An Analysis of Three Decades of Increasing Carbon Emissions: The Weight of the P Factor
Abstract
1. Introduction
2. Methods
2.1. Theory and calculations
2.2. The Dataset
3. Results
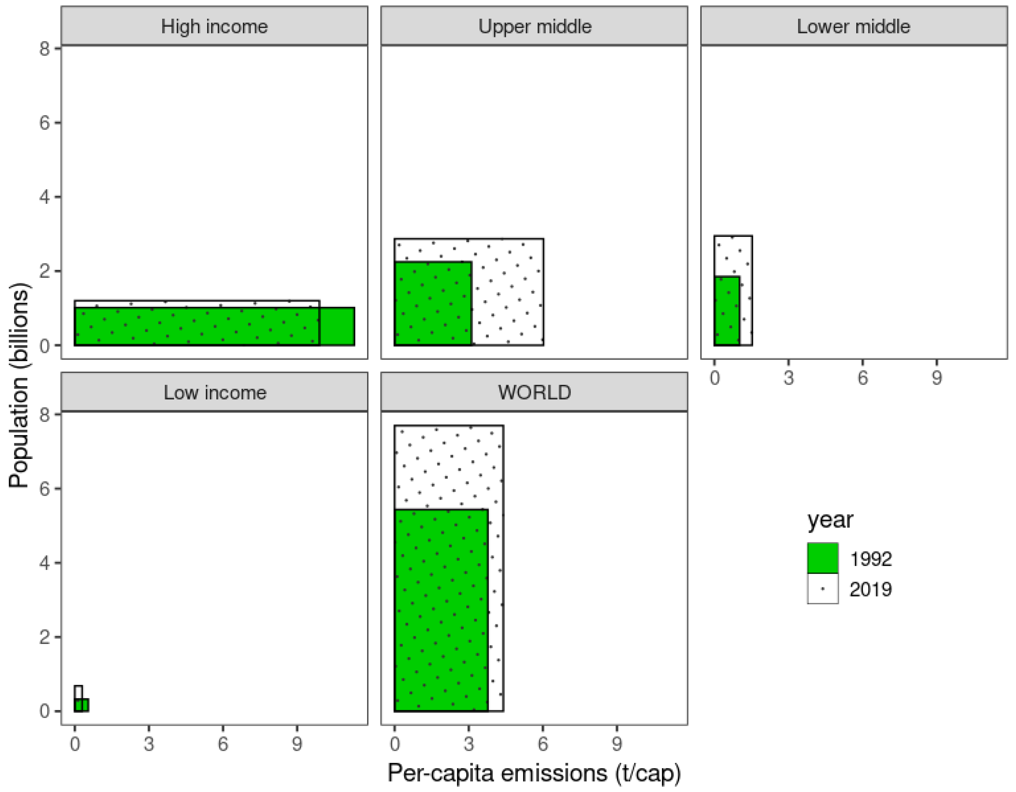
3.1. Population Variation in Country Groups
3.2. Emissions in Country Groups
3.3. Factor Contributions
4. Discussion
5. Conclusions
Author Contributions
Funding
Institutional Review Board Statement
Informed Consent Statement
Data Availability Statement
Acknowledgments
Conflicts of Interest
References
- Ripple, W.J.; Wolf, C.; Newsome, T.M.; Gregg, J.W.; Lenton, T.M.; Palomo, I.; Eikelboom, J.A.; Law, B.E.; Huq, S.; Duffy, P.B.; et al. World scientists’ warning of a climate emergency 2021. BioScience 2021, 71, 894–898. [Google Scholar] [CrossRef]
- IPCC. Climate Change 2022: Mitigation of Climate Change. Working Group III Contribution to the IPCC Sixth Assessment Report. Available online: https://www.ipcc.ch/report/ar6/wg3/ (accessed on 29 December 2022).
- Steffen, W.; Rockström, J.; Richardson, K.; Lenton, T.M.; Folke, C.; Liverman, D.; Summerhayes, C.P.; Barnosky, A.D.; Cornell, S.E.; Crucifix, M.; et al. Trajectories of the Earth System in the Anthropocene. Proc. Natl. Acad. Sci. USA 2018, 115, 8252–8259. [Google Scholar] [CrossRef] [PubMed]
- Holdren, J.P.; Ehrlich, P.R. One-Dimensional Ecology Revisited A Rejoinder. Bull. At. Sci. 1972, 28, 42–45. [Google Scholar] [CrossRef]
- Chertow, M.R. The IPAT equation and its variants. J. Ind. Ecol. 2001, 4, 13–29. [Google Scholar] [CrossRef]
- Dodson, J.C.; Dérer, P.; Cafaro, P.; Götmark, F. Population growth and climate change: Addressing the overlooked threat multiplier. Sci. Total Environ. 2020, 748, 141346. [Google Scholar] [CrossRef]
- Tamburino, L.; Bravo, G. Reconciling a positive ecological balance with human development: A quantitative assessment. Ecol. Indic. 2021, 129, 107973. [Google Scholar] [CrossRef]
- United Nations. World Population Prospects; Technical Report; UN, Department of Economic and Social Affairs, Population Division: New York, NY, USA, 2022.
- Bongaarts, J.; O’Neill, B.C. Global warming policy: Is population left out in the cold? Science 2018, 361, 650–652. [Google Scholar] [CrossRef]
- Washington, H.; Lowe, I.; Kopnina, H. Why Do Society and Academia Ignore the ‘Scientists Warning to Humanity’ On Population? J. Futur. Stud. 2020, 25, 93–106. [Google Scholar]
- Cafaro, P. Climate ethics and population policy: A review of recent philosophical work. Wiley Interdiscip. Rev. Clim. Chang. 2022, 13, e748. [Google Scholar] [CrossRef]
- Wiedmann, T.; Lenzen, M.; Keyßer, L.T.; Steinberger, J.K. Scientists’ warning on affluence. Nat. Commun. 2020, 11, 3107. [Google Scholar] [CrossRef]
- Nielsen, K.S.; Nicholas, K.A.; Creutzig, F.; Dietz, T.; Stern, P.C. The role of high-socioeconomic-status people in locking in or rapidly reducing energy-driven greenhouse gas emissions. Nat. Energy 2021, 6, 1011–1016. [Google Scholar] [CrossRef]
- Gore, T. Extreme Carbon Inequality: Why the Paris Climate Deal Must Put the Poorest, Lowest Emitting and Most Vulnerable People First; Technical Report; Oxfam International: Nairobi, Kenya, 2015. [Google Scholar]
- World Bank. Dataset. Available online: https://data.worldbank.org/ (accessed on 28 December 2022).
- Weber, H.; Sciubba, J.D. The Effect of Population Growth on the Environment: Evidence from European Regions. Eur. J. Popul. 2018, 35, 379–402. [Google Scholar] [CrossRef] [PubMed]
- Friedlingstein, P.; O’Sullivan, M.; Jones, M.W.; Andrew, R.M.; Gregor, L.; Hauck, J.; Quéré, C.L.; Luijkx, I.T.; Olsen, A.; Peters, G.P.; et al. Global Carbon Budget 2022. Earth Syst. Sci. Data 2022, 14, 4811–4900. [Google Scholar] [CrossRef]
- World Bank. The World by Income and Region. Available online: https://datatopics.worldbank.org/world-development-indicators/the-world-by-income-and-region.html (accessed on 28 December 2022).
- York, R.; Rosa, E.A.; Dietz, T. STIRPAT, IPAT and ImPACT: Analytic Tools for Unpacking the Driving Forces of Environmental Impacts. Ecol. Econ. 2003, 46, 351–365. [Google Scholar] [CrossRef]
- Alcott, B. Impact caps: Why population, affluence and technology strategies should be abandoned. J. Clean. Prod. 2010, 18, 552–560. [Google Scholar] [CrossRef]
- Cleveland, C.J.; Ruth, M. Indicators of dematerialization and the materials intensity of use. J. Ind. Ecol. 1998, 2, 15–50. [Google Scholar] [CrossRef]
- Herring, H.; Roy, R. Technological innovation, energy efficient design and the rebound effect. Technovation 2007, 27, 194–203. [Google Scholar] [CrossRef]
- Climate Watch. Data Sources for CO2 Emissions. Available online: https://www.climatewatchdata.org/about/faq/ghg (accessed on 2 January 2023).
- Fletcher, R.; Breitling, J.; Puleo, V. Barbarian hordes: The overpopulation scapegoat in international development discourse. Third World Q. 2014, 35, 1195–1215. [Google Scholar] [CrossRef]
- Kuhlemann, K. Any size population will do?: The fallacy of aiming for stabilization of human numbers. Ecol. Citiz. 2018, 1, 181–189. [Google Scholar]
- Blanco, G.; Gerlagh, R.; Suh, S.; Barrett, J.; de Coninck, H.C.; Morejon, C.F.D.; Mathur, R.; Nakicenovic, N.A.; Ofosu Ahenkora, J.P.; Pathak, H.; et al. Drivers, Trends and Mitigation. In Climate Change 2014: Mitigation of Climate Change. Contribution of Working Group III to the Fifth Assessment Report of the Intergovernmental Panel on Climate Change; Cambridge University Press: Cambridge, UK, 2014. [Google Scholar]
- Chancel, L. Global carbon inequality over 1990–2019. Nat. Sustain. 2022, 5, 931–938. [Google Scholar] [CrossRef]
- Day, C. Skill Composition, Fertility, and Economic Growth. Rev. Income Wealth 2013, 61, 164–178. [Google Scholar] [CrossRef]
- Balbo, N.; Billari, F.C.; Mills, M. Fertility in Advanced Societies: A Review of Research. Eur. J. Popul. 2012, 29, 1–38. [Google Scholar] [CrossRef]
- Wiedmann, T.; Minx, J. A definition of ‘carbon footprint’. Ecol. Econ. Res. Trends 2008, 1, 1–11. [Google Scholar]
- Aichele, R.; Felbermayr, G. Kyoto and the carbon footprint of nations. J. Environ. Econ. Manag. 2012, 63, 336–354. [Google Scholar] [CrossRef]
- Arto, I.; Dietzenbacher, E. Drivers of the Growth in Global Greenhouse Gas Emissions. Environ. Sci. Technol. 2014, 48, 5388–5394. [Google Scholar] [CrossRef]
- Díaz, S.; Settele, J.; Brondízio, E.S.; Ngo, H.T.; Agard, J.; Arneth, A.; Balvanera, P.; Brauman, K.A.; Butchart, S.H.; Chan, K.M.; et al. Pervasive human-driven decline of life on Earth points to the need for transformative change. Science 2019, 366, eaax3100. [Google Scholar] [CrossRef]
- Díaz, S.M.; Settele, J.; Brondízio, E.; Ngo, H.; Guèze, M.; Agard, J.; Arneth, A.; Balvanera, P.; Brauman, K.; Butchart, S.; et al. The Global Assessment Report on Biodiversity and Ecosystem Services: Summary for Policy Makers; Technical Report; Intergovernmental Science-Policy Platform on Biodiversity and Ecosystem Services: Bonn, Germany, 2019. [Google Scholar]
- FAO. The Future of Food and Agriculture–Trends and Challenges; Annual Report; FAO: Rome, Italy, 2017. [Google Scholar]
- Laurance, W.F.; Sayer, J.; Cassman, K.G. Agricultural expansion and its impacts on tropical nature. Trends Ecol. Evol. 2014, 29, 107–116. [Google Scholar] [CrossRef]
- Crist, E.; Mora, C.; Engelman, R. The interaction of human population, food production, and biodiversity protection. Science 2017, 356, 260–264. [Google Scholar] [CrossRef]
- López-Carr, D.; Burgdorfer, J. Deforestation drivers: Population, migration, and tropical land use. Environ. Sci. Policy Sustain. Dev. 2013, 55, 3–11. [Google Scholar] [CrossRef] [PubMed]
- Heyward, C. A growing problem? Dealing with population increases in climate justice. Ethical Perspect. 2012, 19, 703–732. [Google Scholar]
- Hickey, C.; Rieder, T.N.; Earl, J. Population engineering and the fight against climate change. Soc. Theory Pract. 2016, 42, 845–870. [Google Scholar] [CrossRef]
- Sohn, E. Strengthening society with contraception. Nature 2020, 588, S162–S164. [Google Scholar] [CrossRef] [PubMed]
- Sedgh, G.; Ashoford, L.S.; Hussain, R. Unmet Need for Contraception in Developing Countries: Examine Women’s Reasons for Not Using a Method; Technical Report; The Guttmacher Institute: New York, NY, USA, 2016. [Google Scholar]
- Bongaarts, J.; Hardee, K. Trends in contraceptive prevalence in Sub-Saharan Africa: The roles of family planning programs and education. Afr. J. Reprod. Health 2019, 23, 96–105. [Google Scholar] [CrossRef]
- Cottingham, J.; Germain, A.; Hunt, P. Use of human rights to meet the unmet need for family planning. Lancet 2012, 380, 172–180. [Google Scholar] [CrossRef]
- Hao, L.N.; Umar, M.; Khan, Z.; Ali, W. Green growth and low carbon emission in G7 countries: How critical the network of environmental taxes, renewable energy and human capital is? Sci. Total Environ. 2021, 752, 141853. [Google Scholar] [CrossRef] [PubMed]
- Götmark, F.; Cafaro, P.; O’Sullivan, J. Aging human populations: Good for us, good for the earth. Trends Ecol. Evol. 2018, 33, 851–862. [Google Scholar] [CrossRef] [PubMed]
- Seibert, M.K.; Rees, W.E. Through the eye of a needle: An eco-heterodox perspective on the renewable energy transition. Energies 2021, 14, 4508. [Google Scholar] [CrossRef]
- Rees, W.E. The human eco-predicament: Overshoot and the population conundrum. Vienna Yearb. Popul. Res. 2023, 21, 1–19. [Google Scholar] [CrossRef]
- Sachs, J.D.; Schmidt-Traub, G.; Mazzucato, M.; Messner, D.; Nakicenovic, N.; Rockström, J. Six Transformations to achieve the Sustainable Development Goals. Nat. Sustain. 2019, 2, 805–814. [Google Scholar] [CrossRef]




| Variable | WB Code | Description |
|---|---|---|
| GNI per capita | NY.GNP.PCAP.PP.KD | GNI per capita, PPP (constant 2017 international $) |
| GNI total | NY.GNP.MKTP.KD | GNI (constant 2015 US$) |
| Population | SP.POP.TOTL | Population, total |
| Surface | AG.SRF.TOTL.K2 | Surface area (km) |
| Fertility rate | SP.DYN.TFRT.IN | Fertility rate, total (births per woman) |
| CO emissions | EN.ATM.CO2E.KT | CO emissions, total (kt) |
| CO per capita | CO emissions, per capita (t)Computed as (EN.ATM.CO2E.KT × 1000)/SP.POP.TOTL |
| Group | Per Capita Emissions | Total Emissions | % of Global Population | % of Global Emissions |
|---|---|---|---|---|
| High-income | 9.9 t/capita | 11.88 Gt | 15.6% | 35.1% |
| Upper-middle | 6.0 t/capita | 17.29 Gt | 37.3% | 51.0% |
| Lower-middle | 1.5 t/capita | 4.51 Gt | 38.3% | 13.3% |
| Low-income | 0.3 t/capita | 0.2 Gt | 8.8% | 0.6% |
| Contribution → | Population | Per Capita Emissions | Interaction | Total Variation |
|---|---|---|---|---|
| Group ↓ | CO Mt | CO Mt | CO Mt | CO Mt |
| High-income | 2120 (498.8%) | −1430 (−336.5%) | −265 (−62.3%) | 425 (100%) |
| Upper-middle | 1938 (18.8%) | 6544 (63.6%) | 1814 (17.6%) | 10,296 (100%) |
| Lower-middle | 1119 (42.7%) | 941 (35.9%) | 558 (21.3%) | 2619 (100%) |
| Low-income | 194 (740.8%) | −80 (−305.0%) | −88 (−335.8%) | 26 (100%) |
| World | 8551 (64.0%) | 3398 (25.4%) | 1416 (10.6%) | 13,366 (100%) |
Disclaimer/Publisher’s Note: The statements, opinions and data contained in all publications are solely those of the individual author(s) and contributor(s) and not of MDPI and/or the editor(s). MDPI and/or the editor(s) disclaim responsibility for any injury to people or property resulting from any ideas, methods, instructions or products referred to in the content. |
© 2023 by the authors. Licensee MDPI, Basel, Switzerland. This article is an open access article distributed under the terms and conditions of the Creative Commons Attribution (CC BY) license (https://creativecommons.org/licenses/by/4.0/).
Share and Cite
Tamburino, L.; Cafaro, P.; Bravo, G. An Analysis of Three Decades of Increasing Carbon Emissions: The Weight of the P Factor. Sustainability 2023, 15, 3245. https://doi.org/10.3390/su15043245
Tamburino L, Cafaro P, Bravo G. An Analysis of Three Decades of Increasing Carbon Emissions: The Weight of the P Factor. Sustainability. 2023; 15(4):3245. https://doi.org/10.3390/su15043245
Chicago/Turabian StyleTamburino, Lucia, Philip Cafaro, and Giangiacomo Bravo. 2023. "An Analysis of Three Decades of Increasing Carbon Emissions: The Weight of the P Factor" Sustainability 15, no. 4: 3245. https://doi.org/10.3390/su15043245
APA StyleTamburino, L., Cafaro, P., & Bravo, G. (2023). An Analysis of Three Decades of Increasing Carbon Emissions: The Weight of the P Factor. Sustainability, 15(4), 3245. https://doi.org/10.3390/su15043245

