Capacity Drop at Freeway Ramp Merges with Its Replication in Macroscopic and Microscopic Traffic Simulations: A Tutorial Report
Abstract
1. Introduction
1.1. The Notion of Capacity Drop
1.2. The Significance of Capacity Drop
1.3. The State of the Art and Contributions of This Work
2. Literature Review
2.1. Behavioral Mechanisms for Capacity Drop
2.1.1. Longitudinal Factors
- (1)
- Hysteresis
- (2)
- Difference in vehicular acceleration
- (3)
- Drivers’ relaxation after a ramp merge
- (4)
- Distracted drivers
2.1.2. Lateral Factors
2.2. Capacity Drops in Macroscopic Traffic Simulations
2.2.1. First-Order Models
2.2.2. Higher-Order Models
2.3. Capacity Drops in Microscopic Traffic Simulations
2.3.1. Longitudinal Perspective
2.3.2. Lateral Perspective
3. Macroscopic Traffic Flow Modeling with Capacity Drop
3.1. The Second-Order Macroscopic Traffic Flow Model METANET
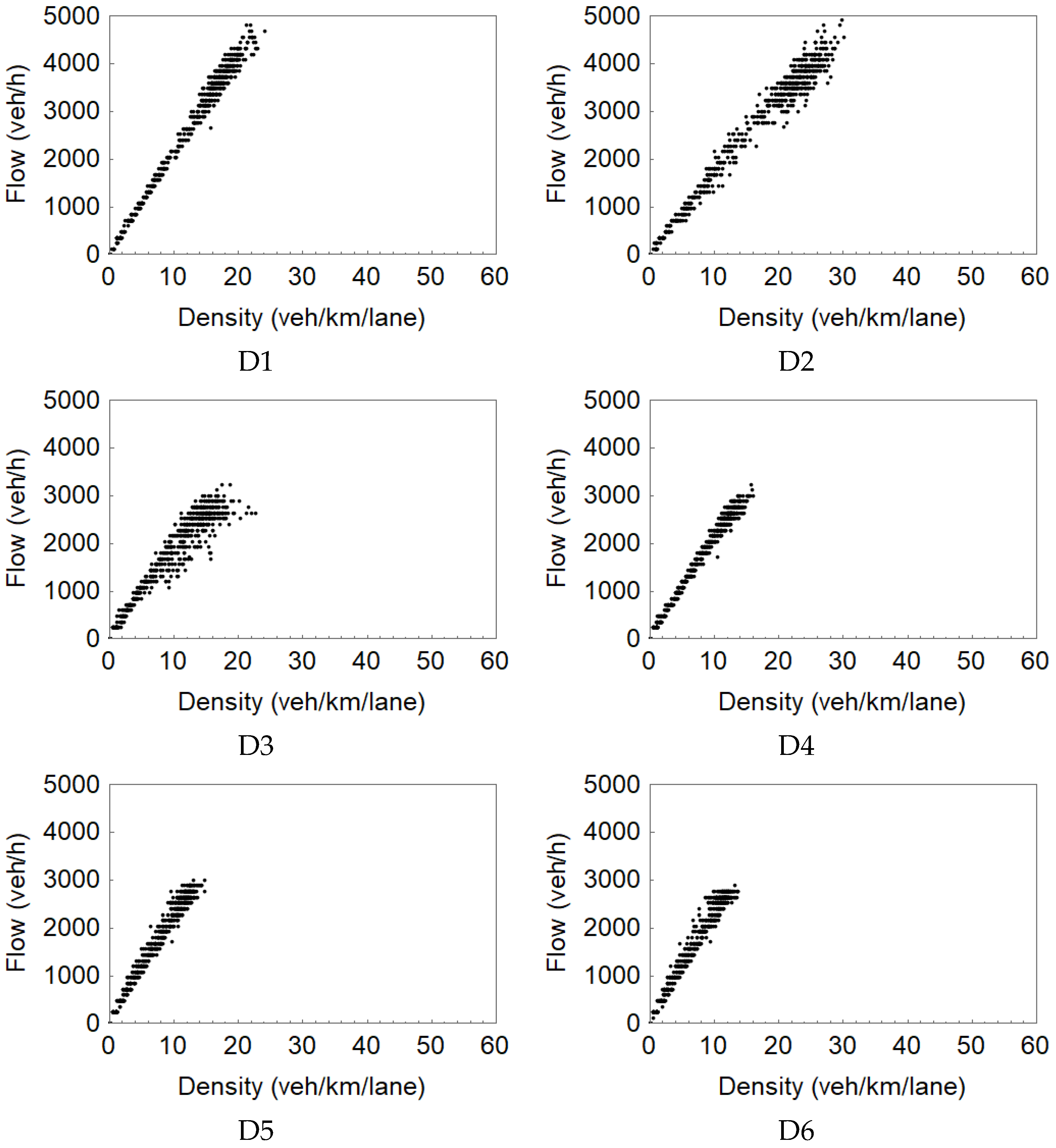
3.2. Simulation Setup
3.3. Simulation Results
4. Microscopic Traffic Modeling with Capacity Drop
4.1. Enhanced Microscopic Traffic Simulator AIMSUN
4.2. The Heuristic Lane-Changing Model at Ramp Merges
4.3. Simulation Setup
4.4. Simulation Results with Enhanced AIMSUN
4.4.1. Ramp Merging Process Emulation
4.4.2. Merging Congestion and Capacity Drop Reproduction
4.4.3. Preventing Capacity Drop with ALINEA
4.4.4. Summary
5. Conclusions
Author Contributions
Funding
Institutional Review Board Statement
Informed Consent Statement
Data Availability Statement
Acknowledgments
Conflicts of Interest
References
- Wang, Y.; Yu, X.; Zhang, S.; Zheng, P.; Guo, J.; Zhang, L.; Hu, S.; Cheng, S.; Wei, H. Freeway Traffic Control in Presence of Capacity Drop. IEEE Trans. Intell. Transport. Syst. 2021, 22, 1497–1516. [Google Scholar] [CrossRef]
- Hall, F.L.; Agyemang-Duah, K. Freeway Capacity Drop and the Definition of Capacity. In Freeway Operations, Highway Capacity, and Traffic Flow; National Research Council, Transportation Research Board: Washington, DC, USA, 1991; ISBN 0309051533. [Google Scholar]
- Banks, J.H. The Two-capacity Phenomenon: Some Theoretical Issues. In Freeway Operations, Highway Capacity, and Traffic Flow; National Research Council, Transportation Research Board: Washington, DC, USA, 1991; ISBN 0309051533. [Google Scholar]
- Edie, L.C. Car-Following and Steady-State Theory for Noncongested Traffic. Oper. Res. 1961, 9, 66–76. [Google Scholar] [CrossRef]
- Koshi, M.; Iwasaki, M.; Ohkura, I. Some findings and an overview on vehicular flow characteristics. In Proceedings of the 8th International Symposium on Transportation and Traffic Flow Theory, Toronto, ON, Canada, 1983; pp. 403–426. [Google Scholar]
- Drake, J.S.; Schofer, J.L.; May, A.D., Jr. A statistical analysis of speed-density hypotheses. In vehicular traffic science. In Highway Research Record; National Research Council, Highway Research Board: Washington, DC, USA, 1967; pp. 112–117. [Google Scholar]
- Payne, H.J. Discontinuity in equilibrium freeway traffic flow. In Transportation Research Board; National Research Council: Washington, DC, USA, 1984. [Google Scholar]
- Hall, F.L.; Hurdle, V.F.; Banks, J.H. Synthesis of recent work on the nature of speed-flow and flow-occupancy (or density) relationships on freeways. In Transportation Research Record; National Research Council: Washington, DC, USA, 1992. [Google Scholar]
- Chung, K.; Rudjanakanoknad, J.; Cassidy, M.J. Relation between traffic density and capacity drop at three freeway bottlenecks. Transp. Res. Part B Methodol. 2007, 41, 82–95. [Google Scholar] [CrossRef]
- Oh, S.; Yeo, H. Estimation of Capacity Drop in Highway Merging Sections. Transp. Res. Rec. 2012, 2286, 111–121. [Google Scholar] [CrossRef]
- Yuan, K.; Knoop, V.L.; Leclercq, L.; Hoogendoorn, S.P. Capacity drop: A comparison between stop-and-go wave and standing queue at lane-drop bottleneck. Transp. B Transp. Dyn. 2017, 5, 145–158. [Google Scholar] [CrossRef]
- Yuan, K.; Knoop, V.L.; Hoogendoorn, S.P. Capacity Drop: Relationship Between Speed in Congestion and the Queue Discharge Rate. Transp. Res. Rec. 2015, 2491, 72–80. [Google Scholar] [CrossRef]
- Leclercq, L.; Laval, J.A.; Chiabaut, N. Capacity drops at merges: An endogenous model. Transp. Res. Part B Methodol. 2011, 45, 1302–1313. [Google Scholar] [CrossRef]
- Srivastava, A.; Geroliminis, N. Empirical observations of capacity drop in freeway merges with ramp control and integration in a first-order model. Phys. Rev. E 2013, 30, 161–177. [Google Scholar] [CrossRef]
- Papageorgiou, M.; Kotsialos, A. Freeway ramp metering: An overview. IEEE Trans. Intell. Transp. Syst. 2002, 3, 271–281. [Google Scholar] [CrossRef]
- Chevallier, E.; Leclercq, L. Do microscopic merging models reproduce the observed priority sharing ratio in congestion? Transp. Res. Part C Emerg. Technol. 2009, 17, 328–336. [Google Scholar] [CrossRef][Green Version]
- Kessels, F. Traffic Flow Modelling: Introduction to Traffic Flow Theory through a Genealogy of Models; EURO Advanced Tutorials on Operational Research; Springer: Berlin, Germany, 2019. [Google Scholar]
- Kondyli, A.; Duret, A.; Elefteriadou, L. Evaluation of CORSIM and AIMSUN for Freeway Merging Segments under Breakdown Conditions. In Proceedings of the Transportation Research Board 86th Annual Meeting, Washington, DC, USA, 21–25 January 2007. [Google Scholar]
- Kontorinaki, M.; Spiliopoulou, A.; Roncoli, C.; Papageorgiou, M. First-order traffic flow models incorporating capacity drop: Overview and real-data validation. Transp. Res. Part B Methodol. 2017, 106, 52–75. [Google Scholar] [CrossRef]
- Wang, Y.; Yu, X.; Guo, J.; Papamichail, I.; Papageorgiou, M.; Zhang, L.; Hu, S.; Li, Y.; Sun, J. Macroscopic traffic flow modelling of large-scale freeway networks with field data verification: State-of-the-art review, benchmarking framework, and case studies using METANET. Transp. Res. Part C Emerg. Technol. 2022, 145, 103904. [Google Scholar] [CrossRef]
- Zheng, Z. Recent developments and research needs in modeling lane changing. Transp. Res. Part B Methodol. 2014, 60, 16–32. [Google Scholar] [CrossRef]
- Hidas, P. Modelling individual behaviour in microsimulation models. In Proceedings of the Australasian Transport Research Forum (Atrf), 28th, Sydney, NSW, Australia, 1 January 2005. [Google Scholar]
- van Beinum, A.; Broekman, E.; Farah, H.; Schakel, W.; Wegman, F.; Hoogendoorn, S. Critical Assessment of Microscopic Simulation Models for Simulating Turbulence around Motorway Ramps. J. Transp. Eng. Part A Syst. 2020, 146, 4019066. [Google Scholar] [CrossRef]
- Tampère, C.M. Human-Kinetic Multiclass Traffic Flow Theory and Modelling with Application to Advanced Driver Assistance Systems in Congestion. Ph.D. Thesis, Delft University of Technology, Delft, The Netherlands, 2004. [Google Scholar]
- Daganzo, C.F. A behavioral theory of multi-lane traffic flow. Part I: Long homogeneous freeway sections. Transp. Res. Part B Methodol. 2002, 36, 131–158. [Google Scholar] [CrossRef]
- Chen, D.; Ahn, S.; Laval, J.; Zheng, Z. On the periodicity of traffic oscillations and capacity drop: The role of driver characteristics. Transp. Res. Part B Methodol. 2014, 59, 117–136. [Google Scholar] [CrossRef]
- Treiterer, J.; Myers, J.A. The Hysteresis Phenomenon in Traffic Flow. Transp. Traffic Theory 1974, 6, 13–38. [Google Scholar]
- Zhang, H.M. A mathematical theory of traffic hysteresis. Transp. Res. Part B Methodol. 1999, 33, 1–23. [Google Scholar] [CrossRef]
- Oh, S.; Yeo, H. Impact of stop-and-go waves and lane changes on discharge rate in recovery flow. Transp. Res. Part B Methodol. 2015, 77, 88–102. [Google Scholar] [CrossRef]
- Yeo, H. Asymmetric Microscopic Driving Behavior Theory. Ph.D. Thesis, University of California, Berkeley, CA, USA, 2008. [Google Scholar]
- Yuan, K.; Knoop, V.; Schreiter, T.; Hoogendoorn, S.P. A Hybrid Kinematic Wave Model Incorporating Capacity Drops. In Proceedings of the IEEE 18th International Conference on Intelligent Transportation Systems (ITSC), Gran Canaria, Spain, 15–18 September 2015; IEEE: Piscataway, NJ, USA, 2015; pp. 471–476, ISBN 978-1-4673-6596-3. [Google Scholar]
- Knospe, W.; Santen, L.; Schadschneider, A.; Schreckenberg, M. Single-vehicle data of highway traffic: Microscopic description of traffic phases. Phys. Rev. E Stat. Nonlinear Soft Matter Phys. 2002, 65, 56133. [Google Scholar] [CrossRef]
- Treiber, M.; Kesting, A.; Helbing, D. Understanding widely scattered traffic flows, the capacity drop, and platoons as effects of variance-driven time gaps. Phys. Rev. E Stat. Nonlinear Soft Matter Phys. 2006, 74, 16123. [Google Scholar] [CrossRef] [PubMed]
- Zhang, H.M.; Kim, T. A car-following theory for multiphase vehicular traffic flow. Transp. Res. Part B Methodol. 2005, 39, 385–399. [Google Scholar] [CrossRef]
- Papageorgiou, M.; Papamichail, I.; Spiliopoulou, A.D.; Lentzakis, A.F. Real-time merging traffic control with applications to toll plaza and work zone management. Transp. Res. Part C Emerg. Technol. 2008, 16, 535–553. [Google Scholar] [CrossRef]
- Papageorgiou, M.; Kosmatopoulos, E.; Papamichail, I.; Wang, Y. ALINEA maximises motorway throughput—An answer to flawed criticism. Traffic Eng. Control 2007, 48, 271–276. [Google Scholar]
- Papageorgiou, M.; Kosmatopoulos, E.; Papamichail, I.; Wang, Y. A Misapplication of the Local Ramp Metering Strategy ALINEA. IEEE Trans. Intell. Transport. Syst. 2008, 9, 360–365. [Google Scholar] [CrossRef]
- Schönhof, M.; Helbing, D. Empirical Features of Congested Traffic States and Their Implications for Traffic Modeling. Transp. Sci. 2007, 41, 135–166. [Google Scholar] [CrossRef]
- Buckley, D.J.; Yagar, S. Capacity Funnels Near on-ramps. Transp. Traffic Theory 1974, 6, 105–123. [Google Scholar]
- Tampère, C.; Hoogendoorn, S.P.; van Arem, B. Capacity Funnel Explained Using the Human-Kinetic Traffic Flow Model. In Traffic and Granular Flow ’03; Springer: Berlin, Germany, 2005; pp. 189–197. [Google Scholar]
- Tampere, C.; Hoogendoorn, S.; van Arem, B. A Behavioural Approach to Instability, Stop and Go Waves, Wide Jams and Capacity Drop. Transp. Traffic Theory 2005, 16, 205–228. [Google Scholar]
- Laval, J.A.; Daganzo, C.F. Lane-changing in traffic streams. Transp. Res. Part B Methodol. 2006, 40, 251–264. [Google Scholar] [CrossRef]
- Chen, D.; Ahn, S. Capacity-drop at extended bottlenecks: Merge, diverge, and weave. Transp. Res. Part B Methodol. 2018, 108, 1–20. [Google Scholar] [CrossRef]
- Duret, A.; Bouffier, J.; Buisson, C. Onset of Congestion from Low-Speed Merging Maneuvers within Free-Flow Traffic Stream. Transp. Res. Rec. 2010, 2188, 96–107. [Google Scholar] [CrossRef]
- Leclercq, L.; Knoop, V.L.; Marczak, F.; Hoogendoorn, S.P. Capacity drops at merges: New analytical investigations. Phys. Rev. E 2016, 62, 171–181. [Google Scholar] [CrossRef]
- Jin, W.-L. A kinematic wave theory of lane-changing traffic flow. Transp. Res. Part B Methodol. 2010, 44, 1001–1021. [Google Scholar] [CrossRef]
- Coifman, B.; Mishalani, R.; Wang, C.; Krishnamurthy, S. Impact of Lane-Change Maneuvers on Congested Freeway Segment Delays. Transp. Res. Rec. 2006, 1965, 152–159. [Google Scholar] [CrossRef]
- Jin, W.-L.; Laval, J. Bounded acceleration traffic flow models: A unified approach. Transp. Res. Part B Methodol. 2018, 111, 1–18. [Google Scholar] [CrossRef]
- Whitham, G.B.; Lighthill, M.J. On kinematic waves II. A theory of traffic flow on long crowded roads. Proc. R. Soc. Lond. A 1955, 229, 317–345. [Google Scholar] [CrossRef]
- Richards, P.I. Shock Waves on the Highway. Oper. Res. 1956, 4, 42–51. [Google Scholar] [CrossRef]
- Cassidy, M.J. Bivariate relations in nearly stationary highway traffic. Transp. Res. Part B Methodol. 1998, 32, 49–59. [Google Scholar] [CrossRef]
- Lu, Y.; Wong, S.C.; Zhang, M.; Shu, C.-W. The Entropy Solutions for the Lighthill-Whitham-Richards Traffic Flow Model with a Discontinuous Flow-Density Relationship. Transp. Sci. 2009, 43, 511–530. [Google Scholar] [CrossRef]
- van der Gun, J.P.; Pel, A.J.; van Arem, B. Extending the Link Transmission Model with non-triangular fundamental diagrams and capacity drops. Transp. Res. Part B Methodol. 2017, 98, 154–178. [Google Scholar] [CrossRef]
- Daganzo, C.F. The cell transmission model: A dynamic representation of highway traffic consistent with the hydrodynamic theory. Transp. Res. Part B Methodol. 1994, 28, 269–287. [Google Scholar] [CrossRef]
- Li, Z.; Liu, P.; Xu, C.; Wang, W. Optimal Mainline Variable Speed Limit Control to Improve Safety on Large-Scale Freeway Segments. Comput.-Aided Civ. Infrastruct. Eng. 2016, 31, 366–380. [Google Scholar] [CrossRef]
- Muralidharan, A.; Horowitz, R. Computationally efficient model predictive control of freeway networks. Transp. Res. Part C Emerg. Technol. 2015, 58, 532–553. [Google Scholar] [CrossRef]
- Jin, W.-L. Continuous formulations and analytical properties of the link transmission model. Transp. Res. Part B Methodol. 2015, 74, 88–103. [Google Scholar] [CrossRef]
- Han, Y.; Hegyi, A.; Yuan, Y.; Hoogendoorn, S.; Papageorgiou, M.; Roncoli, C. Resolving freeway jam waves by discrete first-order model-based predictive control of variable speed limits. Transp. Res. Part C Emerg. Technol. 2017, 77, 405–420. [Google Scholar] [CrossRef]
- Han, Y.; Yuan, Y.; Hegyi, A.; Hoogendoorn, S.P. New Extended Discrete First-Order Model to Reproduce Propagation of Jam Waves. Transp. Res. Rec. 2016, 2560, 108–118. [Google Scholar] [CrossRef]
- Jin, W.-L.; Gan, Q.-J.; Lebacque, J.-P. A kinematic wave theory of capacity drop. Transp. Res. Part B Methodol. 2015, 81, 316–329. [Google Scholar] [CrossRef]
- Lebacque, J.P. Two-Phase Bounded-Acceleration Traffic Flow Model: Analytical Solutions and Applications. Transp. Res. Rec. 2003, 1852, 220–230. [Google Scholar] [CrossRef]
- Monamy, T.; Haj-Salem, H.; Lebacque, J.-P. A Macroscopic Node Model Related to Capacity Drop. Procedia Soc. Behav. Sci. 2012, 54, 1388–1396. [Google Scholar] [CrossRef]
- Khoshyaran, M.M.; Lebacque, J.P. Capacity drop and traffic hysteresis as a consequence of bounded acceleration. IFAC PapersOnLine 2015, 48, 766–771. [Google Scholar] [CrossRef]
- Roncoli, C.; Papageorgiou, M.; Papamichail, I. Traffic flow optimisation in presence of vehicle automation and communication systems—Part I: A first-order multi-lane model for motorway traffic. Phys. Rev. E 2015, 57, 241–259. [Google Scholar] [CrossRef]
- Calvert, S.C.; Snelder, M.; Taale, H.; Van Wageningen-Kessels, F.L.M.; Hoogendoorn, S.P. Bounded Acceleration Capacity Drop in a Lagrangian Formulation of the Kinematic Wave Model with Vehicle Characteristics and Unconstrained Overtaking. In Proceedings of the 2012 15th International IEEE Conference on Intelligent Transportation Systems, Anchorage, AK, USA, 16–19 September 2012; pp. 1371–1376, ISBN 2153-0017. [Google Scholar]
- Papageorgiou, M. Some remarks on macroscopic traffic flow modelling. Transp. Res. Part A Policy Pract. 1998, 32, 323–329. [Google Scholar] [CrossRef]
- Alvarez-Icaza, L.; Islas, G.J. Hysteretic Cell Transmission Model. In Proceedings of the IEEE 16th International Conference on Intelligent Transportation Systems (ITSC), The Hague, The Netherlands, 1 October 2013; IEEE: Piscataway, NJ, USA, 2013; pp. 578–583, ISBN 978-1-4799-2914-6. [Google Scholar]
- Van Lint, J.W.C.; Hoogendoorn, S.P.; Schreuder, M. Fastlane. Transp. Res. Rec. 2008, 2088, 177–187. [Google Scholar] [CrossRef]
- Van Wageningen-Kessels, F.; van Lint, H.; Hoogendoorn, S.P.; Vuik, K. New Generic Multiclass Kinematic Wave Traffic Flow Model. Transp. Res. Rec. 2014, 2422, 50–60. [Google Scholar] [CrossRef]
- Ngoduy, D.; Liu, R. Multiclass first-order simulation model to explain non-linear traffic phenomena. Phys. A Stat. Mech. Its Appl. 2007, 385, 667–682. [Google Scholar] [CrossRef]
- Wong, G.; Wong, S. A multi-class traffic flow model—An extension of LWR model with heterogeneous drivers. Transp. Res. Part A Policy Pract. 2002, 36, 827–841. [Google Scholar] [CrossRef]
- Benzoni-Gavage, S.; Colombo, R.M. An $n$ -populations model for traffic flow. Eur. J. Appl. Math. 2003, 14, 587–612. [Google Scholar] [CrossRef]
- Mohammadian, S.; Zheng, Z.; Haque, M.M.; Bhaskar, A. Performance of continuum models for realworld traffic flows: Comprehensive benchmarking. Transp. Res. Part B Methodol. 2021, 147, 132–167. [Google Scholar] [CrossRef]
- Kotsialos, A.; Papageorgiou, M.; Diakaki, C.; Pavlis, Y.; Middelham, F. Traffic flow modeling of large-scale motorway networks using the macroscopic modeling tool METANET. IEEE Trans. Intell. Transport. Syst. 2002, 3, 282–292. [Google Scholar] [CrossRef]
- Messmer, A.; Papageorgiou, M. METANET: A macroscopic simulation program for motorway networks. Traffic Eng. Control 1990, 31, 466–470. [Google Scholar]
- LeVeque, R.J. Finite Difference Methods for Ordinary and Partial Differential Equations: Steady-State and Time-Dependent Problems; Society for Industrial and Applied Mathematics: Philadelphia, PA, USA, 2007; ISBN 978-0-89871-629-0. [Google Scholar]
- Jiang, R.; Wu, Q.-S.; Zhu, Z.-J. A new continuum model for traffic flow and numerical tests. Transp. Res. Part B Methodol. 2002, 36, 405–419. [Google Scholar] [CrossRef]
- Treiber, M.; Helbing, D. Macroscopic simulation of widely scattered synchronized traffic states. J. Phys. A Math. Gen. 1999, 32, L17–L23. [Google Scholar] [CrossRef]
- Chamberlayne, E.; Rakha, H.; Bish, D. Modeling the capacity drop phenomenon at freeway bottlenecks using the INTEGRATION software. Transp. Lett. 2012, 4, 227–242. [Google Scholar] [CrossRef]
- Monamy, T.; Haj-Salem, H.; Lebacque, J.-P. Experimental Analysis of Trajectories for the Modeling of Capacity Drop. Procedia Soc. Behav. Sci. 2011, 20, 445–454. [Google Scholar] [CrossRef]
- de Souza, F.; Mosslemi, M.; Vrugt, J.A.; Jin, W. Microscopic Simulation Replicates the Capacity Drop Phenomenon. Procedia Comput. Sci. 2018, 130, 908–913. [Google Scholar] [CrossRef]
- Hidas, P. Modelling vehicle interactions in microscopic simulation of merging and weaving. Transp. Res. Part C Emerg. Technol. 2005, 13, 37–62. [Google Scholar] [CrossRef]
- Papageorgiou, M.; Blosseville, J.-M.; Hadj-Salem, H. Modelling and real-time control of traffic flow on the southern part of Boulevard Peripherique in Paris: Part I: Modelling. Transp. Res. Part A Gen. 1990, 24, 345–359. [Google Scholar] [CrossRef]
- Poole, A.; Kotsialos, A. Second order macroscopic traffic flow model validation using automatic differentiation with resilient backpropagation and particle swarm optimisation algorithms. Transp. Res. Part C Emerg. Technol. 2016, 71, 356–381. [Google Scholar] [CrossRef]
- Wang, Y.; Papageorgiou, M.; Messmer, A. Renaissance—A unified macroscopic model-based approach to real-time freeway network traffic surveillance. Transp. Res. Part C Emerg. Technol. 2006, 14, 190–212. [Google Scholar] [CrossRef]
- Papageorgiou, M.; Papamichail, I.; Messmer, A.; Wang, Y. Traffic Simulation with METANET. In Fundamentals of Traffic Simulation; Springer: New York, NY, USA, 2010; pp. 399–430. [Google Scholar]
- Papageorgiou, M.; Hadj-Salem, H.; Middelham, F. ALINEA Local Ramp Metering: Summary of Field Results. Transp. Res. Rec. 1997, 1603, 90–98. [Google Scholar] [CrossRef]
- Gipps, P.G. A behavioural car-following model for computer simulation. Transp. Res. Part B Methodol. 1981, 15, 105–111. [Google Scholar] [CrossRef]
- Wang, J.; Liu, R.; Montgomery, F. Car-Following Model for Motorway Traffic. Transp. Res. Rec. 2005, 1934, 33–42. [Google Scholar] [CrossRef]
- Wang, J. A Merging Model for Motorway Traffic. Ph.D. Thesis, The University of Leeds, Leeds, UK, 2010. [Google Scholar]
- Treiber, M.; Hennecke, A.; Helbing, D. Congested traffic states in empirical observations and microscopic simulations. Phys. Rev. E 2000, 62, 1805–1824. [Google Scholar] [CrossRef]
- Ciuffo, B.; Punzo, V.; Montanino, M. Thirty Years of Gipps’ Car-Following Model. Transp. Res. Rec. 2012, 2315, 89–99. [Google Scholar] [CrossRef]
- Knorr, F.; Schreckenberg, M. On the reproducibility of spatiotemporal traffic dynamics with microscopic traffic models. J. Stat. Mech. 2012, 2012, P10018. [Google Scholar] [CrossRef]
- Dahui, W.; Ziqiang, W.; Ying, F. Hysteresis phenomena of the intelligent driver model for traffic flow. Phys. Rev. E Stat. Nonlin. Soft Matter Phys. 2007, 76, 16105. [Google Scholar] [CrossRef]
- Raju, N.; Arkatkar, S.; Joshi, G. Evaluating performance of selected vehicle following models using trajectory data under mixed traffic conditions. J. Intell. Transp. Syst. 2020, 24, 617–634. [Google Scholar] [CrossRef]
- Zhang, D.; Chen, X.; Wang, J.; Wang, Y.; Sun, J. A comprehensive comparison study of four classical car-following models based on the large-scale naturalistic driving experiment. Simul. Model. Pract. Theory 2021, 113, 102383. [Google Scholar] [CrossRef]
- Treiber, M.; Kesting, A. Traffic Flow Dynamics: Data, Models and Simulation; Springer: Berlin/Heidelberg, Germany, 2013; ISBN 3642324606. [Google Scholar]
- TSS (Transport Simulation Systems). Aimsun 8.1 User’s Manual; Transport Simulation Systems: Barcelona, Spain, 2014. [Google Scholar]
- Hidas, P. Modelling lane changing and merging in microscopic traffic simulation. Transp. Res. Part C Emerg. Technol. 2002, 10, 351–371. [Google Scholar] [CrossRef]
- Wang, Y.; Wang, L.; Guo, J.; Papamichail, I.; Papageorgiou, M.; Wang, F.-Y.; Bertini, R.; Hua, W.; Yang, Q. Ego-efficient lane changes of connected and automated vehicles with impacts on traffic flow. Transp. Res. Part C Emerg. Technol. 2022, 138, 103478. [Google Scholar] [CrossRef]
- Perraki, G. Evaluation of a Model Predictive Control Strategy on a Calibrated Multilane Microscopic Model. Master’s Thesis, Technical University of Crete School of Production Engineering and Management, Chania, Greece, 2016. [Google Scholar]
- Perraki, G.; Roncoli, C.; Papamichail, I.; Papageorgiou, M. Evaluation of a model predictive control framework for motorway traffic involving conventional and automated vehicles. Transp. Res. Part C Emerg. Technol. 2018, 92, 456–471. [Google Scholar] [CrossRef]
























| Capacity Drop Rate | |||||||||
|---|---|---|---|---|---|---|---|---|---|
| 115 km/h | 31.5 veh/km | 2050 veh/h/lane | 20.2 | 22.5 | 10 | 180 veh/km | 7.0 km/h | 0.9 | 15% |
| Vehicle Behavior | Model | |
|---|---|---|
| AIMSUN | Enhanced AIMSUN | |
| Car-following | Gipps | IDM |
| Mandatory lane-changing | Gipps | heuristic lane-changing model |
| Discretionary lane-changing | Gipps | Gipps |
Disclaimer/Publisher’s Note: The statements, opinions and data contained in all publications are solely those of the individual author(s) and contributor(s) and not of MDPI and/or the editor(s). MDPI and/or the editor(s) disclaim responsibility for any injury to people or property resulting from any ideas, methods, instructions or products referred to in the content. |
© 2023 by the authors. Licensee MDPI, Basel, Switzerland. This article is an open access article distributed under the terms and conditions of the Creative Commons Attribution (CC BY) license (https://creativecommons.org/licenses/by/4.0/).
Share and Cite
Wang, Y.; Wang, L.; Yu, X.; Guo, J. Capacity Drop at Freeway Ramp Merges with Its Replication in Macroscopic and Microscopic Traffic Simulations: A Tutorial Report. Sustainability 2023, 15, 2050. https://doi.org/10.3390/su15032050
Wang Y, Wang L, Yu X, Guo J. Capacity Drop at Freeway Ramp Merges with Its Replication in Macroscopic and Microscopic Traffic Simulations: A Tutorial Report. Sustainability. 2023; 15(3):2050. https://doi.org/10.3390/su15032050
Chicago/Turabian StyleWang, Yibing, Long Wang, Xianghua Yu, and Jingqiu Guo. 2023. "Capacity Drop at Freeway Ramp Merges with Its Replication in Macroscopic and Microscopic Traffic Simulations: A Tutorial Report" Sustainability 15, no. 3: 2050. https://doi.org/10.3390/su15032050
APA StyleWang, Y., Wang, L., Yu, X., & Guo, J. (2023). Capacity Drop at Freeway Ramp Merges with Its Replication in Macroscopic and Microscopic Traffic Simulations: A Tutorial Report. Sustainability, 15(3), 2050. https://doi.org/10.3390/su15032050
