Drought Assessment in Greece Using SPI and ERA5 Climate Reanalysis Data
Abstract
:1. Introduction
2. Materials and Methods
2.1. Climate Data and Study Area
2.2. The SPI Drought Index
2.3. Trend Analysis
3. Results
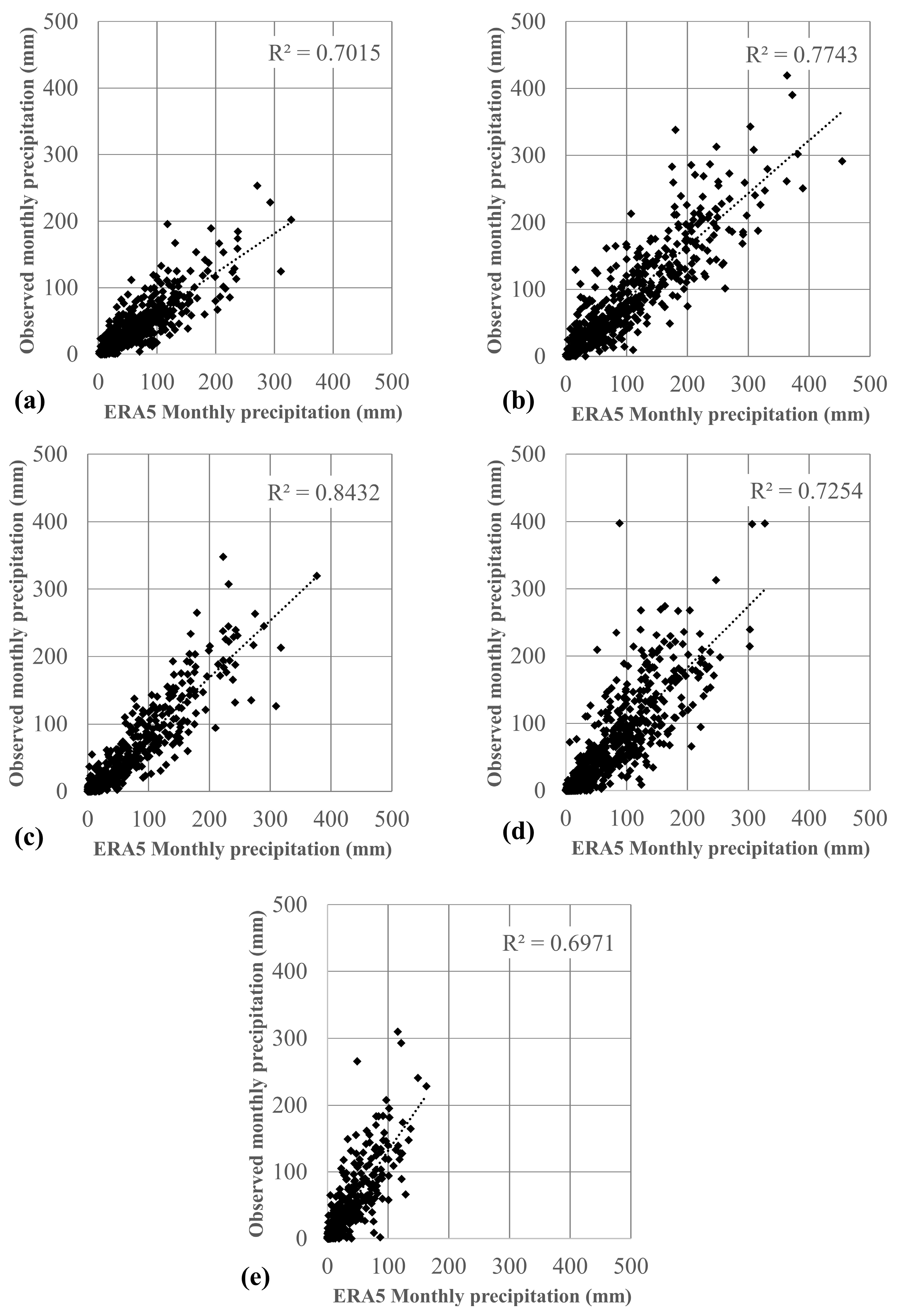
3.1. Precipitation and Precipitation Trend Analysis
3.2. SPI and Drought Trend Analysis



4. Discussion
5. Conclusions
Author Contributions
Funding
Institutional Review Board Statement
Informed Consent Statement
Data Availability Statement
Acknowledgments
Conflicts of Interest
References
- Tabari, H.; Willems, P. Sustainable development substantially reduces the risk of future drought impacts. Commun. Earth Environ. 2023, 4, 180. [Google Scholar] [CrossRef]
- Alehu, B.A.; Bitana, S.G. Assessment of Climate Change Impact on Water Balance of Lake Hawassa Catchment. Environ. Process. 2023, 10, 14. [Google Scholar] [CrossRef]
- Bayazit, M. Nonstationarity of Hydrological Records and Recent Trends in Trend Analysis: A State-of-the-art Review. Environ. Process. 2015, 2, 527–542. [Google Scholar] [CrossRef]
- Bhatt, D.; Sonkar, G.; Mall, R.K. Impact of Climate Variability on the Rice Yield in Uttar Pradesh: An Agro-Climatic Zone Based Study. Environ. Process. 2019, 6, 135–153. [Google Scholar] [CrossRef]
- Wang, D.; Hejazi, M.; Cai, X.; Valocchi, A.J. Climate change impact on meteorological, agricultural, and hydrological drought in central Illinois. Water Resour. Res. 2011, 47, 23–34. [Google Scholar] [CrossRef]
- Zou, L.; Xia, J.; She, D. Analysis of Impacts of Climate Change and Human Activities on Hydrological Drought: A Case Study in the Wei River Basin, China. Water Resour. Manag. 2018, 32, 1421–1438. [Google Scholar] [CrossRef]
- Colombani, N.; Dinelli, E.; Mastrocicco, M. Trend of Heavy Metal Release According to Forecasted Climate Change in the Po Delta. Environ. Process. 2016, 3, 553–567. [Google Scholar] [CrossRef]
- Amraoui, N.; Sbai, M.A.; Stollsteiner, P. Assessment of climate change impacts on water resources in the Somme River basin (France). Water Resour. Manag. 2019, 33, 2073–2092. [Google Scholar] [CrossRef]
- Arnell, N.W.; Gosling, S.N. The impacts of climate change on river flood risk at the global scale. Clim. Change 2016, 134, 387–401. [Google Scholar] [CrossRef]
- Dahal, V.; Shakya, N.M.; Bhattarai, R. Estimating the Impact of Climate Change on Water Availability in Bagmati Basin, Nepal. Environ. Process. 2016, 3, 1–17. [Google Scholar] [CrossRef]
- Golian, S.; Murphy, C. Evaluation of Sub-Selection Methods for Assessing Climate Change Impacts on Low-Flow and Hydrological Drought Conditions. Water Resour. Manag. 2021, 35, 113–133. [Google Scholar] [CrossRef]
- Zubaidi, S.L.; Ortega-Martorell, S.; Kot, P.; Alkhaddar, R.M.; Abdellatif, M.; Gharghan, S.K.; Ahmed, M.S.; Hashim, K. A method for predicting long-term municipal water demands under climate change. Water Resour. Manag. 2020, 34, 1265–1279. [Google Scholar] [CrossRef]
- Dubey, S.K.; Sharma, D. Spatio-Temporal Trends and Projections of Climate Indices in the Banas River Basin, India. Environ. Process. 2018, 5, 743–768. [Google Scholar] [CrossRef]
- Kamali, S.; Asghari, K. The Effect of Meteorological and Hydrological Drought on Groundwater Storage Under Climate Change Scenarios. Water Resour. Manag. 2023, 37, 2925–2943. [Google Scholar] [CrossRef]
- Padhiary, J.; Patra, K.C.; Dash, S.S. A Novel Approach to Identify the Characteristics of Drought under Future Climate Change Scenario. Water Resour. Manag. 2022, 36, 5163–5189. [Google Scholar] [CrossRef]
- Mengistu, D.; Bewket, W.; Dosio, A.; Panitz, H.J. Climate change impacts on water resources in the upper blue nile (Abay) river basin, Ethiopia. J. Hydrol. 2021, 592, 125614. [Google Scholar] [CrossRef]
- Guerriero, V.; Scorzini, A.R.; Di Lena, B.; Iulianella, S.; Di Bacco, M.; Tallini, M. Impact of Climate Change on Crop Yields: Insights from the Abruzzo Region, Central Italy. Sustainability 2023, 15, 14235. [Google Scholar] [CrossRef]
- Caloiero, T.; Veltri, S.; Caloiero, P.; Frustaci, F. Drought Analysis in Europe and in the Mediterranean Basin Using the Standardized Precipitation Index. Water 2018, 10, 1043. [Google Scholar] [CrossRef]
- Sun, J.; Bi, S.; Bashir, B.; Ge, Z.; Wu, K.; Alsalman, A.; Ayugi, B.O.; Alsafadi, K. Historical Trends and Characteristics of Meteorological Drought Based on Standardized Precipitation Index and Standardized Precipitation Evapotranspiration Index over the Past 70 Years in China (1951–2020). Sustainability 2023, 15, 10875. [Google Scholar] [CrossRef]
- Yilmaz, A.G.; Perera, B.J.C. Spatiotemporal Trend Analysis of Extreme Rainfall Events in Victoria, Australia. Water Resour. Manag. 2015, 29, 4465–4480. [Google Scholar] [CrossRef]
- Chandrakar, A.; Khare, D.; Krishan, R. Assessment of Spatial and Temporal Trends of Long Term Precipitation over Kharun Watershed, Chhattisgarh, India. Environ. Process. 2017, 4, 959–974. [Google Scholar] [CrossRef]
- Chen, J.; Zhang, B.; Zhou, J.; Guo, F. Temporal and Spatial Changes of Drought Characteristics in Temperate Steppes in China from 1960 to 2020. Sustainability 2023, 15, 12909. [Google Scholar] [CrossRef]
- Darko, S.; Adjei, K.A.; Gyamfi, C.; Odai, S.N.; Osei-Wusuansa, H. Evaluation of RFE Satellite Precipitation and its Use in Streamflow Simulation in Poorly Gauged Basins. Environ. Process. 2021, 8, 691–712. [Google Scholar] [CrossRef]
- Muse, N.M.; Tayfur, G.; Safari, M.J.S. Meteorological Drought Assessment and Trend Analysis in Puntland Region of Somalia. Sustainability 2023, 15, 10652. [Google Scholar] [CrossRef]
- Dau, Q.V.; Kuntiyawichai, K.; Adeloye, A.J. Future Changes in Water Availability Due to Climate Change Projections for Huong Basin, Vietnam. Environ. Process. 2021, 8, 77–98. [Google Scholar] [CrossRef]
- Ashraf, M.S.; Shahid, M.; Waseem, M.; Azam, M.; Rahman, K.U. Assessment of Variability in Hydrological Droughts Using the Improved Innovative Trend Analysis Method. Sustainability 2023, 15, 9065. [Google Scholar] [CrossRef]
- Echeta, O.C.; Adjei, K.A.; Andam-Akorful, S.A.; Gyamfi, C.; Darko, D.; Odai, S.N.; Kwarteng, E.V.S. Performance Evaluation of Near-Real-Time Satellite Rainfall Estimates over Three Distinct Climatic Zones in Tropical West-Africa. Environ. Process. 2022, 9, 59. [Google Scholar] [CrossRef]
- Abbas, S.A.; Xuan, Y.; Song, X. Quantile Regression Based Methods for Investigating Rainfall Trends Associated with Flooding and Drought Conditions. Water Resour. Manag. 2019, 33, 4249–4264. [Google Scholar] [CrossRef]
- Summers, J.K.; Lamper, A.; McMillion, C.; Harwell, L.C. Observed Changes in the Frequency, Intensity, and Spatial Patterns of Nine Natural Hazards in the United States from 2000 to 2019. Sustainability 2022, 14, 4158. [Google Scholar] [CrossRef] [PubMed]
- Rocha, J.; Carvalho-Santos, C.; Diogo, P.; Beça, P.; Keizer, J.J.; Nunes, J.P. Impacts of climate change on reservoir water availability, quality and irrigation needs in a water scarce Mediterranean region (southern Portugal). Sci. Total Environ. 2020, 736, 139477. [Google Scholar] [CrossRef]
- Abdelmalek, M.B.; Nouiri, I. Study of trends and mapping of drought events in Tunisia and their impacts on agricultural production. Sci. Total Environ. 2020, 734, 139311. [Google Scholar] [CrossRef]
- FAO. Proactive Approaches to Drought Preparedness—Where Are We Now and Where Do We Go from Here? FAO: Rome, Italy, 2019. [Google Scholar]
- Cheng, L.; Hoerling, M.; Aghakouchak, A.; Livneh, B.; Quan, X.W.; Eischeid, J. How has human-induced climate change affected California drought risk? J. Clim. 2016, 29, 111–120. [Google Scholar] [CrossRef]
- Oroud, I.M. Global Warming and its Implications on Meteorological and Hydrological Drought in the Southeastern Mediterranean. Environ. Process. 2018, 5, 329–348. [Google Scholar] [CrossRef]
- Vicente-Serrano, S.M.; Domínguez-Castro, F.; Reig, F.; Tomas-Burguera, M.; Peña-Angulo, D.; Latorre, B.; Beguería, S.; Rabanaque, I.; Noguera, I.; Lorenzo-Lacruz, J.; et al. A global drought monitoring system and dataset based on ERA5 reanalysis: A focus on crop-growing regions. Geosci. Data J. 2022, 10, 505–518. [Google Scholar] [CrossRef]
- Tarawneh, Z.; Hyari, K.; Katkhuda, H. Evaluating the Characteristics of Multiyear Extreme Droughts in Semi-Arid Regions. Environ. Process. 2017, 4, 683–696. [Google Scholar] [CrossRef]
- Tigkas, D.; Tsakiris, G. Early Estimation of Drought Impacts on Rainfed Wheat Yield in Mediterranean Climate. Environ. Process. 2015, 2, 97–114. [Google Scholar] [CrossRef]
- Svoboda, M.; Fuchs, B.A. Handbook of Drought Indicators and Indices; Integrated Drought Management Programme (IDMP), Integrated Drought Management Tools and Guidelines Series 2; World Meteorological Organization (WMO) and Global Water Partnership (GWP): Geneva, Switzerland, 2016. [Google Scholar]
- Yu, H.; Zhang, Q.; Xu, C.Y.; Du, J.; Sun, P.; Hu, P. Modified palmer drought severity index: Model improvement and application. Environ. Int. 2019, 130, 104951. [Google Scholar] [CrossRef]
- Zarei, A.R. Evaluation of Drought Condition in Arid and Semi- Arid Regions, Using RDI Index. Water Resour. Manag. 2018, 32, 1689–1711. [Google Scholar] [CrossRef]
- Surendran, U.; Anagha, B.; Raja, P.; Kumar, V.; Rajan, K.; Jayakumar, M. Analysis of Drought from Humid, Semi-Arid and Arid Regions of India Using DrinC Model with Different Drought Indices. Water Resour. Manag. 2019, 33, 1521–1540. [Google Scholar] [CrossRef]
- Khanmohammadi, N.; Rezaie, H.; Montaseri, M.; Behmanesh, J. The Effect of Temperature Adjustment on Reference Evapotranspiration and Reconnaissance Drought Index (RDI) in Iran. Water Resour. Manag. 2017, 31, 5001–5017. [Google Scholar] [CrossRef]
- Merabti, A.; Martins, D.S.; Meddi, M.; Pereira, L.S. Spatial and Time Variability of Drought Based on SPI and RDI with Various Time Scales. Water Resour. Manag. 2018, 32, 1087–1100. [Google Scholar] [CrossRef]
- Nemati, A.; Najafabadi, S.H.G.; Joodaki, G.; Nadoushani, S.S.M. Spatiotemporal Drought Characterization Using Gravity Recovery and Climate Experiment (GRACE) in the Central Plateau Catchment of Iran. Environ. Process. 2020, 7, 135–157. [Google Scholar] [CrossRef]
- Zhang, Q.; Shi, R.; Xu, C.Y.; Sun, P.; Yu, H.; Zhao, J. Multisource data-based integrated drought monitoring index: Model development and application. J. Hydrol. 2022, 615, 128644. [Google Scholar] [CrossRef]
- Ullah, H.; Akbar, M. Drought Risk Analysis for Water Assessment at Gauged and Ungauged Sites in the Low Rainfall Regions of Pakistan. Environ. Process. 2021, 8, 139–162. [Google Scholar] [CrossRef]
- Lin, Y.C.; Kuo, E.D.; Chi, W.J. Analysis of Meteorological Drought Resilience and Risk Assessment of Groundwater Using Signal Analysis Method. Water Resour. Manag. 2021, 35, 179–197. [Google Scholar] [CrossRef]
- Ploszai, R.; Mine, M.R.M.; Detzel, D.H.M. An Analysis of Non-stationary Drought Conditions in Parana State Based on Climate Change Scenarios. Water Resour. Manag. 2022, 36, 3401–3415. [Google Scholar] [CrossRef]
- Khalili, D.; Farnoud, T.; Jamshidi, H.; Kamgar-Haghighi, A.A.; Zand-Parsa, S. Comparability Analyses of the SPI and RDI Meteorological Drought Indices in Different Climatic Zones. Water Resour. Manag. 2011, 25, 1737–1757. [Google Scholar] [CrossRef]
- Zarei, A.R.; Shabani, A.; Mahmoudi, M.R. Susceptibility Assessment of Winter Wheat, Barley and Rapeseed to Drought Using Generalized Estimating Equations and Cross-Correlation Function. Environ. Process. 2021, 8, 163–197. [Google Scholar] [CrossRef]
- Guo, H.; Bao, A.; Liu, T.; Ndayisaba, F.; He, D.; Kurban, A.; De Maeyer, P. Meteorological Drought Analysis in the Lower Mekong Basin Using Satellite-Based Long-Term CHIRPS Product. Sustainability 2017, 9, 901. [Google Scholar] [CrossRef]
- Shiru, M.S.; Shahid, S.; Alias, N.; Chung, E.-S. Trend Analysis of Droughts during Crop Growing Seasons of Nigeria. Sustainability 2018, 10, 871. [Google Scholar] [CrossRef]
- Chen, T.; Xia, G.; Liu, T.; Chen, W.; Chi, D. Assessment of Drought Impact on Main Cereal Crops Using a Standardized Precipitation Evapotranspiration Index in Liaoning Province, China. Sustainability 2016, 8, 1069. [Google Scholar] [CrossRef]
- Chattopadhyay, S.; Edwards, D.R.; Yu, Y.; Hamidisepehr, A. An Assessment of Climate Change Impacts on Future Water Availability and Droughts in the Kentucky River Basin. Environ. Process. 2017, 4, 477–507. [Google Scholar] [CrossRef]
- Gul, E.; Staiou, E.; Safari, M.J.S.; Vaheddoost, B. Enhancing Meteorological Drought Modeling Accuracy Using Hybrid Boost Regression Models: A Case Study from the Aegean Region, Türkiye. Sustainability 2023, 15, 11568. [Google Scholar] [CrossRef]
- Haied, N.; Foufou, A.; Khadri, S.; Boussaid, A.; Azlaoui, M.; Bougherira, N. Spatial and Temporal Assessment of Drought Hazard, Vulnerability and Risk in Three Different Climatic Zones in Algeria Using Two Commonly Used Meteorological Indices. Sustainability 2023, 15, 7803. [Google Scholar] [CrossRef]
- Isia, I.; Hadibarata, T.; Jusoh, M.N.H.; Bhattacharjya, R.K.; Shahedan, N.F.; Bouaissi, A.; Fitriyani, N.L.; Syafrudin, M. Drought Analysis Based on Standardized Precipitation Evapotranspiration Index and Standardized Precipitation Index in Sarawak, Malaysia. Sustainability 2023, 15, 734. [Google Scholar] [CrossRef]
- Sirisena, J.; Augustijn, D.; Nazeer, A.; Bamunawala, J. Use of Remote-Sensing-Based Global Products for Agricultural Drought Assessment in the Narmada Basin, India. Sustainability 2022, 14, 13050. [Google Scholar] [CrossRef]
- Moazzam, M.F.U.; Rahman, G.; Munawar, S.; Farid, N.; Lee, B.G. Spatiotemporal Rainfall Variability and Drought Assessment during Past Five Decades in South Korea Using SPI and SPEI. Atmosphere 2022, 13, 292. [Google Scholar] [CrossRef]
- Achite, M.; Krakauer, N.Y.; Wałęga, A.; Caloiero, T. Spatial and Temporal Analysis of Dry and Wet Spells in the Wadi Cheliff Basin, Algeria. Atmosphere 2021, 12, 798. [Google Scholar] [CrossRef]
- Latifoğlu, L.; Özger, M. A Novel Approach for High-Performance Estimation of SPI Data in Drought Prediction. Sustainability 2023, 15, 14046. [Google Scholar] [CrossRef]
- An, S.; Park, G.; Jung, H.; Jang, D. Assessment of Future Drought Index Using SSP Scenario in Republic of Korea. Sustainability 2022, 14, 4252. [Google Scholar] [CrossRef]
- Zare, M.; Azam, S.; Sauchyn, D.; Basu, S. Assessment of Meteorological and Agricultural Drought Indices under Climate Change Scenarios in the South Saskatchewan River Basin, Canada. Sustainability 2023, 15, 5907. [Google Scholar] [CrossRef]
- Abushandi, E.; Al Ajmi, M. Assessment of Hydrological Extremes for Arid Catchments: A Case Study in Wadi Al Jizzi, North-West Oman. Sustainability 2022, 14, 14028. [Google Scholar] [CrossRef]
- Palazzolo, N.; Peres, D.J.; Bonaccorso, B.; Cancelliere, A. A Probabilistic Analysis of Drought Areal Extent Using SPEI-Based Severity-Area-Frequency Curves and Reanalysis Data. Water 2023, 15, 3141. [Google Scholar] [CrossRef]
- Vasiliades, L.; Loukas, A.; Liberis, N. A water balance derived drought index for Pinios River Basin, Greece. Water Resour. Manag. 2011, 25, 1087–1101. [Google Scholar] [CrossRef]
- Merabti, A.; Darouich, H.; Paredes, P.; Meddi, M.; Pereira, L.S. Assessing Spatial Variability and Trends of Droughts in Eastern Algeria Using SPI, RDI, PDSI, and MedPDSI—A Novel Drought Index Using the FAO56 Evapotranspiration Method. Water 2023, 15, 626. [Google Scholar] [CrossRef]
- Tsakiris, G.; Vangelis, H. Towards a drought watch system based on spatial SPI. Water Resour. Manag. 2004, 18, 1–12. [Google Scholar] [CrossRef]
- David, V.; Davidová, T. Relating hydrological and meteorological drought indices in order to identify causes of low flows in the catchment of Blanice river. Environ. Process. 2017, 4, 149–161. [Google Scholar] [CrossRef]
- Tigkas, D.; Vangelis, H.; Tsakiris, G. Drought characterisation based on an agriculture-oriented standardised precipitation index. Theor. Appl. Climatol. 2019, 135, 1435–1447. [Google Scholar] [CrossRef]
- Tsakiris, G.; Vangelis, H. Establishing a drought index incorporating evapotranspiration. Eur. Water 2005, 9, 3–11. [Google Scholar]
- Tsakiris, G.; Pangalou, D.; Vangelis, H. Regional drought assessment based on the Reconnaissance Drought Index (RDI). Water Resour. Manag. 2007, 21, 821–833. [Google Scholar] [CrossRef]
- Svoboda, M.; Hayes, M.; Wood, D. Standardized Precipitation Index User Guide; (WMO-No. 1090); World Meteorological Organization: Geneva, Switzerland, 2012. [Google Scholar]
- Varlas, G.; Stefanidis, K.; Papaioannou, G.; Panagopoulos, Y.; Pytharoulis, I.; Katsafados, P.; Papadopoulos, A.; Dimitriou, E. Unravelling Precipitation Trends in Greece since 1950s Using ERA5 Climate Reanalysis Data. Climate 2022, 10, 12. [Google Scholar] [CrossRef]
- Tladi, T.M.; Ndambuki, J.M.; Salim, R.W. Meteorological drought monitoring in the Upper Olifants sub-basin, South Africa. Phys. Chem. Earth 2022, 128, 103273. [Google Scholar] [CrossRef]
- Tzanis, C.G.; Koutsogiannis, I.; Philippopoulos, K.; Deligiorgi, D. Recent climate trends over Greece. Atmos. Res. 2019, 230, 104623. [Google Scholar] [CrossRef]
- Vangelis, H.; Zotou, I.; Kourtis, I.M.; Bellos, V.; Tsihrintzis, V.A. Relationship of Rainfall and Flood Return Periods through Hydrologic and Hydraulic Modeling. Water 2022, 14, 3618. [Google Scholar] [CrossRef]
- Tarek, M.; Brissette, F.P.; Arsenault, R. Large-scale analysis of global gridded precipitation and temperature datasets for climate change impact studies. J. Hydrometeorol. 2020, 21, 2623–2640. [Google Scholar] [CrossRef]
- Lee, S.; Lee, S.J.; Jang, K.; Chun, J.H. Drought monitoring based on vegetation type and reanalysis data in Korea. Atmosphere 2021, 12, 170. [Google Scholar] [CrossRef]
- Torres-Vázquez, M.Á.; Halifa-Marín, A.; Montávez, J.P.; Turco, M. High resolution monitoring and probabilistic prediction of meteorological drought in a Mediterranean environment. Weather Clim. Extrem. 2023, 40, 100558. [Google Scholar] [CrossRef]
- Zhang, R.; Li, L.; Zhang, Y.; Huang, F.; Li, J.; Liu, W.; Mao, T.; Xiong, Z.; Shangguan, W. Assessment of agricultural drought using soil water deficit index based on ERA5-land soil moisture data in four southern provinces of China. Agriculture 2021, 11, 411. [Google Scholar] [CrossRef]
- Greene, C.A.; Thirumalai, K.; Kearney, K.A.; Delgado, J.M.; Schwanghart, W.; Wolfenbarger, N.S.; Thyng, K.M.; Gwyther, D.E.; Gardner, A.S.; Blankenship, D.D. The Climate Data Toolbox for MATLAB. Geochem. Geophys. Geosyst. 2019, 20, 3774–3781. [Google Scholar] [CrossRef]
- Kourtis, I.M.; Nalbantis, I.; Tsakiris, G.; Psiloglou, B.; Tsihrintzis, V.A. Updating IDF Curves Under Climate Change: Impact on Rainfall-Induced Runoff in Urban Basins. Water Resour. Manag. 2022, 37, 2403–2428. [Google Scholar] [CrossRef]
- Hersbach, H.; Bell, B.; Berrisford, P.; Biavati, G.; Horányi, A.; Muñoz Sabater, J.; Nicolas, J.; Peubey, C.; Radu, R.; Rozum, I.; et al. ERA5 monthly averaged data on single levels from 1940 to present. Copernic. Clim. Change Serv. (C3S) Clim. Data Store (CDS) 2023, 10, 252–266. [Google Scholar]
- McKee, T.B.; Doeskin, N.J.; Kleist, J. The relationship of drought frequency and duration to time scales. In Proceedings of the 8th Conference on Applied Climatology, Anaheim, CA, USA, 17–23 January 1993; American Meteorological Society: Boston, MA, USA, 1993; pp. 179–184. [Google Scholar]
- Thom, H.C.S. A note on the gamma distribution. Mon. Weather. Rev. 1958, 86, 117–122. [Google Scholar] [CrossRef]
- Edwards, D.C.; McKee, T.B. Characteristics of 20th Century Drought in the United States at Multiple Time Scales; Climatology Report No. 97-2; Colorado State University: Fort Collins, CO, USA, 1997. [Google Scholar]
- Abramovitz, M.; Stegun, I. Handbook of Mathematical Functions; National Bureau of Standards, Applied Mathematics Serie; U.S. Government Printing Office: Washington, DC, USA, 1965; Volume 55.
- Zarch, M.A.A.; Sivakumar, B.; Sharma, A. Droughts in a warming climate: A global assessment of Standardized precipitation index (SPI) and Reconnaissance drought index (RDI). J. Hydrol. 2015, 526, 183–195. [Google Scholar] [CrossRef]
- Sen, P.K. Estimates of the regression coefficient based on Kendall’s tau. J. Am. Stat. Assoc. 1968, 63, 1379–1389. [Google Scholar] [CrossRef]
- Theil, H.A. Rank-Invariant Method of Linear and Polynomial Regression Analysis. In Henri Theil’s Contributions to Economics and Econometrics: Econometric Theory and Methodology; Springer: Amsterdam, The Netherlands, 1992; Volume 23, pp. 345–381. [Google Scholar]
- Mann, H.B. Nonparametric Tests Against Trend. Econometrica 1945, 13, 245–259. [Google Scholar] [CrossRef]
- Kendall, M. Rank Correlation Methods; Griffin: London, UK, 1975; 202p. [Google Scholar]
- Shukor, M.S.A.; Yusop, Z.; Yusof, F.; Sa’adi, Z.; Alias, N.E. Detecting Rainfall Trend and Development of Future Intensity Duration Frequency (IDF) Curve for the State of Kelantan. Water Resour. Manag. 2020, 34, 3165–3182. [Google Scholar] [CrossRef]
- Nalbantis, I. Evaluation of a Hydrological Drought Index. Eur. Water 2008, 23, 67–77. [Google Scholar]
- Loukas, A.; Vasiliades, L. Probabilistic analysis of drought spatiotemporal characteristics in Thessaly region, Greece. Nat. Hazards Earth Syst. Sci. 2004, 4, 719–731. [Google Scholar] [CrossRef]
- Tigkas, D. Drought Characterisation and Monitoring in Regions of Greece. Eur. Water 2008, 23, 29–39. [Google Scholar]
- Kostopoulou, E.; Giannakopoulos, C.; Krapsiti, D.; Karali, A. Temporal and spatial trends of the standardized precipitation index (SPI) in Greece using observations and output from regional climate models. In Perspectives on Atmospheric Sciences; Springer International Publishing: New York, NY, USA, 2017; pp. 475–481. [Google Scholar]
- Vasiliades, L.; Loukas, A. Hydrological response to meteorological drought using the Palmer drought indices in Thessaly, Greece. Desalination 2009, 237, 3–21. [Google Scholar] [CrossRef]
- Proutsos, N.D.; Tigkas, D.; Tsevreni, I.; Tsevreni, M. Drought assessment in Nestos river basin (N. Greece) for the period 1955–2018. In Proceedings of the 10th International Conference on Information and Communication Technologies in Agriculture, Food and Environment, HAICTA, Athens, Greece, 22–25 September 2022. [Google Scholar]
- Caloiero, T.; Coscarelli, R.; Ferrari, E.; Sirangelo, B. Temporal Analysis of Rainfall Categories in Southern Italy (Calabria Region). Environ. Process. 2017, 4 (Suppl. S1), 113–124. [Google Scholar] [CrossRef]
- Argiriou, A.A.; Li, Z.; Armaos, V.; Mamara, A.; Shi, Y.L.; Yan, Z.W. Homogenised monthly and daily temperature and precipitation time series in China and Greece since 1960. Adv. Atmos. Sci. 2023, 40, 1326–1336. [Google Scholar] [CrossRef]
- Beck, H.E.; Pan, M.; Roy, T.; Weedon, G.P.; Pappenberger, F.; Van Dijk, A.I.; Huffman, G.J.; Adler, R.F.; Wood, E.F. Daily evaluation of 26 precipitation datasets using Stage-IV gauge-radar data for the CONUS. Hydrol. Earth Syst. Sci. 2019, 23, 207–224. [Google Scholar] [CrossRef]
- Jiang, Q.; Li, W.; Fan, Z.; He, X.; Sun, W.; Chen, S.; Wen, J.; Gao, J.; Wang, J. Evaluation of the ERA5 reanalysis precipitation dataset over Chinese Mainland. J. Hydrol. 2021, 595, 125660. [Google Scholar] [CrossRef]
- Lavers, D.A.; Simmons, A.; Vamborg, F.; Rodwell, M.J. An evaluation of ERA5 precipitation for climate monitoring. Q. J. R. Meteorol. Soc. 2022, 148, 3152–3165. [Google Scholar] [CrossRef]
- Haiden, T.; Dahoui, M.; Ingleby, B.; de Rosnay, P.; Prates, C.; Kuscu, E.; Hewson, T.; Isaksen, L.; Richardson, D.; Zuo, H.; et al. Use of In Situ Surface Observations at ECMWF; Technical Memorandum No. 834; European Centre for Medium Range Weather Forecasts: Reading, UK, 2018. [Google Scholar] [CrossRef]







| SPI Value | Category |
|---|---|
| ≥2.00 | Extremely wet |
| 1.50 to 1.99 | Severely wet |
| 1.00 to 1.49 | Moderately wet |
| 0 to 0.99 | Near normal (mildly wet) |
| 0 to −0.99 | Near normal (mild drought) |
| −1.00 to −1.49 | Moderate drought |
| −1.50 to −1.99 | Severe drought |
| ≤−2 | Extreme drought |
| a/a | Station | Longitude | Latitude | Elevation |
|---|---|---|---|---|
| 1 | Chrysoupoli | 24.6232 | 40.9183 | 4.2 |
| 2 | Ioannina | 20.8193 | 39.6949 | 474.7 |
| 3 | Mytilini | 26.6038 | 39.0541 | 4.2 |
| 4 | Souda | 24.1454 | 35.5288 | 147.6 |
| 5 | Sitia | 26.1029 | 35.2156 | 113.6 |
| a/a | Station | r | NSE | RMSE | R2 | d | MAE |
|---|---|---|---|---|---|---|---|
| 1 | Chrysoupoli | 0.73 | 0.49 | 0.81 | 0.53 | 0.85 | 0.66 |
| 2 | Ioannina | 0.85 | 0.69 | 0.55 | 0.73 | 0.92 | 0.43 |
| 3 | Mytilini | 0.78 | 0.61 | 0.82 | 0.61 | 0.88 | 0.45 |
| 4 | Souda | 0.66 | 0.28 | 0.83 | 0.44 | 0.81 | 0.66 |
| 5 | Sitia | 0.62 | 0.22 | 0.91 | 0.38 | 0.79 | 0.75 |
Disclaimer/Publisher’s Note: The statements, opinions and data contained in all publications are solely those of the individual author(s) and contributor(s) and not of MDPI and/or the editor(s). MDPI and/or the editor(s) disclaim responsibility for any injury to people or property resulting from any ideas, methods, instructions or products referred to in the content. |
© 2023 by the authors. Licensee MDPI, Basel, Switzerland. This article is an open access article distributed under the terms and conditions of the Creative Commons Attribution (CC BY) license (https://creativecommons.org/licenses/by/4.0/).
Share and Cite
Kourtis, I.M.; Vangelis, H.; Tigkas, D.; Mamara, A.; Nalbantis, I.; Tsakiris, G.; Tsihrintzis, V.A. Drought Assessment in Greece Using SPI and ERA5 Climate Reanalysis Data. Sustainability 2023, 15, 15999. https://doi.org/10.3390/su152215999
Kourtis IM, Vangelis H, Tigkas D, Mamara A, Nalbantis I, Tsakiris G, Tsihrintzis VA. Drought Assessment in Greece Using SPI and ERA5 Climate Reanalysis Data. Sustainability. 2023; 15(22):15999. https://doi.org/10.3390/su152215999
Chicago/Turabian StyleKourtis, Ioannis M., Harris Vangelis, Dimitris Tigkas, Anna Mamara, Ioannis Nalbantis, George Tsakiris, and Vassilios A. Tsihrintzis. 2023. "Drought Assessment in Greece Using SPI and ERA5 Climate Reanalysis Data" Sustainability 15, no. 22: 15999. https://doi.org/10.3390/su152215999
APA StyleKourtis, I. M., Vangelis, H., Tigkas, D., Mamara, A., Nalbantis, I., Tsakiris, G., & Tsihrintzis, V. A. (2023). Drought Assessment in Greece Using SPI and ERA5 Climate Reanalysis Data. Sustainability, 15(22), 15999. https://doi.org/10.3390/su152215999

