche, L. Effect of silane modified microcrystalline cellulose on the curing kinetics, thermo-mechanical properties and thermal degradation of benzoxazine resin. Int. J. Biol. Macromol. 2021, 180, 194–202. [Google Scholar] [CrossRef] [PubMed]
- El Achaby, M.; Kassab, Z.; Barakat, A.; Aboulkas, A. Alfa fibers as viable sustainable source for cellulose nanocrystals extraction: Application for improving the tensile properties of biopolymer nanocomposite films. Ind. Crops Prod. 2018, 112, 499–510. [Google Scholar] [CrossRef]
- Ajouguim, S.; Abdelouahdi, K.; Waqif, M.; Stefanidou, M.; Saâdi, L. Modifications of alfa fibers by alkali and hydrothermal treatment. Cellulose 2019, 26, 1503–1516. [Google Scholar] [CrossRef]
- Kalita, R.D.; Nath, Y.; Ochubiojo, M.E.; Buragohain, A.K. Extraction and characterization of microcrystalline cellulose from fodder grass; setaria glauca (l) p. Beauv, and its potential as a drug delivery vehicle for isoniazid, a first line antituberculosis drug. Colloids Surf. B Biointerfaces 2013, 108, 85–89. [Google Scholar] [CrossRef]
- Tarchoun, A.F.; Trache, D.; Klapötke, T.M.; Krumm, B.; Mezroua, A.; Derradji, M.; Bessa, W. Design and characterization of new advanced energetic biopolymers based on surface functionalized cellulosic materials. Cellulose 2021, 28, 6107–6123. [Google Scholar] [CrossRef]
- Wawer, I.; Witkowski, S. Analysis of solid state 13c nmr spectra of biologically active compounds. Curr. Org. Chem. 2001, 5, 987–999. [Google Scholar] [CrossRef]
- Borchani, K.E.; Carrot, C.; Jaziri, M. Untreated and alkali treated fibers from alfa stem: Effect of alkali treatment on structural, morphological and thermal features. Cellulose 2015, 22, 1577–1589. [Google Scholar] [CrossRef]
- Larsson, P.T.; Westermark, U.; Iversen, T. Determination of the cellulose iα allomorph content in a tunicate cellulose by cp/mas 13c-nmr spectroscopy. Carbohydr. Res. 1995, 278, 339–343. [Google Scholar] [CrossRef]
- Liitiä, T.; Maunu, S.L.; Hortling, B. Solid state nmr studies on cellulose crystallinity in fines and bulk fibres separated from refined kraft pulp. Holzforschung 2000, 54, 618–624. [Google Scholar] [CrossRef]
- Chen, J.H.; Guan, Y.; Wang, K.; Xu, F.; Sun, R.C. Regenerated cellulose fibers prepared from wheat straw with different solvents. Macromol. Mater. Eng. 2015, 300, 793–801. [Google Scholar] [CrossRef]
- Trache, D. Microcrystalline cellulose and related polymer composites: Synthesis, characterization and properties. Handb. Compos. Renew. Mater. Struct. Chem. 2016, 1, 61–92. [Google Scholar]
- Li, J.; Zhang, X.; Zhang, M.; Xiu, H.; He, H. Optimization of selective acid hydrolysis of cellulose for microcrystalline cellulose using fecl3. BioResources 2014, 9, 1334–1345. [Google Scholar] [CrossRef]
- Trache, D.; Tarchoun, A.F.; De Vita, D.; Kennedy, J.F. Posidonia oceanica (L.) delile: A mediterranean seagrass with potential applications but regularly and erroneously referred to as an algal species. Int. J. Biol. Macromol. 2022, 230, 122624. [Google Scholar] [CrossRef] [PubMed]
- Hachaichi, A.; Kouini, B.; Kian, L.K.; Asim, M.; Fouad, H.; Jawaid, M.; Sain, M. Nanocrystalline cellulose from microcrystalline cellulose of date palm fibers as a promising candidate for bio-nanocomposites: Isolation and characterization. Materials 2021, 14, 5313. [Google Scholar] [CrossRef] [PubMed]
- Hideno, A. Comparison of the thermal degradation properties of crystalline and amorphous cellulose, as well as treated lignocellulosic biomass. BioResources 2016, 11, 6309–6319. [Google Scholar] [CrossRef]
- Shaikh, H.M.; Anis, A.; Poulose, A.M.; Al-Zahrani, S.M.; Madhar, N.A.; Alhamidi, A.; Alam, M.A. Isolation and characterization of alpha and nanocrystalline cellulose from date palm (Phoenix dactylifera L.) trunk mesh. Polymers 2021, 13, 1893. [Google Scholar] [CrossRef]
- Aprilia, N.S.; Davoudpour, Y.; Zulqarnain, W.; Khalil, H.A.; Hazwan, C.C.M.; Hossain, M.; Dungani, R.; Fizree, H.; Zaidon, A.; Haafiz, M.M. Physicochemical characterization of microcrystalline cellulose extracted from kenaf bast. BioResources 2016, 11, 3875–3889. [Google Scholar] [CrossRef]
- Ismail, F.; Othman, N.E.A.; Wahab, N.A.; Hamid, F.A.; Aziz, A.A. Preparation of microcrystalline cellulose from oil palm empty fruit bunch fibre using steam-assisted acid hydrolysis. J. Adv. Res. Fluid Mech. Therm. Sci. 2021, 81, 88–98. [Google Scholar] [CrossRef]
- Husin, M.; Li, A.R.; Ramli, N.; Romli, A.Z.; Hakimi, M.I.; Ilham, Z. Preparation and characterization of cellulose and microcrystalline cellulose isolated from waste leucaena leucocephala seeds. Int. J. Adv. Appl. Sci. 2017, 4, 51–58. [Google Scholar] [CrossRef]
- Abdul Khalil, H.; Lai, T.K.; Tye, Y.Y.; Paridah, M.; Fazita, M.; Azniwati, A.; Dungani, R.; Rizal, S. Preparation and characterization of microcrystalline cellulose from sacred bali bamboo as reinforcing filler in seaweed-based composite film. Fibers Polym. 2018, 19, 423–434. [Google Scholar] [CrossRef]
- Tarchoun, A.F.; Trache, D.; Klapötke, T.M.; Derradji, M.; Bessa, W. Ecofriendly isolation and characterization of microcrystalline cellulose from giant reed using various acidic media. Cellulose 2019, 26, 7635–7651. [Google Scholar] [CrossRef]






| Sample Name | Employed Procedure |
|---|---|
| CGEOac | Cellulose from EG by organosolv and acidified sodium chlorite solution |
| CGEOal | Cellulose from EG by organosolv and alkaline peroxide solution |
| CGEKac | Cellulose from EG by kraft and acidified sodium chlorite solution |
| CGEKal | Cellulose from EG by kraft and alkaline peroxide solution |
| MCCGEOac | MCC from EG by organosolv and acidified sodium chlorite solution |
| MCCGEOal | MCC from EG by organosolv and alkaline peroxide solution |
| MCCGEKac | MCC from EG by kraft and acidified sodium chlorite solution |
| MCCGEKal | MCC from EG by kraft and alkaline peroxide solution |
| E. Globulus (g/100 g) | GEO (g/100 g) | GEK (g/100 g) | CGEOac (g/100 g) | CGEOal (g/100 g) | CGEKac (g/100 g) | CGEKal (g/100 g) | |
|---|---|---|---|---|---|---|---|
| Glucose | 44.1 ± 0.5 | 84.4 ± 0.4 | 85.9 ± 0.3 | 97.3 ± 0.2 | 96.4 ± 0.1 | 97.9 ± 0.3 | 97.3 ± 0.4 |
| Xylose | 16.4 ± 0.4 | 7.5 ± 0.3 | 10.6 ± 0.5 | 0.97 ± 0.07 | 2.50 ± 0.08 | 0.78 ± 0.05 | 1.10 ± 0.1 |
| Arabinose | 0.41 ± 0.05 | 0.27 ± 0.04 | 0.08 ± 0.02 | 0.04 ± 0.01 | Tr | 0.06 ± 0.01 | Tr |
| Galacturonic acid | 0.45 ± 0.01 | 0.04 ± 0.01 | 0.02 ± 0.01 | 0.44 ± 0.06 | Tr | 0.51 ± 0.08 | 0.47 ± 0.08 |
| Glucuronic acid | 0.62 ± 0.03 | 0.03 ± 0.01 | 0.03 ± 0.01 | Tr | Tr | Tr | Tr |
| Galactose | 1.70 ± 0.07 | 0.42 ± 0.03 | 0.50 ± 0.06 | 0.41 ± 0.05 | 0.46 ± 0.06 | Tr | Tr |
| Klason lignin | 28.6 ± 0.5 | 8.6 ± 0.4 | 2.9 ± 0.7 | Tr | Tr | Tr | Tr |
| Soluble lignin | 1.75 ± 0.47 | 0.42 ± 0.07 | 0.30 ± 0.04 | 0.89 ± 0.04 | 0.93 ± 0.05 | 0.77 ± 0.02 | 0.83 ± 0.07 |
| Extractives | 5.5 ± 0.6 | / | / | / | / | / | / |
| Ashes | 0.32 ± 0.02 | / | / | / | / | / | / |
| Sample | Mw | Mn | PDI | DPw | DPn |
|---|---|---|---|---|---|
| CGEKac | 381,218 | 26,976 | 14.13 | 735 | 52 |
| CGEkal | 400,856 | 81,436 | 4.92 | 772 | 156 |
| CGEOac | 470,845 | 32,370 | 14.54 | 907 | 62 |
| CGEOal | 495,308 | 98,339 | 5.04 | 954 | 189 |
| Sample | TGA Analysis | DSC Analysis | ||||
|---|---|---|---|---|---|---|
| Onset (°C) a | Peak (°C) b | wt (%) c | Ti (°C) d | Tm (°C) e | ΔH (J/g) f | |
| MCCGEOac | 318.9 | 348.8 | 82.8 | 307.5 | 345.1 | 383.1 |
| MCCGEOal | 322.3 | 351.6 | 80.4 | 314.3 | 350.8 | 360.6 |
| MCCGEKac | 307.3 | 342.2 | 80.6 | 298.8 | 336.1 | 399.3 |
| MCCGEKal | 317.9 | 349.2 | 77.8 | 302.7 | 342.8 | 379.9 |
| CGEOac | 308.8 | 343.3 | 74.6 | 289.8 | 335.3 | 374.7 |
| CGEOal | 272.7 | 311.1 | 57.2 | 282.2 | 317.1 | 297.1 |
| CGEKac | 296.4 | 342.9 | 74.4 | 291.4 | 335.6 | 377.9 |
| CGEKal | 268.6 | 329.2 | 63.6 | 300.2 | 335.9 | 270.1 |
Disclaimer/Publisher’s Note: The statements, opinions and data contained in all publications are solely those of the individual author(s) and contributor(s) and not of MDPI and/or the editor(s). MDPI and/or the editor(s) disclaim responsibility for any injury to people or property resulting from any ideas, methods, instructions or products referred to in the content. |
© 2023 by the authors. Licensee MDPI, Basel, Switzerland. This article is an open access article distributed under the terms and conditions of the Creative Commons Attribution (CC BY) license (https://creativecommons.org/licenses/by/4.0/).
Share and Cite
Bessa, W.; Trache, D.; Tarchoun, A.F.; Abdelaziz, A.; Hussin, M.H.; Brosse, N. Unraveling the Effect of Kraft and Organosolv Processes on the Physicochemical Properties and Thermal Stability of Cellulose and Its Microcrystals Produced from Eucalyptus Globulus. Sustainability 2023, 15, 3384. https://doi.org/10.3390/su15043384
Bessa W, Trache D, Tarchoun AF, Abdelaziz A, Hussin MH, Brosse N. Unraveling the Effect of Kraft and Organosolv Processes on the Physicochemical Properties and Thermal Stability of Cellulose and Its Microcrystals Produced from Eucalyptus Globulus. Sustainability. 2023; 15(4):3384. https://doi.org/10.3390/su15043384
Chicago/Turabian StyleBessa, Wissam, Djalal Trache, Ahmed Fouzi Tarchoun, Amir Abdelaziz, Mohd Hazwan Hussin, and Nicolas Brosse. 2023. "Unraveling the Effect of Kraft and Organosolv Processes on the Physicochemical Properties and Thermal Stability of Cellulose and Its Microcrystals Produced from Eucalyptus Globulus" Sustainability 15, no. 4: 3384. https://doi.org/10.3390/su15043384
APA StyleBessa, W., Trache, D., Tarchoun, A. F., Abdelaziz, A., Hussin, M. H., & Brosse, N. (2023). Unraveling the Effect of Kraft and Organosolv Processes on the Physicochemical Properties and Thermal Stability of Cellulose and Its Microcrystals Produced from Eucalyptus Globulus. Sustainability, 15(4), 3384. https://doi.org/10.3390/su15043384

