Next Article in Journal
Genotoxicity of Synthetic Food Colors on Nitrogen-Fixing Bacteria in Agricultural Lands Irrigated with Wastewater of Corresponding Industries
Previous Article in Journal
Using Artificial Intelligence Approach for Investigating and Predicting Yield Stress of Cemented Paste Backfill
Previous Article in Special Issue
Low-Carbon Technologies to Remove Organic Micropollutants from Wastewater: A Focus on Pharmaceuticals
 
 
Font Type:
Arial Georgia Verdana
Font Size:
Aa Aa Aa
Line Spacing:
Column Width:
Background:
Article

Assessing the Feasibility of Rooftop Rainwater Harvesting for Food Production in Northwestern Arizona on the Hualapai Indian Reservation

by
Brianda Hernandez Rosales
1,2,* and
Alexandra Lutz
1,2
1
Division of Hydrologic Sciences, Desert Research Institute, Reno, NV 89512, USA
2
GPHS—Graduate Program of Hydrologic Sciences, University of Nevada, Reno, NV 89557, USA
*
Author to whom correspondence should be addressed.
Sustainability 2023, 15(4), 2891; https://doi.org/10.3390/su15042891
Submission received: 19 December 2022 / Revised: 31 January 2023 / Accepted: 2 February 2023 / Published: 6 February 2023
(This article belongs to the Special Issue Water Security and Resilience)

Abstract

With the uncertainties of climate change and the persistence of droughts in the Southwestern US, finding additional renewable water resources is crucial to ensure safe drinking water and attain food security in rural and tribal communities. Rainwater harvesting (RWH), the practice of centralizing, collecting, and storing rainwater for later use, has the potential to help alleviate some water stresses in these communities. Although RWH is not a new concept, it has not been widely practiced in arid and semi-arid environments in the United States. This study assessed the feasibility of rooftop RHW at a small scale, in Peach Springs, Arizona, on the Hualapai Indian Reservation. Working alongside the Federally Recognized Tribal Extension Program (FRTEP) agent for the Hualapai Tribe, this study considered RWH from four prospective buildings to supplement irrigation practices for food production. Due to high standard deviation and coefficient of variation values, annual precipitation amounts were classified into normal, dry, and wet years to assess variability over the last 40 water years. An average total of ~29,285 L could be collected from one of the buildings considered for RWH during the growing season of April to September during a classified normal year. The Food and Agriculture Organization’s (FAO) AquaCrop model was used to determine the area that can be cultivated with four staple crops, maize, tomatoes, dry beans, and sunflowers, which are currently being grown in the community garden, solely using the captured rainwater. Cultivable areas range from 8.7 m2 to 71 m2 depending on the catchment size, crop, and classified precipitation year—a wet, dry, or normal precipitation year. A total of 81.2 kg of dry corn could be harvested during a normal precipitation year, solely using the collected rainwater from one of the buildings.

1. Introduction

The strain on available water resources has increased during the past century. Nearly half of the global population, roughly 4 billion people, live in conditions of severe water stress for part of the year [1]. In the United States, approximately 130 million people, particularly in western states, live in water-stressed conditions for at least 1–6 months out of the year [2]. Rainwater harvesting (RWH), which includes concentrating, collecting, and storing rainwater in small schematic systems for domestic and agricultural use [3], is a sustainable water resource that has been practiced for centuries to address water security in arid and semi-arid environments around the world [4]. Apart from Tucson, Arizona, RWH has yet to be widely studied and implemented in much of the southwestern US, particularly in rural communities. There, RWH can be a viable and attainable solution to address water security issues in areas where connectivity to water mains is difficult due to large distances between homes and a lack of infrastructure [5].
Rainwater harvesting requires minimal engineering and construction, low cost, and maintenance all while collecting water that can support outdoor purposes, particularly, irrigation for crop production. Studies have shown that it is feasible in arid and semi-arid climates and can improve rain-fed farming systems [6] to help manage water demands, water scarcity, and food insecurity [7], the last of which has been exacerbated by the COVID-19 pandemic.
The US Food and Drug Administration (FDA) determined that approximately 10.5% of Americans live in food-insecure households, which include low food security (6.6%) and very low food security (3.5%), where low food security refers to food insecurity without hunger, meaning that individuals face reduced food quality, variety, and desirability of diet, in comparison to very low food security where food insecurity is experienced with hunger, meaning individuals report disrupted eating patterns and reduced food intake [8]. The 2000–2010 “Current Population Survey Food Security Supplement” reported that 25% of American Indians and Alaskan Natives remain food insecure compared to white Americans, highlighting the prevalence of food insecurity and the need to find ways to address food access and nutritional needs in tribal communities and rural areas. Access to healthy, beneficial, and cultural foods can lead to the strengthening of cultural identity and strengthen their relationship with their ancestral lands [9].
This study aimed to assess the feasibility of rooftop RWH from four buildings on the Hualapai Indian Reservation in Peach Springs, Arizona, for food production. Specific questions posed in the study are as follows:
  • Do local climate patterns support the feasibility of RWH?
  • Are the existing rooftops on the four proposed buildings well-suited for rooftop RWH, and how much volume could be harvested?
  • How much land area can be cultivated solely using the harvested rainwater, and would a dry year still be sufficient to sustain the crops?
  • What is the estimated cost to implement this RWH project?

2. Materials and Methods

2.1. Study Area and Decription of Climate

Peach Springs is about 80 km northeast of Kingman, AZ, (Figure 1), at approximately 1457 m in elevation, and serves as the headquarters for the Hualapai Tribe. The town has an area of 20.5 km2 and a population of 1500. Agriculture in the area mainly consists of cattle ranching and 4-H youth agricultural development programs through USDA’s Federally Recognized Tribal Extension Program (FRTEP) [10].
The local climate is characterized as mild and arid [11] with most of the precipitation on the reservation received during the monsoonal months of July and August and during the cooler months of December, January, and February.

2.2. Climatic Data

Observational temperature and rainfall data are available from the COOP network; however, these data are inconsistent over time and no measurements have been recorded since 2007. Therefore, both monthly and annual precipitation and temperature data from 1980 to 2020 were downloaded from the PRISM Climate Group at a 4 km resolution [12]. Data were validated by comparing them to the existing observational dataset for Peach Springs, AZ. The PRISM climate group extrapolates from existing observations to render statistically sound spatial climatic datasets [12]. Mean temperatures are 23 °C in the summer and 6 °C during the winter according to the PRISM climate normals from 1990–2020 (see Figure 2). Normals are the baseline datasets that present the average monthly and annual meteorological conditions within a 30-year span.
Additionally, the reservation experiences frequent episodes of droughts that can last several years followed by shorter periods of above-normal to extreme wet weather conditions [13]. Currently, the reservation, along with much of the southwestern US, is experiencing a long-term drought, referred to as a megadrought, which began in the late 1990s and early 2000s [14].
The North American Monsoon (NAM), also known as the Southwest monsoon, Arizona monsoon, or the Mexican monsoon, brings an abundance of rain to northwest Mexico and the southwestern US every summer [15,16]. The NAM starts in western Mexico in the month of June and makes its way to the southwestern US by July, lasting as late as mid-September. The NAM is a result of various convective thunderstorms that form from surface land heating and moisture [17]. Many variables influence the creation and intensity of the monsoon. As a result, summer precipitation patterns vary widely from year to year, which is associated with the conditions of the Pacific Decadal Oscillation and the El Nino Southern Oscillation (ENSO) [18]. However, these summer storms can help sustain food production during the growing season through rainwater harvesting.

2.3. Field Methods

Field observations were conducted in August 2021 in Peach Springs under the guidance of the Hualapai Tribe’s Federally Recognized Tribal Extension Program (FRTEP) agent. Measurements of the 4H building, the greenhouse, the toolshed, and the tractor shed were taken with a handheld measuring tape. Additionally, a survey of the crops in the community garden was taken, which included the type of crops, the time of sowing, the time of harvesting, and the soil characteristics. Lastly, an inventory was taken of the existing material that has the potential to be used for RWH to help determine a cost budget.

2.4. Chracterizing the Climate: Dry, Normal, Wet Years

R software was used to calculate the mean annual precipitation, standard deviation, and coefficient of variation and perform a decomposition time series analysis of PRISM climate data. A locally weighted scatterplot smoothing (LOWESS) was used to discern the direction of both the precipitation and temperature trends. It allows for the averages to be calculated based on the surrounding value as opposed to the moving average that is influenced by outliers [19] The coefficient of variation (CV) is a measure of variability relative to the mean of the dataset and calculated as:
CV = S d V a  
where CV is the coefficient of variation, Sd is the standard deviation of monthly precipitation (mm), and Va is the mean of monthly precipitation (mm). Interannual CV was also calculated for the years from 1980 to 2020.
The CV and standard deviation indicated low-to-moderate inter-annual variability, so a metric was needed to classify a normal, dry, and wet year to evaluate the difference and potential effect on RWH. The Indian Meteorological Department’s classifications were employed: a dry year as total annual precipitation less than 20% of the long-term average; a normal year between ±20% of the long-term average; and a wet year as greater than 20% of the long-term average [20,21].
Boxplots were employed to show the variation in precipitation totals across the three scenarios stated above. The boxplots are useful in comparing the variation among the three classified precipitation years: normal, dry, and wet years. The boxplots allow for the display of the median and the variation and skewness of the data, as well displaying the presence of outliers within the dataset.

2.5. Rainwater Harvesting Equation

The volume of water that could be captured from the rooftop of the four buildings was determined by modifying the equation from Aladenola et al., which was adapted from Ghisi et al. [22,23], as follows:
  V = R d × A r × R c 1000
where V is the volume of rainfall that can be harvested (m3), Rd is the rainfall depth (mm), Ar is the rooftop area (m2) of the given buildings (see Table 1), and Rc is the runoff coefficient determined by the rooftop material of said buildings [24].

2.6. AquaCrop Model

The AquaCrop model was used to run “projects” that determine the net irrigation required for the dry yield of maize, potatoes, tomatoes, and sunflowers. These crops were noted in the survey of the Hualapai Community Garden. The growing season usually runs from April to September, with some cold-tolerant plants sowed in April and warmer plants sowed in May—for the purpose of this study, the growing season will be referred to as the months of April to September, while the planting period for each crop used in this simulation is from May to September. Each crop was evaluated for a dry, normal, or wet year, for a total of 12 projects. Monthly climate inputs were based on PRISM data.
The reference evapotranspiration (ETo) was calculated using the Food and Agriculture Organization’s (FAO) ETo Calculator—software developed to determine the reference evapotranspiration according to the FAO’s standards using the Penman–Monteith equation [25]. The ETo Calculator has an extension option for the AquaCrop model, allowing the calculated ETo to be directly inputted into the desired project. Soil characteristics were inputted as fine sandy loam per observation and confirmed by the Natural Resources Conservation Service (NRCS) Soil Survey of Mohave County, Arizona [26].
The ease of use of the AquaCrop model, minimal input parameters, and ample degree of simulation accuracy make the model a useful tool in determining the net irrigation and crop yield for this study. Further information about AquaCrop has been reported by others [27,28].

3. Results

The four buildings considered for RWH on the Hualapai Reservation are shown in Figure 3. The roof materials, Rc, and individual roof area are summarized in Table 1. The 4H building has the largest surface area and highest runoff coefficient, indicating that it is the most favorable of the four buildings for RWH. The three smaller buildings are located in close proximity; for ease, they are combined for consideration in the remainder of this study and referred to as “Community Garden buildings”. Figure 4 shows the methodology used in determining the feasibility of rainwater harvesting for food production.

3.1. Climate Characteristics

3.1.1. Precipitation and Temperature

Summary statistics of annual and monthly precipitation are listed in Table 2. The high annual coefficient of variation or CV (0.32) suggests low-to-moderate inter-variability of precipitation between years within the 40-year dataset. Comparably, the CV for each individual month is higher suggesting that the intra-variability of precipitation is noticeably higher and less predictable for each month than in-between years. The month of June has the highest CV, which means that precipitation depths are more variable for that month. However, the months of July, August, and September have the lowest CV, suggesting that summer monsoonal rains are more consistent from year to year. The skewness represents the distribution of data about the mean. Positive values in the precipitation data indicate that the mean is greater than the median of the data. The positively skewed precipitation data also suggest that outliers in the data tend to be greater than the mean, indicating that there are more precipitation events with depths greater than the monthly average. This observation is important, since RWH requires enough precipitation for it to be feasible and cost-effective for food production.
The locally weighted smoothing or LOWESS smoothing for precipitation is shown in Figure 5a. The smoothing shows a general trend of the average monthly precipitation decreasing from 1980 until the late 2000s, with a minor increase in the early 2010s, followed by a gradual leveling off. Note that the LOWESS smoothing with a span of 2/3 smooths the series more aggressively than that with a 1/10th smoothing span to allow for a generalized view of the precipitation patterns. A decrease from 279 mm (reported in existing literature) to approximately 241 mm is noted. The decrease in average annual precipitation in Peach Springs, AZ, from 279 mm in the literature to 241 mm might be attributed to the spatial precipitation data that were used in this study due to their availability versus the observable precipitation data that were available at the end of the 20th century but discontinued in 2007. However, the decrease in monthly precipitation also coincides with the drought ongoing in the Southwest since the late 1990s. Though there are some peaks in precipitation in the mid-2000s and 2010s, there appears to be no sustained recovery to levels in the 1980s. Figure 5b also depicts the 2020 monsoon, which was coined “the nonsoon” for its nonexistent precipitation during both the monsoon season and the winter months [29].
The locally weighted smoothing for temperature from 1980 to 2020 is shown in Figure 6. The high temperatures from 2000 to 2020 coincide with the ongoing drought in the Southwest, classified as the warmest and driest period on record, and 2020 was determined to be extremely arid [14]. Figure 6a shows the high temperature and aridity observed in the study area. The data suggest an increase in the mean monthly temperature from ~13.5 °C to 15.0 °C during 1980 to 2020, as seen in Figure 5b.

3.1.2. Classification of Normal, Dry, and Wet Precipitation Years

Table 3 shows summary statistics for the Indian Meteorological Department’s three classifications. Just over half the data fall into the normal classification, while the remaining are almost equally split between dry and wet years. The frequency of normal, wet, or dry years is important for planning purposes, i.e., a normal precipitation year occurs most commonly in the 40-year record (1980–2020).
Higher CVs during wet/dry years suggest that precipitation varies more from a wet-to-wet year and a dry-to-dry year than during normal precipitation years. With less variability and an increased frequency of normal precipitation years, the classification of the precipitation years is further solidified.
The median values (50th percentile) for August are slightly lower for the wet year than for the corresponding normal year, as seen with the centerline in the boxplot in Figure 7. The data indicate that during a wet year, more rainfall is received during the combined winter months of December, January, and February than during the summer monsoon months of July, August, and September. A normal and dry year both receive most of the precipitation during the monsoon months of July, August, and September. Additionally, the months of July, August, and September show less variability in the precipitation depths from year to year in the dataset. This observation is significant since the collected rainwater would be used during the months of April–September.
Regardless, a wet year receives the greatest precipitation during both the winter and the summer months as compared to that in a normal and dry year. For each year, most precipitation occurs during the month of August for a normal and dry year, while a wet year receives the greatest precipitation amounts during February at an average of 52.1 mm. The lowest precipitation amounts occur during the month of May for a wet and dry year, while a normal year receives the least amount of precipitation during the month of June.

3.2. Rainwater Harvesting Potential

The monthly volumes of rainwater that can be collected from the 4H building during a classified normal, dry, and wet precipitation year are listed in Table 4. An average of 29,285 L of rainwater can be collected from the 4H building during the growing season, with a total of up to 60,860 L for the normal precipitation year. The monthly amounts of rainfall that can be harvested from the Community Garden buildings are listed in Table 5. Approximately 6810 L of rain can be collected during the growing season with a total of 14,160 L for a normal precipitation year.

3.3. AquaCrop Results and Cultivable Area

The AquaCrop model was run for each of the four crops for each classified precipitation years, normal, dry, and wet, for a total of 12 projects. The crops used in the simulation include maize, tomatoes, dry beans, and sunflowers. The month of April was considered for the rainwater harvesting and a part of the growing season, but not the planting period, since all the simulated crops are sown in May. Simulated ETo, rainfall, and net irrigation and the area that can be cultivated using the harvested rainfall for the 4H and Community Garden buildings are listed in Table 6. Net irrigation considers the rainfall during the planting period of May–September and determines the existing required irrigation for a healthy crop.
As expected, a dry year requires more RWH irrigation for each crop than a normal or wet year, since less rainfed irrigation is available. Rainfed irrigation is the direct precipitation falling onto crops. In addition, as expected, more area can be cultivated during a wet year using RWH in addition to the rainfed irrigation. Table 6 lists summary values for the area that has the potential to be cultivated for each crop. An average area of 55 m2 of maize can be cultivated during a normal precipitation year, while dry beans, tomatoes, and sunflowers can be cultivated in areas of 56 m2, 65 m2, and 59 m2, respectively. During a wet precipitation year, approximately 15% more area can be cultivated using the harvested rainfall than that in a normal year and about 50% more than that in a dry year.
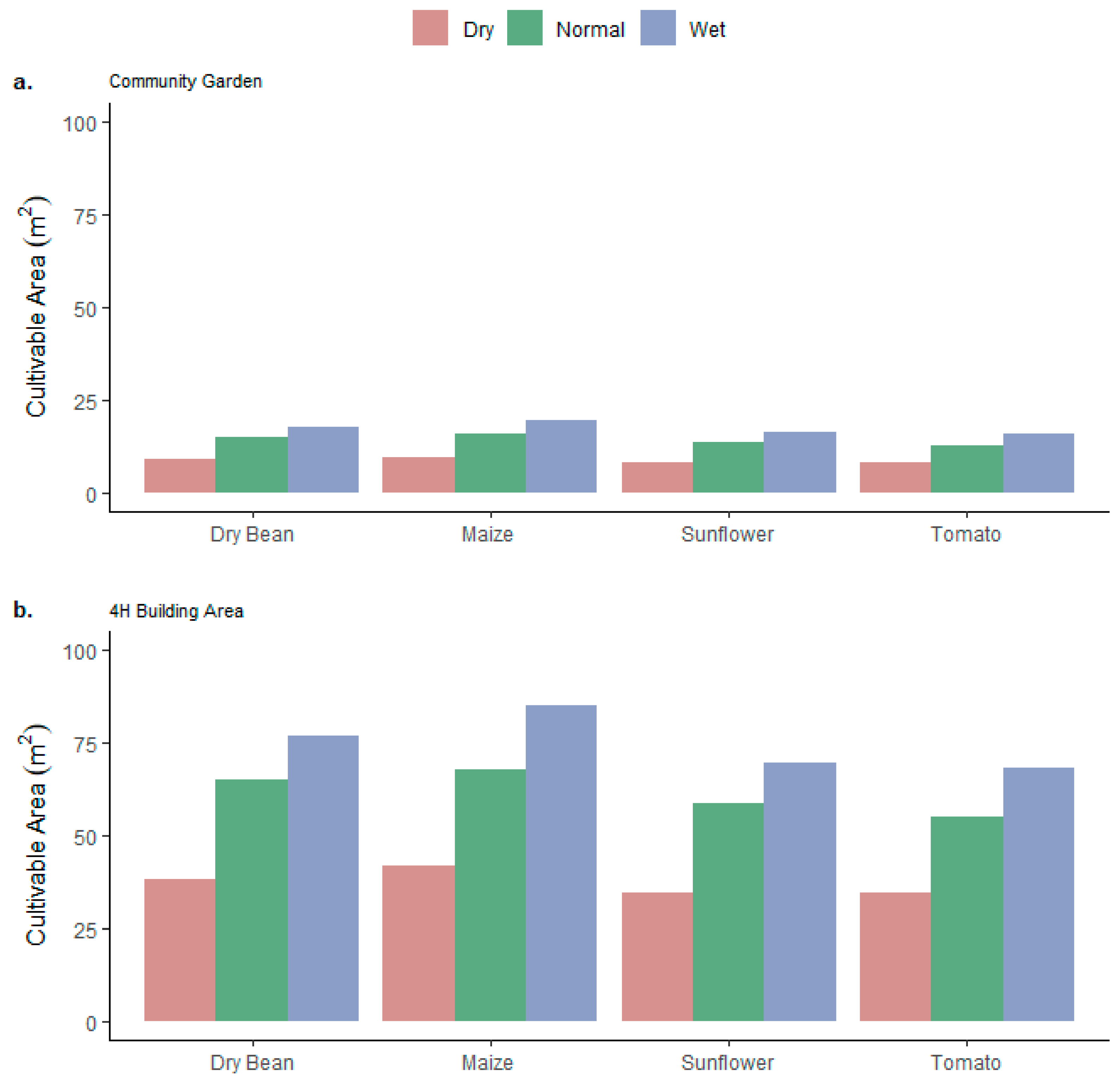
The average area that can be cultivated at the community garden is 14 m2 during a normal precipitation year for any of the four crops. This is a small fraction of the existing garden (~4% or 1/20th of the area). Although the volume of water collected from the three buildings during the growing season is relatively minimal in terms of providing irrigation for cultivating crops, the alleviation of 4% of water used through current irrigation methods can still be beneficial. Figure 8 shows the area that can be cultivated solely using the harvested rainwater for both the Community Garden buildings (a) and the 4H building (b).
The AquaCrop model can also simulate the crop yield that can be harvested at the end of the growing season. For maize, the harvested rainwater and rainfed irrigation for a normal precipitation year can generate a total of 18.3 kg (40 lb.) in the community garden. The area that can be cultivated during the growing season using the volume from the 4H building is averaged at an area of 60 m2 for a normal precipitation year. The volume during the growing season could help cultivate 40% or over 1/3rd of the area of the prospective garden of 150 m2 for an average of all crops. The AquaCrop model simulated a total of 81 kg (178 lb.) of maize that can be harvested at the end of the growing season during a normal precipitation year at the 4H building. The harvested rain from the 4H building could help sustain a garden in the area for food production and help increase sovereignty at this scale.
Validation of the AquaCrop model was performed by comparing simulated net irrigation to an existing study conducted in the four-corners region of the U.S., by Djaman et al. (2018), which determined the required irrigation needed for maize in the arid environment of northwestern New Mexico, with similar monsoonal patterns to that of northwestern Arizona. The study found that net irrigation for maize was between 576.6 mm and 1051.6 mm, when maize was grown under full irrigation for four consecutive years, 2011–2014, and an additional year, 2017. The AquaCrop simulated net irrigation for maize at the lower end of the Djaman et al. study [30]. Additionally, the simulated potential evapotranspiration (683 mm) in this study was similar the actual evapotranspiration, averaging 665 mm, in the Djaman et al. study.

3.4. Cost Summary—4H Building

Implementing a rainwater-harvesting system to collect rainwater from April to September at the 4H building would require cisterns large enough to collect an average volume of 29,285 L during a normal precipitation year. A normal precipitation year is selected for the budget since it occurs most commonly. The 4H building would require the most materials since it has a larger roof catchment size. The cost to implement an RWH system is listed in Table 7. Polyethylene cisterns are chosen, as they are the most cost effective as compared with other options on the market—for instance, metal or wooden cisterns can double in cost compared to polyethylene cisterns [31]. The gutter system already in place on the 4H building is suitable for an RWH system; therefore, there would be no additional cost. The pump needed to deliver the water from the cistern to the garden is the most expensive component in this RWH system. Gravity can also be used to move the water from the cistern to the garden if there is an adequate amount of elevation head from the cistern to the point of delivery. Lastly, in order to “stretch” the collected water for food production, a drip irrigation system should be implemented.
The range of cost to implement a rainwater-harvesting system is dependent on the cost of the polyethylene cistern and the pump. Additional costs for RWH systems include maintenance, which would require cleaning of the gutters before the start of the rainy season, as well as a disinfecting method to ensure the prevention of bacterial growth. Note that the total cost for implementing an RWH system on the 4H building accounts for a total of two 15,000 L (3500 gal) cisterns needed to maximize the amount of rain that can be captured.
There would be a greater cost to implement an RHW system to collect water year-round. Additional cisterns would be needed to ensure that the complete volume of precipitation, nearly double, is collected. Additionally, due to the cooler temperatures during the winter months, burial or insultation of the cisterns is required. Fortunately, the cisterns can hold water for a long period of time if engineered to prevent sunlight from penetrating to avoid the growth of algae or bacteria. To start, it is suggested to implement an RWH for the growing season only; additional cisterns can be added to the system if more water is desired to be harvested throughout the year.

4. Discussion

These findings suggests that rainwater harvesting is feasible in northwestern Arizona for food production at this scale. This coincides with findings in a previous study in Mbale where RWH was found to be an imperative source to address food security [7] and where RWH can be an effective, alternative source of water in arid and semi-arid environments, especially in Arizona [6]. Although the locally weighted smoothing shows a decrease in precipitation amounts since the late 1990s and a temperature trajectory increase since the 1980s (the start of both datasets), a substantial amount of rainwater can still be collected during classified normal, wet, and even dry precipitation years. The decrease in average annual precipitation in Peach Springs, AZ, from 279 mm in literature to 241 mm can be attributed to the spatial data versus the observational data, but it can also be attributed to the ongoing drought that has dominated the Southwestern US in the last two decades. Further research is needed to determine the cause for the decrease.
The 4H building on the reservation is better suited for rainwater capture with the galvanized roof material having a runoff coefficient of 90% and a surface area of 278 m3. The 40-year precipitation data suggest that a classified normal precipitation year can yield approximately 60,860 L of collected rainwater annually from the 4H building and approximately 29,285 L from April to September, during the growing season in the Hualapai Indian Reservation. Additionally, during a normal precipitation year, the AquaCrop model simulated an average of 81 kg of dry maize that can be harvested at the end of the growing season solely using the harvested rainwater. The Community Garden buildings are far less suited for RWH due to a lower runoff coefficient and smaller surface area. However, an average of 14,155 L can still be collected annually during a normal precipitation year, and about 6805 L can be collected during the growing season. An average of 18 kg of maize can be harvested at the end of the growing season solely using the harvested rainwater.
The harvested rainwater from the 4H building can help irrigate an area of approximately 60 m2, while the collected rainwater from the Community Garden buildings can help irrigate an area of about 14 m2. The area that is being considered for cultivation near the 4H building is 150 m2, so the collected rainwater can help irrigate slightly more than 1/3rd of the area. The existing community garden, where the three smaller buildings are located, has an area of approximately 320 m2, meaning that the collected rainwater from the tractor shed, tool shed, and greenhouse can help irrigate a small percentage of the area at 4%.
The cost to implement a rainwater harvesting system on the 4H building that can maximize the amount rainwater that can be collected can range from $5900 to $23,148 USD depending on the materials that are considered for the system. Polyethylene cisterns are the most cost-effective and come in variable sizes, allowing for full capture potential [32]. Simple engineering can be performed to modify the existing gutter system to concentrate water into the cisterns. Additionally, the cisterns can be placed on elevated platforms to help move water from the cisterns to the desired area without a costly pump. The cisterns would be the most expensive part of the RWH system for the 4H building [30]. The community garden would require further engineering since the current buildings do not have a gutter system that is required for the concentration of rainwater into a cistern; however, existing material on the reservation is available from a former rainwater harvesting project that is no longer operating. The aluminum gutters are malleable and can be shaped to fit the three small buildings. Four polyethylene cisterns are available for use as well and can hold a total of 800 L—additional cisterns will be needed to fully capture the rainwater during any classified year. The decision of implementing a rainwater-harvesting system on the 4H building and Community Garden buildings is solely of the Hualapai Tribe. It is currently being considered.
Although the cost of maize per kilogram will not solely offset the cost to implement a rainwater harvesting system for the first few years—when accounting for fuel to drive to and from the reservation (up to 80 km) to the nearest grocery store, vehicle maintenance, and the insecurities that were exposed during a global pandemic—implementing a rainwater harvesting system, especially in areas that are located in food deserts and most vulnerable to climate change, will ensure access to secure, healthy foods that are culturally rich. As tribal communities produce their own food, there is less dependency on government food-assistant programs that may lack nutritional values [33].

5. Conclusions

Addressing water security will be one of the many challenges that all communities will face in the impending future; however, some areas will face greater challenges than others with many of these same communities already struggling during this ongoing drought. In the Southwest, where summer precipitation occurs, rainwater harvesting can help mitigate these challenges. Capturing the water that would otherwise be lost to evaporation or evapotranspiration from unwanted plants [34] or simply running off can help support small-scale food production, such as community or domestic gardens. Although the volume of water that can be harvested from the 4H building and the Community Garden buildings cannot fully replace the irrigation practices that are currently in place due to the high demand of water from crops [6], the harvested rainwater can help reduce the strain on current irrigation methods for various crops. This study assessed the feasibility of rainwater harvesting from two different areas and four buildings in the town of Peach Springs, which is a fraction of the buildings in the town. Community-wide RWH can further help alleviate the stress on current irrigation methods for food production. Food security can be attained with culturally significant and nutritious foods grown in town. Attaining water security for food production is incredibly important and more so with the changing climate. By expanding water resources in rural and tribal communities, food sovereignty can be attained. The amount of food that can be grown will depend on the catchment size in Peach Spring, AZ, and other similar communities in the Southwest.

Author Contributions

Conceptualization, B.H.R. and A.L.; methodology, B.H.R.; software, B.H.R.; validation, B.H.R. and A.L.; formal analysis, B.H.R.; investigation, B.H.R.; resources, B.H.R.; data curation, B.H.R.; writing—original draft preparation, B.H.R.; writing—review and editing, A.L.; visualization, B.H.R.; supervision, A.L.; project administration, B.H.R.; funding acquisition, A.L. All authors have read and agreed to the published version of the manuscript.

Funding

This research was funded by the General Frederick Lander Endowment Fund at the Desert Research Institute.

Institutional Review Board Statement

Not applicable.

Informed Consent Statement

Not applicable.

Data Availability Statement

No new data were created for this research.

Acknowledgments

We would like to thank Federally Recognized Tribal Extension (FRTEP) Agent Elisabeth Alden for her interest in this project, as well as the Hualapai Tribe for granting us the opportunity to conduct this research and visit their homelands during an unprecedented time. We would also like to thank Christine Albano and Susie Rybarski for their expertise and help in the project.

Conflicts of Interest

The authors declare no conflict of interest.

References

  1. Kummu, M.; Ward, P.J.; de Moel, H.; Varis, O. Is physical water scarcity a new phenomenon? Global assessment of water shortage over the last two millennia. Environ. Res. Lett. 2010, 5, 034006. [Google Scholar] [CrossRef]
  2. Mekonnen, M.M.; Hoekstra, A.Y. Four billion people facing severe water scarcity. Sci. Adv. 2016, 2, e1500323. [Google Scholar] [CrossRef] [PubMed]
  3. Lasage, R.; Verburg, P.H. Evaluation of small-scale water harvesting techniques for semi-arid environments. J. Arid. Environ. 2015, 118, 48–57. [Google Scholar] [CrossRef]
  4. Van Meter, K.J.; Steiff, M.; McLaughlin, D.L.; Basu, N.B. The socioecohydrology of rainwater harvesting in India: Understanding water storage and release dynamics across spatial scales. Hydrol. Earth Syst. Sci. 2016, 20, 2629–2647. [Google Scholar] [CrossRef]
  5. DigDeep and US Water Alliance. Closing the Water Access Gap in the United States: A National Action Plan, Los Angeles, CA. 2020. Available online: https://uswateralliance.org/sites/uswateralliance.org/files/publications/Closing%20the%20Water%20Access%20Gap%20in%20the%20United%20States_DIGITAL.pdf (accessed on 7 July 2021).
  6. Tamaddun, K.; Kalra, A.; Ahmad, S. Potential of rooftop rainwater harvesting to meet outdoor water demand in arid regions. J. Arid. Land 2018, 10, 68–83. [Google Scholar] [CrossRef]
  7. Durodola, O.S.; Bwambale, J.; Nabunya, V. Using every drop: Rainwater harvesting for food security in Mbale, Uganda. Water Pract. Technol. 2020, 15, 295–310. [Google Scholar] [CrossRef]
  8. Congressional Research Service; Casey, A.R.; Morgenstern, E.M. COVID-19 and Global Food Security: Issues for Congress. In Focus. 2020. Available online: https://crsreports.congress.gov/product/pdf/IF/IF11575 (accessed on 15 November 2021).
  9. Pindus, N.; Hafford, C. Food security and access to healthy foods in Indian country: Learning from the Food Distribution Program on Indian Reservations. J. Public Aff. 2019, 19, e1876. [Google Scholar] [CrossRef]
  10. Tribal Extension. Hualapai. Available online: https://tribalextension.org/project/hualapai/ (accessed on 29 July 2020).
  11. Christensen, K.; Hualapai Tribe Department of Natural Recourses (HTDNR). Cooperative Drought Contingency Plan, Hualapai Reservation. 2003. Available online: hhttps://drought.unl.edu/archive/plans/drought/tribal/HualapaiTribe_2003.pdf (accessed on 29 July 2021).
  12. PRISM Climate Group, Oregon State University. Created 4 February 2004. Available online: https://prism.oregonstate.edu (accessed on 2 August 2021).
  13. Bills, D.J.; Macy, J.P. Hydrologic Framework and Characterization of the Truxton Aquifer on the Hualapai Reservation, Mohave County, Arizona (ver. 2.0, December 2017): United States Geological Survey Scientific Investigations Report 2016–5171; U.S. Geological Survey: Reston, VA, USA, 2016; 50p. [Google Scholar] [CrossRef]
  14. Williams, A.P.; Cook, B.I.; Smerdon, J.E. Rapid intensification of the emerging southwestern North American megadrought in 2020–2021. Nat. Clim. Change 2022, 12, 232–234. [Google Scholar] [CrossRef]
  15. Adams, D.K.; Comrie, A.C. The North American Monsoon. Bull. Am. Meteorol. Soc. 1997, 7, 18. [Google Scholar] [CrossRef]
  16. Pascale, S.; Boos, W.R.; Bordoni, S.; Delworth, T.L.; Kapnick, S.B.; Murakami, H.; Vecchi, G.A.; Zhang, W. Weakening of the North American monsoon with global warming. Nat. Clim. Change 2017, 7, 806–812. [Google Scholar] [CrossRef]
  17. Crimmins, A. Arizona and the North American Monsson System; Arizona Cooperative Extension. College of Agriculture and Life Sciences, University of Arizona: Tucson, AZ, USA, 2006; Available online: https://repository.arizona.edu/handle/10150/146919 (accessed on 27 July 2021).
  18. Copeland, S.M.; Bradford, J.; Duniway, M.; Schuster, R.M. Potential impacts of overlapping land-use and climate in a sensitive dryland: A case study of the Colorado Plateau, USA. Ecosphere 2017, 8, e01823. [Google Scholar] [CrossRef]
  19. Helsel, D.R.; Hirsch, R.M.; Ryberg, K.R.; Archfield, S.A.; Gilroy, E.J. Statistical Methods in Water Resources: U.S. Geological Survey Techniques and Methods, Book 4, Chapter A3; U.S. Geological Survey: Reston, VA, USA, 2020; 458p. [Google Scholar] [CrossRef]
  20. Indian Meteorological Department (IMD). Ministry of Earth Sciences, Government of India, Frequently Asked Questions (FAQs) on Monsoon. 2022. Available online: https://mausam.imd.gov.in/imd_latest/monsoonfaq.pdf (accessed on 20 January 2022).
  21. Garg, K.K.; Anantha, K.H.; Venkataradha, A.; Dixit, S.; Singh, R.; Ragab, R. Impact of Rainwater Harvesting on Hydrological Processes in a Fragile Watershed of South Asia. Groundwater 2021, 59, 839–855. [Google Scholar] [CrossRef] [PubMed]
  22. Aladenola, O.O.; Adeboye, O.B. Assessing the Potential for Rainwater Harvesting. Water Resour. Manag. 2010, 24, 2129–2137. [Google Scholar] [CrossRef]
  23. Ghisi, E. Potential for potable water savings by using rainwater in the residential sector of Brazil. Build. Environ. 2006, 41, 1544–1550. [Google Scholar] [CrossRef]
  24. Anchan, S.S.; Shiva Prasad, H.C. Feasibility of roof top rainwater harvesting potential—A case study of South Indian University. Clean. Eng. Technol. 2021, 4, 100206. [Google Scholar] [CrossRef]
  25. Food and Agriculture Organization (FAO) Division of Land and Water. ETo Calculator. 2022. Available online: https://www.fao.org/land-water/databases-and-software/eto-calculator/en/ (accessed on 24 November 2021).
  26. National Resources Conservation Services. Soil Survey of Mohave County, Arizona, Central Part. 2004, 946. Available online: https://archive.org/details/usda-soil-survey-of-mohave-county-area-arizona-northeastern-part-and-part-of-coconino-coun/page/n7/mode/2up (accessed on 22 January 2022).
  27. Vanuytrecht, E.; Raes, D.; Steduto, P.; Hsiao, T.C.; Fereres, E.; Heng, L.K.; Garcia Vila, M.; Mejias Moreno, P. AquaCrop: FAO’s crop water productivity and yield response model. Environ. Model. Softw. 2014, 62, 351–360. [Google Scholar] [CrossRef]
  28. Steduto, P.; Hsiao, T.C.; Raes, D.; Fereres, E. AquaCrop-The FAO Crop Model to Simulate Yield Response to Water: I. Concepts and Underlying Principles. Agron. J. 2009, 101, 426–437. [Google Scholar] [CrossRef]
  29. Leonard, D. Monsoon Brings Welcome Rain to the Southwest, but Drought Stubbornly Persists. The Washington Post, 29 July 2021. [Google Scholar]
  30. Djaman, K.; O’Neill, M.; Owen, C.; Smeal, D.; Koudahe, K.; West, M.; Allen, S.; Lombard, K.; Irmak, S. Crop Evapotranspiration, Irrigation Water Requirement and Water Productivity of Maize from Meteorological Data under Semiarid Climate. Water 2018, 10, 405. [Google Scholar] [CrossRef]
  31. Texas Water Development Board. The Texas Manual on Rainwater Harvesting, 3rd ed.; Texas Water Development Board: Austin, TX, USA, 2005. [Google Scholar]
  32. Thomas, T.H.; Martinson, D.B. Roofwater Harvesting: A Handbook for Practitioners; Technical Paper Series; No. 49; IRC International Water and Sanitation Centre: Delft, The Netherlands, 2007; 160p. [Google Scholar]
  33. Gurney, R.M.; Caniglia, B.S.; Mix, T.L.; Baum, K.A. Native American Food Security and Traditional Foods: A Review of the Literature: Native American Food Security and Traditional Foods. Sociol. Compass 2015, 9, 681–693. [Google Scholar] [CrossRef]
  34. Zhang, S.; Carni, G.; Berliner, P. Efficiency of rainwater harvesting of microcatchments and the role of their design. J. Arid Environ. 2013, 95, 22–29. [Google Scholar] [CrossRef]
Figure 1. The study area in the town of Peach Springs on the Hualapai Reservation in northwestern Arizona. Service Layer Credits: National Geographic, Esri, Garmin, HERE, UNEP-WCMC, USGS, NASA, ESA, METI, NRCAN, GEBCO, NOAA, increment P Corp.
Figure 1. The study area in the town of Peach Springs on the Hualapai Reservation in northwestern Arizona. Service Layer Credits: National Geographic, Esri, Garmin, HERE, UNEP-WCMC, USGS, NASA, ESA, METI, NRCAN, GEBCO, NOAA, increment P Corp.
Sustainability 15 02891 g001
Figure 2. Mean annual precipitation depths (bars) and mean annual temperature (line) for Peach Springs, Arizona, from 1980 to 2020 from the PRISM normals data set; see reference [12]. The annual precipitation mean for Peach Springs, AZ, is 241 mm.
Figure 2. Mean annual precipitation depths (bars) and mean annual temperature (line) for Peach Springs, Arizona, from 1980 to 2020 from the PRISM normals data set; see reference [12]. The annual precipitation mean for Peach Springs, AZ, is 241 mm.
Sustainability 15 02891 g002
Figure 3. Methodology used in determining the feasibility of rainwater harvesting to address food security in rural areas.
Figure 3. Methodology used in determining the feasibility of rainwater harvesting to address food security in rural areas.
Sustainability 15 02891 g003
Figure 4. Buildings considered for Rainwater Harvesting (RWH) in Peach Springs Arizona: (a) 4H building. (b) Community Garden buildings—left to right—tractor shed, tool shed, and greenhouse.
Figure 4. Buildings considered for Rainwater Harvesting (RWH) in Peach Springs Arizona: (a) 4H building. (b) Community Garden buildings—left to right—tractor shed, tool shed, and greenhouse.
Sustainability 15 02891 g004
Figure 5. Locally weighted smoothing of monthly precipitation depths for Peach Springs, Arizona, from 1980 to 2020 (a) Smoothing span of 1/10th (b) Smoothing span of 2/3rd.
Figure 5. Locally weighted smoothing of monthly precipitation depths for Peach Springs, Arizona, from 1980 to 2020 (a) Smoothing span of 1/10th (b) Smoothing span of 2/3rd.
Sustainability 15 02891 g005
Figure 6. Locally weighted smoothing of monthly temperatures for Peach Springs, Arizona, from 1980 to 2020 using a LOWESS (a) Smoothing span of 1/10th and (b) Smoothing span of 2/3rd.
Figure 6. Locally weighted smoothing of monthly temperatures for Peach Springs, Arizona, from 1980 to 2020 using a LOWESS (a) Smoothing span of 1/10th and (b) Smoothing span of 2/3rd.
Sustainability 15 02891 g006
Figure 7. Average monthly precipitation depths in Peach Springs during a dry, normal, and wet year. The summer months of August (in plot (C)) show a slightly higher median for precipitation during the classified normal year than a wet year. The month of September shows similar median values for both a wet and normal year. Cultivable areas in this study focus on the precipitation amounts from April to September. Plots (AD) are sectioned by quarters in a water year for better understanding.
Figure 7. Average monthly precipitation depths in Peach Springs during a dry, normal, and wet year. The summer months of August (in plot (C)) show a slightly higher median for precipitation during the classified normal year than a wet year. The month of September shows similar median values for both a wet and normal year. Cultivable areas in this study focus on the precipitation amounts from April to September. Plots (AD) are sectioned by quarters in a water year for better understanding.
Sustainability 15 02891 g007
Figure 8. Area of land that can be cultivated for individual crops using the harvested rainwater during the growing season from April to September during a dry, normal, and wet precipitation year. (a) Rainwater captured from the Community Garden buildings. (b) Rainwater captured from the 4H building.
Figure 8. Area of land that can be cultivated for individual crops using the harvested rainwater during the growing season from April to September during a dry, normal, and wet precipitation year. (a) Rainwater captured from the Community Garden buildings. (b) Rainwater captured from the 4H building.
Sustainability 15 02891 g008
Table 1. Characteristics of the four buildings considered for RWH.
Table 1. Characteristics of the four buildings considered for RWH.
BuildingRoof MaterialRcArea
(m2)
Roof Pitch
(Slope)
4HGalvanized Metal0.927835°
Tractor shed *Asphalt Shingles0.755.735°
Tool shed *Asphalt Shingles0.717.835°
Greenhouse *Plexiglass/Wood0.85.940°
Community Garden buildings0.7379.436°
* These three buildings in the Hualapai Community Garden were combined due to their proximatety to one another. Combined area is 79.4 m2. They will be referred to as Community Garden buildings for the remainder of this paper.
Table 2. Summary statistics for annual and monthly precipitation, 1980–2020.
Table 2. Summary statistics for annual and monthly precipitation, 1980–2020.
Month Mean
(mm)
Standard Deviation
(mm)
Coefficient
of
Variation
Coefficient
of
Skewness
January22.621.80.960.84
February29.726.50.891.65
March22.320.40.911.01
April12.113.51.121.90
May7.210.01.391.78
June4.97.11.441.93
July31.027.40.881.52
August36.321.90.600.77
September22.419.50.870.84
October14.916.51.111.30
November16.620.61.241.81
December25.522.40.880.72
Annual 24177.30.320.34
Table 3. Classification of precipitation in Peach Springs, AZ, from 1980–2020.
Table 3. Classification of precipitation in Peach Springs, AZ, from 1980–2020.
Long-Term AveragenAverage
Precipitation (mm)
Standard
Deviation
(mm)
Coefficient of
Variation
Normal194–290 mm±20%2424428.40.116
Dry<194 mm<20%914836.30.245
Wet>290 mm>20%835948.9 0.136
Table 4. Average volumes of potential harvestable rainwater during classified years for the 4H building.
Table 4. Average volumes of potential harvestable rainwater during classified years for the 4H building.
MonthNormal Year
(L)
Dry Year
(L)
Wet Year
(L)
January4755335010,810
February6920392512,985
March615032906305
April291010505540
May22303152165
June9959102260
July767062809405
August9000750510,905
September645034355355
October320030106050
November432510707070
December6255278510,645
Annual60,86036,92589,495
Growing Season29,28519,49535,630
Table 5. Average volumes of potential harvestable rainwater during classified years for the Community Garden buildings.
Table 5. Average volumes of potential harvestable rainwater during classified years for the Community Garden buildings.
MonthNormal Year
(L)
Dry Year
(L)
Wet Year
(L)
January11057802515
February16109103020
March14307651465
April6752451290
May52070505
June230210525
July179014602185
August209017452535
September15008001245
October7457001405
November10052501645
December14556452475
Annual14,155858020,810
Growing Season680545308285
Table 6. AquaCrop results for the four crops during a normal, dry, and wet year within the growing season (April–September).
Table 6. AquaCrop results for the four crops during a normal, dry, and wet year within the growing season (April–September).
CropClass. YearPlanting
Period
Simulated ETo
(mm)
Rainfall
(mm)
Net
Irrigation
(mm)
4H Build.
Volume
(m3)
4H
Cultivable Area (m2)
CG Build.
Volume
(m3)
CG
Cultivable Area
(m2)
MaizeNormal 68310653029.355.36.8012.8
DryMay-Sep70248.860019.532.54.537.55
Wet 68694.953935.666.08.2815.4
TomatoesNormal 62292.852329.356.06.8013.0
DryMay-Sep63843.858019.533.64.537.80
Wet 62682.653335.666.88.2815.5
Dry BeansNormal 58387.045329.364.76.8015.0
DryMay-Sep59538.751019.538.24.538.88
Wet 58778.146335.676.98.2818.0
SunflowersNormal 63310050029.358.66.8013.6
DryMay-Sep64846.356419.534.64.538.03
Wet 63991.351335.669.48.2816.1
Table 7. Cost to implement an RWH system for the 4H building.
Table 7. Cost to implement an RWH system for the 4H building.
ItemSizeCost (USD)
Polyethylene Cisterns15,000 L (3500 gal) each$2697–$11,175
Gutter System278 m2 (2990 ft2)$0
Pump$435–$726
Drip Irrigation150 m2 (1615 ft2)$72
Total Cost$5900–$23,148
(×2 cisterns)
Disclaimer/Publisher’s Note: The statements, opinions and data contained in all publications are solely those of the individual author(s) and contributor(s) and not of MDPI and/or the editor(s). MDPI and/or the editor(s) disclaim responsibility for any injury to people or property resulting from any ideas, methods, instructions or products referred to in the content.

Share and Cite

MDPI and ACS Style

Hernandez Rosales, B.; Lutz, A. Assessing the Feasibility of Rooftop Rainwater Harvesting for Food Production in Northwestern Arizona on the Hualapai Indian Reservation. Sustainability 2023, 15, 2891. https://doi.org/10.3390/su15042891

AMA Style

Hernandez Rosales B, Lutz A. Assessing the Feasibility of Rooftop Rainwater Harvesting for Food Production in Northwestern Arizona on the Hualapai Indian Reservation. Sustainability. 2023; 15(4):2891. https://doi.org/10.3390/su15042891

Chicago/Turabian Style

Hernandez Rosales, Brianda, and Alexandra Lutz. 2023. "Assessing the Feasibility of Rooftop Rainwater Harvesting for Food Production in Northwestern Arizona on the Hualapai Indian Reservation" Sustainability 15, no. 4: 2891. https://doi.org/10.3390/su15042891

APA Style

Hernandez Rosales, B., & Lutz, A. (2023). Assessing the Feasibility of Rooftop Rainwater Harvesting for Food Production in Northwestern Arizona on the Hualapai Indian Reservation. Sustainability, 15(4), 2891. https://doi.org/10.3390/su15042891

Note that from the first issue of 2016, this journal uses article numbers instead of page numbers. See further details here.

Article Metrics

Back to TopTop