Growth Conditions and Growth Kinetics of Chlorella Vulgaris Cultured in Domestic Sewage
Abstract
1. Introduction
2. Materials and Methods
2.1. Culture Medium Culture
2.2. Domestic Wastewater Culture
2.3. Collection of Chlorella
2.4. Measurement of Chlorella Biomass
2.5. Kinetic Growth Models
2.6. Methods for Studying the Growth Kinetics of Chlorella Vulgaris
3. Results and Discussion
3.1. Effect of Light Intensity
3.2. Effect of Initial pH
3.3. Effect of Microalgae Inoculum Concentration
3.4. Nutrient Removal
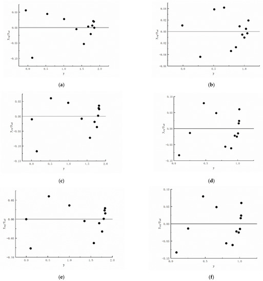
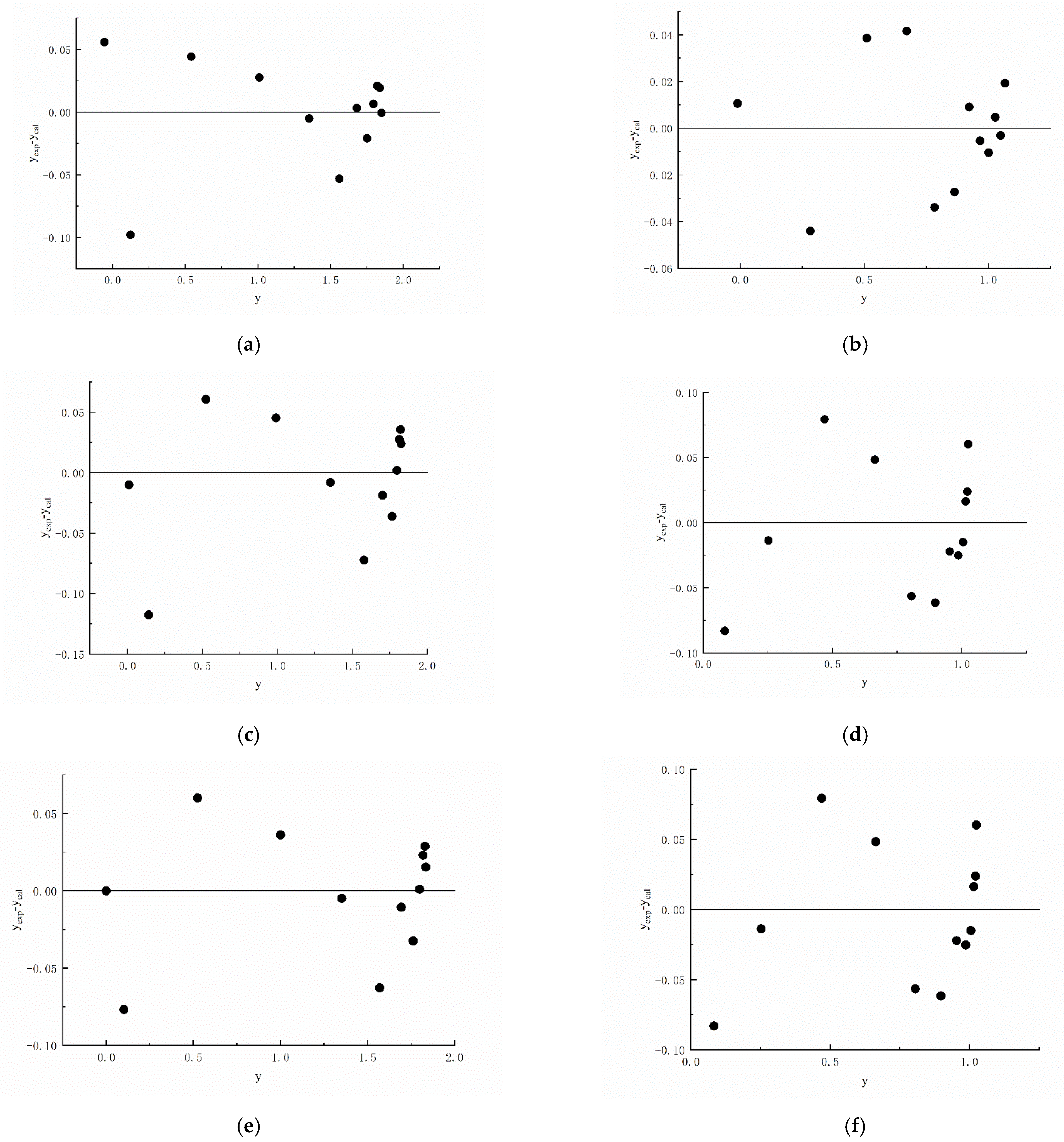
3.5. Growth Kinetic Studies of Chlorella Vulgaris
4. Conclusions
Funding
Conflicts of Interest
References
- Chisti, Y. Biodiesel from microalgae. Biotechnol. Adv. 2007, 25, 294–306. [Google Scholar] [CrossRef] [PubMed]
- Wang, Y.; Shi, W.Q.; Guo, Y.M.; Lu, S.G.; Liu, J.J. Environmental optimization of efficient culture of Chlorella vulgaris in domestic wastewater. J. Lanzhou Univ. Technol. 2020, 46, 6. [Google Scholar]
- Lam, M.K.; Lee, K.T. Microalgae biofuels: A critical review of issues, problems and the way forward. Biotechnol. Adv. 2012, 30, 673–690. [Google Scholar] [CrossRef]
- Li, J.; Shen, T.; Hu, L. Observation on the effect of protein nucleated Chlorella on the treatment of pig farm wastewater. J. Livest. Ecol. 2012, 33, 80–82. [Google Scholar]
- Kassim, M.A.; Mohd, A.R.; Ronald, H. Towards Biorefinery Production of Microalgal Biofuels and Bioproducts: Production of Acetic Acid from the Fermentation of Chlorella sp. and Tetraselmis suecica Hydrolysates. Green Sustain. Chem. 2017, 7, 152–171. [Google Scholar] [CrossRef]
- Mohd, S.; Ainur, A.; Jun, W.L.; Man, K.L.; Yoshimitsu, U.; Mohamed, H.I.; Chii, D.H.; Shamsul, R.M.K.; Chung, Y.W.; Siti, S.R. Lipid for biodiesel production from attached growth Chlorella vulgaris biomass cultivating in fluidized bed bioreactor packed with polyurethane foam material. Bioresour. Technol. 2017, 239, 127–136. [Google Scholar] [CrossRef] [PubMed]
- Li, C.; Hui, X.M.; Pan, Z.H. Study on the treatment performance of simulated domestic wastewater by Tetrahymena and protein nucleated Chlorella. J. Taiyuan Univ. Technol. 2021, 52, 880–886. [Google Scholar]
- Zhou, W.; Chen, P.; Min, M.; Ma, X.; Wang, J.; Griffith, R.; Hussain, F.; Peng, P.; Xie, Q.; Li, Y.; et al. Environment-enhancing algal biofuel production using wastewaters. Renew. Sustain. Energy Rev. 2014, 36, 256–269. [Google Scholar] [CrossRef]
- Lacerda, L.M.C.F.; Queiroz, M.I.; Furlan, L.T.; Lauro, M.J.; Modenesi, K.; Jacob-Lopes, E.; Franco, T.T. Improving refinery wastewater for microalgal biomass production and CO2 biofixation: Predictive modeling and simulation. J. Pet. Sci. Eng. 2011, 78, 679–686. [Google Scholar] [CrossRef]
- Pearl, R.; Reed, L.J. On the Rate of Growth of the Population of the United States since 1790 and Its Mathematical Representation. Proc. Natl. Acad. Sci. USA 1920, 6, 275–288. [Google Scholar] [CrossRef]
- Zwietering, M.H. Modeling of the Bacterial Growth Curve. Appl. Environ. Microbiol. 1990, 56, 1875–1881. [Google Scholar] [CrossRef] [PubMed]
- Richards, F.J. A Flexible Growth Function for Empirical Use. J. Exp. Bot. 1959, 10, 290–301. [Google Scholar] [CrossRef]
- Mostafa, S.S.M.; Shalaby, E.A.; Mahmoud, G.I. Cultivating Microalgae in Domestic Wastewater for Biodiesel Production. Not. Sci. Biol. 2012, 4, 56–65. [Google Scholar] [CrossRef]
- Raven, J.A. Sensing pH? Plant Cell Environ. 1990, 13, 721–729. [Google Scholar] [CrossRef]
- Goldman, J.C.; Azov, Y.; Riley, C.B.; Dennett, M.R. The effect of pH in intensive microalgal cultures. I. Biomass regulation. J. Exp. Mar. Biol. Ecol. 1982, 57, 1–13. [Google Scholar] [CrossRef]
- Tang, D.; Han, W.; Li, P.; Miao, X.; Zhong, J. CO2 biofixation and fatty acid composition of Scenedesmus obliquus and Chlorella pyrenoidosa in response to different CO2 levels. Bioresour. Technol. 2011, 102, 3071–3076. [Google Scholar] [CrossRef]
- Devgoswami, C.R.; Kalita, M.C.; Talukdar, J.; Bora, R.; Sharma, P. Studies on the growth behavior of Chlorella, Haematococcus and Scenedesmus sp. in culture media with different concentrations of sodium bicarbonate and carbon dioxide gas. Acad. J. 2011, 10, 13128–13138. [Google Scholar]
- Qiang, H.; Zarmi, Y.; Richmond, A. Combined effects of light intensity, light-path and culture density on output rate of Spirulina platensis (Cyanobacteria). Eur. J. Phycol. 1998, 33, 165–171. [Google Scholar] [CrossRef]
- Molazadeh, M.; Danesh, S.; Ahmadzadeh, H.; Pourianfar, H.R. Influence of CO2 concentration and N:P ratio on Chlorella vulgaris-assisted nutrient bioremediation, CO2 biofixation and biomass production in a lagoon treatment plant. J. Taiwan Inst. Chem. Eng. 2019, 96, 114–120. [Google Scholar] [CrossRef]
- Ayatollahi, S.Z.; Esmaeilzadeh, F.; Mowla, D. Integrated CO2 capture, nutrients removal and biodiesel production using Chlorella vulgaris. J. Environ. Chem. Eng. 2021, 9, 104763. [Google Scholar] [CrossRef]
- Cai, T.; Park, S.Y.; Li, Y. Nutrient recovery from wastewater streams by microalgae: Status and prospects. Renew. Sustain. Energy Rev. 2013, 19, 360–369. [Google Scholar] [CrossRef]
- Filippino, K.C.; Mulholland, M.R.; Bott, C.B. Phycoremediation strategies for rapid tertiary nutrient removal in a waste stream. Algal Res. 2015, 11, 125–133. [Google Scholar] [CrossRef]
- Aslan, S.; Kapdan, I.K. Batch kinetics of nitrogen and phosphorus removal from synthetic wastewater by algae. Ecol. Eng. 2006, 28, 64–70. [Google Scholar] [CrossRef]
- Whitton, R.; Le Mével, A.; Pidou, M.; Ometto, F.; Villa, R.; Jefferson, B. Influence of microalgal N and P composition on wastewater nutrient remediation. Water Res. 2016, 91, 371–378. [Google Scholar] [CrossRef] [PubMed]
- Elekli, A.; Yavuzatmaca, M. Predictive modeling of biomass production by Spirulina platensis as function of nitrate and NaCl concentrations. Bioresour. Technol. 2009, 99, 1847–1851. [Google Scholar] [CrossRef] [PubMed]
- Zhang, Z.B. Light transfer and Growth Kinetics in Photoautotrophic Culture of Microalgae. Ph.D. Thesis, Nanchang: Jiangxi Normal University, Nanchang, China, 2008. [Google Scholar]
- Li, X.F.; Wang, C.H.; Ju, B. Microalgae and their growth kinetics. Mar. Bull. 1999, 18, 6. [Google Scholar]
- Mansouri, M. Predictive modeling of biomass production by Chlorella vulgaris in a draft-tube airlift photobioreactor. Adv. Environ. Sci. Technol. 2017, 2, 119–126. [Google Scholar]
- Lam, M.K.; Lee, K.T.; Khoo, C.G.; Uemura, Y.; Lim, J.W. Growth kinetic study of Chlorella vulgaris using lab-scale and pilot-scale photobioreactor: Effect of CO2 concentration. J. Eng. Sci. Technol. 2016, 7, 73–87. [Google Scholar]
- Praveen, K.; Abinandan, S.; Natarajan, R.; Kavitha, M.S. Biochemical responses from biomass of isolated Chlorella sp., under different cultivation modes: Non-linear modelling of growth kinetics. Braz. J. Chem. Eng. 2018, 35, 489–496. [Google Scholar] [CrossRef]










| Chemical Composition | Dosage (mg·L−1) |
|---|---|
| NaNO3 | 1500 |
| K2HPO4 | 40 |
| MgSO4·7H2O | 75 |
| CaCl2·2H2O | 36 |
| C6H8O7 | 6 |
| C6H8FeNO7 | 6 |
| EDTANa2 | 1 |
| Na2CO3 | 20 |
| H3BO3 | 2.86 |
| MnCl2·4H2O | 1.86 |
| ZnSO4·7H2O | 0.22 |
| Na2MoO4·2H2O | 0.39 |
| CuSO4·5H2O | 0.08 |
| Co(NO3)2·6H2O | 0.05 |
| Water Quality Indicators | CODcr | NH3-N | TP | TN | pH |
|---|---|---|---|---|---|
| Concentration (mg·L−1) | 195–200 | 42–46 | 4.1–4.3 | 81–86 | 8.1–8.2 |
| Testing Index | Method |
|---|---|
| NH3-N | HJ 535-2009 Nessler ‘s reagent spectrophotometry |
| TN | HJ 636-2012 Alkaline potassium persulfate digestion UV spectrophotometry |
| TP | GB 11893-1989 Ammonium molybdate spectrophotometric method |
| COD | GB/T 11914-1989 Dichromate method |
| Factor | Coefficient | Standard Error | p Value | 95% Confidence Interval | |
|---|---|---|---|---|---|
| Low | High | ||||
| Temperature | 0.051 | 0.011 | 0.0009 | 0.027 | 0.075 |
| pH | −0.076 | 0.011 | <0.0001 | −<0.1 | −0.052 |
| Microalgae inoculum concentration | −0.04 | 0.011 | 0.0043 | −0.064 | -0.016 |
| Model | 0.03 v/v | 0.05 v/v | 0.1 v/v | 0.15 v/v | 0.2 v/v |
|---|---|---|---|---|---|
| R2 | |||||
| Logistic | 0.99639 | 0.9907 | 0.99482 | 0.99242 | 0.99396 |
| Gompertz | 0.99461 | 0.98672 | 0.99106 | 0.97707 | 0.97785 |
| Richards | 0.99677 | 0.99096 | 0.99454 | 0.98988 | 0.99192 |
| RMSD | |||||
| Logistic | 0.04946 | 0.6967 | 0.0365 | 0.03752 | 0.03119 |
| Gompertz | 0.05699 | 0.07864 | 0.0452 | 0.06152 | 0.0563 |
| Richards | 0.04681 | 0.06883 | 0.03748 | 0.04335 | 0.03606 |
| Variance | |||||
| Logistic | 0.01957 | 0.03897 | 0.01066 | 0.01126 | 0.00778 |
| Gompertz | 0.02923 | 0.05566 | 0.01839 | 0.03406 | 0.02853 |
| Richards | 0.01753 | 0.0379 | 0.01124 | 0.01504 | 0.0104 |
Disclaimer/Publisher’s Note: The statements, opinions and data contained in all publications are solely those of the individual author(s) and contributor(s) and not of MDPI and/or the editor(s). MDPI and/or the editor(s) disclaim responsibility for any injury to people or property resulting from any ideas, methods, instructions or products referred to in the content. |
© 2023 by the authors. Licensee MDPI, Basel, Switzerland. This article is an open access article distributed under the terms and conditions of the Creative Commons Attribution (CC BY) license (https://creativecommons.org/licenses/by/4.0/).
Share and Cite
Ma, X.; Jian, W. Growth Conditions and Growth Kinetics of Chlorella Vulgaris Cultured in Domestic Sewage. Sustainability 2023, 15, 2162. https://doi.org/10.3390/su15032162
Ma X, Jian W. Growth Conditions and Growth Kinetics of Chlorella Vulgaris Cultured in Domestic Sewage. Sustainability. 2023; 15(3):2162. https://doi.org/10.3390/su15032162
Chicago/Turabian StyleMa, Xingguan, and Wenhao Jian. 2023. "Growth Conditions and Growth Kinetics of Chlorella Vulgaris Cultured in Domestic Sewage" Sustainability 15, no. 3: 2162. https://doi.org/10.3390/su15032162
APA StyleMa, X., & Jian, W. (2023). Growth Conditions and Growth Kinetics of Chlorella Vulgaris Cultured in Domestic Sewage. Sustainability, 15(3), 2162. https://doi.org/10.3390/su15032162
