Rice Husks and Leaf Mold Used as Peat Substitutes to Improve the Morphological, Photosynthetic, and Biochemical Properties of Chrysanthemum (Chrysanthemum × morifolium)
Abstract
:1. Introduction
2. Materials and Methods
2.1. Experimental Materials
2.2. Experimental Design
2.3. The Determination of the Physical and Chemical Properties of the Substrates
2.4. Measurement of the Growth Indexes of the Potted Chrysanthemums
2.5. Measurement of the Physiological Indexes of the Potted Chrysanthemums
2.6. Measurement of Photosynthetic Indexes
2.7. Data Processing and Analysis
3. Results
3.1. Analysis of the Physical Properties of Different Formula Substrates
3.2. Analysis of the Chemical Properties of Different Formulated Substrates
3.3. The Effects of Different Formulated Substrates on the Survival Rate of Potted Chrysanthemums
3.4. The Effects of Different Formulated Substrates on the Plant Height of Potted Chrysanthemums
3.5. The Effects of Different Formulated Substrates on the Stem Thickness of Potted Chrysanthemums
3.6. The Effects of Different Formulated Substrates on the Crown Width of Potted Chrysanthemums
3.7. The Effects of Different Formulated Substrates on the Leaf Morphology of Potted Chrysanthemums
3.8. The Effects of Different Formulated Substrates on the Flowering of Potted Chrysanthemums
3.9. The Effects of Different Formulated Substrates on the Biomass, Cutting Strength Index, and G Value of Potted Chrysanthemums
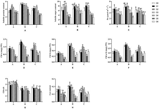
3.10. The Effects of Different Formulated Substrates on the Physiological Indexes of Potted Chrysanthemums
3.11. Principal Component Analysis of the Growth Morphology and Physiological Indexes of Potted Chrysanthemums under Different Formulated Substrates
3.12. The Effects of Different Light-Renewable Substrates on the Growth of Potted Chrysanthemums
4. Discussion
5. Conclusions
Supplementary Materials
Author Contributions
Funding
Institutional Review Board Statement
Informed Consent Statement
Data Availability Statement
Conflicts of Interest
References
- Fascella, G.; Mammano, M.M.; D’angiolillo, F.; Pannico, A.; Rouphael, Y. Coniferous wood biochar as substrate component of two containerized Lavender species: Effects on morpho-physiological traits and nutrients partitioning. Sci. Hortic. 2020, 267, 109356. [Google Scholar] [CrossRef]
- Farru, G.; Dang, C.H.; Schultze, M.; Kern, J.; Cappai, G.; Libra, J.A. Benefits and limitations of using hydrochars from organic residues as replacement for peat on growing media. Horticulturae 2022, 8, 325. [Google Scholar] [CrossRef]
- Rozas, A.; Aponte, H.; Maldonado, C.; Contreras-Soto, R.; Medina, J.; Rojas, C. Evaluation of Compost and Biochar as Partial Substitutes of Peat in Growing Media and Their Influence in Microbial Counts, Enzyme Activity and Lactuca sativa L. Seedling Growth. Horticulturae 2023, 9, 168. [Google Scholar] [CrossRef]
- Zhang, D.; Peng, Q.; Yang, R.; Lin, W.; Wang, H.; Zhou, W.; Qi, Z.; Ouyang, L. Slight carbonization as a new approach to obtain peat alternative. Ind. Crops Prod. 2023, 202, 117041. [Google Scholar] [CrossRef]
- Bao, K.; Liu, T.; Chen, M.; Lin, Z.; Zhong, J.; Neupane, B. Peat records of atmospheric environmental changes in China: A brief review and recommendations for future research perspectives. Catena 2023, 229, 107234. [Google Scholar] [CrossRef]
- Abad, M.; Noguera, P.; Burés, S. National inventory of organic wastes for use as growing media for ornamental potted plant production: Case study in Spain. Bioresour. Technol. 2001, 77, 197–200. [Google Scholar] [CrossRef] [PubMed]
- Lempinen, H.; Vainio, A. Lost in transition: Peat workers’ experiences of Finland’s low carbon transition policies. Extr. Ind. Soc. 2023, 15, 101312. [Google Scholar] [CrossRef]
- Gupta, J.; Kumari, M.; Mishra, A.; Swati; Akram, M.; Thakur, I.S. Agro-forestry waste management—A review. Chemosphere 2022, 287, 132321. [Google Scholar] [CrossRef]
- Bhuvaneshwari, S.; Hettiarachchi, H.; Meegoda, J.N. Crop residue burning in India: Policy challenges and potential solutions. Int. J. Environ. Res. Public Health 2019, 16, 832. [Google Scholar] [CrossRef]
- Yasin, M.; Jabran, K.; Afzal, I.; Iqbal, S.; Nawaz, M.A.; Mahmood, A.; Asif, M.; Nadeem, M.A.; Rahman, Z.U.; Adnan, M.; et al. Industrial sawdust waste: An alternative to soilless substrate for garlic (Allium sativum L.). J. Appl. Res. Med. Aromat. Plants 2020, 18, 100252. [Google Scholar] [CrossRef]
- Bagci, S.; Cayci, G.; Kütük, C. Growth of Primula plant in coir dust and peat-based growing media. J. Plant Nutr. 2011, 34, 909–919. [Google Scholar] [CrossRef]
- Gong, X.; Li, S.; Sun, X.; Wang, L.; Cai, L.; Zhang, J.; Wei, L. Green waste compost and vermicompost as peat substitutes in growing media for geranium (Pelargonium zonale L.) and calendula (Calendula officinalis L.). Sci. Hortic. 2018, 236, 186–191. [Google Scholar] [CrossRef]
- Bonaguro, J.E.; Coletto, L.; Zanin, G. Environmental and agronomic performance of fresh rice hulls used as growing medium component for Cyclamen persicum L. pot plants. J. Clean. Prod. 2017, 142, 2125–2132. [Google Scholar] [CrossRef]
- Kordi, M.; Farrokhi, N.; Pech-Canul, M.I.; Ahmadikhah, A. Rice Husk at a Glance: From Agro-Industrial to Modern Applications. Rice Sci. 2023. [Google Scholar] [CrossRef]
- Eastman, B.A.; Adams, M.B.; Peterjohn, W.T. The path less taken: Long-term N additions slow leaf litter decomposition and favor the physical transfer pathway of soil organic matter formation. Soil Biol. Biochem. 2022, 166, 108567. [Google Scholar] [CrossRef]
- González, I.; Sixto, H.; Rodríguez-Soalleiro, R.; Cañellas, I.; Fuertes, A.; Oliveira, N. How can leaf-litter from different species growing in short rotation coppice contribute to the soil nutrient pool? For. Ecol. Manag. 2022, 520, 120405. [Google Scholar] [CrossRef]
- Sardar, H.; Waqas, M.; Naz, S.; Ejaz, S.; Ali, S.; Ahmad, R. Evaluation of different growing media based on agro-industrial waste materials for the morphological, biochemical and physiological characteristics of stevia. Clean. Waste Syst. 2022, 3, 100038. [Google Scholar] [CrossRef]
- Berruti, A.; Scariot, V. Efficacy of flurprimidol and peat alternatives on growth control of potted camellias. N. Z. J. Crop Hortic. Sci. 2013, 41, 230–239. [Google Scholar] [CrossRef]
- Hadizadeh, H.; Samiei, L.; Shakeri, A. Chrysanthemum, an ornamental genus with considerable medicinal value: A comprehensive review. S. Afr. J. Bot. 2022, 144, 23–43. [Google Scholar] [CrossRef]
- Kaur, G.; Jhanji, S. Plant growth regulators preserved the longevity of cut stems of Chrysanthemum morifolium by orchestrating physio-biochemical and anatomical responses. Plant Physiol. Biochem. 2023, 196, 1098–1110. [Google Scholar] [CrossRef]
- Picchioni, G.A.; Martinez, S.A.; Mexal, J.G.; VanLeeuwen, D.M. Vegetative Growth and Leaf Nutrient Status of ‘Carpino’ Chrysanthemum on a Pecan Wood-amended Commercial Substrate. HortScience 2016, 51, 177–185. [Google Scholar] [CrossRef]
- Hidalgo, L.P.R. Vermicompost as a substrate amendment for poinsettia and chrysanthemum production. HortScience 2002, 37, 304–308. [Google Scholar] [CrossRef]
- Heng, T.; Hermansen, C.; de Jonge, L.W.; Chen, J.; Yang, L.; Zhao, L.; He, X. Differential responses of soil nutrients to edaphic properties and microbial attributes following reclamation of abandoned salinized farmland. Agric. Ecosyst. Environ. 2023, 347, 108373. [Google Scholar] [CrossRef]
- Zhang, K.; Chen, L.; Li, Y.; Brookes, P.C.; Xu, J.; Luo, Y. Interactive effects of soil pH and substrate quality on microbial utilization. Eur. J. Soil Biol. 2020, 96, 103151. [Google Scholar] [CrossRef]
- Maltas, A.S.; Tavali, I.E.; Uz, I.; Kaplan, M. Monitoring the effects of pH and EC regulated drip fertigation on microbial dynamics of calcareous soil in tomato (Solanum lycopersicum L.) cultivation under greenhouse conditions in a Mediterranean climate. Sci. Hortic. 2022, 306, 111448. [Google Scholar] [CrossRef]
- Jakovljević, K.; Mišljenović, T.; Djordjević, V.; van der Ent, A.; Ćosić, M.; Andrejić, G.; Šinžar-Sekulić, J. Elemental and ecophysiological profiles of orchid Dactylorhiza sambucina show distinct responses to contrasting geological substrates. Flora 2023, 303, 152276. [Google Scholar] [CrossRef]
- Cheng, L.; Wang, L.; Wang, X.; Ou, Y.; Liu, H.; Hou, X.; Yan, L.; Li, X. The various effect of cow manure compost on the degradation of imazethapyr in different soil types. Chemosphere 2023, 337, 139325. [Google Scholar] [CrossRef]
- Liu, B.; Zhang, X.; You, X.; Li, Y.; Long, S.; Wen, S.; Liu, Q.; Liu, T.; Guo, H.; Xu, Y. Hydrogen sulfide improves tall fescue photosynthesis response to low-light stress by regulating chlorophyll and carotenoid metabolisms. Plant Physiol. Biochem. 2022, 170, 133–145. [Google Scholar] [CrossRef]
- Kristensen, H.T.; Juul, L.; Amer, B.; Møller, A.H.; Danielsen, M.; Dalsgaard, T.K. Co-precipitation of red clover soluble protein with caseinate in the presence of antioxidant. LWT 2023, 182, 114895. [Google Scholar] [CrossRef]
- Van Dyck, I.; Vanhoudt, N.; i Batlle, J.V.; Horemans, N.; Van Gompel, A.; Nauts, R.; Vangronsveld, J. Effects of environmental parameters on starch and soluble sugars in Lemna minor. Plant Physiol. Biochem. 2023, 200, 107755. [Google Scholar] [CrossRef]
- Fan, H.-M.; Wang, X.-W.; Sun, X.; Li, Y.-Y.; Sun, X.-Z.; Zheng, C.-S. Effects of humic acid derived from sediments on growth, photosynthesis and chloroplast ultrastructure in chrysanthemum. Sci. Hortic. 2014, 177, 118–123. [Google Scholar] [CrossRef]
- Koul, B.; Yakoob, M.; Shah, M.P. Agricultural waste management strategies for environmental sustainability. Environ. Res. 2022, 206, 112285. [Google Scholar] [CrossRef] [PubMed]
- Lordan, J.; Pascual, M.; Fonseca, F.; Villar, J.; Rufat, J. Use of rice husk to enhance peach tree performance in soils with limiting physical properties. Soil Tillage Res. 2013, 129, 19–22. [Google Scholar] [CrossRef]
- Liu, K.; Liu, Z.; Li, X.; Shi, X.; Lock, T.R.; Kallenbach, R.L.; Yuan, Z. Precipitation-mediated responses of plant biomass production and allocation to changing soil pH in semiarid grasslands. Agric. Ecosyst. Environ. 2022, 339, 108123. [Google Scholar] [CrossRef]
- Sultana, S.; Bell, R.W.; Vance, W.H. Genotypic variation among chickpea and wild Cicer spp. in nutrient uptake with increasing concentration of solution Al at low pH. Plant Physiol. Biochem. 2020, 157, 390–401. [Google Scholar] [CrossRef] [PubMed]
- Ortiz-Delvasto, N.; Garcia-Ibañez, P.; Olmos-Ruiz, R.; Bárzana, G.; Carvajal, M. Substrate composition affects growth and physiological parameters of blueberry. Sci. Hortic. 2023, 308, 111528. [Google Scholar] [CrossRef]
- Hu, Y.; Zhang, Z.; Yang, G.; Ding, C.; Lü, X. Increases in substrate availability and decreases in soil pH drive the positive effects of nitrogen addition on soil net nitrogen mineralization in a temperate meadow steppe. Pedobiologia 2021, 89, 150756. [Google Scholar] [CrossRef]
- Mahler, R.L. Nutrients plants require for growth. Iniversity of Idaho. Coll. Agric. Life Sci. CIS 2004, 1124, 1–4. [Google Scholar]
- FAO (Food and Agriculture Organization). Plant nutrition for food security: A guide for integrated nutrient management. In FAO Fertilizer and Plant Nutrient Bulletin 16; Food and Agriculture Organization of the United Nations: Rome, Italy, 2006. [Google Scholar]
- Francis, B.; Aravindakumar, C.; Brewer, P.B.; Simon, S. Plant nutrient stress adaptation: A prospect for fertilizer limited agriculture. Environ. Exp. Bot. 2023, 213, 105431. [Google Scholar] [CrossRef]
- Rashid, K.; Akhtar, M.; Cheema, K.L.; Rasool, I.; Zahid, M.A.; Hussain, A.; Qadeer, Z.; Khalid, M.J. Identification of operative dose of NPK on yield enhancement of desi and kabuli chickpea (Cicer arietinum L.) in diverse milieu. Saudi J. Biol. Sci. 2021, 28, 1063–1068. [Google Scholar] [CrossRef]
- Xu, X.; Liu, G.; Liu, J.; Lyu, M.; Wang, F.; Xing, Y.; Meng, H.; Li, M.; Jiang, Y.; Tian, G.; et al. Potassium Alleviated High Nitrogen-Induced Apple Growth Inhibition by Regulating Photosynthetic Nitrogen Allocation and Enhancing Nitrogen Utilization Capacity. Hortic. Plant J. 2023. [Google Scholar] [CrossRef]
- He, A.; Feng, J.; Yu, Q.; Jiang, J.; Ding, J.; Qian, K.; Tian, H. Enhanced phytotoxicity of 4-chloro-3-methyphenol and lindane under sodium and potassium salt stresses. Chemosphere 2023, 335, 139111. [Google Scholar] [CrossRef] [PubMed]
- Lv, X.; Li, T.; Wen, X.; Liao, Y.; Liu, Y. Effect of potassium foliage application post-anthesis on grain filling of wheat under drought stress. Field Crops Res. 2017, 206, 95–105. [Google Scholar] [CrossRef]
- Niemiec, M.; Cupiał, M.; Szeląg-Sikora, A. Efficiency of Celeriac Fertilization with Phosphorus and Potassium Under Conditions of Integrated Plant Production. Agric. Agric. Sci. Procedia 2015, 7, 184–191. [Google Scholar] [CrossRef]
- Wu, K.; Hu, C.; Wang, J.; Guo, J.; Sun, X.; Tan, Q.; Zhao, X.; Wu, S. Comparative effects of different potassium sources on soluble sugars and organic acids in tomato. Sci. Hortic. 2023, 308, 111601. [Google Scholar] [CrossRef]
- Bingham, I.J.; Garzon, D.C. Relative contribution of soil N availability and grain sink demand to the control of post-anthesis N uptake by field-grown spring barley. Field Crops Res. 2023, 292, 108829. [Google Scholar]
- Ye, T.; Li, Y.; Zhang, J.; Hou, W.; Zhou, W.; Lu, J.; Xing, Y.; Li, X. Nitrogen, phosphorus, and potassium fertilization affects the flowering time of rice (Oryza sativa L.). Glob. Ecol. Conserv. 2019, 20, e00753. [Google Scholar] [CrossRef]
- Endeshaw, S.T.; Lodolini, E.M.; Neri, D. Effects of olive shoot residues on shoot and root growth of potted olive plantlets. Sci. Hortic. 2015, 182, 31–40. [Google Scholar] [CrossRef]
- Bu, X.; Ji, H.; Ma, W.; Mu, C.; Xian, T.; Zhou, Z.; Wang, F.; Xue, J. Effects of biochar as a peat-based substrate component on morphological, photosynthetic and biochemical characteristics of Rhododendron delavayi Franch. Sci. Hortic. 2022, 302, 111148. [Google Scholar] [CrossRef]







| Treatment | Ratio of Substrate | Volume Ratio |
|---|---|---|
| Q0 | Peat/perlite | 4:1 |
| Q1 | Peat/perlite/leaf mold/rice husk | 6:2:1:1 |
| Q2 | Peat/perlite/leaf mold/rice husk | 2:1:1:1 |
| Q3 | Peat /perlite/leaf mold/rice husk | 2:2:3:3 |
| Q4 | Perlite/leaf mold/rice husk | 1:2:2 |
| Q5 | Leaf mold/perlite | 4:1 |
| Q6 | Rice husk/perlite | 4:1 |
| Treatment | Bulk Density (g/cm3) | Total Porosity (%) | Aeration Porosity (%) | Water-Holding Porosity (%) | Gas/Water Ratio |
|---|---|---|---|---|---|
| Q0 | 0.40 ± 0.00 a | 72.41 ± 0.43 d | 10.92 ± 0.63 e | 61.49 ± 0.27 a | 0.18 ± 0.01 f |
| Q1 | 0.30 ± 0.01 b | 73.21 ± 0.17 bcd | 19.00 ± 0.74 d | 54.21 ± 0.67 b | 0.35 ± 0.02 e |
| Q2 | 0.21 ± 0.01 c | 74.13 ± 0.47 abc | 21.39 ± 0.52 d | 52.74 ± 0.57 b | 0.40 ± 0.01 de |
| Q3 | 0.19 ± 0.01 d | 74.57 ± 0.41 ab | 25.39 ± 0.62 c | 49.18 ± 0.29 c | 0.51 ± 0.01 cd |
| Q4 | 0.16 ± 0.00 e | 74.98 ± 0.84 a | 26.91 ± 1.79 c | 48.07 ± 1.26 c | 0.56 ± 0.05 c |
| Q5 | 0.13 ± 0.01 f | 72.68 ± 0.20 cd | 41.33 ± 0.21 b | 31.35 ± 0.30 d | 1.32 ± 0.02 b |
| Q6 | 0.13 ± 0.01 f | 71.93 ± 0.59 d | 45.98 ± 1.33 a | 25.96 ± 1.02 e | 1.78 ± 0.12 a |
| Treatment | pH | EC (mS/cm) | Available N Content (mg/kg) | Available P Content (mg/kg) | Available K Content (mg/kg) |
|---|---|---|---|---|---|
| Q0 | 5.06 ± 0.09 g | 0.28 ± 0.01 e | 442.87 ± 2.23 g | 42.61 ± 0.75 g | 319.20 ± 1.88 g |
| Q1 | 5.38 ± 0.01 f | 0.37 ± 0.03 e | 462.12 ± 2.03 e | 68.33 ± 0.57 f | 1299.05 ± 9.26 f |
| Q2 | 5.98 ± 0.01 e | 0.55 ± 0.01 d | 476.35 ± 0.53 d | 159.39 ± 1.35 e | 2787.44 ± 23.55 e |
| Q3 | 6.34 ± 0.02 d | 0.91 ± 0.01 c | 490.35 ± 0.53 c | 338.26 ± 0.31 c | 5284.93 ± 55.01 c |
| Q4 | 6.73 ± 0.03 c | 1.44 ± 0.08 b | 508.90 ± 0.81 b | 458.13 ± 0.30 b | 9366.53 ± 42.52 b |
| Q5 | 6.53 ± 0.01 b | 0.33 ± 0.00 e | 455.35 ± 1.80 f | 192.62 ± 0.19 d | 3869.44 ± 38.01 d |
| Q6 | 7.12 ± 0.01 a | 2.60 ± 0.02 a | 553.93 ± 4.47 a | 517.89 ± 0.97 a | 10,398.85 ± 71.67 a |
| Cultivars | Treatment | Fresh Mass of Shoot (g) | Fresh Mass of Root (g) | Dry Mass of Shoot (g) | Dry Mass of Root (g) | Dry Mass of Plant (g) |
|---|---|---|---|---|---|---|
| Huihuang | Q0 | 41.66 ± 0.23 b | 10.83 ± 1.51 ab | 8.12 ± 0.17 b | 2.50 ± 0.27 abc | 10.63 ± 0.34 b |
| Q1 | 79.03 ± 3.40 a | 17.35 ± 3.97 a | 13.15 ± 0.94 a | 3.45 ± 0.95 a | 16.61 ± 1.50 a | |
| Q2 | 87.66 ± 4.41 a | 14.33 ± 0.53 ab | 14.01 ± 0.89 a | 3.13 ± 0.11 ab | 17.14 ± 1.00 a | |
| Q3 | 81.33 ± 8.40 a | 11.23 ± 2.15 ab | 13.07 ± 0.27 a | 2.37 ± 0.41 abc | 15.44 ± 0.67 a | |
| Q4 | 51.88 ± 6.29 b | 10.31 ± 0.99 ab | 7.52 ± 0.88 b | 1.78 ± 0.23 bc | 9.30 ± 0.82 b | |
| Q5 | 24.93 ± 2.01 c | 8.59 ± 2.80 b | 3.60 ± 0.46 c | 1.24 ± 0.40 c | 4.84 ± 0.50 c | |
| Q6 | - | - | - | - | - | |
| Boerduohong | Q0 | 27.98 ± 1.23 bc | 18.29 ± 3.02 cd | 8.25 ± 0.37 b | 4.04 ± 0.61 b | 12.29 ± 0.97 b |
| Q1 | 68.22 ± 7.92 a | 28.21 ± 5.23 ab | 15.31 ± 2.17 a | 5.87 ± 0.86 a | 21.19 ± 2.89 a | |
| Q2 | 81.11 ± 7.66 a | 30.20 ± 1.86 a | 17.58 ± 1.63 a | 5.92 ± 0.25 a | 23.49 ± 1.86 a | |
| Q3 | 71.78 ± 2.18 a | 19.78 ± 2.26 bc | 16.25 ± 0.17 a | 5.47 ± 0.29 ab | 21.72 ± 0.41 a | |
| Q4 | 40.03 ± 4.34 b | 10.83 ± 0.83 de | 8.06 ± 1.04 b | 1.91 ± 0.17 c | 9.97 ± 1.19 b | |
| Q5 | 13.26 ± 0.82 c | 4.88 ± 0.68 e | 3.1 ± 0.22 c | 0.88 ± 0.09 c | 3.98 ± 0.14 c | |
| Q6 | - | - | - | - | - | |
| Huangfurong | Q0 | 20.06 ± 0.85 c | 13.96 ± 2.78 bc | 8.27 ± 0.48 b | 3.27 ± 0.51 b | 11.54 ± 0.95 b |
| Q1 | 43.11 ± 6.15 b | 33.73 ± 4.41 a | 13.21 ± 1.03 a | 8.26 ± 0.33 a | 21.47 ± 0.71 a | |
| Q2 | 68.47 ± 5.08 a | 24.36 ± 1.31 ab | 14.45 ± 1.05 a | 7.58 ± 0.27 a | 22.03 ± 1.17 a | |
| Q3 | 48.32 ± 2.95 b | 24.25 ± 6.12 ab | 12.89 ± 1.05 a | 7.05 ± 1.25 a | 19.94 ± 0.25 a | |
| Q4 | 49.99 ± 3.77 b | 20.83 ± 3.42 bc | 8.92 ± 1.90 b | 4.02 ± 0.93 b | 12.93 ± 2.20 b | |
| Q5 | 17.82 ± 0.68 c | 13.77 ± 2.04 bc | 7.08 ± 0.10 bc | 3.15 ± 0.52 b | 10.23 ± 0.61 b | |
| Q6 | 27.82 ± 9.30 c | 9.87 ± 4.03 c | 3.88 ± 1.55 c | 1.72 ± 0.74 b | 5.60 ± 2.21 c |
| Cultivars | Treatment | Root/Shoot Ratio | Health Index | G Value |
|---|---|---|---|---|
| Huihuang | Q0 | 0.31 ± 0.03 a | 7.46 ± 0.83 bc | 0.07 ± 0.00 b |
| Q1 | 0.26 ± 0.06 a | 10.52 ± 2.14 ab | 0.11 ± 0.01 a | |
| Q2 | 0.22 ± 0.01 a | 11.16 ± 0.64 a | 0.12 ± 0.01 a | |
| Q3 | 0.18 ± 0.03 a | 8.85 ± 0.91 ab | 0.11 ± 0.00 a | |
| Q4 | 0.25 ± 0.06 a | 5.22 ± 0.32 cd | 0.06 ± 0.01 b | |
| Q5 | 0.36 ± 0.14 a | 3.36 ± 0.86 d | 0.04 ± 0.00 c | |
| Q6 | - | - | - | |
| Boerduohong | Q0 | 0.48 ± 0.05 a | 10.15 ± 1.47 b | 0.08 ± 0.01 b |
| Q1 | 0.38 ± 0.03 ab | 15.51 ± 1.56 a | 0.15 ± 0.02 a | |
| Q2 | 0.34 ± 0.02 bc | 16.99 ± 0.94 a | 0.16 ± 0.01 a | |
| Q3 | 0.34 ± 0.02 bc | 15.96 ± 1.45 a | 0.15 ± 0.00 a | |
| Q4 | 0.24 ± 0.02 c | 6.48 ± 0.39 c | 0.07 ± 0.01 b | |
| Q5 | 0.29 ± 0.05 bc | 2.32 ± 0.10 d | 0.03 ± 0.00 c | |
| Q6 | - | - | - | |
| Huangfurong | Q0 | 0.39 ± 0.04 a | 8.31 ± 0.72 cd | 0.08 ± 0.01 b |
| Q1 | 0.64 ± 0.07 a | 21.28 ± 0.87 a | 0.15 ± 0.01 a | |
| Q2 | 0.53 ± 0.04 a | 19.32 ± 0.20 ab | 0.15 ± 0.01 a | |
| Q3 | 0.57 ± 0.16 a | 18.14 ± 3.19 ab | 0.14 ± 0.00 a | |
| Q4 | 0.49 ± 0.12 a | 13.05 ± 4.53 bc | 0.09 ± 0.02 b | |
| Q5 | 0.44 ± 0.07 a | 9.09 ± 0.76 cd | 0.07 ± 0.01 b | |
| Q6 | 0.42 ± 0.10 a | 2.55 ± 1.19 d | 0.04 ± 0.02 c |
Disclaimer/Publisher’s Note: The statements, opinions and data contained in all publications are solely those of the individual author(s) and contributor(s) and not of MDPI and/or the editor(s). MDPI and/or the editor(s) disclaim responsibility for any injury to people or property resulting from any ideas, methods, instructions or products referred to in the content. |
© 2023 by the authors. Licensee MDPI, Basel, Switzerland. This article is an open access article distributed under the terms and conditions of the Creative Commons Attribution (CC BY) license (https://creativecommons.org/licenses/by/4.0/).
Share and Cite
Liu, S.; Liu, M.; Chen, S.; Ni, X.; Zhang, K.; Yue, L.; Zhou, Y. Rice Husks and Leaf Mold Used as Peat Substitutes to Improve the Morphological, Photosynthetic, and Biochemical Properties of Chrysanthemum (Chrysanthemum × morifolium). Sustainability 2023, 15, 16137. https://doi.org/10.3390/su152316137
Liu S, Liu M, Chen S, Ni X, Zhang K, Yue L, Zhou Y. Rice Husks and Leaf Mold Used as Peat Substitutes to Improve the Morphological, Photosynthetic, and Biochemical Properties of Chrysanthemum (Chrysanthemum × morifolium). Sustainability. 2023; 15(23):16137. https://doi.org/10.3390/su152316137
Chicago/Turabian StyleLiu, Shuguang, Mingyu Liu, Shengyan Chen, Xingyu Ni, Kaiyuan Zhang, Liran Yue, and Yunwei Zhou. 2023. "Rice Husks and Leaf Mold Used as Peat Substitutes to Improve the Morphological, Photosynthetic, and Biochemical Properties of Chrysanthemum (Chrysanthemum × morifolium)" Sustainability 15, no. 23: 16137. https://doi.org/10.3390/su152316137
APA StyleLiu, S., Liu, M., Chen, S., Ni, X., Zhang, K., Yue, L., & Zhou, Y. (2023). Rice Husks and Leaf Mold Used as Peat Substitutes to Improve the Morphological, Photosynthetic, and Biochemical Properties of Chrysanthemum (Chrysanthemum × morifolium). Sustainability, 15(23), 16137. https://doi.org/10.3390/su152316137

